Abstract
This study looked at a fungal–cyanobacterial co-pellet system for cleaning up coffee waste and producing high-value polymers. Optimization focused on the pelletization process, waste removal efficiency, and biomass yield. Optimal conditions, including pH (6.5), glucose concentration (6 g/L), and shaking speed (130 rpm), achieved a maximum cyanobacterial immobilization efficiency of up to 97% on the fungal mycelium. Scanning electron microscopy (SEM) confirmed the formation of an integrated co-pellet structure, with fungal hyphae acting as a physical scaffold and extracellular polymeric substances (EPSs) enhancing cell–cell adhesion. The co-culture system exhibited superior performance compared to fungal (20.56 g/L) and algal (1.09 g/L) monocultures. It effectively removed major coffee effluent pollutants, achieving a significant reduction in total phenolic compounds (74.5%). Furthermore, the co-pellets displayed a remarkable final biomass yield (24.33 g/L) and high production of extracellular polymeric substances (EPSs) (5.28 g/L) and intracellular polymeric substances (IPSs) (3.84 g/L). The synergistic relationship was further confirmed by high nitrogen contents in the co-pellets (15.24%), which significantly surpassed that of the individual fungal biomass, suggesting interspecies nutrient transfer. Valuable glycerol-lipids were detected and identified in the fermentative broth of the co-culture confirming a highly efficient bioconversion process. Analyses revealed a targeted metabolic flow toward the accumulation of monoglycerides, notably monooleoylglycerol and monopalmitin, highlighting a powerful cooperative compatibility for producing high-value emulsifiers. Overall, these findings firmly establish the cyano-fungal co-pellet system as a robust and sustainable biorefinery approach for treating complex industrial wastewater while producing a high-quality, value-added biomass suitable for utilization as a biofertilizer or animal feed.
1. Introduction
The escalating global population and industrial expansion have intensified environmental challenges, consequently leading to pollution and resource depletion. Indeed, a significant contributor to this issue is the generation of over 2 billion tons of solid waste annually, a figure projected to increase by 70% by 2050 []. This includes a vast amount of organic waste and residues from various sectors: for instance, agriculture, food, and industry. Among these, spent coffee grounds (SCGs) and coffee effluents (CEs) are particularly abundant, with an estimated 60 million tons of SCGs produced worldwide each year []. Consequently, this highlights the urgent need for effective circular economy strategies to valorize these wastes.
Coffee processing waste, including SCGs and CEs, is a widely available, low-cost resource rich in organic matter and nutrients. However, it also contains toxic compounds like caffeine and melanoidins, which pose significant environmental concerns, particularly in aquatic systems, due to their high organic load and dark coloration [,,]. Despite these challenges, recent research has revealed the presence of valuable non-carbohydrate substances in coffee waste, such as phenolic compounds and vitamins, which may possess prebiotic properties [,]. Thus, this dual nature underscores the importance of proper waste management and composition analysis to unlock their potential as a source of value-added compounds [].
In this regard, various strategies have been explored to manage coffee waste, including energy production and the recovery of valuable compounds like antioxidants, colorants, and flavorings for the food and pharmaceutical industries [,,]. A key focus has been on using coffee waste as a sustainable feedstock for producing industrial enzymes and organic acids through fermentation methods like solid-state fermentation (SSF) and submerged fermentation (SmF) [,,]. Additionally, coffee waste can serve as a substrate for the production of bio-based polymers like polyhydroxyalkanoates (PHAs), which are gaining interest due to their biodegradability and versatile properties [].
Recent studies emphasize the increasing significance of environmentally friendly management practices and the use of eco-technologies in the coffee sector [,,]. Microbial treatment is a promising approach to degrade the organic matter present in coffee wastewater (CWW) []. The selection of effective microorganisms is a critical step in the development of microbial treatment systems for CWW. Protocols have been developed to select efficient microbial consortia based on the physicochemical characteristics of CWW. The diversity of the microflora present in coffee wastewater treatment plants has been studied, revealing the presence of various microbial groups at different stages of the treatment process [,]. Microbial processes are recognized as effective treatment technologies for coffee wastewater, capable of decomposing pollutants []. Research has shown the electrogenetic potential and organic matter removal capacity of industrial CWW using native microbial communities in unconventional microbial fuel cells []. Similarly, bioelectrochemical systems exploiting the ability of native microbial communities to degrade organic matter in agro-industrial coffee wastewater represent a solution for waste degradation and energy recovery [,].
Among microbial approaches for cleaning up coffee effluents, fungal–algal co-cultivation is a highly promising and sustainable biotechnological method. This synergistic strategy leverages the complementary metabolic capabilities of fungi, which secrete extracellular enzymes to hydrolyze complex organic materials [], and microalgae, which efficiently absorb soluble nutrients and carbon dioxide. This partnership not only accelerates the breakdown of pollutants but also enables efficient biomass harvesting through fungal self-pelletization []. Filamentous fungi, such as Aspergillus, Mucor, and Rhizopus, naturally form mycelial pellets that can capture tiny microalgal cells [], offering a chemical-free and energy-efficient method for biomass separation. For instance, studies have shown that co-cultivating Chlorella pyrenoidosa with Aspergillus lentulus pellets can achieve up to 99% microalgal biomass harvesting []. Ultimately, this innovative approach transforms coffee waste from an environmental liability into a valuable resource, aligning with the principles of a green, circular, and sustainable bioeconomy [].
In this regard, the current study introduces a novel and integrated biorefinery approach that addresses the dual challenges of waste treatment and bioproduct generation from coffee effluent. To the best of our knowledge, no prior work in the literature has explored the treatment of coffee effluent using a fungal–algal system, making our innovation unique. This lies in developing a synergistic fungal–cyanobacterial co-culture system that not only significantly enhances the removal of complex pollutants but also redirects metabolic pathways to produce high-value polymers.
2. Results and Discussions
2.1. Optimization of Parameters for Cyano–Fungal Pelletizing Process
2.1.1. pH, Glucose, and Shaking Speed
This section investigated the impact of several factors, mainly those related to the cyano–fungal pelletization process (Figure 1), such as pH, shaking speed, and glucose concentration, on the effectiveness of immobilizing algal biomass attached to mycelial pellets. Fungal biomass requires a carbon source to grow and form cross-links with algae biomass.
Figure 1.
Immobilization of Cyanobacteria S1 strain by T. versicolor (BS7) grown in co-cultures with varying ratios (BS7:S1): (a) time 0, (b) for 24 h, (c) fresh harvested co-pellets, and (d,e) lyophilized co-pellets.
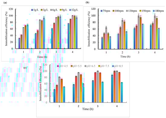
Figure 2a depicts the algal filament’s immobilization efficiencies into mycelial pellets under five glucose concentrations (1, 3, 6, 9, and 12 g/L). The data presented in Figure 2 proved that immobilization efficiencies were significantly lower at low glucose doses (1 and 3 g/L) compared to higher concentrations (p = 0.028 < 0.05). During the 2 h co-pelletization process, immobilization efficiency nearly reached 90%, with the exception of the 1 and 3 g/L doses. In contrast, it was noted that there was no significant difference (p = 0.1 > 0.05) between the other glucose levels (6, 9, and 12 g/L).
Figure 2.
Effects of glucose concentration (a), shaking speed (b), and pH (c) on the immobilization efficiency of algal biomass attached to mycelial pellets. All values are means ± SD (n = 3).
As a result, 6 g/L of glucose was chosen as the best amount of carbon source addition that enhanced the efficiency of algal cell immobilization on mycelial pellets. In line with prior publications, these findings indicated that a carbon source was required to support cyanobacteria harvesting and fungal-pellet growth []. Similarly, Gao et al. [] reported that the highest immobilization efficiency was achieved at 5 g/L of glucose. In contrast, Wang et al. [] found that a glucose concentration of 1.5 g/L was necessary for the growth of fungi, while high concentrations of glucose can inhibit the growth of microalgae. Interestingly, algal and fungal cells have thick cell walls with a complex macromolecular structure composed primarily of cross-linked chitin and/or chitosan, glucans, mannans, protein, and other polysaccharides []. Similar results demonstrated that the yields of mycelial biomass and its chemical composition varied depending on the carbohydrate source presented in the submerged culture []. Indeed, the variety of structural components ensures different functional groups, which can bind molecules to varying degrees. According to previously reported literature, glucose and cultivation conditions may increase the growth of biomass rich in acidic polysaccharides and lipids [].
To achieve the best algal fungal co-pellets, several shaking speeds (75, 100, 130, 150, and 180 rpm) were tested. The results showed that the immobilization efficiency gradually improved as the shaking speed increased up to 130 rpm before decreasing within 1 h. Over the next hour, immobilization efficiency increased significantly at all shaking rates (p = 0.034 < 0.05; Figure 1b).
After a 2 h pelletization process, immobilization efficiencies were substantially greater at 130 and 150 rpm (up to 95%) but relatively low at 180 rpm. Meanwhile, at 75 and 100 rpm, immobilization efficiency increased rapidly with the first 4 h, reaching a maximum efficiency of 72 and 77%, respectively. Thus, 130 rpm was selected as the optimal shaking speed for the co-pelletization process. Similar results were found by Gao et al. [], who reported that the best algal fungal copellets (Chlorella vulgaris—A. oryzae) were obtained at 140 rpm. Based on prior research, orbital shaking is performed to provide appropriate mixing and oxygen supply for microbial cultivation []. Lower mass transfer rates at lower liquid velocities are probably contributing factors to the significantly reduced immobilization efficiency measured at 75 rpm [,]. Luo et al. [] revealed that Pleurotus ostreatus and Chlorella sp. cells displayed a co-pelletization effectiveness of 64.86% at 100 rpm for 150 min.
In scientific studies, pH is suggested as a key parameter affecting the fungal–algal co-pelletization process []. Thereby, the impact of pH on algae harvesting was assessed by increasing the pH value from 4.5 to 8.5. According to Figure 2c, the immobilization efficiencies were significantly higher at pH 6.5, 7.5, and 8.5 compared to the more acidic conditions (pH 4.5, 5.5) within the first hour of the experiment. However, there was no statistically significant difference between the three highest pH groups, indicating their comparable initial performance.
Over time, the immobilization efficiency of all pH groups increased. Notably, pH 6.5 demonstrated the most consistent and highest efficiency throughout the experiment, reaching a maximum of approximately 97% at 4 h. By this time point, the differences in efficiency between pH 6.5, 7.5, and 8.5 were no longer statistically significant. This indicates that prolonged contact time can overcome some of the initial pH-related differences and that the process is highly effective within a near-neutral to slightly alkaline range. Conversely, the immobilization efficiency at pH 4.5 remained significantly lower throughout the experiment, suggesting that highly acidic conditions strongly inhibit the attachment process. In our study, we selected a pH of 6.2, which is the initial value of the coffee effluent (CE).
The observed trends can be explained by the effect of pH on the surface charges of the cells. Microalgae typically have a net negative charge on their cell surfaces due to the presence of functional groups like carboxyl (-COOH), amine (-NH2), and phosphate (-PO4) groups. As the pH increases above 4–5, the carboxylic groups dissociate, leading to a more negative charge. Fungal hyphae, in contrast, tend to have a net positive charge in acidic conditions because their surface groups are protonated. This opposite charge difference between the fungal and microalgal cells is a key driver for their aggregation and attachment. The optimal performance at pH 6.5 suggests a point where the balance between these attractive and repulsive forces is most favorable. This finding is supported by the existing literature. For instance, Oliveira et al. [] reported that highly acidic and alkaline conditions can inactivate the flocculation activity of mycelial pellets, while higher bioflocculation efficiencies were achieved in an alkaline pH range (8–9). Similarly, Luo et al. [] observed a very low immobilization efficiency below pH 6 due to changes in cell surface zeta potential. Collectively, our results confirm that pH plays a critical role in mediating the surface properties of the cells, which is a major factor in the successful attachment or entrapment of microalgae onto fungal mycelial pellets.
2.1.2. Effect of Initial Algal Biomass on the Pelletization of Fungal-Algal Pellets
The data presented in Table 1 clearly show the effect of both time and initial algal biomass concentration on the immobilization efficiency (IE%) of microalgae cells on mycelial pellets.
Table 1.
Immobilization efficiency (%) of microalgae cells on mycelial pellets with different initial algal biomass (n = 3).
The initial results indicate a clear inverse relationship between initial algal biomass concentration and immobilization efficiency (IE%) in the first few hours. For example, at one hour, the lowest concentration (2.5 × 106 cells/mL) showed the highest IE% (80.2%), while the highest concentration (1.6 × 109 cells/mL) had the lowest (36.5%). This trend suggests a diffusion-limited process where limited binding sites on the fungal pellets become quickly saturated at higher algal densities, as supported by other research on similar systems []. However, the data also reveal that with prolonged incubation time, all initial concentrations converge to a high and stable IE% of over 95%. This demonstrates a two-phase kinetic model. Following the initial physical attachment phase, a secondary mechanism, likely driven by the secretion of extracellular polymeric substances (EPSs) by the fungi, becomes dominant []. These EPSs act as bio-flocculants, creating a matrix that effectively captures more algal cells and overcomes the initial saturation effect. This finding, consistent with other studies [,], shows that while the initial rate of immobilization is concentration-dependent, the overall efficiency is robust and time-dependent. This makes the process highly scalable for harvesting microalgae across a wide range of cell densities.
2.2. Structural and Elemental Characterization of Pellets Under Different Culture Conditions
2.2.1. Pellets Morphology
Scanning electron microscopy (SEM) was used for highlighting microstructural information and surface topography of lyophilized fungal, algal, and fungal–algal pellets photographed at various magnifications (Figure 3). As seen in Figure 4, the SEM micrographs provide valuable information regarding the morphological arrangement of the different pellets. The micrograph of the lyophilized fungal pellets (Figure 3a,a’) showed a closely aggregated, fibrous, and highly inter-entangled network. The general pellet structure overall appears to be dense under 300× magnification, while the 600× magnification renders the individual hyphae evident, which are filamentous in natural structures that make up the fungal mycelium. This three-dimensional, complex matrix provides the mechanical integrity and large surface area of the fungal pellets.

Figure 3.
Scanning electron microscopy (SEM) micrographs of lyophilized pellets: (a) fungal pellets at 300× and (a’) 600× magnification; (b) algal pellets at 260× and (b’) 600× magnification; and (c) fungal–algal co-pellets at 260× and (c’) 500× magnification.
Figure 4.
SEM-EDS analysis of (a) algal pellets (S1) of (b) mycelial pellets of Trametes versicolor BS7, and (c) fungal–algal pellets.
On the second option, algal pellets are more clumped and amorphous. At 260× magnification (Figure 3b), pellets are observed as clusters of individuals and spherical cells, with minimal structural support keeping them together. At 600× (Figure 3b’), the smooth and clear cell surfaces of the individual cyanobacteria cells are observable. This lack of an in-built binding network is the reason why algal biomass harvesting is challenging and energy-intensive.
The SEM micrographs from Figure 3c,c’ distinctly illustrate the unique integrated structure of co-pellets. The fungal hyphal network is clearly visible, acting as a scaffold upon which the cyanobacterial cells are fixed. This synergy is evident, demonstrating that the fungus provides the necessary structure for supporting and clumping cyanobacterial cells, thereby immobilizing them []. This finding confirms fungal–algal co-pelletization as an economical and highly efficient method for algal cell harvesting, as it transforms a difficult-to-separate algal suspension into a recoverable, high-density biomass. Similarly, Ogawa et al. [] have suggested the process of fungal-assisted cellular immobilization as a suitable method for algal harvesting. The formation of stable fungal–algal co-pellets originates from complex biological interactions rather than simple physical gathering. The literature indicates that this robust structural integrity is mediated by several critical mechanisms. Specifically, Hamidi et al. [] highlighted that fungal cell walls are thick and possess a complex macromolecular architecture, primarily composed of cross-linked chitin/chitosan, glucans, mannans, proteins, and other polysaccharides. The unique cell wall composition and surface-binding characteristics of the filamentous cyanobacterium and the fungal strain collectively stabilize the developed structure. Moreover, cellular adhesion is facilitated by specialized glycoproteins and other surface proteins on the cell surfaces, which is a process analogous to the fungal recognition and binding of microalgae during lichen formation [].
In addition, the filamentous nature of both the cyanobacterium and the fungus, with their elongated shapes, allows them to intertwine and form a robust, three-dimensional physical structure. This acts as a living scaffold, effectively immobilizing the algal cells []. Accordingly, Talukdar & Barzee [] examined the synthesis of extracellular polymeric substances (EPSs), which provide cells with a sticky matrix to hold them together, enhancing this structural contribution. The combination of the fibrous fungal structure with the cellular algal aggregates results in a co-pellet with enhanced mechanical strength and a distinct, hybrid morphology that is superior for both harvesting and potential downstream applications [].
2.2.2. Elemental Composition
The elemental composition analysis by EDS provided quantitative data on the weight percentages of key elements in the three pellet types: algal (S1), fungal (Trametes versicolor BS7), and co-pellets (S1+BS7).
The results in Table 2 and the corresponding EDS spectra (Figure 4) confirm significant differences in elemental profiles, reflecting the distinct biological compositions of each biomass type. Carbon (C), nitrogen (N), and oxygen (O) are the dominant elements across all samples, as expected for biological materials.
Table 2.
Elemental composition (%) of the (a) algal pellets, (b) mycelial pellets, (c) and made-pellets (SEM-EDS analysis).
Additionally, EDS analysis revealed that fungal pellets exhibited the highest concentrations of nitrogen (13.63%), phosphorus (1.22%), and potassium (4.18%). This finding suggested that the high nitrogen content is characteristic of fungal biomass, which is rich in proteins and chitin (a nitrogen-containing polymer). Moreover, the high levels of P and K suggest efficient nutrient uptake from the growth medium, which is essential for fungal metabolism. In contrast, the algal pellets showed a unique profile, most notably with a very high concentration of sodium (15.97%). This likely indicates that the Persinema sp. algae were grown in a saline or brackish medium, and the sodium was effectively absorbed and accumulated within the cells. The lower nitrogen content (5.27%) compared to the fungal and co-pellets indicates a lower protein-to-carbohydrate ratio in the algal biomass.
However, the co-pellets (S1+BS7) presented a blended elemental composition, demonstrating the successful integration of the two organisms. The most notable finding is the sharp increase in nitrogen content (15.24%) in the co-pellets, surpassing even the fungal monoculture. This is a significant finding and suggests a symbiotic relationship where the nitrogen-fixing cyanobacteria provide a readily available nitrogen source for the fungal partner, leading to a high-nitrogen composite biomass [].
The concentrations of other key minerals like potassium (2.41%) and phosphorus (0.56%) in the co-pellets lie between those of the two monocultures. The dramatic decrease in sodium content (from 15.97% in S1 to 0.50% in S1+BS7) further supports the idea that the fungal hyphae acted as a scaffold to not only capture the algal cells but also to potentially alter the overall ionic composition of the co-pellet, possibly through active uptake or exclusion of certain ions from the surrounding medium. These elemental composition results, particularly the elevated nitrogen in the co-pellets, highlight the potential of this synergistic system for producing a nutrient-rich biomass suitable for applications like animal feed or biofertilizer []. The significant reduction in sodium also has implications for potential applications where a low-salinity product is desirable.
2.3. Performance Evaluation of Fungal, Algal, and Fungal-Algal Co-Pellets in the Treatment of Coffee Effluent
2.3.1. Fermentative Broth Analysis: Physicochemical Characterization
Table 3 presents the physicochemical characteristics of the culture extract (CE) before and after 9 days of treatment using different culture conditions: fungal pellets (monoculture by BS7), algal pellets (monoculture by S1), and fungal-algal co-pellets (co-culture by BS7+S1).
Table 3.
Evaluation of the removal efficiency (RE) of physicochemical parameters from raw coffee effluent by monoculture (fungal and cyanobacterial) and co-culture (cyano–fungal) treatments (value = X ± SD).
The physicochemical characteristics of the raw coffee effluent (CE) and the treated effluent after 9 days are summarized in Table 3.
The initial pH of the raw CE was 6.2 ± 0.2, and it shifted after all treatments, though the RE (%) metric is not applicable for this parameter. Specifically, the monoculture by Trametes versicolor (BS7) significantly acidified the effluent, lowering the pH to 4.8 ± 0.1, which suggests the production of acidic metabolic byproducts. In contrast, the monoculture with cyanobacteria (S1) maintained the pH at a near-neutral 6.0 ± 0.1.
The cyano–fungal co-pellet treatment (BS7+S1) resulted in an intermediate final pH of 5.5 ± 0.2, indicating a complementary metabolic activity where the acidic outputs of the fungus may have been partially buffered or neutralized by the cyanobacteria. Additionally, conductivity significantly increased across all treatments, reaching the highest value in the co-culture (997 ± 1.7 µs/cm), followed closely by the BS7 monoculture (967 ± 1.5 µs/cm). This increase is attributed to the release of dissolved ions and mineral salts resulting from the microbial breakdown of complex organic molecules.
Data presented in Table 3 show that all cultures effectively reduced the color of the coffee effluent, with the cyano–fungal co-culture achieving the most significant reduction of 84 ± 0.05% followed closely by the fungal monoculture (97.7 ± 0.1%). This highlights the superior performance of the combined biological system.
The results show a change in total Kjeldahl nitrogen (TKN). While the final TKN concentrations for the monocultures remained stable or slightly decreased compared to the raw CE (1.03 ± 0.02%), the co-culture resulted in an increase in TKN to 1.4 ± 0.07%. This elevated TKN suggests the successful conversion of the organic load into microbial biomass and/or possible nitrogen fixation by the cyanobacteria, which increases the total nitrogen within the system.
The results underscore the superior performance of the cyano–fungal co-pellet system for treating coffee effluent, as demonstrated by its highest efficiency in reducing pollutants such as organic matter (43.7 ± 2.3%), BOD5 (76.1 ± 0.3%), and COD (67.6 ± 3.5%). The significant reductions observed in the co-culture, as opposed to the individual monocultures, suggest a strong synergistic effect between the fungal (Trametes versicolor) and algal (cyanobacteria) species. Specifically, the fungus breaks down complex organic molecules, creating simpler compounds that the algae can then utilize for growth and metabolism.
Consequently, this metabolic collaboration leads to a more comprehensive and efficient degradation process. In addition, the cyano–fungal system achieved a balanced pH of 5.5, indicating a complementary metabolic activity where the acidic byproducts of the fungus are neutralized by the algae. Notably, the co-culture and the fungal monoculture were highly effective at reducing total phenolic compounds (TPC) (74.5 ± 0.3) and almost completely eliminated caffeic acid. This detoxification is primarily attributed to the phenol oxidases, like laccases, produced by T. versicolor []. The results suggest that this combined biological system offers a robust strategy for the bioremediation of complex industrial wastewater and holds potential for nutrient recovery [].
2.3.2. Phenolic Profile
The polyphenol composition of ethyl acetate extracts from coffee effluent (CE) was analyzed after treatment by the fungal monoculture (BS7), the algal monoculture (S1), and the co-culture (BS7+S1), with the raw, non-treated CE serving as a control. The results, summarized in Table 4, reveal significant changes in both the concentration and profile of phenolic compounds following biological treatment.
Table 4.
Polyphenol composition via HPLC of CE-ethyl acetate extracts; not treated (CE-NT) and treated with BS7, S1, and co-culture (BS7+S1).
All three culture conditions demonstrate efficacy in reducing the total polyphenol concentration in the raw coffee effluent (CE-NT), which initially measured 7.9315 mg/mL and was dominated by Tyrosol and Epicatechin. However, their efficiencies varied significantly. The S1 monoculture (algae) proved to be the least effective, achieving a residual total concentration of 5.7391 mg/mL. Conversely, the BS7 monoculture (fungus) was substantially more capable, reducing the concentration to 2.0447 mg/mL. Furthermore, the fungal treatment showed evidence of biotransformation, as new compounds such as 3,4-Dihydroxybenzoic acid and Rutin were detected in the final extract. Crucially, the co-culture (BS7+S1) was the most highly effective system, reducing the total polyphenol concentration to a minimum of 0.9443 mg/mL. This superior performance confirms the highest removal efficiency and resulted in the near-complete elimination of the major inhibitory compounds, Tyrosol and Epicatechin.
Data from Table 4 and HPLC spectra (Figure S1, Supplementary Materials) demonstrate a major decrease in the total phenols in CE. This may be explained by the crucial role of the fungus T. versicolor (BS7) in the bioremediation of coffee effluent by secreting laccases, a type of phenol oxidase. These enzymes are powerful catalysts for the degradation of phenolic compounds, which are a major source of toxicity in the effluent []. The primary function of laccases is to oxidize a wide range of substrates using oxygen as the final electron acceptor, a process that is highly effective at breaking down complex and often toxic phenolic structures into simpler molecules. This enzymatic activity is the primary reason for the observed significant reduction in total polyphenols in the co-culture system.
The cooperative relationship between the fungus and algae (S1) is enhanced by this process; laccases reduce the toxicity of the medium, creating a more favorable growth environment for the microalgae, thereby contributing to the overall high biomass yield. As demonstrated by recent research, laccase-secreting fungi are exceptionally efficient at removing phenolic pollutants from industrial wastewater [].
Regarding the appearance of ascorbic acid, its presence in the treated sample suggests it is a metabolic byproduct of the co-culture’s activity. This indicates a more complex metabolic interaction where the microorganisms not only break down pollutants but also synthesize new, potentially valuable compounds. Kuivanen et al. [] demonstrated similar findings when testing the engineered filamentous fungus Aspergillus niger in the conversion of D-galacturonic acid to L-ascorbic acid. In the same line, many studies reported that they catabolize the main sugars present in pectin-rich agro-industrial residues hydrolysates, particularly d-galacturonic acid and l-arabinose, into ascorbic acids used by microorganisms [,]. This finding highlights the dual benefit of the co-culture system: effective bioremediation combined with the production of value-added products.
2.3.3. Biomass, EPS, and IPS Yields
The final biomass and intracellular polymeric substances (IPSs) and extracellular polymeric substances (EPSs) yields were measured for three culture conditions: fungal monoculture (BS7), algal monoculture (S1), and a co-culture of both (BS7+S1). The results, presented in Figure 5, highlight significant differences among the culture types.
Figure 5.
Final biomass, EPS, and IPS yields across algae S1, fungus BS7, and S1+BS7 cultures in the optimal conditions grown in CE-based medium (10 days). Data represent means of triplicate ± SD.
As seen in Figure 5, the biomass yield varied significantly with the culture conditions. The S1 monoculture gave the lowest biomass yield at around 1 g/L. In contrast, the BS7 monoculture gave a much higher yield at around 20.5 g/L. The best-performing co-culture, however, was BS7+S1, which had an end-biomass yield of about 24.5 g/L. In addition, the same pattern was also reflected in the production of extracellular polymeric substances (EPS). A concentration of approximately 3 g/L of EPS was yielded by monoculture S1, while approximately 18.5 g/L was yielded by monoculture BS7.
Regarding intracellular polymeric substances (IPSs), the yields were significantly lower than biomass and EPS. The S1 monoculture produced a very low IPS yield of about 0.25 g/L. However, the BS7 monoculture had a higher IPS yield of around 3.5 g/L. The co-culture surpassed both, reaching an IPS yield of approximately 6 g/L.
Our results provide evidence of a symbiotic or synergistic relationship between the fungal and algal species when grown in coffee effluent. The consistent and substantial increase in biomass, EPS, and IPS yields in the co-culture system, compared to the sum of the individual monoculture yields, indicates a metabolic cooperation that optimizes resource utilization from the waste medium.
Along the same line, Gultom et al.’s [] study showed that the mixotrophic co-culture of Chlorella vulgaris and Aspergillus niger produced much more biomass than either strain grown alone. This phenomenon often results from a mutual exchange of metabolites and resources between the two organisms, similarly to the symbiosis seen in natural lichens [,]. The high yields of all three components in the co-culture system demonstrate its potential as an efficient platform for both the bioremediation of coffee effluent and the production of a nutrient-rich biomass and valuable biopolymers []. This dual benefit makes the co-culture an attractive and sustainable solution for waste management and resource recovery.
2.3.4. Lipid Profiling of Cellular Biomass and Fermentative Broth
The economic viability and value-added potential of the cultivation system were assessed by quantifying the lipid content and analyzing the fatty acid methyl ester (FAME) profile of the fungal mono-culture (B57 pellets), the algal mono-culture (S1 pellets), the co-pellet system (B57+S1), and the original crude extract (CE_NT) of the spent coffee ground (SCG)-based wastewater before treatment (Table 5).
Table 5.
Fatty acid profile comparison between different culture conditions: cyano-monoculture (S1 pellets), fungal monoculture (BS7 pellets), and co-culture (S1+BS7).
The data reveal notable differences in FA composition and lipid extraction efficiency, providing valuable insights into the lipid metabolism of each culture and the potential synergistic effects of co-culture.
The lipid extraction yields varied considerably between the samples (Table 5), indicating a significant influence of the cultivation mode. The initial untreated extract (CE_NT extract) showed the highest yield, reaching 25%. CE-NT was the reference (feedstock) for the microorganisms. The co-culture of BS7 and S1 (BS7 + S1 co-pellets) also exhibited a substantial yield of 23%. Although this yield is lower than that of the initial extract, it clearly surpasses the yields obtained by the monocultures. Specifically, the monocultures presented lower yields: 17.9% for the BS7 pellets (fungal) and 12% for the S1 pellets (cyanobacterial). These results suggest that a co-culture strategy can optimize lipid production compared to individual cultures, possibly due to synergistic interactions between the two microorganisms.
The analysis of FAME profiles using gas chromatography–mass spectrometry (GC-MS) reveals notable qualitative and quantitative differences between the culture extracts. The raw coffee effluent sample (CE_NT) is characterized by a diversity of fatty acids, with a predominance of oleic acid (C18:1, 7.09%), linolenic acid (C18:3, 7.69%), and palmitic acid (C16:0, 6.72%). Stearic acid and methyl ester (C18:0, 2.16%) and eicosanoic acid and methyl ester (C20:0, 1.32%) are also present, illustrating the lipid complexity of the initial lipid profile in the media culture. This finding indicates the waste of coffee, reinforcing the fact that coffee effluents can find applications as a bioconversion feedstock [].
The BS7 monoculture is dominated by (Z)-oleic acid and methyl ester (C18:1, 9.15%) and palmitic acid and methyl ester (C16:0, 4.14%). Smaller amounts of α-linolenic acid and methyl ester (C18:3, 1.36%) and dodecanoic acid and 2,3-bis(acetyloxy)propyl ester (C12:0, 1.16%) are also detected. This profile is typical of fungal lipids, often characterized by monounsaturated and medium-chain saturated fatty acids.
The S1 pellets present a different profile, with palmitic acid, methyl ester (C16:0, 5.57%) as the most abundant FAME. (Z)-oleic acid, methyl ester (C18:1, 2.73%) and α-linolenic acid, methyl ester (C18:3, 1.86%) are also significant. The presence of cis-8,11,14-eicosatrienoic acid and methyl ester (C20:3, 1.5%) is notable, highlighting the ability of the cyanobacterium S1 to produce long-chain polyunsaturated fatty acids.
The co-culture resulted in a modification of the lipid profile. The predominant FAMEs are palmitic acid and methyl ester (C16:0, 9.99%) and (Z)-oleic acid and methyl ester (C18:1, 8.91%). (E)-9-octadecenoic acid and methyl ester (C18:1, 4.11%) are also identified, and their appearance or increased quantification in the co-culture compared to the monocultures suggests an activated or modified metabolic pathway. The proportions of the C16:0 and C18:1 fatty acids are higher in the co-culture compared to the monocultures, indicating a favored synthesis of these lipids in this combined environment.
Regarding the FAME profile, the co-culture led to a proportional increase in saturated (C16:0) and monounsaturated (C18:1) fatty acids. These lipids are particularly sought after for various industrial applications, including biofuel production and green chemistry. The identification of (E)-9-octadecenoic acid specifically in the co-culture at a higher proportion (4.11%) than previously is a key indicator. This could mean the activation of specific metabolic pathways or a modification of carbon fluxes under the influence of the interaction between the two microorganisms. It is also observable that some minor fatty acids present in the monocultures are less prevalent in the co-culture, which could suggest a channeling of resources towards the synthesis of the dominant fatty acids. These findings suggest that the co-culture of BS7 and S1 is a promising strategy for the quantitative and qualitative improvement of lipid production. This approach not only allows for increased yields but also modulates the lipid profile towards fatty acids of industrial interest [,]. For instance, C16:0, C18:0, C18:1, and C18:2 were known as the most common components in biodiesel. In the same line, Annal et al. [] reported the use of SCG as a renewable feedstock for biodiesel production through an electrolysis process.
Conversely, the lipid composition of the extracellular fraction (fermentation broth) was characterized using GC-MS. The resulting chromatogram (Figure 6) confirmed the presence of several distinct lipid compounds, with the quantitative profile detailed in Table 6.
Figure 6.
Chromatography-Mass Spectrometry (GC-MS) chromatogram of lipids extracted from the S1+ BS7 Co-culture Fermentative Broth (15% CE, 130 rpm, 30 °C).
Table 6.
Lipid profile of the fermentative broth from the cyano-fungal (S1+BS7) co-culture using GC-MS.
The most significant portion of the analyzed profile consists of glyceride derivatives (esters of glycerol and fatty acids), confirming major lipolytic and lipogenic activity by the co-culture. Specifically, the major compound categories identified were monoacylglycerols (MAGs), diacylglycerols (DAGs).
Among these, monoacylglycerols (MAGs) accounted for 21.6% of the total detected compounds, were the abundant constituents, and included primarily 1-Monooleoylglycerol (2TMS derivative). Additionally, other significant MAGs were 2-Monooleoylglycerol (14.92%), 1-Monopalmitin (10.37%), and 2-Palmitoylglycerol (4.66%). Diacylglycerols (DAGs) such as 1,3-Dipalmitin were detected at 6.44%. Thus, the glyceride profile confirms a profound redirection of metabolic flow within the co-culture, establishing a clear deviation towards complex glycerol-lipids (MAGs and DAGs) over simple fatty acids. This is highly significant, particularly since the S1 partner is a cyanobacterium. As cited in the literature, cyanobacteria inherently do not accumulate triacylglycerols (TAGs), and their photosynthetic membranes are constructed from various diacylglycerols (DAGs), which supports the observed profile’s focus on DAGs/MAGs rather than TAG storage []. The resulting mutual interaction between the cyanobacterium (S1) and the fungus (BS7) creates a synergistic environment capable of enhancing and/or redirecting metabolic pathways for the substantial production of these specific glycerides (MAGs and DAGs). The high yield of 1-Monooleoylglycerol (21.6%), 2-Monooleoylglycerol (14.92%), and 1-Monopalmitin (10.37%) highlights a powerful cooperative compatibility, transforming waste into high-value emulsifiers []. These findings suggest that cyano–fungal co-cultivation is not just a bioremediation process but also an effective and sustainable method for the generation of high-value products from industrial waste [,].
3. Materials and Methods
3.1. Brown-Colored Coffee Effluent (CE)
Model brown-colored coffee effluents (CEs) are prepared by dissolving a weight of spent coffee ground (SCG) powder in distilled water, similarly to the study of Satori & Kawase []. Prior to use, CE was centrifuged at 8000 rpm to remove suspended solids (Universal 320R Hettich centrifuge). SCG samples were sourced from Cafe-Fayez-Sfax (P34°44′32.1′′ N 10 45′12.6′′ EPQR3+V9X, Sfax-Tunisia). The CEs were autoclaved and stored in stainless steel boxes in a temperature-controlled room until analysis. The physicochemical characteristics of the CE are shown in Table 7 (mean values ± SD; n = 3).
Table 7.
Physical and chemical characteristics (mean values ± SD; n = 3).
3.2. Strains and Culture Conditions
The fungus Trametes versicolor (BS7), with GenBank accession number PP475462, was newly isolated for this study from decaying wood near Aïn Draham, Tunisia. For long-term storage, T. versicolor spores were preserved in 20% (v/v) glycerol at −80 °C and subcultured every six months on malt extract agar (MEA) (1.5%) plates incubated at 30 °C (Memmert BM400 incubator, Schwabach, Germany). The native isolate Persinema sp. (S1), a filamentous cyanobacterium previously isolated in our laboratory (GenBank accession number PP662646), was used in the experiments.
Although Persinema sp. is phylogenetically classified as a cyanobacterium (a prokaryote), the terms “algae” or “microalgae” are frequently used in the literature to collectively describe photosynthetic microorganisms, including cyanobacteria, in the context of biomass harvesting, bioremediation, and industrial applications. Throughout this manuscript, we primarily use the term “cyanobacterium” or “cyanobacterial” when referring specifically to our strain, while the broader term “fungal-algal co-pelletization” is retained in general discussion and section titles to align with common usage in the bioengineering literature.
The algal cells were cultured in a sterilized Blue-Green (BG-11) medium at 26 °C under a light intensity of 60 μmol photons m−2 s−1 with a daily photoperiod of 12 h. The BG-11 medium consists of the following components (in g/L): K2HPO4 (0.0314), NaNO3 (1.5), NaCO3 (0.020), CaCl2 · 2H2O (0.0367), MgSO4 · 7H2O (0.036), disodium magnesium EDTA (0.001), citric acid (0.0056), and ferric ammonium citrate (0.006).
3.3. Standard Cultivation
Prior to experiments, precultures were performed to obtain fungal and algal cells in the exponential phase. From completely developed fungal and/or algal culture plates, four 1 cm2 diameter plugs were inserted into 250 mL cotton-plugged Erlenmeyer flasks filled with 100 mL of 1.5% malt extract broth (ME-broth) (pH 5.0 ± 0.5) (BIOKAR Diagnostics, Pantin, France, Ref A1101) and BG-11 liquid medium for the mycelial and algal cells, respectively. Fungal pre-cultures were shaken at 30 °C and 150 rpm for three days (△LabTech, Daihan Labtech Co., Ltd, Gyeonggi-do, Republic of Korea). While the algal culture was constantly lit at 60 μE m−2 s−1 for 6 days in BG-11 until they reached the exponential growth phase before being used as inoculum in the experiments. Further, mycelial and algal cell suspensions were obtained using an Ultra Turrax homogenizer (IKA T25, Staufen im Breisgau, Germany). The suspension solution was diluted ten times before the measurement, and the cells were counted in a volume of 1/250 μL each. For the inoculation, algal cells and spores were measured using a Thoma counting cell (with a depth of 0.1 mm) and under a light microscope (Leica DM 1000LED Optical, Wetzlar, Germany). Unless indicated, the initial algal cell and fungi inoculation concentrations were 2.5 × 106 cells/L and 3.5 × 106 spores/L, respectively.
Marine filamentous cyanobacterium Persinema sp. (S1) and basidiomycete Trametes versicolor (BS7) were cultured under three different conditions: monoculture of T. versicolor, monoculture of Persinema sp., and coculture of both species. The experimental setup involved inoculating exponentially growing microalgae into 100 mL of BG-11 medium in 250 mL flasks. All cultures were initiated at the same optical density (OD680) of 0.5 (2.5 106 cells/L) (Shimadzu UV-1800, spectrophotometer, Kyoto, Japan). An inoculum of 50 mL spore suspension per L medium with a spore concentration of 3.5 × 106 spores/mL was used for the cultivations. Each treatment was conducted in triplicate. To ensure even nutrient distribution, the cultures were agitated (150 rpm, 30 °C) by an electronic shaker (△LabTech, Daihan Labtech Co., Ltd., Gyeonggi-do, Republic of Korea).
3.4. Pelletization Process: Screening of Factors
Based on literature review and preliminary results, factors such as pH, cultivation agitation rate, and concentration of the carbon source (D-glucose) were screened separately for their effects on S1+BS7 co-pellet formation.
To optimize the pelletization process of fungal–algal cells, several parameters were studied. Around 300 pre-obtained pellets from T. versicolor (BS7) precultures were introduced to 100 mL of Persinema sp. (S1) with a cell density of 3.6 × 106 cells/mL and cultured under heterotrophic co-culture conditions.
For the assessment of the effect of glucose, cultures of BG-11 media were incubated at different glucose concentrations (1, 3, 6, 9, and 12 g/L) (Sigma-Aldrich, Darmstadt, Germany, α-D-Glucose anhydrous, 96%) with pH 7.0 and 150 rpm on an electronic shaker (△LabTech, Daihan Labtech Co., Ltd., Gyeonggi-do, Republic of Korea). The pH of the culture varied within ranges (4.5, 5.5, 6.5, 7.5, and 8.5), and all flasks were incubated at 130 rpm with 6 g/L of glucose. For the shaking speed, the cultures were incubated with 6 g/L of glucose under different shaking conditions (75, 100, 130, 150, and 180 rpm).
To test the effect of the initial algal biomass on the pelletization process, various initial cyanobacterial cells (2.5 × 106, 1.5 × 107, 3.5 × 107, 4.6 × 108, and 1.6 × 109 cells/mL) were grown with a fixed fungal cell concentration (3.5 × 106) and a mycelial–algal ratio of 1:2 in BG-11 medium supplemented with 3 g/L glucose at 140 rpm and 26 °C under the illumination of 60 μmol photons m−2s−1 with a daily photoperiod of 12 h. Cells of S1 were gradually immobilized with mycelial pellets of T. versicolor. Samples were taken periodically to measure algal cell density. All experiments were conducted in triplicate under sterile conditions.
The immobilization efficiency (IE) (%) was estimated in percentage as the attached algal biomass to the mycelial pellets to total algal biomass []:
Cell count data was estimated through optical density (OD) measurements at 680 nm converted to harvesting efficiencies as percentages based on the starting concentrations using the following equations (Equations (2) and (3)):
Samples for the determination of algal cell density were collected every hour. All experiments were performed in triplicate under sterile conditions.
Dry weights (DW) (g/L) of the fungal and algal cultures were determined by filtering 2–5 mL samples onto pre-weighed Whatman GF/F filters in triplicate, drying the filters at 60 °C overnight and weighing them again. Dry weight was calculated using the following equation (Equation (4)):
where W1 is the weight (g) of the filters prior to addition of the sample, W2 is their weight after drying, and V is the volume of sample filtered (L).
Structural and Chemical Characterization of Pellets
The structural integrity and morphological changes of the pellets following coffee effluent treatment were analyzed using scanning electron microscopy (SEM). A Hitachi Flex SEM 1000 model (Tokyo, Japan) was employed to visualize cell morphology and the extent of biofilm growth at magnifications of 260× and 600×, consistent with the approach described by Relucenti et al. []. To complement the morphological data, energy-dispersive X-ray (EDX) analysis was conducted to perform an elemental composition analysis. This provided quantitative data on the presence and distribution of carbon (C), nitrogen (N), oxygen (O), aluminum (Al), potassium (K), and calcium (Ca) within the pellets.
3.5. Performance Evaluation of Fungal, Algal, and Fungal–Algal Co-Pellets in the Treatment of Coffee Effluent (CE)
Based on our preliminary experiments (Figure S1, Supplementary Materials), the concentration of 15% (w/v) of CE was specifically selected for all subsequent biotreatment experiments. This dose represents the maximum sub-lethal pollutant load that still allows for maximum biomass accumulation (approximately 25.5 g/L) before severe growth inhibition occurs.
To prepare for the experiments, precultures of fungal and cyanobacterial cells were grown to the exponential phase, as described in Section 3.2.
For co-cultivation, approximately 3 pellets/mL of optimized cyano–fungal co-pellets were introduced into 100 mL of a sterilized CE-based medium (15% (w:v). The cultivations were performed under optimal conditions with shaking at 130 rpm and 26 °C. All experiments, including mono- and co-cultures, were conducted in triplicate.
After 3, 6, 9, and 12 days, the biomass was harvested by centrifugation using a Universal 320R Hettich (Tuttlingen, BW, Germany) centrifuge at 8000× g for 20 min at 4 °C. The culture filtrates were collected for subsequent analysis of various parameters. To remove salts and adsorbed compounds from the medium, the recovered biomass was then washed with sterile water, followed by a second centrifugation for 10 min under the same conditions. The harvested biomass was immediately frozen at −80 °C for 48 h and then freeze-dried to determine the mycelia–algae yields. The lyophilized samples were stored at −20 °C for further characterization.
3.5.1. Analytical Methods
Biomass and Fermentative Broth Analysis
A volume of supernatant and all the collected pellets from monocultures and co-pellets from co-culture were dried at 105 °C (Memmert BM400 incubator, Schwabach, Germany) until a constant weight (dried biomass).
The yields of biomass and fermentative broth were expressed as dry weight per unit volume of the culture medium (g/L).
A volume of the mono and the co-culture filtrates was evaluated for chemical oxygen demand (COD), five-day biochemical oxygen demand (BOD5), temperature, conductivity, and turbidity according to Standard Methods (APHA 2005). Mineralization was evaluated by measuring total organic carbon (TOC) content with a TOC analyzer (Shimadzu model TOC-VCSH, Kyoto, Japan). The total content of phenolic compounds was determined using the calorimetric method (UV/VIS Shimadzu 1800 spectrophotometer, Kyoto, Japan) at 765 nm according to the method described by Katalinic et al. []. Total content of nitrogen was estimated using the Kjeldahl method.
Phenolic Compounds Content and Chromatography Analysis
To analyze total phenol content, phenolic compounds were extracted from fermentative CE using the ratio (2v:v) of ethyl acetate and 20 mL of the culture supernatant according to Rodrigues et al. []. The solvent was then removed using a rotary evaporator at 45 °C until the sample was dry. The dry residue was redissolved in a precise volume of HPLC-grade ethyl acetate to achieve a final concentration of 1 mg/mL. The reconstituted samples were stored at −20 °C in sealed amber vials to prevent degradation of light-sensitive phenolic compounds until analysis.
Chromatographic analysis was performed using an Agilent 1260 series High-Performance Liquid Chromatography system coupled with a Diode Array Detector (HPLC-DAD) (Agilent, Waldbronn, Germany). Separation was achieved on a ZORBAX Eclipse XDB-C18 column (4.6 mm I.D., 250 mm, 3.5 µm particle size, Santa Clara, CA, USA). The mobile phase consisted of two components: Phase A (0.1% acetic acid in water) and Phase B (100% acetonitrile). The HPLC analysis followed the method adopted by Aroua et al. []. The DAD detector scanned wavelengths from 190 to 400 nm, with specific detection performed at 254, 280, and 330 nm. Compound identification relied on comparing UV absorption profiles, retention times, and mass spectra obtained using an ion trap mass detector (MSD Trap XCT, Santa Clara, CA, USA). Quantification was achieved using a four-point calibration curve (R2 = 0.989) generated with authentic external standards, where available.
Polysaccharides, Lipid Content, and Chromatography Analysis
The extraction of EPS and IPS was performed according to Shen et al. []. EPS was extracted from the supernatant using ethanol (95%) with a ratio of V:4V. the extraction was carried out at 4 °C overnight and centrifuged at 8000 rpm for 10 min. The extraction of IPS was carried out from the harvested co-pellets by hot water treatment at 90 °C for 2 h at a ratio of 1:20. The obtained extract was evaporated and concentrated at 50 °C. Both polysaccharides (EPS and IPS) were freeze-dried for further analysis.
The carbohydrate contents in EPS and IPS were determined using Bubois’s phenol–sulfuric acid method []. The calibration curve (y = 13.306x + 0.018, R2 = 0.997) was generated by a linear regression of the OD490 value against glucose concentrations. The yield of EPS and IPS was expressed as grams dried mass per liter of fermentation liquid. The extracted EPS sample is then reacted with a trimethylsilylating agent. The common agent used is N,O-Bis(trimethylsilyl)trifluoroacetamide (BSTFA), often with a catalyst like trimethylchlorosilane (TMCS) in a solvent like pyridine.
To analyze lipid content, lipids were first extracted from freeze-dried biomass using a two-phase liquid extraction with a chloroform–methanol (2:1, v/v) mixture, a technique adapted from Bligh and Dyer []. Further, to convert the extracted lipids into FAME (fatty acid methyl esters), a treatment with the BF3 in methanol was performed. These FAMEs are then separated and analyzed using gas chromatography.
Finally, lipid content of the fermentative broth of the co-culture was then analyzed with a gas chromatography–mass spectrometry (GC-MS) system (Agilent 6890 equipped with an Agilent 5975 detector and an HP-5MS capillary column: 30 m × 0.25 mm × 0.25 µm film thickness, Santa Clara, CA, USA). This analytical procedure was identical to that described by Verma et al. [].
3.6. Statistical Analysis
Results were analyzed with statistical SPSS version 21.0 software. One-way analysis of variance was chosen for the treatment comparisons for each data set. All statistics were based on a confidence level of 95%; therefore, p values smaller than 0.05 were considered statistically significant.
4. Conclusions
The present research offers clear and compelling evidence supporting the efficacy of the cyano–fungal co-pelletization technique as a sustainable method for treating coffee wastewater while producing nutrient-dense valuable biomass. The initial phase—refining the operational conditions of the immobilization process—was extremely successful, achieving a remarkable cyanobacterial harvesting efficiency of 97%. This stable co-pellet configuration facilitated significant synergistic effects, resulting in enhanced pollutant removal compared to monocultures. In particular, the system accomplished a COD removal efficiency of 67.65% and a TPC removal efficiency of 74.5%, indicating the effective detoxification of coffee wastewater. Consequently, the cyano–fungal co-culture emerged as an outstanding approach for bioconverting and assimilating organic contaminants and nutrients into value-added products. This synergistic mechanism led to a notable increase in both biomass and lipid yields, as demonstrated by a 25% improvement in lipid extraction yield. Additionally, the biomass indicated successful nutrient assimilation, as evidenced by a 15.24% enhancement in nitrogen content, leading to a valuable lipid profile that included a significant amount of monoacylglycerides. This dual accomplishment of high-efficiency remediation and superior product valorization firmly establishes the co-pellet system as a strong closed-loop model for a circular bioeconomy, transforming an environmental burden into a sustainable economic resource.
Supplementary Materials
The following supporting information can be downloaded at https://www.mdpi.com/article/10.3390/catal15121102/s1. Figure S1: High-performance liquid chromatography (HPLC) chromatograms of phenolic compounds (not treated [CE_NT] vs. treated [CE_T]) and the various wavelengths used for detection (254 nm, 280 nm, and 330 nm). Figure S2: Dose–response screening of substrate concentration. Comparative final biomass yield (g/L) for monocultures (BS7 and S1) and the fungal–cyanobacterial co-pellet system (BS7+S1) across increasing concentrations of SCG-based medium (5% to 65% w/v). Data presented as mean ± standard deviation.
Author Contributions
Conceptualization, D.D.; methodology, D.D., N.G. and I.B.I.; software, S.C.; validation, D.D., A.M. and M.C.; formal analysis, N.G., I.B.I. and F.B.A.; investigation, D.D., M.C. and A.M.; resources, D.D., A.M. and M.C.; data curation, S.C.; writing—original draft preparation, D.D., N.G. and I.B.I.; writing—review and editing, D.D.; visualization, D.D.; supervision, D.D. and M.C.; project administration, D.D.; funding acquisition, D.D. All authors have read and agreed to the published version of the manuscript.
Funding
This project was funded by the Ministry of Higher Education and Scientific Research (MESRS) through the Programme for Encouraging Young Researchers (PEJC) session 2023, Tunisia, under Grant No. (PEJC2023-D1P02). Therefore, the authors acknowledge and thank the MESRS for its technical and financial support.
Data Availability Statement
The original contributions presented in this study are included in the article. Further inquiries can be directed to the corresponding author.
Conflicts of Interest
The authors declare no conflicts of interest.
Abbreviations
The following abbreviations are used in this manuscript:
| CE | Model brown-colored coffee effluent; |
| CWW | Coffee wastewater; |
| SCG | Spend coffee ground; |
| COD | Chemical oxygen demand; |
| BOD | Biological oxygen demand; |
| BS7 | Trametes versicolor fungal strain; |
| S1 | Persinema sp. cyanobacterial strain; |
| BG-11 | Blue-Green medium; |
| EPSs | Extracellular polymeric substances; |
| SEM | Scanning electron microscopy; |
| MAGs | Monoacylglycerols; |
| DAGs | Diacylglycerols. |
References
- Chiang, P.F.; Zhang, T.; Claire, M.J.; Maurice, N.J.; Ahmed, J.; Giwa, A.S. Assessment of Solid Waste Management and Decarbonization Strategies. Processes 2024, 12, 1473. [Google Scholar] [CrossRef]
- Gil-Gómez, J.A.; Florez-Pardo, L.M.; Leguizamón-Vargas, Y.C. Valorization of coffee by-products in the industry, a vision towards circular economy. Discov. Appl. Sci. 2024, 6, 480. [Google Scholar] [CrossRef]
- Ijanu, E.M.; Kamaruddin, M.A.; Norashiddin, F.A. Coffee processing wastewater treatment: A critical review on current treatment technologies with a proposed alternative. Appl. Water Sci. 2020, 10, 11. [Google Scholar] [CrossRef]
- Gururaj, A.; Kumar, B.M.; Achyuth, K.N.; Manoj, B.R. Coffee Processing Wastewater Management: An Overview. J. Eng. Res. Rep. 2021, 20, 52–61. [Google Scholar] [CrossRef]
- Paiva Foresti, M., Jr.; Curi De Siqueira, J.; Dos Reis Souza, A.; Pimentel De Matos, M.; Fia, R. Use of by-products generated in the processing of coffee berries: A review. Coffee Sci. 2023, 18, 1–10. [Google Scholar] [CrossRef]
- Battista, F.; Barampouti, E.M.; Mai, S.; Bolzonella, D.; Malamis, D.; Moustakas, K.; Loizidou, M. Added-value molecules recovery and biofuels production from spent coffee grounds. Renew. Sustain. Energy Rev. 2020, 131, 110007. [Google Scholar] [CrossRef]
- Machado, M.; Ferreira, H.; Oliveira, M.B.P.P.; Alves, R.C. Coffee by-products: An underexplored source of prebiotic ingredients. Crit. Rev. Food Sci. Nutr. 2024, 64, 7181–7200. [Google Scholar] [CrossRef]
- Iriondo-DeHond, A.; Iriondo-DeHond, M.; Del Castillo, M.D. Applications of Compounds from Coffee Processing By-Products. Biomolecules 2020, 10, 1219. [Google Scholar] [CrossRef]
- Lee, Y.-G.; Cho, E.-J.; Maskey, S.; Nguyen, D.-T.; Bae, H.-J. Value-Added Products from Coffee Waste: A Review. Molecules 2023, 28, 3562. [Google Scholar] [CrossRef]
- Da Silva, C.N.; Da Silva, R.M.; Lemes, A.C.; Ribeiro, B.D. Recovery of Phenolic Compounds by Deep Eutectic Solvents in Orange By-Products and Spent Coffee Grounds. Sustainability 2024, 16, 7403. [Google Scholar] [CrossRef]
- Corrêa, C.L.O.; Penha, E.M.; Freitas-Silva, O.; Luna, A.S.; Gottschalk, L.M.F. Enzymatic Technology Application on Coffee Co-Products: A Review. Waste Biomass Valor. 2021, 12, 3521–3540. [Google Scholar] [CrossRef]
- Budžaki, S.; Velić, N.; Ostojčić, M.; Stjepanović, M.; Rajs, B.B.; Šereš, Z.; Maravić, N.; Stanojev, J.; Hessel, V.; Strelec, I. Waste Management in the Agri-Food Industry: The Conversion of Eggshells, Spent Coffee Grounds, and Brown Onion Skins into Carriers for Lipase Immobilization. Foods 2022, 11, 409. [Google Scholar] [CrossRef]
- Kim, S.; Kim, J.-C.; Kim, Y.Y.; Yang, J.E.; Lee, H.M.; Hwang, I.M.; Park, H.W.; Kim, H.M. Utilization of coffee waste as a sustainable feedstock for high-yield lactic acid production through microbial fermentation. Sci. Total Environ. 2024, 912, 169521. [Google Scholar] [CrossRef]
- Mirón-Mérida, V.A.; Barragán-Huerta, B.E.; Gutiérrez-Macías, P. Coffee waste: A source of valuable technologies for sustainable development. In Valorization of Agri-Food Wastes and By-Products; Elsevier: Amsterdam, The Netherlands, 2021; pp. 173–198. [Google Scholar] [CrossRef]
- Janissen, B.; Huynh, T. Chemical composition and value-adding applications of coffee industry by-products: A review. Resour. Conserv. Recycl. 2018, 128, 110–117. [Google Scholar] [CrossRef]
- Campos, R.C.; Pinto, V.R.A.; Melo, L.F.; Rocha, S.J.S.S.D.; Coimbra, J.S. New sustainable perspectives for “Coffee Wastewater” and other by-products: A critical review. Future Foods 2021, 4, 100058. [Google Scholar] [CrossRef]
- Skorupa, A.; Worwąg, M.; Kowalczyk, M. Coffee industry and ways of using By-Products as bioadsorbents for removal of pollutants. Water 2022, 15, 112. [Google Scholar] [CrossRef]
- Pires, J.F.; Viana, D.C.; Braga, R.A., Jr.; Schwan, R.F.; Silva, C.F. Protocol to select efficient microorganisms to treat coffee wastewater. J. Environ. Manag. 2020, 278, 111541. [Google Scholar] [CrossRef]
- Ashenafi Hailemariam, F.; Velmurugan, P.; Selvaraj, S.K. Treatment of wastewater from coffee (Coffea arebica) industries using mixed culture Pseudomonas florescence and Escherichia coli bacteria. Mater. Today Proc. 2021, 46, 7396–7401. [Google Scholar] [CrossRef]
- Erazo, S.; Agudelo-Escobar, L.M. Determination of Electrogenic Potential and Removal of Organic Matter from Industrial Coffee Wastewater Using a Native Community in a Non-Conventional Microbial Fuel Cell. Processes 2023, 11, 373. [Google Scholar] [CrossRef]
- Agudelo-Escobar, L.M.; Cabrera, S.E.; Avignone Rossa, C. A bioelectrochemical system for waste degradation and energy recovery from industrial coffee wastewater. Front. Chem. Eng. 2022, 4, 814987. [Google Scholar] [CrossRef]
- Dulta, K.; Awasthi, Y.K.; Aman, J.; Khirwar, R.; Kulwanshi, S.; Kumar, K. Dual Application of Waste Treatment and Fungal Cultivation/Metabolite Production. In Bioprospecting of Multi-Tasking Fungi for a Sustainable Environment; Uppuluri, K.B., Selvasembian, R., Eds.; Springer Nature: Singapore, 2024; pp. 361–377. [Google Scholar] [CrossRef]
- Khalatbari, S.; Sotaniemi, V.-H.; Leiviskä, T. Introducing a Dual approach to industrial wastewater reclamation and microalgae harvesting by filamentous fungus. J. Environ. Chem. Eng. 2025, 13, 116035. [Google Scholar] [CrossRef]
- Muradov, N.; Taha, M.; Miranda, A.F.; Wrede, D.; Kadali, K.; Gujar, A.; Stevenson, T.; Ball, A.S.; Mouradov, A. Fungal-assisted algal flocculation: Application in wastewater treatment and biofuel production. Biotechnol. Biofuels 2015, 8, 24. [Google Scholar] [CrossRef]
- Bhattacharya, A.; Mathur, M.; Kumar, P.; Prajapati, S.K.; Malik, A. A rapid method for fungal assisted algal flocculation: Critical parameters & mechanism insights. Algal Res. 2017, 21, 42–51. [Google Scholar] [CrossRef]
- Pal, P.; Singh, A.K.; Srivastava, R.K.; Rathore, S.S.; Sahoo, U.K.; Subudhi, S.; Sarangi, P.K.; Prus, P. Circular Bioeconomy in Action: Transforming Food Wastes into Renewable Food Resources. Foods 2024, 13, 3007. [Google Scholar] [CrossRef]
- Talukdar, S.; Barzee, T.J. Metabolically active fungus is not always required for fungal-assisted microalgae immobilization. Algal Res. 2025, 86, 103908. [Google Scholar] [CrossRef]
- Gao, Z.; Jiang, C.; Lyu, R.; Yang, Z.; Zhang, T. Optimization of the preparation of fungal-algal pellets for use in the remediation of arsenic-contaminated water. Environ. Sci. Pollut. Res. 2020, 27, 36789–36798. [Google Scholar] [CrossRef]
- Wang, S.-K.; Yang, K.-X.; Zhu, Y.-R.; Zhu, X.-Y.; Nie, D.-F.; Jiao, N.; Angelidaki, I. One-step co-cultivation and flocculation of microalgae with filamentous fungi to valorize starch wastewater into high-value biomass. Bioresour. Technol. 2022, 361, 127625. [Google Scholar] [CrossRef]
- Hamidi, M.; Okoro, O.V.; Milan, P.B.; Khalili, M.R.; Samadian, H.; Nie, L.; Shavandi, A. Fungal exopolysaccharides: Properties, sources, modifications, and biomedical applications. Carbohydr. Polym. 2022, 284, 119152. [Google Scholar] [CrossRef]
- Qamar, S.A.; Riasat, A.; Jahangeer, M.; Fatima, R.; Bilal, M.; Iqbal, H.M.N.; Mu, B. Prospects of microbial polysaccharides-based hybrid constructs for biomimicking applications. J. Basic Microbiol. 2022, 62, 1319–1336. [Google Scholar] [CrossRef] [PubMed]
- Hamza, A.; Mandari, V.; Santhosh Kumar, D. Efficient production of biomass and exopolysaccharide from P. ostreatus and physio-chemical characterization of biomass powder. Food Biosci. 2023, 55, 103073. [Google Scholar] [CrossRef]
- Umar, A.; Abid, I.; Elshikh, M.S.; Dufossé, L.; Abdel-Azeem, A.M.; Ali, I. Agitation role (Dissolved Oxygen) in production of laccase from newly identified Ganoderma multistipitatum sp. nov. and its effect on mycelium morphology. BMC Microbiol. 2023, 23, 280. [Google Scholar] [CrossRef]
- Chu, R.; Li, S.; Yin, Z.; Hu, D.; Zhang, L.; Xiang, M.; Zhu, L. A fungal immobilization technique for efficient harvesting of oleaginous microalgae: Key parameter optimization, mechanism exploration and spent medium recycling. Sci. Total Environ. 2021, 790, 148174. [Google Scholar] [CrossRef]
- Luo, S.; Wu, X.; Jiang, H.; Yu, M.; Liu, Y.; Min, A.; Li, W.; Ruan, R. Edible fungi-assisted harvesting system for efficient microalgae bio-flocculation. Bioresour. Technol. 2019, 282, 325–330. [Google Scholar] [CrossRef]
- Alrubaie, G.; Al-Shammari, R.H.H. Microalgae Chlorella vulgaris Harvesting Via Co-Pelletization with Filamentous Fungus. Baghdad Sci. J. 2018, 15, 31. [Google Scholar] [CrossRef]
- Oliveira, H.R.; Bassin, I.D.; Cammarota, M.C. Bioflocculation of cyanobacteria with pellets of Aspergillus niger: Effects of carbon supplementation, pellet diameter, and other factors in biomass densification. Bioresour. Technol. 2019, 294, 122167. [Google Scholar] [CrossRef]
- Ogawa, M.; Moreno-García, J.; Barzee, T.J. Filamentous fungal pellets as versatile platforms for cell immobilization: Developments to date and future perspectives. Microb. Cell Fact. 2024, 23, 280. [Google Scholar] [CrossRef] [PubMed]
- Díaz, E.M.; Sánchez-Elordi, E.; Santiago, R.; Vicente, C.; Legaz, M.E. Algal-Fungal Mutualism: Cell Recognition and Maintenance of the Symbiotic Status of Lichens. J. Vet. Med. Res. 2016, 3, 1052. [Google Scholar]
- Rokaya, N.; Carr, E.C.; Tiwari, S.; Wilson, R.A.; Jin, C. Design of Co-Culturing system of diazotrophic cyanobacteria and filamentous fungi for potential application in Self-Healing Concrete. Mater. Today Commun. 2025, 44, 112093. [Google Scholar] [CrossRef]
- Righini, H.; Francioso, O.; Martel Quintana, A.; Roberti, R. Cyanobacteria: A natural source for controlling agricultural plant diseases caused by fungi and oomycetes and improving plant growth. Horticulturae 2022, 8, 58. [Google Scholar] [CrossRef]
- Wang, Y.-C.; Lin, F.-Y.; Hsu, T.-H. Effects of nitrogen from different sources on mycelial biomass and polysaccharide production and pellet morphology in submerged cultures of Grifola frondosa. BioResources 2021, 16, 2937–2952. [Google Scholar] [CrossRef]
- Nawaz, T.; Joshi, N.; Nelson, D.; Saud, S.; Abdelsalam, N.R.; Abdelhamid, M.M.A.; Jaremko, M.; Rahman, T.U.; Fahad, S. Harnessing the potential of nitrogen-fixing cyanobacteria: A rich bio-resource for sustainable soil fertility and enhanced crop productivity. Environ. Technol. Innov. 2024, 36, 103886. [Google Scholar] [CrossRef]
- Daâssi, D.; Alhumairi, A.M.; Mellah, B.; Fdhil, N.; Baccar, N.; Chamkha, M. Physico-mechanical, thermal, and biodegradation performance of mycelium biocomposites derived from residual agrowastes. Polym. Bull. 2025, 82, 11295–11321. [Google Scholar] [CrossRef]
- Jiang, M.; Li, H.; Zhou, Y.; Zhang, J. The interactions of an algae–fungi symbiotic system influence nutrient removal from synthetic wastewater. J. Chem. Tech. Biotech. 2019, 94, 3993–3999. [Google Scholar] [CrossRef]
- Fathali, Z.; Rezaei, S.; Faramarzi, M.A.; Habibi-Rezaei, M. Catalytic phenol removal using entrapped cross-linked laccase aggregates. Int. J. Biol. Macromol. 2019, 122, 359–366. [Google Scholar] [CrossRef]
- Bhardwaj, R.; Sharma, P.; Singh, V.; Sharma, S.; Singh, J. Fungal laccase-based technologies for the remediation of industrial wastewater: A comprehensive review. J. Environ. Manag. 2023, 340, 117865. [Google Scholar]
- Kuivanen, J.; Penttilä, M.; Richard, P. Metabolic engineering of the fungal D-galacturonate pathway for L-ascorbic acid production. Microb. Cell Fact. 2015, 14, 2. [Google Scholar] [CrossRef]
- Martins, L.C.; Monteiro, C.C.; Semedo, P.M.; Sá-Correia, I. Valorisation of pectin-rich agro-industrial residues by yeasts: Potential and challenges. Appl. Microbiol. Biotechnol. 2020, 104, 6527–6547. [Google Scholar] [CrossRef]
- Magengelele, M.; Malgas, S.; Pletschke, B.I. Bioconversion of spent coffee grounds to prebiotic mannooligosaccharides—An example of biocatalysis in biorefinery. RSC Adv. 2023, 13, 3773–3780. [Google Scholar] [CrossRef]
- Gultom, S.; Zamalloa, C.; Hu, B. Microalgae Harvest through Fungal Pelletization—Co-Culture of Chlorella vulgaris and Aspergillus niger. Energies 2014, 7, 4417–4429. [Google Scholar] [CrossRef]
- Phyu, K.K.; Zhi, S.; Liang, J.; Yang, Z.; Zhao, R.; Liu, J.; Cao, Y.; Wang, H.; Zhang, K. Biomass growth, nutrient removal, and microbial community dynamics in mono-, Co-, and sequential culture of screened cyanobacteria with microalgae for dairy wastewater treatment. Bioresour. Technol. 2026, 439, 133329. [Google Scholar] [CrossRef] [PubMed]
- Stirk, W.A.; Pap, B.; Maróti, G.; Van Staden, J.; Ördög, V. Cyanobacteria-Fungi Co-Cultures: Which partner contributes to antifungal activity? Curr. Microbiol. 2024, 81, 401. [Google Scholar] [CrossRef]
- Pyrzynska, K. Useful Extracts from Coffee By-Products: A Brief Review. Separations 2024, 11, 334. [Google Scholar] [CrossRef]
- Alebooye, P.; Falah, F.; Vasiee, A.; Yazdi, F.T.; Mortazavi, S.A. Spent coffee grounds as a potential culture medium for γ-aminobutyric acid (GABA) production by Levilactobacillus brevis PML1. LWT 2023, 189, 115553. [Google Scholar] [CrossRef]
- Wainaina, S.; Kisworini, A.D.; Fanani, M.; Wikandari, R.; Millati, R.; Niklasson, C.; Taherzadeh, M.J. Utilization of food waste-derived volatile fatty acids for production of edible Rhizopus oligosporus fungal biomass. Bioresour. Technol. 2020, 310, 123444. [Google Scholar] [CrossRef]
- Dahmen-Ben Moussa, I.; Chtourou, H.; Karray, F.; Sayadi, S.; Dhouib, A. Nitrogen or phosphorus repletion strategies for enhancing lipid or carotenoid production from Tetraselmis marina. Bioresour. Technol. 2017, 238, 325–332. [Google Scholar] [CrossRef]
- Annal, U.N.; Vaithiyanathan, R.; Natarajan, A.; Rajadurai, V.; Kumar, P.S.M.; Li, Y.-Y. Electrolytic biodiesel production from spent coffee grounds: Optimization through response surface methodology and artificial neural network. J. Taiwan Inst. Chem. Eng. 2024, 165, 105697. [Google Scholar] [CrossRef]
- Kaiser, B.K.; Carleton, M.; Hickman, J.W.; Miller, C.; Lawson, D.; Budde, M.; Warrener, P.; Paredes, A.; Mullapudi, S.; Navarro, P.; et al. Fatty aldehydes in cyanobacteria are a metabolically flexible precursor for a diversity of biofuel products. PLoS ONE 2013, 8, e58307. [Google Scholar] [CrossRef] [PubMed]
- Ferreira, G.F.; Pessoa, J.G.B.; Ríos Pinto, L.F.; Maciel Filho, R.; Fregolente, L.V. Mono- and diglyceride production from microalgae: Challenges and prospects of high-value emulsifiers. Trends Food Sci. Technol. 2021, 118, 589–600. [Google Scholar] [CrossRef]
- Choe, U. Valorization of spent coffee grounds and their applications in food science. Curr. Res. Food Sci. 2025, 10, 101010. [Google Scholar] [CrossRef]
- Satori, H.; Kawase, Y. Decolorization of dark brown colored coffee effluent using zinc oxide particles: The role of dissolved oxygen in degradation of colored compounds. J. Environ. Manag. 2014, 139, 172–179. [Google Scholar] [CrossRef]
- Chen, Y.; Chen, J.; Chang, C.; Chen, J.; Cao, F.; Zhao, J.; Zheng, Y.; Zhu, J. Physicochemical and functional properties of proteins extracted from three microalgal species. Food Hydrocoll. 2019, 96, 510–517. [Google Scholar] [CrossRef]
- Relucenti, M.; Familiari, G.; Donfrancesco, O.; Taurino, M.; Li, X.; Chen, R.; Artini, M.; Papa, R.; Selan, L. Microscopy Methods for Biofilm Imaging: Focus on SEM and VP-SEM pros and cons. Biology 2021, 10, 51. [Google Scholar] [CrossRef] [PubMed]
- Katalinic, V.; Milos, M.; Kulisic, T.; Jukic, M. Screening of 70 medicinal plant extracts for antioxidant capacity and total phenols. Food Chem. 2006, 94, 550–557. [Google Scholar] [CrossRef]
- Rodrigues, D.B.; Veríssimo, L.; Finimundy, T.; Rodrigues, J.; Oliveira, I.; Gonçalves, J.; Fernandes, I.P.; Barros, L.; Heleno, S.A.; Calhelha, R.C. Chemical and Bioactive Screening of Green Polyphenol-Rich Extracts from Chestnut By-Products: An Approach to Guide the Sustainable Production of High-Added Value Ingredients. Foods 2023, 12, 2596. [Google Scholar] [CrossRef] [PubMed]
- Aroua, N.; Boukhris, M.; Choura, S.; Chamkha, M.; Salem, R.B.; Rigane, G. Characterization of Phenolic and Flavonoid Compounds in Casuarina glauca Organs From Djerba (Tunisia): A Comparative HPLC-DAD Study of Extraction Techniques. Chem. Biodivers. 2025, 22, e00618. [Google Scholar] [CrossRef]
- Shen, K.; Liu, Y.; Liu, L.; Khan, A.W.; Normakhamatov, N.; Wang, Z. Characterization, Optimization, and Scaling-up of Submerged Inonotus hispidus Mycelial Fermentation for Enhanced Biomass and Polysaccharide Production. Appl. Biochem. Biotechnol. 2025, 197, 1534–1555. [Google Scholar] [CrossRef]
- DuBois, M.; Gilles, K.A.; Hamilton, J.K.; Rebers, P.A.; Smith, F. Colorimetric method for determination of sugars and related substances. Anal. Chem. 1956, 28, 350–356. [Google Scholar] [CrossRef]
- Bligh, E.G.; Dyer, W.J. A rapid method of total lipid extraction and purification. Can. J. Biochem. Physiol. 1959, 37, 911–917. [Google Scholar] [CrossRef]
- Verma, A.; Vyas, M.; Sahu, S.K. Unveiling Anticancer phytoconstituents: A Comprehensive review of GC–MS applications in Natural products. ChemistrySelect 2025, 10, e202405724. [Google Scholar] [CrossRef]
Disclaimer/Publisher’s Note: The statements, opinions and data contained in all publications are solely those of the individual author(s) and contributor(s) and not of MDPI and/or the editor(s). MDPI and/or the editor(s) disclaim responsibility for any injury to people or property resulting from any ideas, methods, instructions or products referred to in the content. |
© 2025 by the authors. Licensee MDPI, Basel, Switzerland. This article is an open access article distributed under the terms and conditions of the Creative Commons Attribution (CC BY) license (https://creativecommons.org/licenses/by/4.0/).