Sign in to use this feature.

Years

Between: -

Subjects

remove_circle_outline
remove_circle_outline
remove_circle_outline
remove_circle_outline
remove_circle_outline
remove_circle_outline
remove_circle_outline
remove_circle_outline
remove_circle_outline

Journals

Article Types

Countries / Regions

Search Results (129)

Search Parameters:
Keywords = monoglyceride

Order results
Result details
Results per page
Select all
Export citation of selected articles as:
23 pages, 2789 KB  
Article
Formulation and Characterization of Edible Bigel Inks for Structuring Fat Alternatives in 3D-Printed Foods
by Konstantina Zampouni, Theocharis Salamandrakis, Triantafyllia Biza, Thomas Moschakis and Eugenios Katsanidis
Gels 2026, 12(3), 254; https://doi.org/10.3390/gels12030254 - 18 Mar 2026
Viewed by 52
Abstract
Bigels (BGs) are promising biphasic systems for extrusion-based 3D food printing inks. In this study, BG inks were formulated by combining a 6% beeswax—4% monoglycerides oleogel (OG) with a 4% gelatin—1% guar gum hydrogel (HG). The BGs were formulated at OG:HG ratios of [...] Read more.
Bigels (BGs) are promising biphasic systems for extrusion-based 3D food printing inks. In this study, BG inks were formulated by combining a 6% beeswax—4% monoglycerides oleogel (OG) with a 4% gelatin—1% guar gum hydrogel (HG). The BGs were formulated at OG:HG ratios of 10:90 up to 50:50. The effect of the OG:HG ratio on appearance, microstructure, extrusion, rheological and thermal characteristics was investigated to assess printability and shape fidelity. All formulations showed no signs of phase separation during storage, while changes in color were observed with increasing OG content, suggesting modifications in phase distribution and light-scattering behavior. Increasing the OG content induced a transition from OG-in-HG systems to a bicontinuous structure at a 50:50 ratio. All inks showed shear-thinning behavior (G′ > G″) and viscoelastic properties suitable for 3D printing. BG with intermediate OG contents displayed moderate extrusion forces (7.27–9.00 N) and improved structural recovery (up to ≈60%), consistent with desirable printability and appropriate yield/flow points to ensure shape fidelity after deposition. Thermal analysis further confirmed the coexistence of OG and HG phases, ensuring structural integrity at printing temperature. These findings demonstrate the potential of BG as tunable, fat-reduced inks for 3D food structuring. Full article
(This article belongs to the Special Issue Food Hydrocolloids and Hydrogels: Rheology and Texture Analysis)
Show Figures

Figure 1

12 pages, 1521 KB  
Article
Study on Preparation and Performance Testing of Silica-Composite Organic Phase Change Material Microcapsules
by Limin Chen, Jun Li, Lixiang Zhu and Yiwei Zhu
Polymers 2026, 18(4), 541; https://doi.org/10.3390/polym18040541 - 23 Feb 2026
Viewed by 385
Abstract
This study employs a mono-caprylate waterborne polyurethane microencapsulation technique to construct a core–shell phase-change microcapsule system with a structured composite core material. By integrating a silica network with phase change materials (ethyl palmitate/paraffin), a stable core material is formed. The silica not only [...] Read more.
This study employs a mono-caprylate waterborne polyurethane microencapsulation technique to construct a core–shell phase-change microcapsule system with a structured composite core material. By integrating a silica network with phase change materials (ethyl palmitate/paraffin), a stable core material is formed. The silica not only acts as a physical framework to prevent leakage but also regulates the phase change temperature and latent heat through molecular interactions at its surface active sites. The shell layer polyurethane, derived from a fatty acid monoglyceride prepolymer, exhibits a structure highly similar to that of the core material, ensuring efficient and complete encapsulation, while the aqueous system aligns with green manufacturing requirements. The system successfully achieves two types of performance-tunable microcapsules: the silica–ethyl palmitate type exhibits a broad phase change temperature range near room temperature, while the silica–paraffin type demonstrates high latent heat of phase change in the medium-temperature range. This diversity in performance broadens the material’s application scenarios. Its broad temperature range characteristic is particularly suitable for building energy efficiency and electronic thermal management fields, effectively mitigating temperature fluctuations and reducing energy consumption, demonstrating significant application value and innovative potential. Full article
(This article belongs to the Section Polymer Composites and Nanocomposites)
Show Figures

Figure 1

19 pages, 2117 KB  
Article
Development and Characterization of Oleogels from Avocado Oil and Monoglycerides
by Michael Moreno-Caballero, Jenny Paola Ortega-Barbosa, Liliam Alexandra Palomeque-Forero, María Cristina Lizarazo-Aparicio, Diego Miranda-Lasprilla, Diego Ballesteros-Vivas, Fabián Parada-Alfonso and Elena Ibañez-Ezequiel
Foods 2026, 15(3), 478; https://doi.org/10.3390/foods15030478 - 30 Jan 2026
Cited by 1 | Viewed by 378
Abstract
The growing demand for healthier lipid alternatives has driven interest in oleogels as promising substitutes for the conventional saturated and trans fats in foods systems. In this context, this study explores the formulation and characterization of oleogels based on avocado oil (Persea [...] Read more.
The growing demand for healthier lipid alternatives has driven interest in oleogels as promising substitutes for the conventional saturated and trans fats in foods systems. In this context, this study explores the formulation and characterization of oleogels based on avocado oil (Persea americana var. Lorena) and monoglycerides, as an alternative to conventional saturated fats. Hydraulic compression was used to extract the oil, and the formulation was optimized using a Box–Behnken experimental design, evaluating the effects of temperature (70–90 °C), monoglyceride concentration (4–8%), and heating time (15–45 min) on oil retention capacity (ORC) and firmness. Results showed that temperature and concentration significantly influenced ORC and firmness, while heating time had no relevant effect. The optimal formulation achieved 85.95% ORC, 1.09 N firmness, and superior oxidative stability (41.71 h vs. 10.80 h in pure oil, Rancimat test). The obtained oleogel exhibited good mechanical and thermal properties, with an elastic-dominant rheological profile and higher oxidation resistance compared to unmodified avocado oil. These findings indicate that the avocado oleogels structured with monoglycerides have potential applications in the food and cosmetic industries, although further improvements in structural stability are recommended to broaden their range of applications. Full article
Show Figures

Figure 1

10 pages, 1134 KB  
Article
Chemolysis of Bio-Based Polyurethane Foams with Different Biopolyol Contents: Recovery and Possibility of Rebiopolyols Reuse in Sustainable Polyurethane Systems
by Maria Kurańska, Elżbieta Malewska, Łukasz Bonder, Michał Kucała and Marcin Zemła
Materials 2025, 18(24), 5538; https://doi.org/10.3390/ma18245538 - 10 Dec 2025
Cited by 1 | Viewed by 422
Abstract
Rigid polyurethane foams obtained using different amounts of biopolyol synthesized via transesterification of rapeseed oil with triethanolamine were subjected to glycolysis in order to obtain rebiopolyols. It was demonstrated that the biopolyol content in the parent foam influences both the chemical structure and [...] Read more.
Rigid polyurethane foams obtained using different amounts of biopolyol synthesized via transesterification of rapeseed oil with triethanolamine were subjected to glycolysis in order to obtain rebiopolyols. It was demonstrated that the biopolyol content in the parent foam influences both the chemical structure and the properties of the recovered rebiopolyols. FTIR and GPC analyses confirmed changes in the proportions of urethane, ester, and ether linkages. They also revealed the release of free triethanolamine and the formation of monoglycerides resulting from partial cleavage of fatty acid ester groups originally present in the biopolyol. Increasing the biopolyol content led to a reduction in the viscosity and the number-average molecular weight, along with an increase in the amine number. The rebiopolyols were preliminarily evaluated in polyurethane formulations, and FOAMAT measurements indicated an increase in the foaming reactivity with a higher amine content. Complete replacement of the petrochemical polyol with rebiopolyols was possible only when the starting foam contained up to 50 wt% biopolyol, while higher biopolyol contents resulted in excessive reactivity. These results demonstrate that the biopolyol content in the foam subjected to glycolysis is the key factor determining the suitability of rebiopolyols for reuse in the synthesis of new polyurethane foams. Full article
(This article belongs to the Section Polymeric Materials)
Show Figures

Figure 1

18 pages, 7609 KB  
Article
Comparative Analysis of the Composition of Exosome-like Nanoparticles from Dried and Fresh Portulaca oleracea L.
by Yinjie Ma, Kaige Yang, Hai Hu, Wenchang Fu, Ce Li, Yutong Zeng, Xinyan Li and Yan Wang
Molecules 2025, 30(24), 4715; https://doi.org/10.3390/molecules30244715 - 9 Dec 2025
Viewed by 889
Abstract
Plant-derived extracellular vesicles (PEVs) have emerged as a promising area of research in biotechnology with enormous potential in drug delivery, skincare, and functional foods. Currently, PEVs are obtained primarily from fresh and dried materials through soaking and extraction; however, little is known about [...] Read more.
Plant-derived extracellular vesicles (PEVs) have emerged as a promising area of research in biotechnology with enormous potential in drug delivery, skincare, and functional foods. Currently, PEVs are obtained primarily from fresh and dried materials through soaking and extraction; however, little is known about the differences in their contents. Using Portulaca oleracea L. as the research object, this study firstly employed a method that combined differential and ultracentrifugation with membrane filtration to separate and purify exosome-like nanoparticles from dried material (D-PELNs) and fresh material (F-PELNs). Then, multi-omics analysis compared the small-molecule metabolites, lipid profiles, and protein expression patterns. Both D-PELNs and F-PELNs showed typical cup-shaped morphology, with mean particle sizes of 139 nm and 186 nm, and mean zeta potentials of −16.015 ± 0.335 mV and −6.29 ± 0.19 mV, respectively. Both types contained diverse small-molecule metabolites. Among them, terpenoids (e.g., caesaldekarin e) were more abundant in F-PELNs, whereas carboxylic acids and their derivatives (e.g., citric acid) were predominantly found in D-PELNs. Both types had abundant lipids. D-PELNs exhibited greater lipid diversity than F-PELNs, with notable enrichment in phosphatidylcholine (18.48%) and ceramide (17.02%). F-PELNs mainly consisted of functional neutral lipids, such as monoglycerides and triglycerides. Proteins involved in plant morphogenesis and secondary-metabolite biosynthesis were also identified. Proteins from both Portulaca oleracea L.-derived exosome-like nanoparticles (PELNs) were localized to intracellular structures, including the cytoplasm and mitochondria of the cells. D-PELNs had a higher protein content related to carbon metabolism, whereas F-PELNs were more enriched in proteins related to secondary metabolite synthesis. In summary, D-PELNs and F-PELNs were successfully isolated and characterized, and their compositions were analyzed and compared using multi-omics approaches. These findings identify the specific chemical components of PELNs and offer new insights for comparing the compositional differences between exosome-like nanoparticles derived from dried and fresh plant states. Full article
Show Figures

Figure 1

25 pages, 6335 KB  
Article
Fungal–Algal Co-Pellets from Coffee Effluent: A Sustainable Biorefinery Approach for Bioproducts and Waste Treatment
by Dalel Daâssi, Nesrine Ghorraf, Ikram Ben Ismail, Amina Maalej, Fatma Ben Amor, Sirine Choura and Mohamed Chamkha
Catalysts 2025, 15(12), 1102; https://doi.org/10.3390/catal15121102 - 25 Nov 2025
Viewed by 989
Abstract
This study looked at a fungal–cyanobacterial co-pellet system for cleaning up coffee waste and producing high-value polymers. Optimization focused on the pelletization process, waste removal efficiency, and biomass yield. Optimal conditions, including pH (6.5), glucose concentration (6 g/L), and shaking speed (130 rpm), [...] Read more.
This study looked at a fungal–cyanobacterial co-pellet system for cleaning up coffee waste and producing high-value polymers. Optimization focused on the pelletization process, waste removal efficiency, and biomass yield. Optimal conditions, including pH (6.5), glucose concentration (6 g/L), and shaking speed (130 rpm), achieved a maximum cyanobacterial immobilization efficiency of up to 97% on the fungal mycelium. Scanning electron microscopy (SEM) confirmed the formation of an integrated co-pellet structure, with fungal hyphae acting as a physical scaffold and extracellular polymeric substances (EPSs) enhancing cell–cell adhesion. The co-culture system exhibited superior performance compared to fungal (20.56 g/L) and algal (1.09 g/L) monocultures. It effectively removed major coffee effluent pollutants, achieving a significant reduction in total phenolic compounds (74.5%). Furthermore, the co-pellets displayed a remarkable final biomass yield (24.33 g/L) and high production of extracellular polymeric substances (EPSs) (5.28 g/L) and intracellular polymeric substances (IPSs) (3.84 g/L). The synergistic relationship was further confirmed by high nitrogen contents in the co-pellets (15.24%), which significantly surpassed that of the individual fungal biomass, suggesting interspecies nutrient transfer. Valuable glycerol-lipids were detected and identified in the fermentative broth of the co-culture confirming a highly efficient bioconversion process. Analyses revealed a targeted metabolic flow toward the accumulation of monoglycerides, notably monooleoylglycerol and monopalmitin, highlighting a powerful cooperative compatibility for producing high-value emulsifiers. Overall, these findings firmly establish the cyano-fungal co-pellet system as a robust and sustainable biorefinery approach for treating complex industrial wastewater while producing a high-quality, value-added biomass suitable for utilization as a biofertilizer or animal feed. Full article
(This article belongs to the Section Biocatalysis)
Show Figures

Graphical abstract

18 pages, 5982 KB  
Article
Optimization of Preparation Technology and Evaluation of Antimicrobial Products by Glycerolysis of Black Soldier Fly (Hermetia illucens) Larvae Oil
by Kun Luo, Chen Chen, Jiaxin Liao, Junbo He, Yanxia Cong and Weinong Zhang
Insects 2025, 16(11), 1163; https://doi.org/10.3390/insects16111163 - 14 Nov 2025
Viewed by 901
Abstract
The growing problem of antibiotic resistance and associated side effects underscores the need for exploring novel therapeutic strategies. The utilization of insect resources is being investigated as one potential avenue in this context. The effective utilization of insect resources represents a promising pathway [...] Read more.
The growing problem of antibiotic resistance and associated side effects underscores the need for exploring novel therapeutic strategies. The utilization of insect resources is being investigated as one potential avenue in this context. The effective utilization of insect resources represents a promising pathway to this end. This study focuses on investigating the glycerolysis of black soldier fly (Hermetia illucens) larvae (BSFL) oil, which is rich in lauric acid, to optimize the production of antimicrobial monoglycerides. Response surface optimization yielded the following optimal conditions: 35.5 min, 219 °C, 0.72% sodium methoxide catalyst, and a 1:4 molar ratio of triglyceride to glycerol. Under these conditions, monoglycerides accounted for 55.86% of the product, specifically glycerol monolaurate, accounting for 29.47%; this mixture showed notable antimicrobial activity against Staphylococcus aureus, methicillin-resistant Staphylococcus aureus (MRSA), Staphylococcus epidermidis, Escherichia coli, and Pseudomonas aeruginosa. After purification via the solvent crystallization method, the monoglyceride content rose to 69.64%, while the glycerol monolaurate content increased to 35.24%, resulting in enhanced antimicrobial efficacy. Notably, monoglycerides were more effective against Gram-positive than Gram-negative bacteria, consistent with their known membrane-targeting specificity. Importantly, the potent activity against MRSA highlights the potential of these MAGs to combat antibiotic-resistant strains. These findings indicate that BSFL oil is a sustainable feedstock for producing antimicrobial agents with in vitro efficacy. This work supports the further investigation of MAGs derived from BSFL oil as potential candidates to complement existing antibiotics, particularly against resistant strains such as MRSA. Full article
(This article belongs to the Section Role of Insects in Human Society)
Show Figures

Graphical abstract

10 pages, 2117 KB  
Proceeding Paper
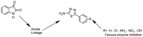
Computational Screening and Synthesis of Some Isatin-Thiadiazole Hybrids Potentially Targeting Diabetes
by Monika, Nishtha Shalmali and Priyanshu
Chem. Proc. 2025, 18(1), 144; https://doi.org/10.3390/ecsoc-29-26687 - 11 Nov 2025
Viewed by 256
Abstract
This study explores the design, synthesis and preliminary in silico screening of novel thiadiazole-isatin hybrid derivatives targeting diabetes mellitus. Building on thiadiazole and isatin compounds’ demonstrated antidiabetic potential, the research objectives were to design and synthesize thiadiazole-isatin hybrids and evaluate their antidiabetic potential. [...] Read more.
This study explores the design, synthesis and preliminary in silico screening of novel thiadiazole-isatin hybrid derivatives targeting diabetes mellitus. Building on thiadiazole and isatin compounds’ demonstrated antidiabetic potential, the research objectives were to design and synthesize thiadiazole-isatin hybrids and evaluate their antidiabetic potential. The methodology encompassed a literature review, computational screening using “molecular docking, ADME prediction, Lipinski’s rule”, and the synthesis of thiadiazole intermediates from thiosemicarbazide combined with isatin derivatives. The key findings revealed that compounds 2a and 2b exhibit favorable binding affinity with “human aldose reductase, monoglyceride lipase, GLP-1, and alpha-amylase”, satisfying Lipinski’s rule for optimal drug likeness. Docking scores ranged from −10.6 to −7.0 for 2a and −10.2 to −7.0 for 2b. Thiadiazole-isatin derivatives, particularly 2a and 2b, demonstrate promise as antidiabetic agents through multi-enzyme inhibition, warranting pre-clinical and in vitro validation. This research offers a novel therapeutic strategy for diabetes management and potential pharmaceutical lead compounds. Future directions include experimental validation, in vitro and in vivo efficacy studies, and structure–activity relationship exploration, contributing to innovative antidiabetic therapies. Full article
Show Figures

Figure 1

15 pages, 2146 KB  
Article
Synergistic Membrane Disruption of E. coli Tethered Lipid Bilayers by Antimicrobial Lipid Mixtures
by Tun Naw Sut, Bo Kyeong Yoon and Joshua A. Jackman
Biomimetics 2025, 10(11), 739; https://doi.org/10.3390/biomimetics10110739 - 4 Nov 2025
Viewed by 826
Abstract
Biomimetic lipid platforms provide versatile tools for mimicking various types of biological membranes and enable investigation of how industrially important amphiphiles (e.g., permeation enhancers and surfactants) interact with different membrane compositions. For example, antimicrobial lipids such as medium-chain fatty acids (FAs) and monoglycerides [...] Read more.
Biomimetic lipid platforms provide versatile tools for mimicking various types of biological membranes and enable investigation of how industrially important amphiphiles (e.g., permeation enhancers and surfactants) interact with different membrane compositions. For example, antimicrobial lipids such as medium-chain fatty acids (FAs) and monoglycerides (MGs) are promising antibiotic alternatives that disrupt bacterial membranes and their distinct mechanisms of action are a topic of ongoing interest. The potency and targeting spectrum of individual antimicrobial lipids vary and mixing different lipids can improve functional activities. Biophysical studies indicate that optimally tuned mixtures exhibit greater disruption of synthetic lipid bilayers; however, their activity against more complex bacterial membrane compositions is largely unexplored. Herein, we applied electrochemical impedance spectroscopy (EIS) to investigate how two MG/FA pairs—composed of 10-carbon long monocaprin (MC) with capric acid (CA) and 12-carbon long glycerol monolaurate (GML) with lauric acid (LA)—disrupt tethered lipid bilayers composed of Escherichia coli bacterial lipids. While MC and CA individually inhibit E. coli, MC/CA mixtures at intermediate ratios displayed synergistic membrane-disruptive activity. Mechanistic studies showed that this synergistic activity depends on the MC/CA molar ratio rather than total lipid concentration. In contrast, GML/LA mixtures had weak membrane interactions across all tested ratios and lacked synergy, which is consistent with their low activity against E. coli. Together, the EIS results reveal that an effective disruption synergy against target membranes can arise from combining individually active antimicrobial lipids with distinct membrane-interaction profiles, laying the foundation to develop potent antimicrobial lipid formulations for tackling antibiotic-resistant bacteria. Full article
(This article belongs to the Special Issue Biomimicry and Functional Materials: 5th Edition)
Show Figures

Graphical abstract

30 pages, 11101 KB  
Article
Influence of Processing and Stabilizer Selection on Microstructure, Stability and Rheology of Emulsion-Based Semisolid Formulations
by Ruochen Yang, Xin Yi Tee, Sendhil Kumar Poornachary, Elena Simone and Pui Shan Chow
Pharmaceutics 2025, 17(9), 1221; https://doi.org/10.3390/pharmaceutics17091221 - 20 Sep 2025
Cited by 1 | Viewed by 1341
Abstract
Background/Objectives: Emulsion-based semisolid formulations are important delivery systems for many applications, including pharmaceuticals, cosmetics and food. The manufacturing process for such formulations typically involves a series of heating, cooling, mixing and emulsification steps. Stabilizing agents are usually included in such formulations, as [...] Read more.
Background/Objectives: Emulsion-based semisolid formulations are important delivery systems for many applications, including pharmaceuticals, cosmetics and food. The manufacturing process for such formulations typically involves a series of heating, cooling, mixing and emulsification steps. Stabilizing agents are usually included in such formulations, as emulsions are intrinsically unstable and are prone to various destabilization mechanisms. Precise control of each processing parameter and the selection of an appropriate stabilizing agent are essential for delivering products with long-term stability and the desired properties. In this study, the effects of emulsification temperature and the selection of the stabilizing agent on key product attributes were investigated to enable improved design and optimization of both the formulation and manufacturing process. Methods: Model emulsion systems containing propylene glycol (PG) as the dispersed phase and mineral oil as the continuous phase were prepared at different emulsification temperatures to cover both pre-crystallization and post-crystallization regimes. Three stabilizing agents, namely mono-and-diglyceride (MDG), neat monoglyceride (MG) and neat diglyceride (DG), were studied. Their crystallization behavior was first examined to determine crystallization temperatures and crystal morphologies. The resulting emulsion samples were then characterized in terms of their microstructure, physical stability and rheological properties. Results: The emulsions prepared under post-crystallization conditions exhibited better physical stability, higher rheological parameters (crossover stress and viscosity) and a more rigid microstructure compared to those formed under pre-crystallization conditions, regardless of the stabilizer used. Rheological properties were found to corelate well with physical stability. In the pre-crystallization regime, poor stability could partially be mitigated by lowering the emulsification temperature. MG was generally more effective than DG in stabilizing the emulsions and led to higher rheological properties, despite both crystallizing into the same polymorph within the system. This difference in performance was attributed to variations in the crystal morphology and spatial distribution within the emulsion. Notably, the MG-stabilized emulsions also displayed a self-hardening effect during storage. Conclusions: The selection of the appropriate stabilizing agents and processing conditions tailored to the specific system is critical for the successful manufacture of emulsion-based semisolid products with an optimized performance. Full article
(This article belongs to the Section Pharmaceutical Technology, Manufacturing and Devices)
Show Figures

Graphical abstract

17 pages, 2466 KB  
Article
Fabrication, Characterization, and In Vitro Digestion Behavior of Bigel Loaded with Notoginsenoside Rb1
by Yang Luo, Gao Xiong, Xiao Gong, Chunlei Xu, Yingqiu Tian and Guanrong Li
Gels 2025, 11(8), 624; https://doi.org/10.3390/gels11080624 - 9 Aug 2025
Viewed by 1264
Abstract
Notoginsenoside Rb1 (Rb1), a bioactive saponin from Panax notoginseng, exerts cardio-cerebrovascular protective, anti-inflammatory, antioxidant, and glucose homeostasis-regulating effects. However, its oral bioavailability is limited by gastric degradation and poor intestinal permeability. This study presents a food-grade bigel system for encapsulating Rb1 to enhance [...] Read more.
Notoginsenoside Rb1 (Rb1), a bioactive saponin from Panax notoginseng, exerts cardio-cerebrovascular protective, anti-inflammatory, antioxidant, and glucose homeostasis-regulating effects. However, its oral bioavailability is limited by gastric degradation and poor intestinal permeability. This study presents a food-grade bigel system for encapsulating Rb1 to enhance its stability and controlled-release performance. Oleogels were structured using monoglycerides (8%, w/w) in soybean oil. Rb1-loaded binary hydrogels (gellan gum/xanthan gum, 12:1 w/w) were emulsified in 10% Tween-80 (w/w). Bigels were formulated at varying hydrogel-to-oleogel ratios, and a ratio of 4:6 was identified as optimal. Stress-sweep rheological analysis revealed a dense gel structure with a peak storage modulus (G′) of 290.64 Pa—the highest among all tested ratios—indicating superior structural integrity. Confocal microscopy confirmed homogeneous encapsulation of Rb1 within the continuous hydrogel phase, effectively preventing payload leakage. Differential scanning calorimetry (DSC) analysis detected a distinct endothermic transition at 55 °C (ΔH = 6.25 J/g), signifying energy absorption that enables thermal buffering during food processing. The system achieved an encapsulation efficiency of 99.91% and retains both water and oil retention. Effective acid protection and colon-targeted delivery were observed in the digestion test. Effective acid protection and colon-targeted delivery were observed in the digestion test. Less than 5% of Rb1 was released in the gastric phase, and over 90% sustained intestinal release occurred at 4 h. The optimized bigel effectively protected Rb1 from gastric degradation and enabled sustained intestinal release. Its food-grade composition, thermal stability, and tunable rheology offer significant potential for use in functional foods and nutraceuticals. Full article
(This article belongs to the Special Issue Advanced Gels in the Food System)
Show Figures

Figure 1

13 pages, 1859 KB  
Article
Suspension Fertilizers Based on Waste Organic Matter from Peanut Oil Extraction By-Products
by Sainan Xiang, Baoshen Li and Yang Lyu
Agronomy 2025, 15(8), 1885; https://doi.org/10.3390/agronomy15081885 - 5 Aug 2025
Cited by 2 | Viewed by 1239
Abstract
The use of chemical fertilizers has significantly increased crop yields but has also led to soil problems such as nutrient imbalance and salinization. In response, organic fertilizers have emerged as a crucial component for sustainable agricultural development. This study was designed to develop [...] Read more.
The use of chemical fertilizers has significantly increased crop yields but has also led to soil problems such as nutrient imbalance and salinization. In response, organic fertilizers have emerged as a crucial component for sustainable agricultural development. This study was designed to develop an easily applicable organic suspension fertilizer using peanut bran, the primary by-product of peanut oil extraction, as the main raw material. Fourier-transform infrared (FTIR) analysis revealed that 80 °C is the optimal heating temperature for forming a stable peanut-bran suspension. A comprehensive experimental investigation was conducted to evaluate the effects of different peanut bran addition levels, stabilizers, emulsifiers, and suspending agents on the stability of suspension fertilizers. The results identified the optimal suspension fertilizer formulation as comprising 20% peanut bran, 0.5% sodium bentonite, 0.1% monoglyceride, 0.2% sucrose ester, 0.02% carrageenan, and 0.3% xanthan gum. This formulation ensures good stability and fluidity of the suspension fertilizer while maintaining a low cost of 0.134 USD·kg−1. The findings provide a scalable technological framework for valorizing agro-industrial waste into high-performance organic fertilizers. Full article
Show Figures

Figure 1

19 pages, 1721 KB  
Article
Bioassay-Guided Isolation of cis-Clerodane Diterpenoids and Monoglycerides from the Leaves of Solidago gigantea and Their Antimicrobial Activities
by Márton Baglyas, Péter G. Ott, Zoltán Bozsó, Ildikó Schwarczinger, József Bakonyi, Dénes Dlauchy, András Darcsi, Szilárd Varga and Ágnes M. Móricz
Plants 2025, 14(14), 2152; https://doi.org/10.3390/plants14142152 - 11 Jul 2025
Cited by 1 | Viewed by 1266
Abstract
A previously undescribed cis-clerodane diterpenoid, diangelate solidagoic acid J (1), along with two known cis-clerodane diterpenoids, solidagoic acid C (2) and solidagoic acid D (3), as well as two known unsaturated monoacylglycerols, 1-linoleoyl glycerol ( [...] Read more.
A previously undescribed cis-clerodane diterpenoid, diangelate solidagoic acid J (1), along with two known cis-clerodane diterpenoids, solidagoic acid C (2) and solidagoic acid D (3), as well as two known unsaturated monoacylglycerols, 1-linoleoyl glycerol (4) and 1-α-linolenoyl glycerol (5), were isolated and characterized from the n-hexane leaf extract of Solidago gigantea (giant goldenrod). Compounds 25 were identified first in this species, and compounds 4 and 5 are reported here for the first time in the Solidago genus. The bioassay-guided isolation procedure included thin-layer chromatography (TLC) coupled with a Bacillus subtilis antibacterial assay, preparative flash column chromatography, and TLC–mass spectrometry (MS). Their structures were elucidated via extensive spectroscopic and spectrometric techniques such as one- and two-dimensional nuclear magnetic resonance (NMR) spectroscopy and high-resolution tandem mass spectrometry (HRMS/MS). The antimicrobial activities of the isolated compounds were evaluated by a microdilution assay. All compounds exhibited weak to moderate antibacterial activity against the Gram-positive plant pathogen Clavibacter michiganensis, with MIC values ranging from 17 to 133 µg/mL, with compound 5 being the most potent. Only compound 1 was active against Curtobacterium flaccumfaciens pv. flaccumfaciens, while compound 3 demonstrated a weak antibacterial effect against B. subtilis and Rhodococcus fascians. Additionally, the growth of B. subtilis and R. fascians was moderately inhibited by compounds 1 and 5, respectively. None of the tested compounds showed antibacterial activity against Gram-negative Pseudomonas syringae pv. tomato and Xanthomonas arboricola pv. pruni. No bactericidal activity was observed against the tested microorganisms. Compounds 2 and 3 displayed weak antifungal activity against the crop pathogens Bipolaris sorokiniana and Fusarium graminearum. Our results demonstrate the efficacy of bioassay-guided strategies in facilitating the discovery of novel bioactive compounds. Full article
(This article belongs to the Special Issue Advanced Research in Plant Analytical Chemistry)
Show Figures

Figure 1

19 pages, 1622 KB  
Article
Enzymatic Production of p-Methoxycinnamate Monoglyceride Under Solventless Conditions: Kinetic Analysis and Product Characterization
by Laura Molinero, Juan J. Tamayo, José J. Gandia, Félix García-Ochoa and Miguel Ladero
Catalysts 2025, 15(6), 548; https://doi.org/10.3390/catal15060548 - 31 May 2025
Viewed by 2658
Abstract
With the increase in biodiesel production experienced in the last decades, biomass-derived glycerol is obtained at a high rate, so glycerol availability in the market has scaled up while this polyol price has been reduced, with the exception of high-quality glycerol. In this [...] Read more.
With the increase in biodiesel production experienced in the last decades, biomass-derived glycerol is obtained at a high rate, so glycerol availability in the market has scaled up while this polyol price has been reduced, with the exception of high-quality glycerol. In this context, novel and sustainable products based on glycerol are actively looked for. Octyl-methoxycinnamate (OMC) is a common cosmetic ingredient and sunscreen with potential activity as an endocrine disruptor that is considered an emergent contaminant in aquatic environments. As possible substituents, glycerol-based methoxycinnamates such as monoglycerides can be obtained via lipase-driven esterification. In this work, we develop an enzymatic process under solventless conditions to obtain p-methoxycinnamate monoglyceride under mild conditions using Novozym 435—an immobilized industrial preparation of the lipase B of Candida antarctica—observing the effect of key process variables such as temperature and enzyme, water and acid concentrations. Furthermore, the obtained product was assessed for its activity as UVB-filter and for its stability under irradiation conditions, showing a similar SPF activity and a much higher stability toward photooxidation than OMC. Full article
Show Figures

Graphical abstract

13 pages, 2982 KB  
Article
Effect of Shear on Polymorphic Transitions in Monoglyceride Oleogels
by Kato Rondou, Fien De Witte, Koen Dewettinck and Filip Van Bockstaele
Crystals 2025, 15(6), 495; https://doi.org/10.3390/cryst15060495 - 23 May 2025
Cited by 3 | Viewed by 1379
Abstract
Fat polymorphism plays a critical role in the structural and functional properties of fat-based food products. However, research on the polymorphism of monoglyceride oleogels remains limited. Previous work demonstrated the impact of composition and processing on the polymorphic transitions of monoglyceride oleogels, indicating [...] Read more.
Fat polymorphism plays a critical role in the structural and functional properties of fat-based food products. However, research on the polymorphism of monoglyceride oleogels remains limited. Previous work demonstrated the impact of composition and processing on the polymorphic transitions of monoglyceride oleogels, indicating that high shear and cooling rates accelerate β-polymorph formation. However, a detailed understanding on the effect of shear is still lacking. This research extends previous observations by using a CSS450 shear cell, allowing for precise control over cooling and shear rates. Two commercially available food-grade monoglycerides were mixed with rapeseed oil (10% w/w). Crystallization was performed with varying shear rates and analyzed with synchrotron radiation X-ray scattering techniques (SAXS and WAXS), differential scanning calorimetry and microscopy. The results showed that applying a low shear rate did not result in changes in the polymorphic transitions compared to static crystallization for both monoglyceride oleogels. However, increasing the shear rate resulted in the formation of the β-polymorph, even before the formation of the metastable sub-α polymorph. These findings provide new insights into the role of shear in monoglyceride oleogels, allowing for further optimization of fat structuring in food applications. Full article
(This article belongs to the Section Macromolecular Crystals)
Show Figures

Figure 1

Back to TopTop