Characterization and Antimicrobial Activity Assessment of Postbiotic-Loaded Chia Mucilage–Montmorillonite Films Developed for Food Systems
Abstract
1. Introduction
2. Results and Discussion
2.1. Antimicrobial Potency of Postbiotics
2.2. Chemical Changes
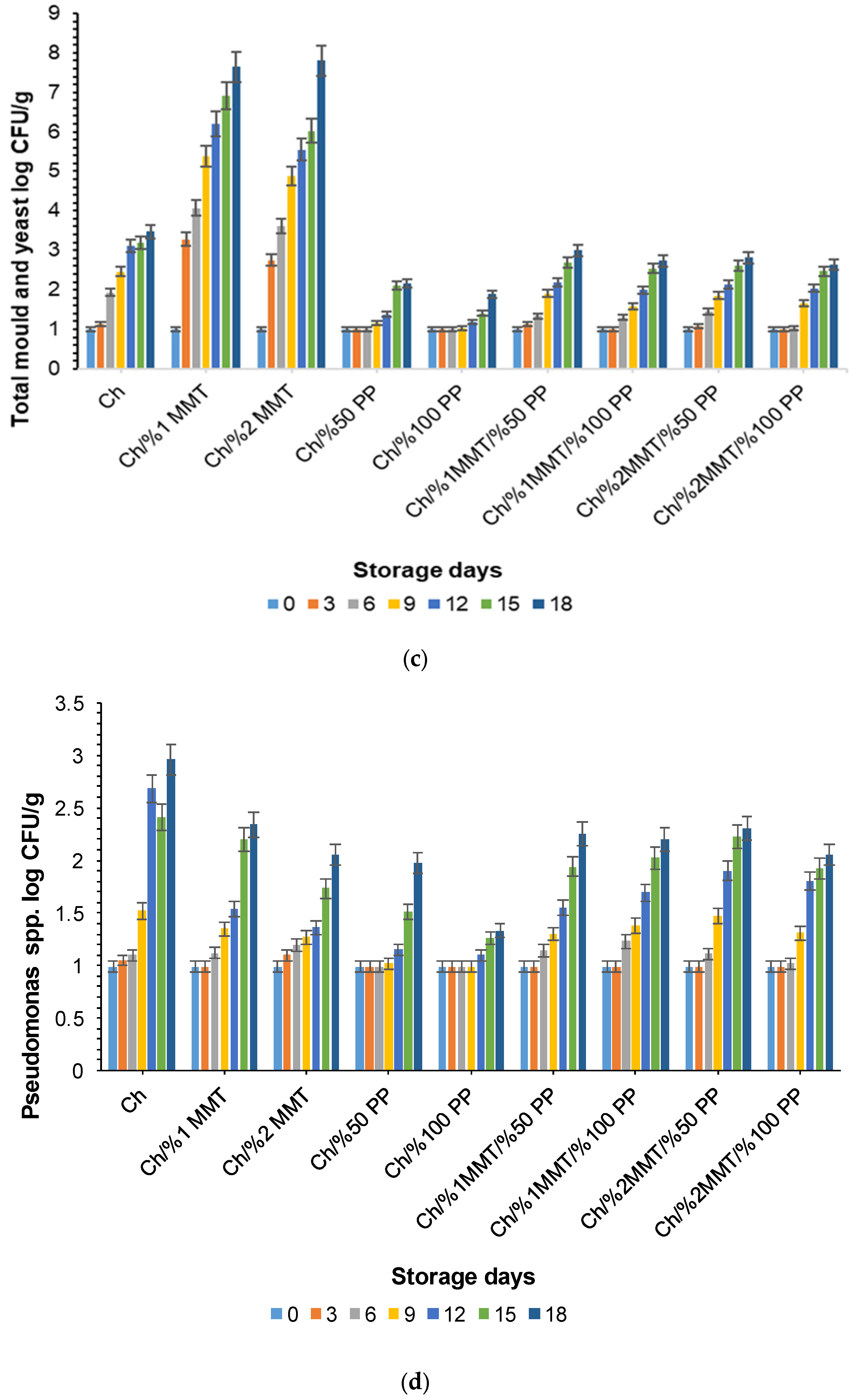
2.3. Microbiological Changes
2.4. Color Analysis
2.5. Determination of Migration of MMT Minerals into Fresh Rainbow Trout
3. Conclusions
4. Materials and Methods
4.1. Materials
4.2. Preparation of Postbiotics
4.3. Characterization of Postbiotics
4.4. Extraction of Chia Seed Mucilage
4.5. Preparation of Film Solutions
4.6. Antimicrobial Activity of the Films
4.7. Application to Rainbow Trout Fillets
4.7.1. Chemical Analyses
4.7.2. Microbiological Analyses
4.7.3. Colour Analysis
4.7.4. Migration Analysis of MMT Minerals
4.8. Statistical Analysis
Author Contributions
Funding
Institutional Review Board Statement
Informed Consent Statement
Data Availability Statement
Conflicts of Interest
References
- Aguilar-Toalá, J.E.; Garcia-Varela, R.; Garcia, H.S.; Mata-Haro, V.; González-Córdova, A.F.; Vallejo-Cordoba, B.; Hernández-Mendoza, A. Postbiotics: An evolving term within the functional foods field. Trends Food Sci. Technol. 2018, 75, 105–114. [Google Scholar] [CrossRef]
- Wegh, C.A.M.; Geerlings, S.Y.; Knol, J.; Roeselers, G.; Belzer, C. Postbiotics and their potential applications in early life nutrition and beyond. Int. J. Mol. Sci. 2019, 20, 4673. [Google Scholar] [CrossRef]
- Sharafi, H.; Ebrahimi Tirtashi, F. The role of postbiotics in food packaging and their challenges: A mini review on current status. Food Saf. Packag. 2025, 1, 1–6. [Google Scholar] [CrossRef]
- Emir Çoban, Ö.; Ergür, N. Chia musilage coating: Applications with gojiberry extract for shelf life extension of Oncorhynchus mykiss and it’s antibacterial and oxidative effects. J. Food Process. Preserv. 2021, 45, e15114. [Google Scholar] [CrossRef]
- Mujtaba, M.; Koc, B.; Salaberria, A.M.; Ilk, S.; Cansaran-Duman, D.; Akyuz, L.; Cakmak, Y.S.; Kaya, M.; Khawar, K.M.; Labidi, J.; et al. Production of novel chia-mucilage nanocomposite films with starch nanocrystals: An inclusive biological and physicochemical perspective. Int. J. Biol. Macromol. 2019, 133, 663–673. [Google Scholar] [CrossRef]
- Muñoz-Tébar, N.; Carmona, M.; Ortiz de Elguea-Culebras, G.; Molina, A.; Berruga, M.I. Chia seed mucilage edible films with Origanum vulgare and Satureja montana essential oils: Characterization and antifungal properties. Membranes 2022, 12, 213. [Google Scholar] [CrossRef]
- Giannakas, A.E.; Leontiou, A.A. Montmorillonite composite materials and food packaging. In Composites Materials for Food Packaging; Elsevier: Amsterdam, The Netherlands, 2018; pp. 1–71. [Google Scholar]
- Yousefi, H.; Fasihi, M.; Rasouli, S. Tailoring carboxymethyl cellulose-based food packaging films blended with polyvinyl alcohol and nano-MMT for enhanced performance and shelf life. Cellulose 2025, 32, 999–1015. [Google Scholar] [CrossRef]
- Li, X.; Wu, S.; Feng, T.; Wu, S.; Xu, W.; Wang, Q.; Wang, Y.; Hu, N.; Shi, X. Biodegradable quercetin-incorporated poly(lactic acid)/chitosan functional films: A study of the properties and application in enhancing fish preservation. Foods 2025, 14, 2771. [Google Scholar] [CrossRef] [PubMed]
- Abelti, A.L.; Teka, T.A.; Forsido, S.F.; Tamiru, M.; Bultosa, G.; Alkhtib, A.; Burton, E. Bio-based smart materials for fish product packaging: A review. Int. J. Food Prop. 2022, 25, 857–871. [Google Scholar] [CrossRef]
- Karimi, N.; Alizadeh, A.; Almasi, H.; Hanifian, S. Preparation and characterization of whey protein isolate/polydextrose-based nanocomposite film incorporated with cellulose nanofiber and L. plantarum: A new probiotic active packaging system. LWT 2020, 121, 108978. [Google Scholar] [CrossRef]
- Ucak, I. Physicochemical and antimicrobial effects of gelatin-based edible films incorporated with garlic peel extract on rainbow trout fillets. Prog. Nutr. 2019, 21, 232–240. [Google Scholar] [CrossRef]
- Kuley, E.; Yazgan, H.; Özogul, Y.; Ucar, Y.; Durmus, M.; Özyurt, G.; Ayas, D. Effectiveness of Lactobacilli cell-free supernatant and propolis extract microcapsules on oxidation and microbiological growth in sardine burger. Food Biosci. 2021, 44, 101417. [Google Scholar] [CrossRef]
- Giménez, B.; Gómez-Guillén, M.C.; Pérez-Mateos, M.; Montero, P.; Márquez-Ruiz, G. Evaluation of lipid oxidation in horse mackerel patties covered with borage-containing film during frozen storage. Food Chem. 2011, 124, 1393–1403. [Google Scholar] [CrossRef]
- Salimiraad, S.; Safaeian, S.; Basti, A.A.; Khanjari, A.; Nadoushan, R.M. Characterization of novel probiotic nanocomposite films based on nano chitosan/nano cellulose/gelatin for the preservation of fresh chicken fillets. LWT 2022, 162, 113429. [Google Scholar] [CrossRef]
- Souza, V.G.L.; Fernando, A.L. Nanoparticles in food packaging: Biodegradability and potential migration to food—A review. Food Packag. Shelf Life 2016, 8, 63–70. [Google Scholar] [CrossRef]
- Jo, D.M.; Park, S.K.; Khan, F.; Kang, M.G.; Lee, J.H.; Kim, Y.M. An approach to extend the shelf life of ribbonfish fillet using lactic acid bacteria cell-free culture supernatant. Food Control 2021, 123, 107731. [Google Scholar] [CrossRef]
- Mozaffarzogh, M.; Misaghi, A.; Shahbazi, Y.; Kamkar, A. Evaluation of probiotic carboxymethyl cellulose-sodium caseinate films and their application in extending shelf life quality of fresh trout fillets. LWT 2020, 126, 109305. [Google Scholar] [CrossRef]
- Vilarinho, F.; Andrade, M.; Buonocore, G.G.; Stanzione, M.; Vaz, M.F.; Sanches Silva, A. Monitoring lipid oxidation in a processed meat product packaged with nanocomposite poly(lactic acid) film. Eur. Polym. J. 2018, 98, 362–367. [Google Scholar] [CrossRef]
- Incili, G.K.; Akgöl, M.; Karatepe, P.; Kanmaz, H.; Kaya, B.; Tekin, A.; Hayaloğlu, A.A. Inhibitory effect of bioactive compounds derived from freeze-dried paraprobiotic of Pediococcus acidilactici against food-borne pathogens: In-vitro and food model studies. Food Res. Int. 2023, 170, 113045. [Google Scholar] [CrossRef]
- Echeverria, I.; López-Caballero, M.E.; Gómez-Guillén, M.C.; Mauri, A.N.; Montero, M.P. Active nanocomposite films based on soy proteins–montmorillonite–clove essential oil for the preservation of refrigerated bluefin tuna (Thunnus thynnus) fillets. Int. J. Food Microbiol. 2018, 266, 142–149. [Google Scholar] [CrossRef]
- Gholizadeh, S.; Ehsani, A.; Amjadi, S.; Ahangari, H.; Panahiazar, V. Green packaging system based on hybrid zein/inulin nanofibers activated with copper oxide nanoparticles and Foeniculum vulgare essential oil for preservation of fresh beef. Appl. Food Res. 2025, 5, 100724. [Google Scholar] [CrossRef]
- ICMSF. Sampling plans for fish & shellfish. In Microorganisms in Foods. Sampling for Microbiological Analysis: Principles and Scientific Applications, 2nd ed.; University of Toronto Press: Toronto, ON, Canada, 1986; pp. 181–196. [Google Scholar]
- Arrioja-Bretón, D.; Mani-López, E.; Palou, E.; López-Malo, A. Antimicrobial activity and storage stability of cell-free supernatants from lactic acid bacteria and their applications with fresh beef. Food Control 2020, 115, 107286. [Google Scholar] [CrossRef]
- Wang, J.; Su, Y.; Gu, L.; Chang, C.; Xu, L.; Yang, Y.; Li, J. The inhibition of cell-free supernatants of several lactic acid bacteria on the selected psychrophilic spoilage bacteria in liquid whole egg. Food Control 2021, 123, 107753. [Google Scholar] [CrossRef]
- Moradi, M.; Kousheh, S.A.; Almasi, H.; Alizadeh, A.; Guimarães, J.T.; Yılmaz, N.; Lotfi, A. Postbiotics produced by lactic acid bacteria: The next frontier in food safety. Compr. Rev. Food Sci. Food Saf. 2020, 19, 3390–3415. [Google Scholar] [CrossRef]
- Ceylan, Z.; Sengor, G.F.U.; Yilmaz, M.T. Nanoencapsulation of liquid smoke/thymol combination in chitosan nanofibers to delay microbiological spoilage of sea bass (Dicentrarchus labrax) fillets. J. Food Eng. 2018, 229, 43–49. [Google Scholar] [CrossRef]
- Abbasi, E.; Basiri, S.; Shekarforoush, S.S.; Gholamhosseini, A. The efficacy of tragacanth gel incorporated with cell-free supernatants of Lactobacillus sakei and Lactobacillus curvatus for preserving Pacific white shrimp. Food Control 2023, 150, 109781. [Google Scholar] [CrossRef]
- Perera, K.Y.; Hopkins, M.; Jaiswal, A.K.; Jaiswal, S. Nanoclays-containing bio-based packaging materials: Properties, applications, safety, and regulatory issues. J. Nanostruct. Chem. 2024, 14, 71–93. [Google Scholar] [CrossRef]
- Bandyopadhyay, J.; Ray, S.S. Are nanoclay-containing polymer composites safe for food packaging applications?—An overview. J. Appl. Polym. Sci. 2019, 136, 47214. [Google Scholar] [CrossRef]
- Connolly, M.; Zhang, Y.; Brown, D.M.; Ortuño, N.; Jordá-Beneyto, M.; Stone, V.; Fernandes, T.F.; Johnston, J. Novel polylactic acid (PLA)-organoclay nanocomposite bio-packaging for the cosmetic industry; Migration studies and in vitro assessment of the dermal toxicity of migration extracts. Polym. Degrad. Stab. 2019, 168, 108938. [Google Scholar] [CrossRef]
- Bangar, S.P.; Whiteside, W.S.; Chaudhary, V.; Akhila, P.P.; Sunooj, K.V. Recent functionality developments in montmorillonite as a nanofiller in food packaging. Trends Food Sci. Technol. 2023, 140, 104148. [Google Scholar] [CrossRef]
- Dias, M.V.; Azevedo, V.M.; Santos, T.A.; Pola, C.C.; Lara, B.R.B.; Borges, S.V.; Soares, N.F.F.; Ferreira Soares, N.F.; Alves Medeiros, E.A.; Sarantópoulous, C. Effect of active films incorporated with montmorillonite clay and α-tocopherol: Potential of nanoparticle migration and reduction of lipid oxidation in salmon. Packag. Technol. Sci. 2019, 32, 39–47. [Google Scholar] [CrossRef]
- Avella, M.; De Vlieger, J.J.; Errico, M.E.; Fischer, S.; Vacca, P.; Volpe, M.G. Biodegradable starch/clay nanocomposite films for food packaging applications. Food Chem. 2005, 93, 467–474. [Google Scholar] [CrossRef]
- Koohestani, S.; Moradi, M.; Tajik, H.; Ehsani, A. Evaluation of antimicrobial activity of postbiotics using disc diffusion method. Iran. J. Microbiol. 2018, 10, 234–240. [Google Scholar]
- Kocabey, N.; Yilmaztekin, M.; Hayaloglu, A.A. Effect of maceration duration on physicochemical characteristics, organic acid, phenolic compounds and antioxidant activity of red wine from Vitis vinifera L. Karaoglan. J. Food Sci. Technol. 2016, 53, 3557–3565. [Google Scholar] [CrossRef]
- Emir Coban, O.; Jamshidi, A. Development of bionanocomposite film based on chia seed mucilage incorporated with ZnO nanoparticles and their application for preserving fresh rainbow trout (Oncorhynchus mykiss) fillets. Food Meas. 2024, 18, 1000–1011. [Google Scholar] [CrossRef]
- AOAC. Official Methods of Analysis of the Association of Analytical Chemists, 17th ed.; Arlington, K., Ed.; AOAC International: Gaithersburg, MD, USA, 2002. [Google Scholar]
- Khan, S.; Hashim, S.B.H.; Arslan, M.; Zhang, K.; Bilal, M.; Chen, Z.; Li, Z.; Tahir, H.E.; Zhai, X.; Shishir, R.I.M.; et al. Berry wax improves the physico-mechanical, thermal, water barrier properties and biodegradable potential of chitosan food packaging film. Int. J. Biol. Macromol. 2024, 261, 129821. [Google Scholar] [CrossRef]
- Tarladgis, G.B.; Watts, M.B.; Younathan, T.M. A distillation method for the quantitative determination of malonaldehyde in rancid foods. J. Am. Oil Chem. Soc. 1960, 37, 44–50. [Google Scholar] [CrossRef]





| Bacteria | MIC (%) | MBC (%) | Inhibition Zone Diameter (mm) |
|---|---|---|---|
| Escherichia coli O157:H7 (ATCC 35150) | 25 | 45 | 10.52 ± 0.13 |
| Listeria monocytogenes (ATCC 7644) | 25 | 45 | 11.67 ± 0.22 |
| Component Name | Concentration (mg/L) |
|---|---|
| Gallic Acid | 9.07 ± 1.57 |
| Caftaric | 1.50 ± 0.11 |
| Sinapic | 1.88 ± 0.05 |
| p-coumaric | 2.04 ± 0.01 |
| trans-caffeic acid | 30.14 ± 2.23 |
| 2,5 Dihydroxy Benzoic | 2.89 ± 0.11 |
| Chlorogenic | 2.01 ± 0.04 |
| Protokaucic | 0.04 ± 0.01 |
| 4-Dihydroxy Benzoic | 1.05 ± 0.03 |
| Syringic | 0.08 ± 0.02 |
| T-Cinnamic Acids | 0.33 ± 0.04 |
| Epicatechin | 0.12 ± 0.02 |
| Procyanidin B2 | 0.88 ± 0.10 |
| Catechin | 1.63 ± 0.06 |
| Hesperidin | 0.17 ± 0.01 |
| Kaempferol | 0.63 ± 0.05 |
| Kaempferol-3-Glucoside | 0.78 ± 0.00 |
| Quercetin | 1.52 ± 0.05 |
| Quercetin-3-Glucoside | 1.90 ± 0.02 |
| Luteolin | 1.77 ± 0.02 |
| Myricetin | 2.43 ± 0.08 |
| Compounds | Area (%) |
|---|---|
| Aldehydes and Ketones | |
| Acetoin | 4.12 ± 0.06 |
| Capronaldehyde | 0.12 ± 0.05 |
| Dodecyl aldehyde | 0.07 ± 0.02 |
| 2 Heptanone | 0.02 ± 0.01 |
| 2,5-Dimethyl-4-hydroxy-3(2H)-furanone | 0.11 ± 0.02 |
| 2,5-Dimethyl-2,4-dihydroxy-3(2H)-thiophenone | 0.97 ± 0.08 |
| Acids | |
| Acetic acid | 22.56 ± 0.47 |
| Butyric acid | 0.11 ± 0.02 |
| Isobutyric acid | 0.23 ± 0.01 |
| Dodecanoic acid | 0.21 ± 0.02 |
| Hexadecanoic acid | 1.05 ± 0.12 |
| 2-Hydroxy-propanoic acid | 35.66 ± 2.13 |
| 2-Methyl-propanoic acid | 0.06 ± 0.01 |
| 9-Octadecenoic acid | 0.14 ± 0.02 |
| Alcohols | |
| Heptadecanol | 1.03 ± 0.11 |
| 3-Methyl-1-butanol | 0.05 ± 0.05 |
| 1-Dodecanol | 0.62 ± 0.03 |
| 2-Furanmethanol | 0.13 ± 0.02 |
| 1,3-propanetriol | 0.04 ± 0.05 |
| Esters | |
| Butyl lactate | 0.32 ± 0.13 |
| 2-Hydroxy-methyl propanoate | 0.55 ± 0.03 |
| 1,3-Propanediol | 0.03 ± 0.03 |
| Hexyl salicylate | 0.17 ± 0.05 |
| 2-Ethyl-hexyl acetate | 0.37 ± 0.11 |
| Linalyl formate | 0.12 ± 0.01 |
| Heptyl formate | 0.31± 0.02 |
| Methyl-10-Octadecenoate | 0.02 ± 0.01 |
| Methyl 10-hydroxy octadecanoate | 0.02 ± 0.03 |
| Decyl propanoate | 0.14 ± 0.05 |
| Octadecyl acetate | 4.21 ± 0.30 |
| Hydrocarbons | |
| Isobutane | 0.14 ± 0.03 |
| 1-Hexadecene | 1.97 ± 0.05 |
| 1-Pentadecene | 2.04 ± 0.11 |
| Tridecane | 0.38 ± 0.02 |
| 2,6,10-Trimethyl-dodecane | 0.25 ± 0.07 |
| 1-Non-nadecene | 36.61 ± 0.05 |
| 3,3,4-Trimethyl-1-decene | 1.12 ± 0.02 |
| Acetylurethane | 0.05 ± 0.01 |
| Phenyl and Phenolic Compounds | |
| 3-Phenyl-2-propenoic acid | 0.36 ± 0.07 |
| Diphenyl-methanone | 0.55 ± 0.10 |
| 2,4-Di-tert-butyl phenol | 16.47 ± 0.31 |
| Benzyl salicylate | 0.14 ± 0.05 |
| Dioctyl-1,2-benzenedicarboxylate | 0.04 ± 0.02 |
| α-Hydroxy-benzenepropanoic acid | 0.63 ± 0.07 |
| Benzylmalonic acid | 0.17 ± 0.05 |
| Pyrazine, Piranone and Pyrrole Compounds | |
| 2-Methyl pyrazine | 0.13 ± 0.05 |
| 2-Ethyl-3-methoxy-pyrazine | 0.09 ± 0.02 |
| 2,3-Dihydro-3,5-dihydroxy-6-methyl-4H-pyran-4-one | 6.77± 0.08 |
| Pyrrolo [1,2-a]pyrazine-1,4-dione, Hexahydro-3-(2-methylpropyl) | 9.65 ± 0.09 |
| Pyrrolo [1,2-a]pyrazine-1,4-dione, Hexahydro-3-(phenylmethyl) | 20.67 ± 0.12 |
| Films | L* | a* | b* | ΔE |
|---|---|---|---|---|
| Ch 0. days | 72.12 ± 0.21 | −0.18 ± 0.04 | 19.22 ± 0.14 | 4.14 ± 0.55 |
| 18. days | 60.05 ± 0.12 | 0.25 ± 0.12 | 12.20 ± 0.03 | 4.42 ± 0.06 |
| Ch/%1 MMT 0. days | 68.23 ± 0.09 | −0.43 ± 0.12 | 17.51 ± 0.10 | 3.90 ± 0.12 |
| 18. days | 54.12 ± 0.14 | 0.11 ± 0.05 | 13.55 ± 0.07 | 4.02 ± 0.13 |
| Ch/%2 MMT 0. days | 66.25 ± 0.12 | −0.49 ± 0.07 | 15.10 ± 0.06 | 3.95 ± 0.04 |
| 18. days | 50.12 ± 0.17 | 0.10 ± 0.02 | 12.36 ± 0.05 | 4.47 ± 0.11 |
| Ch/%50 PP 0. days | 73.66 ± 0.12 | −0.22 ± 0.03 | 22.26 ± 0.14 | 4.96 ± 0.05 |
| 18. days | 68.47 ± 0.15 | 2.45 ± 0.14 | 20.01 ± 0.11 | 5.13 ± 0.08 |
| Ch/%100 PP 0. days | 73.92 ± 0.52 | −0.28 ± 0.02 | 25.76 ± 0.08 | 4.41 ± 0.08 |
| 18. days | 68.90 ± 0.14 | 2.58 ± 0.05 | 24.03 ± 0.03 | 5.29 ± 0.06 |
| Ch/%1MMT/%50 PP 0. days | 71.03 ± 0.21 | −0.33 ± 0.07 | 17.45 ± 0.07 | 4.32 ± 0.09 |
| 18. days | 65.15 ± 0.36 | 1.05 ± 0.03 | 15.29 ± 0.12 | 3.88 ± 0.11 |
| Ch/%1MMT/%100 PP 0. days | 72.20 ± 0.11 | −0.25 ± 0.01 | 17.90 ± 0.15 | 4.36 ± 0.09 |
| 18. days | 67.98 ± 0.08 | 1.23 ± 0.16 | 16.13 ± 0.08 | 5.16 ± 0.11 |
| Ch/%2MMT/%50 PP 0. days | 70.05 ± 0.15 | −0.43 ± 0.02 | 15.66 ± 0.05 | 4.44 ± 0.15 |
| 18. days | 65.55 ± 0.15 | 0.88 ± 0.08 | 13.14 ± 0.07 | 5.26 ± 0.10 |
| Ch/%2MMT/%100 PP 0. days | 71.26 ± 0.04 | −0.56 ± 0.03 | 15.20 ± 0.10 | 4.30 ± 0.08 |
| 18. days | 67.70 ± 0.12 | 0.93 ± 0.17 | 13.66 ± 0.08 | 5.68 ± 0.11 |
| Films | Fe | Mg | Si |
|---|---|---|---|
| Oncorhynchus mykiss meat | 3.00 ± 0.12 c | 0.32 ± 0.01 c | 0.00 ± 0.00 c |
| Ch/%1 MMT | 3.54 ± 0.20 b | 0.88 ± 0.01 b | 0.02 ± 0.00 b |
| Ch/%2 MMT | 3.91 ± 0.14 a | 1.35 ± 0.01 a | 0.03 ± 0.00 a |
| Ch/%1MMT/%50 PP | 3.52 ± 0.21 b | 0.86 ± 0.01 b | 0.01 ± 0.01 b |
| Ch/%1MMT/%100 PP | 3.52 ± 0.17 b | 0.86 ± 0.02 b | 0.02 ± 0.01 b |
| Ch/%2MMT/%50 PP | 3.90 ± 0.08 a | 1.32 ± 0.02 a | 0.03 ± 0.00 a |
| Ch/%2MMT/%100 PP | 3.89 ± 0.12 a | 1.31 ± 0.02 a | 0.03 ± 0.00 a |
| Experimental Groups | Applications |
|---|---|
| Ch | Film made with pure chia mucilage |
| Ch/%1 MMT | Film made with chia and 1% MMT |
| Ch/%2 MMT | Film made with chia and 2% MMT |
| Ch/%50 PP | Film made with chia and 50% postbiotic |
| Ch/%100 PP | Film made with chia and 100% postbiotic |
| Ch/%1MMT/%50 PP | Film made with chia, 1% MMT and 50% postbiotic |
| Ch/%1MMT/%100 PP | Film made with chia, 1% MMT and 100% postbiotic |
| Ch/%2MMT/%50 PP | Film made with chia, 2% MMT and 50% postbiotic |
| Ch/%2MMT/%100 PP | Film made with chia, 2% MMT and 100% postbiotic |
Disclaimer/Publisher’s Note: The statements, opinions and data contained in all publications are solely those of the individual author(s) and contributor(s) and not of MDPI and/or the editor(s). MDPI and/or the editor(s) disclaim responsibility for any injury to people or property resulting from any ideas, methods, instructions or products referred to in the content. |
© 2026 by the authors. Licensee MDPI, Basel, Switzerland. This article is an open access article distributed under the terms and conditions of the Creative Commons Attribution (CC BY) license.
Share and Cite
Emir Çoban, Ö.; Dağdelen, F.; Okutan, T. Characterization and Antimicrobial Activity Assessment of Postbiotic-Loaded Chia Mucilage–Montmorillonite Films Developed for Food Systems. Gels 2026, 12, 122. https://doi.org/10.3390/gels12020122
Emir Çoban Ö, Dağdelen F, Okutan T. Characterization and Antimicrobial Activity Assessment of Postbiotic-Loaded Chia Mucilage–Montmorillonite Films Developed for Food Systems. Gels. 2026; 12(2):122. https://doi.org/10.3390/gels12020122
Chicago/Turabian StyleEmir Çoban, Özlem, Fethi Dağdelen, and Tuba Okutan. 2026. "Characterization and Antimicrobial Activity Assessment of Postbiotic-Loaded Chia Mucilage–Montmorillonite Films Developed for Food Systems" Gels 12, no. 2: 122. https://doi.org/10.3390/gels12020122
APA StyleEmir Çoban, Ö., Dağdelen, F., & Okutan, T. (2026). Characterization and Antimicrobial Activity Assessment of Postbiotic-Loaded Chia Mucilage–Montmorillonite Films Developed for Food Systems. Gels, 12(2), 122. https://doi.org/10.3390/gels12020122

