Sign in to use this feature.

Years

Between: -

Subjects

remove_circle_outline
remove_circle_outline
remove_circle_outline
remove_circle_outline
remove_circle_outline
remove_circle_outline
remove_circle_outline
remove_circle_outline
remove_circle_outline

Journals

remove_circle_outline
remove_circle_outline
remove_circle_outline
remove_circle_outline
remove_circle_outline
remove_circle_outline
remove_circle_outline
remove_circle_outline
remove_circle_outline
remove_circle_outline
remove_circle_outline

Article Types

Countries / Regions

remove_circle_outline
remove_circle_outline
remove_circle_outline
remove_circle_outline

Search Results (381)

Search Parameters:
Keywords = mucilage

Order results
Result details
Results per page
Select all
Export citation of selected articles as:
12 pages, 2271 KB  
Communication
Human-Mediated Dispersal of Plantago asiatica Mucilaginous Seeds in Urban Environments
by Sota Inomata, Yudai Kudo and Kohei Koyama
Seeds 2026, 5(2), 17; https://doi.org/10.3390/seeds5020017 - 4 Mar 2026
Viewed by 328
Abstract
Seed dispersal by humans plays an important role in determining vegetation structure. The seeds of Asian plantain (Plantago asiatica L.) form adhesive mucilage upon hydration, facilitating their attachment to shoes and subsequent dispersal via epizoochory. We investigated the efficacy of this mechanism [...] Read more.
Seed dispersal by humans plays an important role in determining vegetation structure. The seeds of Asian plantain (Plantago asiatica L.) form adhesive mucilage upon hydration, facilitating their attachment to shoes and subsequent dispersal via epizoochory. We investigated the efficacy of this mechanism under various urban environmental conditions. After trampling wild P. asiatica stands, the number of seeds attached to shoe soles was counted. The remaining seeds were then counted after walking at designated distances (1, 2, 5, 10, 20, 50, 100, 200, 500, and 1000 m). The following results were obtained: (1) The retention rate after walking 1000 m varied by shoe type (slip-on (kakkusu) work shoes, 15.4%; leather shoes, 3.4%; rubber boots, 2.7%; running shoes, 13.5%; and sandals, 12.4%). (2) Within the first 50 m of walking, on average more than half of the attached seeds fell off under all investigated conditions. Significantly fewer seeds remained after walking 50 m on asphalt (30.9% of the initial seeds) than on grass (48.2%), whereas after walking 1000 m, similar proportions (15.4% on asphalt and 15.7% on grass) remained on the work shoes. These results indicate that human-mediated short- and long-distance dispersal of mucilaginous seeds of this species is effective in diverse urban environments. Full article
Show Figures

Figure 1

28 pages, 1552 KB  
Review
Tracking Aromatic Volatile Biomarkers Through Coffee Bean Postharvest Stages
by Alexa J. Pajuelo-Muñoz, Ilse S. Cayo-Colca, Carlos Granda-Wong, Renan Campos Chisté, Efraín M. Castro-Alayo and César R. Balcázar-Zumaeta
Molecules 2026, 31(5), 853; https://doi.org/10.3390/molecules31050853 - 4 Mar 2026
Viewed by 394
Abstract
This review synthesizes recent evidence on the generation and behavior of volatile biomarkers throughout the main postharvest stages of coffee, highlighting their potential for technological standardization. During harvest, aldehydes, furans, and lactones reflect ripeness and the presence of physiological defects, thereby influencing the [...] Read more.
This review synthesizes recent evidence on the generation and behavior of volatile biomarkers throughout the main postharvest stages of coffee, highlighting their potential for technological standardization. During harvest, aldehydes, furans, and lactones reflect ripeness and the presence of physiological defects, thereby influencing the formation of other volatile groups in subsequent stages. During pulping and fermentation, the metabolism of yeasts and lactic and acetic acid bacteria produces alcohols, acids, and esters (such as 2-phenylethanol, ethyl acetate, and methyl phenylacetate), which function as biomarkers of proper mucilage management and a balanced initial fermentation. In drying, the evolution of aldehydes derived from lipid oxidation and the retention of aromatic esters provide insights into dehydration kinetics and the stability of green coffee against oxidation. Finally, during roasting, volatile pyrazines, furans, thiols, and phenols integrate the entire postharvest history of the bean and enable inferences about roast degree, thermal overexposure, and final aroma development. Overall, the volatile biomarkers described here provide a robust chemical basis for objective monitoring of the postharvest process and the differentiation of coffee lots, although further studies are needed to define critical ranges by origin and processing system, standardize analytical methodologies, and quantitatively link these compounds to commercial quality parameters. Full article
Show Figures

Graphical abstract

32 pages, 2405 KB  
Article
Optimization of Nutrient-Enriched Ravioli Incorporating Elephant Foot Yam Flour and Encapsulated Okra–Moringa Pearls
by Sangeetha Arunachalam, Baskar Rajoo, Harish Karthikeyan Ravi and Sowmiya Murugesan
Appl. Sci. 2026, 16(5), 2435; https://doi.org/10.3390/app16052435 - 3 Mar 2026
Viewed by 250
Abstract
The growing demand for functional and value-added foods has prompted interest in integrating nutrient-rich ingredients and novel encapsulated systems into traditional pasta products. This study aimed to develop and optimize a ravioli dough formulated with elephant foot yam flour (EFYF), wheat flour (WF) [...] Read more.
The growing demand for functional and value-added foods has prompted interest in integrating nutrient-rich ingredients and novel encapsulated systems into traditional pasta products. This study aimed to develop and optimize a ravioli dough formulated with elephant foot yam flour (EFYF), wheat flour (WF) and amaranth flour (AF) using mixture design in response surface methodology and to create an innovative filling using encapsulated edible pearls produced from okra mucilage and moringa leaf powder through ionotropic gelation. The pearls and ravioli dough were analyzed for physicochemical, textural, color and nutritional characteristics. Cooked ravioli was investigated for cooking quality and sensory attributes. The optimized dough formulation (46.67 g EFYF, 43.32 g WF, 10 g AF) exhibited desirable hardness (4.64 ± 0.28 N), chewiness (0.40 ± 0.02 N), nutritional, physicochemical and color attributes. The edible pearls demonstrated moderate moisture content (21.18 ± 0.26%), high protein (26.25 ± 0.02%), crude fiber (2.60 ± 0.01%), dietary fiber (8.60 ± 0.52%), high ash content (14 ± 0.62%) and soft gel-like texture. The cooked ravioli showed a cooking time of 8 ± 1 min, high water absorption capacity (209.9 ± 0.34%), minimal solid loss (1.30 ± 0.21%) and favorable sensory scores across appearance, taste, texture and overall acceptability. The study concludes that incorporating encapsulated pearls and nutrient-dense flours can produce a functional, nutritionally enriched ravioli with good technological performance and consumer appeal. Full article
(This article belongs to the Section Food Science and Technology)
Show Figures

Figure 1

19 pages, 3370 KB  
Article
Physicochemical and Functional Evaluation of Chia Mucilage (Salvia hispanica)–Alginate Microcapsules as a Delivery System of ACE-Inhibitory Peptides from Phaseolus lunatus
by Valentino Mukthar Sandoval-Peraza, David Betancur-Ancona, Arturo Castellanos-Ruelas, Yossef Hernández-Rodríguez and Luis Chel-Guerrero
Plants 2026, 15(5), 704; https://doi.org/10.3390/plants15050704 - 26 Feb 2026
Viewed by 325
Abstract
Biopolymers and bioactive peptides of plant origin represent sustainable resources with high potential for the development of functional ingredients with health benefits. An underutilized plant source of antihypertensive peptides is lima bean protein (Phaseolus lunatus); however, these peptides can be inactivated [...] Read more.
Biopolymers and bioactive peptides of plant origin represent sustainable resources with high potential for the development of functional ingredients with health benefits. An underutilized plant source of antihypertensive peptides is lima bean protein (Phaseolus lunatus); however, these peptides can be inactivated or degraded during their passage through the gastrointestinal tract. This study evaluated chia (Salvia hispanica) mucilage (CM) combined with sodium alginate (Al) as a hybrid encapsulation matrix for ACE-inhibitory peptides (<10 kDa) from P. lunatus. The ionic gelation technique was used, and encapsulation conditions were optimized using a 23 factorial design that evaluated CM:Al ratios, calcium concentration, and hardening time. The optimal formulation (30:70 CM:Al; 0.05 M CaCl2; 20 min of hardening time) achieved approximately 48% encapsulation efficiency and maintained the peptides’ ACE-inhibitory (IC50 mg/mL) activity during simulated gastric digestion with controlled intestinal release. The formed capsules demonstrated good flow properties, thermal stability up to 178 °C, and preserved ACE-I activity (0.1 mg/mL IC50) significantly better than alginate alone after in vitro digestion. These findings suggest that CM:Al blends could produce capsules with the ability to protect bioactive peptides with low molecular weight, warranting further investigation through in vivo bioavailability studies and structural characterization to confirm the proposed matrix-enhancing mechanisms. Full article
Show Figures

Figure 1

22 pages, 862 KB  
Review
Fenugreek as a Versatile Cosmetic Ingredient: Phytochemical Profile, Skin–Hair Benefits and Formulation Opportunities
by Iness Bettaieb Rebey, Ameni Ben Abdennebi, Emna Chaabani, Walid Yeddes, Majdi Hammami, Moufida Saidani Tounsi and Othmane Merah
Cosmetics 2026, 13(1), 44; https://doi.org/10.3390/cosmetics13010044 - 16 Feb 2026
Viewed by 1353
Abstract
The cosmetic and personal care industry is increasingly shifting toward plant-derived ingredients that combine multifunctional biological activity with favorable safety and sustainability profiles. Trigonella foenum-graecum L. (fenugreek), a leguminous plant traditionally used in food and medicine, has recently attracted growing attention as a [...] Read more.
The cosmetic and personal care industry is increasingly shifting toward plant-derived ingredients that combine multifunctional biological activity with favorable safety and sustainability profiles. Trigonella foenum-graecum L. (fenugreek), a leguminous plant traditionally used in food and medicine, has recently attracted growing attention as a potential cosmetic and cosmeceutical ingredient. This review provides a comprehensive and critical synthesis of current knowledge on fenugreek in the context of skin and hair care applications. First, the phytochemical profile of fenugreek relevant to cosmetics is examined, with emphasis on polyphenols and flavonoids, steroidal saponins, alkaloids (notably trigonelline), and mucilage-rich galactomannans. The biological activities of these constituents are then discussed in relation to key cutaneous and scalp mechanisms, including antioxidant defense, anti-inflammatory and antimicrobial effects, anti-glycation and dermal matrix protection, skin hydration and barrier support, as well as hair growth promotion and scalp health. Particular attention is given to recent in vitro, ex vivo, and emerging clinical evidence supporting anti-aging, moisturizing, and hair-care claims. Current formulation strategies and green extraction technologies enabling the incorporation of fenugreek-derived ingredients into topical products are reviewed, alongside considerations of safety, toxicity, and regulatory status under EU cosmetic legislation. Finally, existing research gaps are identified, highlighting the need for standardized extracts, robust clinical validation, and advanced omics-based approaches. This review highlights fenugreek’s strong potential as a versatile plant-based ingredient in cosmetics, despite remaining understudied in topical applications. Full article
Show Figures

Figure 1

18 pages, 2108 KB  
Article
Application of Nostoc sphaericum and Opuntia ficus-indica Mucilage in the Coagulation–Flocculation Process of Sanitary Landfill Leachate: An Optimization Study
by Yudith Choque-Quispe, Aydeé M. Solano-Reynoso, Carlos Eduardo Dueñas-Valcarcel, Edwar Arostegui-Leon, Liliana Rodriguez-Cardenas and David Choque-Quispe
Polymers 2026, 18(4), 474; https://doi.org/10.3390/polym18040474 - 13 Feb 2026
Viewed by 461
Abstract
Leachates generated in sanitary landfills are a mixture of contaminants harmful to adjacent ecosystems. Coagulation and flocculation are common treatment methods; however, their efficiency depends on the type of coagulant–flocculant and the operating conditions. This study addressed leachate treatment using two natural biocoagulants, [...] Read more.
Leachates generated in sanitary landfills are a mixture of contaminants harmful to adjacent ecosystems. Coagulation and flocculation are common treatment methods; however, their efficiency depends on the type of coagulant–flocculant and the operating conditions. This study addressed leachate treatment using two natural biocoagulants, Nostoc sphaericum (CNS) and Opuntia ficus-indica mucilage (CMN), in combination with aluminum sulfate (CSA). Optimization was performed using response surface methodology, employing a Box–Behnken design with five factors, namely CNS, CMN, and CSA doses, as well as agitation time and agitation speed, evaluated at three levels, on turbidity reduction. Fourier transform infrared spectroscopy (FTIR) showed that the biocoagulants possess anionic surfaces with carboxyl and hydroxyl groups. The particle size of CNS exhibited a bimodal distribution with a zeta potential of −28.74 mV, while CMN showed a unimodal distribution with a zeta potential of −21.95 mV. Under optimal conditions (88.97 mg/L CNS, 105.60 mg/L CMN, 9.13 mg/L CSA, a mixing time of 25.96 min, and an agitation speed of 24.21 rpm), a turbidity reduction to 48.15 NTU was predicted. During the experimental validation of these optimal conditions, turbidity was reduced to 49.02 NTU, achieving a removal efficiency of 70%. Total organic carbon (TOC) was reduced by 65%, and metals such as arsenic were reduced by 56%. Reductions in phosphates and Biochemical Oxygen Demand (BOD5) were moderate, while the removal of Chemical Oxygen Demand (COD), surfactants, and ammoniacal nitrogen was limited. These results indicate that the combination of CNS and CMN is a viable alternative for leachate pretreatment. Full article
(This article belongs to the Section Polymer Applications)
Show Figures

Graphical abstract

14 pages, 836 KB  
Proceeding Paper
Processing of Gluten-Free Cupcakes Utilizing Plant-Based Lepidium sativum Seed Mucilage as a Fat Replacer
by Bhawna Tyagi, Karuna Singh, Muskan Chadha and Ratnakar Shukla
Eng. Proc. 2025, 117(1), 47; https://doi.org/10.3390/engproc2025117047 - 11 Feb 2026
Viewed by 258
Abstract
This study aimed to produce gluten-free cupcakes (GFCs) using a composite flour blend of Lepidium sativum seed mucilage (LSM) in different proportions. The GFCs substituted oil with 100% LSM (M100), revealing significant reduction in fat content (87.55%), protein 13.43 g/100 g, fiber 2.48 [...] Read more.
This study aimed to produce gluten-free cupcakes (GFCs) using a composite flour blend of Lepidium sativum seed mucilage (LSM) in different proportions. The GFCs substituted oil with 100% LSM (M100), revealing significant reduction in fat content (87.55%), protein 13.43 g/100 g, fiber 2.48 g/100 g, and carbohydrates 58.39 g/100 g. The M100 GFC showed favorable fatty acid ratios (1.80 MUFA:SFA, 0.95 PUFA:SFA, 0.97 omega 6:omega 9) and lipid health quality indices (0.72 atherogenicity index, 0.59 thrombogenic index, 1.39 health-promoting index, and 2.3% ∆desaturase index), with sensory acceptability at 7.07 ± 0.21. The LSM effectively replaced fat, enhanced functionality and improved sensory profiles 7.07 ± 0.21, suggesting its potential for industrial applications. Full article
(This article belongs to the Proceedings of The 4th International Electronic Conference on Processes)
Show Figures

Figure 1

26 pages, 2053 KB  
Article
Physicochemical and Functional Characterization of Cucumis sativus L. (Poona Kheera) Mucilage and Its Application as a Coating to Inhibit Enzymatic Browning in Fresh-Cut Apples
by Madhu Sharma, Aarti Bains, B Hanumanth Gowda, Kandi Sridhar, Baskaran Stephen Inbaraj, Prince Chawla and Minaxi Sharma
Foods 2026, 15(4), 657; https://doi.org/10.3390/foods15040657 - 11 Feb 2026
Viewed by 408
Abstract
Enzymatic browning is a major challenge in maintaining the quality and shelf life of fresh-cut fruits, and in this context, plant-derived hydrocolloids are increasingly recognized as sustainable alternatives to synthetic additives due to their ability to retard browning while supporting quality retention. Therefore, [...] Read more.
Enzymatic browning is a major challenge in maintaining the quality and shelf life of fresh-cut fruits, and in this context, plant-derived hydrocolloids are increasingly recognized as sustainable alternatives to synthetic additives due to their ability to retard browning while supporting quality retention. Therefore, in the present study, Cucumis sativus L. mucilage was extracted using microwave irradiation, yielding 24.56% freeze-dried irregular particles with an average size of 194.5 nm and −19.8 mV zeta potential. Various characterization techniques confirmed the amorphous structure and the presence of polysaccharides functional group. The mucilage was primarily composed of glucose (32.27%), along with arabinose, galactose, xylose, mannose, rhamnose, and minor uronic acids, reflecting a glucose-rich heteropolysaccharide. Functionally, the mucilage exhibited notable water retention (8.46 g/g), oil retention (3.21 g/g), foaming capacity (52.13%) with stability (30.46%), emulsifying capacity (90.45%) with stability (91.62%), and solubility (90.14%). Antioxidant assays revealed strong ferric reducing power (5.1 mM FeSO4 at 10 mg/mL), DPPH scavenging (67.50%; IC50 = 1.798 mg/mL), and ABTS scavenging (60.14%, IC50 = 8.038 mg/mL). Anti-inflammatory evaluation indicated enhanced macrophage viability (1.38-fold at 25 mg/mL) with reduced nitric oxide production, while tyrosinase inhibition reached 60.40% (monophenolase) and 68.50% (diphenolase) at 2 mg/mL. Furthermore, when applied as an edible coating on fresh-cut apple slices, Cucumis sativus L. mucilage effectively delayed enzymatic browning in a dose-dependent manner, with 2 mg/mL maintaining apple slice brightness (L* value; 71.08) and minimizing color change (ΔE = 4.54). Overall, these findings highlight Cucumis sativus L. mucilage as a multifunctional biopolymer with promising applications in food systems and edible coatings. Full article
Show Figures

Figure 1

22 pages, 1551 KB  
Article
Development of a Raft-Forming System Using Plantago major Mucilage as a Natural Polymer for Sustained Gastric Release of Artemisia annua L. Phenolic Extract
by Leila Ziaeifar, Maryam Salami, Gholamreza Askari, Zahra Emam-Djomeh, Raimar Loebenberg, Michael J. Serpe and Neal M. Davies
Pharmaceutics 2026, 18(2), 225; https://doi.org/10.3390/pharmaceutics18020225 - 10 Feb 2026
Viewed by 452
Abstract
Background/Objectives: Alginate-based rafts are typically used for antacids and provide a floating, gastric-retaining gel in the stomach that acts as a barrier to the entrance of stomach acid into the esophagus. Various technologies have been developed to enhance the sustained [...] Read more.
Background/Objectives: Alginate-based rafts are typically used for antacids and provide a floating, gastric-retaining gel in the stomach that acts as a barrier to the entrance of stomach acid into the esophagus. Various technologies have been developed to enhance the sustained release of drugs and bioactive components and overcome challenges associated with gastric retention. Modern methods, such as the alginate raft, not only function as an antacid in gastroesophageal reflux disease but also can serve as a delivery system that extends the drug release time in gastric medium. This study assessed the effects of biocompatible natural polymers, such as Plantago major mucilage (PMM), on raft formation instead of synthetic polymers, such as Carbomer. Methods: PMM was substituted in the raft formulation at concentrations of 0.5% and 1%. The formed rafts were analyzed for their physicochemical, mechanical, and structural properties. To evaluate the sustained release potential of the optimized raft formulation, the aqueous extract of Artemisia annua L. was incorporated into coconut protein nanoparticles and loaded into the optimized raft at three different concentrations of 1%, 2%, and 3%. Results: The rafts formulated with PMM 0.5% revealed excellent stability of the suspension, as well as improved physicochemical properties of the developed rafts compared to the raft that included Carbomer. The results illustrated that the inclusion of PMM in the raft system enhances antacid capacity, swelling percentage, resilience time, strength, and a stiffer gel with a higher G′. Conclusions: The optimized PMM raft was able to prolong the in vitro release of phenolic extracts and reach the cumulative release of less than 30% after 6 h. Full article
(This article belongs to the Section Biopharmaceutics)
Show Figures

Graphical abstract

33 pages, 5262 KB  
Article
Vibrational Spectroscopic Evaluation of the Composition of Flax (Linum usitatissimum L.) Seeds: Differences for Cultivars
by Yana Troshchynska, Roman Bleha, Alla Synytsya, Natália Palugová, Jiří Štětina, Marcela Sluková and Andriy Synytsya
Appl. Sci. 2026, 16(3), 1612; https://doi.org/10.3390/app16031612 - 5 Feb 2026
Viewed by 330
Abstract
Flax (Linum usitatissimum L.) is a crop widely cultivated for fiber and oil production. The screening method for flax breeding must effectively address the biochemical characteristics of flaxseeds. In this study, to characterize flax cultivars, we extracted oil, defatted kernel, hull, and [...] Read more.
Flax (Linum usitatissimum L.) is a crop widely cultivated for fiber and oil production. The screening method for flax breeding must effectively address the biochemical characteristics of flaxseeds. In this study, to characterize flax cultivars, we extracted oil, defatted kernel, hull, and mucilage from whole seeds for the ATR-FT-MIR and FT-Raman spectroscopic measurements. In addition, for ATR-FT-MIR analysis, oil samples were obtained by pressing the flaxseed directly onto the crystal surface. After removing any seed residues, a grease stain was used for the measurement, allowing for the acquisition of the oil spectrum from a single seed. This method also enabled the detection of free fatty acids, serving as evidence of seed damage. Both methods effectively estimated the degree of unsaturation as a cultivar marker. The vibrational spectra of defatted kernels showed strong protein features; polysaccharide bands dominated in hull and mucilage spectra. Discrimination of flax cultivars using principal component analysis of vibrational spectra in specific regions was the most promising for flaxseed oil and mucilage. Multivariate analysis of a set of selected variables sensitive to the flaxseed oil composition successfully distinguished all flax cultivars of this study. The strong correlation observed between ATR-FT-MIR and FT-Raman results confirmed that these methods are comparable for characterizing different grades of flaxseed oil. Full article
Show Figures

Graphical abstract

13 pages, 993 KB  
Article
Chemical Properties of Mucilage Extracts from Cladodes of Opuntia ficus-indica (L.) Miller for Gel Formulation: Comparative Study with Pectin
by Federica Torregrossa, Luciano Cinquanta, Francesca Mazza, Francesca Malvano, Natale Badalamenti, Maurizio Bruno and Matteo Pollon
Gels 2026, 12(2), 130; https://doi.org/10.3390/gels12020130 - 2 Feb 2026
Viewed by 446
Abstract
Mucilage extracted from cladodes of Opuntia ficus-indica (L.) Mill. has attracted growing interest as a natural food additive due to its gelling and nutritional properties. In this study, the chemical characteristics of Opuntia ficus-indica mucilage were comparatively evaluated against commercial pectin, with particular [...] Read more.
Mucilage extracted from cladodes of Opuntia ficus-indica (L.) Mill. has attracted growing interest as a natural food additive due to its gelling and nutritional properties. In this study, the chemical characteristics of Opuntia ficus-indica mucilage were comparatively evaluated against commercial pectin, with particular emphasis on volatile compounds, mineral composition, and monosaccharide profiles by 13C-NMR spectroscopic analysis. The volatile components were analysed using gas chromatography–mass spectrometry (GC-MS), revealing distinct aromatic profiles between the two matrices, with the mucilage showing a significant presence of methoxypyrazines, but not detected in the powdered pectin studied. These compounds could negatively affect the sensory perception of mucilage. Mineral analysis demonstrated significantly higher levels of calcium, magnesium, and potassium, supporting its potential contribution to nutritional enrichment. The spectroscopic analysis, used to identify monosaccharide composition of polysaccharide chains, highlighted the presence of arabinose, galactose, glucose, and rhamnose in the mucilage sample compared to the predominantly glucose/galacturonic acid-based structure of pectin. Overall, the results indicate that Opuntia ficus-indica mucilage represents a promising alternative to pectin, offering unique chemical properties that may expand its application as a multifunctional, natural food additive. Full article
Show Figures

Figure 1

17 pages, 2508 KB  
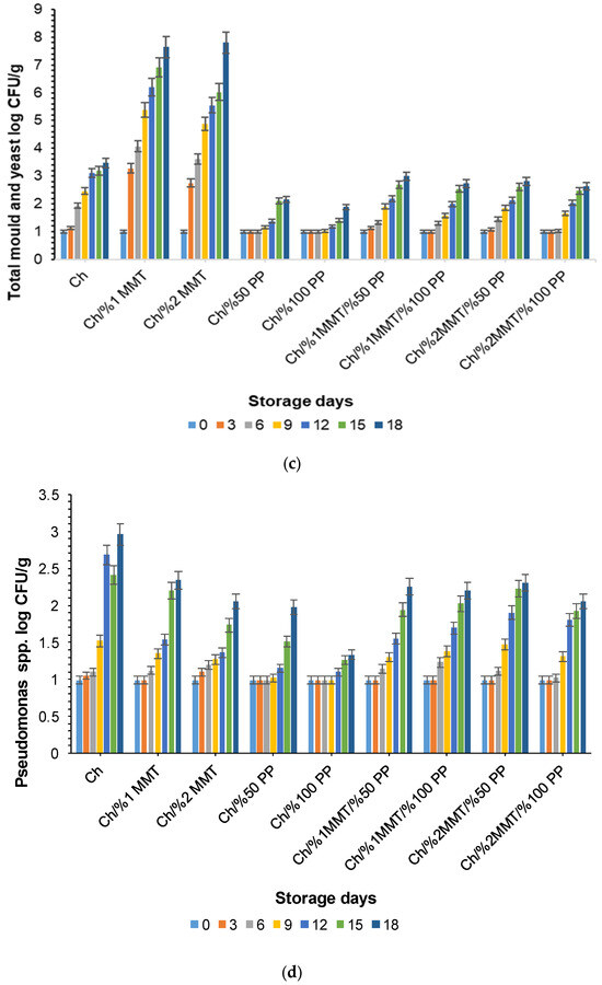
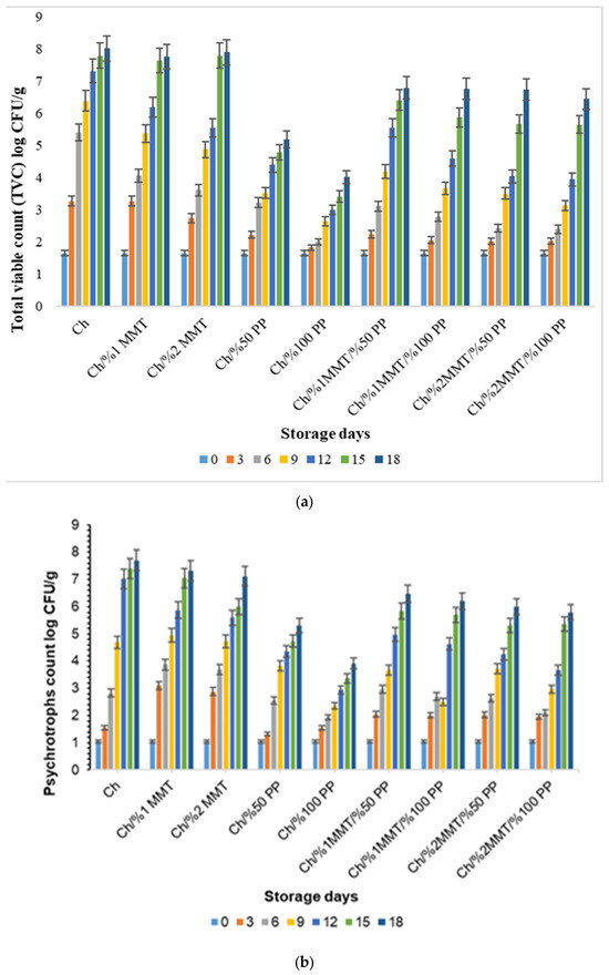
Article
Characterization and Antimicrobial Activity Assessment of Postbiotic-Loaded Chia Mucilage–Montmorillonite Films Developed for Food Systems
by Özlem Emir Çoban, Fethi Dağdelen and Tuba Okutan
Gels 2026, 12(2), 122; https://doi.org/10.3390/gels12020122 - 29 Jan 2026
Viewed by 393
Abstract
This study presents the development and characterization of chia mucilage–montmorillonite (MMT) films enriched with Lactobacillus sakei postbiotics. The films were evaluated mainly for their antimicrobial properties and practical applicability in food systems. The postbiotic contained 21 phenolic compounds and 60 volatile metabolites that [...] Read more.
This study presents the development and characterization of chia mucilage–montmorillonite (MMT) films enriched with Lactobacillus sakei postbiotics. The films were evaluated mainly for their antimicrobial properties and practical applicability in food systems. The postbiotic contained 21 phenolic compounds and 60 volatile metabolites that exhibited inhibitory activity against Escherichia coli O157:H7 and Listeria monocytogenes. Incorporation of postbiotics and MMT into chia mucilage significantly enhanced antimicrobial performance. Rainbow trout (Oncorhynchus mykiss) fillets were used as a model food system to demonstrate practical applicability, and their shelf life was extended by 9–15 days compared with controls. These findings confirm the potential of postbiotic-loaded chia mucilage–MMT films as promising bioactive packaging materials for food systems, combining natural antimicrobial activity with improved preservation capacity. Full article
(This article belongs to the Special Issue Recent Developments in Food Gels (3rd Edition))
Show Figures

Figure 1

24 pages, 1482 KB  
Review
Theobroma spp. Mucilage as a Valuable Natural Ingredient: Composition, Potential for Food Innovation, and Future Perspectives
by Frankdux Reynaldo Huanca-Ccompe, Hilka Mariela Carrión-Sánchez, Lucero Quispe Chambilla, Sylvia Carolina Alcázar-Alay and Augusto Pumacahua-Ramos
Foods 2026, 15(2), 185; https://doi.org/10.3390/foods15020185 - 6 Jan 2026
Viewed by 988
Abstract
Peru is currently distinguished by its remarkable biodiversity, which is characterized by a high level of endemism and a wide array of ecological niches. In the context of biodiversity, the genus Theobroma spp. is particularly noteworthy, encompassing the species Theobroma cacao, Theobroma [...] Read more.
Peru is currently distinguished by its remarkable biodiversity, which is characterized by a high level of endemism and a wide array of ecological niches. In the context of biodiversity, the genus Theobroma spp. is particularly noteworthy, encompassing the species Theobroma cacao, Theobroma grandiflorum and Theobroma bicolor, which are collectively referred to as cacao, cupuaçu, and macambo, respectively. The primary economic value of these species is derived from their mucilage-rich pulp and beans. In recent years, the mucilage of the genus Theobroma has gained economic relevance due to its flavor, floral and fruity aroma. The present review article aims to provide a comprehensive exploration of Theobroma spp. mucilage, addressing its characterization and potential applications. The present study investigates aspects related to its origin, cob morphology, proximal composition, bioactive compounds, volatile profile and its application in the food industry. The study highlights a high content of polysaccharides such as reducing sugars, organic acids, pectin, cellulose, hemicellulose, antioxidant capacity, presence of polyphenols and methylxanthines. Through this comprehensive review, a prospective vision is proposed on the opportunities for innovation and sustainable development around the Theobroma mucilage industry, highlighting its relevance not only as a agri-food byproduct, but also as a valuable resource in the productive circular economy and the sustainability of biodiversity. Full article
Show Figures

Graphical abstract

15 pages, 3595 KB  
Article
Advanced Ultrasonic Diagnostics for Restoration: Effectiveness of Natural Consolidants on Painted Surfaces
by Stefania D’Ottavio, Angelo Tatì, Loretta Bacchetta and Chiara Alisi
Appl. Sci. 2026, 16(1), 504; https://doi.org/10.3390/app16010504 - 4 Jan 2026
Viewed by 526
Abstract
This study presents the first application of an automatic ultrasonic mapping system for the assessment of natural consolidants applied to replicas of painted wall surfaces. In Cultural Heritage conservation, evaluating consolidation efficiency remains a critical issue, particularly for substrates characterized by high porosity, [...] Read more.
This study presents the first application of an automatic ultrasonic mapping system for the assessment of natural consolidants applied to replicas of painted wall surfaces. In Cultural Heritage conservation, evaluating consolidation efficiency remains a critical issue, particularly for substrates characterized by high porosity, heterogeneity, and mechanical fragility. Ultrasonic testing offers a fully non-contact diagnostic approach capable of detecting variations in cohesion, stiffness, and internal discontinuities, thus overcoming the limitations of semi-invasive mechanical procedures. Three polysaccharide-based consolidants—Arabic gum, Funori, and Opuntia ficus-indica mucilage—were applied to wall-painting replicas prepared according to historically documented techniques. Their performance was investigated through a comparative methodology combining a peeling test with non-contact air-coupled ultrasonic probes. Results indicate that Opuntia mucilage, although still at an experimental stage, provides significant improvements in cohesion, confirming its potential as a sustainable and substrate-compatible alternative to conventional consolidants. By demonstrating the complementary nature of ultrasonic mapping and peeling tests, this work contributes to the development of reproducible, non-invasive diagnostic strategies for evaluating consolidation treatments, particularly on fragile surfaces where conventional mechanical testing is unsuitable. Full article
(This article belongs to the Special Issue Innovative Approaches to Non-Destructive Evaluation)
Show Figures

Figure 1

22 pages, 16200 KB  
Article
Microalgal Communities in Mucilage Aggregates (Northern Adriatic Sea, Summer 2024) Based on Microscopy and Metabarcoding
by Marika Ubaldi, Francesca Neri, Giorgia Montali, Tiziana Romagnoli, Aurora Tomasini, Federica Cerino, Timotej Turk Dermastia, Patricijia Mozetič, Janja Francé, Camilla Spoto, Stefano Accoroni and Cecilia Totti
Phycology 2026, 6(1), 5; https://doi.org/10.3390/phycology6010005 - 1 Jan 2026
Viewed by 901
Abstract
The mucilage phenomenon consists of the appearance of large gelatinous aggregates floating in the water column. In summer 2024, this event has reappeared in the Northern Adriatic Sea (NAS) on a large scale. This study provides an integrated characterization of the microalgal community [...] Read more.
The mucilage phenomenon consists of the appearance of large gelatinous aggregates floating in the water column. In summer 2024, this event has reappeared in the Northern Adriatic Sea (NAS) on a large scale. This study provides an integrated characterization of the microalgal community within mucilage aggregates and surrounding waters in two NAS areas (Gulf of Trieste and Conero Riviera) using light microscopy (LM), metabarcoding (MB) based on ribosomal 18S V4 and V9 markers, and scanning electron microscopy (SEM) for selected taxa identification. Mucilage aggregates acted as dynamic microbial hotspots, hosting a rich diatom community, with abundances 1–2 orders of magnitude higher than in the surrounding water. Dominant diatom species were Cylindrotheca closterium, Nitzschia spp., Nitzschia gobbii, and Thalassionema nitzschioides. Some phytoflagellates (e.g., Tetraselmis spp.) and dinoflagellates (e.g., Karlodinium veneficum, Pseliodinium fusus, and Wangodinium sinense) were detected exclusively by MB, while LM and SEM revealed species missed by other approaches. Gonyaulax fragilis, one of the species indicated as an important mucus producer, was present at the onset and throughout the phenomenon, as detected by LM and MB. The integrated approach improves knowledge of microalgal communities in NAS mucilage. Full article
Show Figures

Figure 1

Back to TopTop