Sign in to use this feature.

Years

Between: -

Subjects

remove_circle_outline
remove_circle_outline
remove_circle_outline
remove_circle_outline
remove_circle_outline
remove_circle_outline
remove_circle_outline
remove_circle_outline
remove_circle_outline

Journals

Article Types

Countries / Regions

remove_circle_outline
remove_circle_outline
remove_circle_outline

Search Results (291)

Search Parameters:
Keywords = modified atmosphere storage

Order results
Result details
Results per page
Select all
Export citation of selected articles as:
14 pages, 2112 KB  
Article
Effect of Plastic MAH Storage, 1-MCP, and Coating on Fruit Storability of ‘Sweet Gold’ and ‘Goldone’ Kiwifruit
by Seok-Kyu Jung, Hye-Won Bang, Hyeon-Ji Hwang and Hyun-Sug Choi
Horticulturae 2025, 11(10), 1152; https://doi.org/10.3390/horticulturae11101152 - 25 Sep 2025
Abstract
We examined the modulation of ‘Sweet Gold’ and ‘Goldone’ kiwifruit (Actinidia spp.) ripening using modified atmosphere and humidity (MAH), 1-methylcyclopropene (1-MCP), and edible coating treatments up to 35 days after storage (DAS) at room temperature. The 1-MCP and coating treatments decreased [CO [...] Read more.
We examined the modulation of ‘Sweet Gold’ and ‘Goldone’ kiwifruit (Actinidia spp.) ripening using modified atmosphere and humidity (MAH), 1-methylcyclopropene (1-MCP), and edible coating treatments up to 35 days after storage (DAS) at room temperature. The 1-MCP and coating treatments decreased [CO2] in both cultivars, whereas MAH treatment rapidly increased or decreased [CO2]. Use of 1-MCP highly preserved firmness in both cultivars, followed by coating. MAH sharply reduced approximately 17% of ‘Goldone’ fruit firmness at 7 DAS compared to other treatments. MAH, 1-MCP, and coating reduced weight loss in ‘Sweet Gold’ kiwifruits from 14 to 35 DAS. Coating prevented approximately 14% of weight loss in ‘Goldone’ fruits during storage by strong adherence to the fruit surface. The flesh of control and MAH-treated fruits of both cultivars exhibited reduced acidity during storage, increasing the soluble solids content to acidity ratio. The use of 1-MCP delayed a reduction in L* values of the peel color of ‘Sweet Gold’ kiwifruits, while reduced L* values of flesh color were mostly observed with control and MAH treatment in both fruit cultivars. The use of 1-MCP, coating, and MAH maintained high total phenolics, ABTS, and vitamin C levels in both cultivars at 14 and 28 DAS. Fruit ripening was delayed by coating and promoted by MAH treatment, while maintaining the quality and functional substances of the fruit. Full article
(This article belongs to the Special Issue Postharvest Physiology and Quality Improvement of Fruit Crops)
Show Figures

Figure 1

16 pages, 1606 KB  
Article
Impact of Combined Light and Modified Atmosphere Packaging on Postharvest Quality and Carbohydrate Fluctuations of Kyoho Grapes
by Kunpeng Zhao, Shaoyu Tao, Zhaoyang Ding and Jing Xie
Foods 2025, 14(19), 3308; https://doi.org/10.3390/foods14193308 - 24 Sep 2025
Viewed by 71
Abstract
Kyoho grapes are rich in nutrients, yet their susceptibility to spoilage poses a significant challenge for postharvest preservation. While light treatment can improve fruit quality and carbohydrate metabolism in postharvest grapes, the potential benefits of combining light treatment with modified atmosphere packaging (MAP) [...] Read more.
Kyoho grapes are rich in nutrients, yet their susceptibility to spoilage poses a significant challenge for postharvest preservation. While light treatment can improve fruit quality and carbohydrate metabolism in postharvest grapes, the potential benefits of combining light treatment with modified atmosphere packaging (MAP) remain unexplored. A preservation method that combined red and blue light treatments with MAP has been developed to enhance postharvest fruit quality and carbohydrate metabolism in Kyoho grapes. Our study showed that this combined treatment significantly increased postharvest fruit hardness, as well as total soluble solids (TSS) and fruiting pedicel water content. It also improved the activities of superoxide dismutase (SOD) and phenylalanine ammonialyase (PAL) and increased the antioxidant, anti-browning capacity. This composite treatment slowed down sucrose decomposition by regulating the activities of key enzymes of carbohydrate metabolism (sucrose synthase (SS), sucrose phosphate synthase (SPS), neutral invertase (NI) and acid invertase (AI)). After 60 days of storage, the glucose, fructose, and sucrose contents of the RP group increased by 13.4%, 30.2%, and 18.1%, respectively, compared to the CK group (p < 0.05). In summary, light combined with modified atmosphere packaging significantly improved the physicochemical properties and sugar metabolism of postharvest grapes. The results indicated that the optimal treatment condition was continuous red-light irradiation combined with MAP. The hardness, TSS content, VC content and glucose content of Kyoho grapes in this treatment group were the best in all treatment groups. Full article
(This article belongs to the Special Issue Postharvest and Green Processing Technology of Vegetables and Fruits)
Show Figures

Graphical abstract

18 pages, 941 KB  
Article
Interannual Variability in Apricot Quality: Role of Calcium and Postharvest Treatments During Cold Storage and Shelf Life
by Maja Milović, Nenad Magazin, Jasna Mastilović, Žarko Kevrešan, Jelena Kalajdžić, Biserka Milić, Renata Kovač and Gordana Barać
Horticulturae 2025, 11(9), 1140; https://doi.org/10.3390/horticulturae11091140 - 18 Sep 2025
Viewed by 222
Abstract
Extending the postharvest life of apricots (Prunus armeniaca L.) while maintaining their quality is a significant challenge due to their perishability, climacteric ripening, and susceptibility to mechanical injury. This study evaluated the effects of preharvest calcium (Ca) application and postharvest treatments, including [...] Read more.
Extending the postharvest life of apricots (Prunus armeniaca L.) while maintaining their quality is a significant challenge due to their perishability, climacteric ripening, and susceptibility to mechanical injury. This study evaluated the effects of preharvest calcium (Ca) application and postharvest treatments, including modified-atmosphere packaging (MAP) and 1-methylcyclopropene (1-MCP), on apricot quality during storage, carried out in two production years (2016 and 2017) under contrasting climatic conditions. Apricot fruits, cv. ‘Buda’, were treated with Ca before harvest and subjected to MAP or 1-MCP postharvest treatment. Quality parameters, including firmness, color, total soluble solids (TSS), titratable acidity (TA), carotenoids, phenols, respiration rate, and sensory attributes, were analyzed over 15 days of cold storage followed by 3 days of shelf life (15 + 3). The growing season significantly influenced all measured parameters. Fruits harvested in 2017 had double the initial firmness compared to those from 2016 (50.03 N vs. 24.3 N), with higher sweetness and acidity scores. Ca treatment effectively reduced firmness loss by 30% in 2016, particularly beneficial under that year’s wetter conditions, but showed limited impact in the drier 2017 season. MAP successfully delayed ripening and maintained higher acidity levels across both years compared to controls. While 1-MCP treatment preserved fruit firmness effectively, it reduced sweetness perception by 37–59% and limited aroma development, with effects most pronounced in 2017. Sensory evaluation revealed no negative impacts of the applied treatments on overall taste acceptance, with Ca-treated fruits scoring significantly higher for sweetness than controls. The combination of preharvest Ca and postharvest treatments showed potential for extending apricots’ shelf life, but their efficacy was highly dependent on yearly climatic variability. These findings demonstrate that treatment effectiveness varies substantially between years, with Ca applications providing greater benefits in wet years, while 1-MCP and MAP showed more a consistent performance across varying climatic conditions. Therefore, customized and specifically tailored pre- and postharvest protocols are greatly needed to maintain the fruit quality and achieve targeted storage outcomes. Full article
(This article belongs to the Section Postharvest Biology, Quality, Safety, and Technology)
Show Figures

Figure 1

22 pages, 3539 KB  
Article
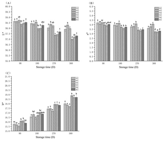
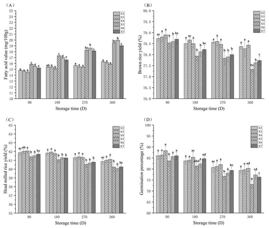
A Study on the Application of CO2-Modified Atmosphere Combined with Temperature-Control Technology in Rice Warehouse Storage
by Shiming Wang, Yan Zhao, Haoxin Lv, Tianjie Qi and Yongling Song
Foods 2025, 14(18), 3217; https://doi.org/10.3390/foods14183217 - 16 Sep 2025
Viewed by 284
Abstract
In recent years, as two globally recognized green grain storage technologies, CO2-modified atmosphere (CO2) storage and temperature-controlled (TC) storage have gained prominence. However, research on their integrated application remains limited. This study monitored quality dynamics and microbial activity in [...] Read more.
In recent years, as two globally recognized green grain storage technologies, CO2-modified atmosphere (CO2) storage and temperature-controlled (TC) storage have gained prominence. However, research on their integrated application remains limited. This study monitored quality dynamics and microbial activity in rice stored for 360 days under CO2 + TC versus conventional storage (control), with analyses conducted at stratified sampling points (upper, middle, and lower layers). Compared to conventional storage, CO2 + TC preserved rice color more effectively, while retarding the increase in fatty acid value and the decline in brown rice yield, head rice yield, and germination percentage. Furthermore, CO2 + TC storage effectively suppresses the proliferation of Fusarium and Aspergillus, thereby retarding aflatoxin B1 (AFB1) accumulation by inhibiting fungal metabolic activity. Non-targeted metabolomics analysis further verified that CO2 + TC storage enhanced rice antioxidant capacity and disease resistance by modulating amino acid, carbohydrate, and linolipid metabolic pathways. This technology effectively maintained nutrient retention (e.g., amino acids and proteins) and delayed quality deterioration in stored rice. These findings elucidated the underlying mechanism of CO2 + TC on rice quality, offering a novel perspective for grain storage technology. Full article
(This article belongs to the Section Food Packaging and Preservation)
Show Figures

Graphical abstract

26 pages, 2828 KB  
Article
Physicochemical Changes and Antioxidant Metabolism of Actinidia arguta Fruit (Kiwiberry) Under Various Cold-Storage Conditions
by Barbara Łata, Rafał Wołosiak, Ewa Majewska, Beata Drużyńska, Małgorzata Piecyk, Katarzyna Najman, Anna Sadowska and Piotr Latocha
Molecules 2025, 30(18), 3742; https://doi.org/10.3390/molecules30183742 - 15 Sep 2025
Viewed by 299
Abstract
Actinidia arguta (kiwiberry) is a fruit with significant health benefits, and research continues to identify factors that enhance its storability while maintaining quality. Special attention is given to antioxidant metabolism and total antioxidant activity. In this study, four cold-storage conditions were tested: normal [...] Read more.
Actinidia arguta (kiwiberry) is a fruit with significant health benefits, and research continues to identify factors that enhance its storability while maintaining quality. Special attention is given to antioxidant metabolism and total antioxidant activity. In this study, four cold-storage conditions were tested: normal air, normal air with ozone, modified atmosphere, and controlled atmosphere. In each case, the fruit was either pre-cooled before storage or not. The aim was to identify conditions most favorable to preserving internal and external fruit quality over time. Taking into account most of the basic fruit physicochemical traits tested, it can be assumed that for up to 30 days of storage, each storage method can be useful to store A. arguta fruit. After this period, the fruit stored in a controlled and then modified atmosphere retained the highest and acceptable firmness. Changes in antioxidant content are more complex and depend on the type of compound, storage time, and fruit post-harvest treatment. During the 50-day storage period, marked fluctuations in ascorbate, glutathione, and L-cysteine levels were observed at 10-day intervals. Phenolic content increased initially (after 10 days) and then stabilized. Among the methods used, ozonation led to a relative stabilization or increase in antioxidant content. This method, like the cooling procedure, requires further detailed research to determine its suitability for the species/variety being tested. Changes in antiradical activity were reaction-mechanism-dependent. The activity based on single electron transfer consistently decreased, while that based on hydrogen atom transfer was more stable overall. Contrary to this, the pro-oxidative Fe(II) chelating agent appeared during storage. The health-promoting properties of stored fruit may fluctuate due to antioxidant involvement in adaptation to storage conditions and uneven ripening, which remains a challenge both at harvest and during storage. Any of the three alternatives to cold storage in CA (NA, NA+O, MA) proved beneficial in short-term storage. However, MA has proven to be a similarly effective long-term storage method to CA in terms of the physicochemical quality of A. arguta fruit. Full article
Show Figures

Figure 1

24 pages, 772 KB  
Article
Microbial Spoilage Dynamics, Free Amino Acid Profile Alterations, and Biogenic Amine Accumulation in Beef Under Different Packaging Systems During Extended Storage
by Marta Chmiel, Olga Świder, Daria Padewska, Elżbieta Hać-Szymańczuk, Lech Adamczak, Aneta Cegiełka, Tomasz Florowski, Dorota Pietrzak, Iwona Szymańska, Marcin Bryła and Marek Łukasz Roszko
Appl. Sci. 2025, 15(18), 9882; https://doi.org/10.3390/app15189882 - 9 Sep 2025
Viewed by 354
Abstract
This study evaluated the microbiological quality, free amino acid profile (FAAs), and the biogenic amine (BA) accumulation in beef steaks during extended storage under 0–4 °C in modified atmosphere (MAP O2/CO2/N2): MAP80/20/0, MAP70/20/10, MAP60/20/20, and vacuum (VP). [...] Read more.
This study evaluated the microbiological quality, free amino acid profile (FAAs), and the biogenic amine (BA) accumulation in beef steaks during extended storage under 0–4 °C in modified atmosphere (MAP O2/CO2/N2): MAP80/20/0, MAP70/20/10, MAP60/20/20, and vacuum (VP). The VP meat had significantly higher Enterobacteriaceae counts than MAP meat, influencing BA accumulation. The total plate count (TPC) exceeded the acceptable fresh meat limit (107 cfu/g) on day 28 of beef storage, regardless of packaging method. The dynamics of the changes in the FAAs differed between VP and MAP beef throughout storage, which affected the BAs’ formation. From day 14 of storage, VP beef steaks had lower or significantly lower content of (p ≤ 0.05) FAAs such as histidine, lysine, ornithine, phenylalanine, tryptophan, and tyrosine, and significantly (p ≤ 0.05) higher content of BAs such as histamine, cadaverine, putrescine, 2-phenylethylamine, tryptamine and tyramine compared to MAP beef. Based on BAI values, VP beef was spoiled on day 14, which was two weeks earlier than MAP beef, demonstrating that vacuum packaging promotes faster BA accumulation, due to the growth of Enterobacteriaceae under low-oxygen conditions. MAP provided more stable microbiological quality and lower BAI values of beef during storage than VP. No differences in shelf life between various MAP gas mixtures were observed; however MAP 80/20/0 slowed down the formation of biogenic amines, which was reflected by lower BAI values. Full article
(This article belongs to the Special Issue Quality, Safety, and Functional Properties of Meat and Meat Products)
Show Figures

Figure 1

23 pages, 2512 KB  
Article
Combined Effects of 1-MCP and Modified Atmosphere Packaging on Flavor Quality and Volatile Profile of Cold-Stored Strawberries Revealed by Untargeted GC-MS Analysis
by Yukang Gu, Minghui Xu, Jun Liu, Juan Kan, Man Zhang, Lixia Xiao, Xiaodong Yang, Xiaohua Qi and Chunlu Qian
Foods 2025, 14(17), 2936; https://doi.org/10.3390/foods14172936 - 22 Aug 2025
Viewed by 641
Abstract
Strawberries are highly perishable despite their popularity, as their limited shelf life compromises both freshness and market value. The study investigated the effects of 1-methylcyclopropene (1-MCP), modified atmosphere packaging (MAP), and their combined treatments on the quality and flavor of strawberries during cold [...] Read more.
Strawberries are highly perishable despite their popularity, as their limited shelf life compromises both freshness and market value. The study investigated the effects of 1-methylcyclopropene (1-MCP), modified atmosphere packaging (MAP), and their combined treatments on the quality and flavor of strawberries during cold storage and simulated shelf life. 1-MCP was applied by enclosing strawberry fruits in a hermetically sealed container and exposing them to 250 nL/L 1-MCP at 20 °C for 18 h. Three initial MAP gas compositions were tested: MAP1 (5% O2, 15% CO2, 80% N2), MAP2 (10% O2, 10% CO2, 80% N2), and MAP3 (15% O2, 5% CO2, 80% N2), with MAP1 identified as optimal based on strawberry postharvest quality metrics. The results showed that all treatments could inhibit the deterioration of strawberry quality, and the 1-MCP + MAP treatment had the best fresh-keeping effect. Untargeted Gas Chromatography-Mass Spectrometry (GC-MS) analysis identified 85 volatile compounds, and sensory correlation analysis revealed that 1-MCP + MAP-treated strawberries maintained the highest consumer acceptability, with odor characteristics closely resembling those of pre-storage controls. Further studies demonstrated that the combined treatment uniquely suppressed the generation of fatty acid oxidation-derived volatiles while stabilizing critical aroma-active esters, thereby decelerating flavor degradation. Collectively, these findings highlight the potential of 1-MCP + MAP as a postharvest strategy to delay the postharvest senescence of strawberries and maintain their storage quality. GC-MS provided a scientific method for the flavor quality evaluation of this preservation technology. Full article
Show Figures

Figure 1

42 pages, 1850 KB  
Review
Date Palm (Phoenix dactylifera L.) Fruit: Strategic Crop for Food Security, Nutritional Benefits, Postharvest Quality, and Valorization into Emerging Functional Products
by Nasser Al-Habsi
Sustainability 2025, 17(16), 7491; https://doi.org/10.3390/su17167491 - 19 Aug 2025
Cited by 1 | Viewed by 2198
Abstract
Date palm (Phoenix dactylifera L.) is a vital crop cultivated primarily in developing regions, playing a strategic role in global food security through its significant contribution to nutrition, economy, and livelihoods. Global and regional production trends revealed increasing demand and expanded cultivation [...] Read more.
Date palm (Phoenix dactylifera L.) is a vital crop cultivated primarily in developing regions, playing a strategic role in global food security through its significant contribution to nutrition, economy, and livelihoods. Global and regional production trends revealed increasing demand and expanded cultivation areas, underpinning the fruit’s importance in national food security policies and economic frameworks. The date fruit’s rich nutritional profile, encompassing carbohydrates, dietary fiber, minerals, and bioactive compounds, supports its status as a functional food with health benefits. Postharvest technologies and quality preservation strategies, including temperature-controlled storage, advanced drying, edible coatings, and emerging AI-driven monitoring systems, are critical to reducing losses and maintaining quality across diverse cultivars and maturity stages. Processing techniques such as drying, irradiation, and cold plasma distinctly influence sugar composition, texture, polyphenol retention, and sensory acceptance, with cultivar- and stage-specific responses guiding optimization efforts. The cold chain and innovative packaging solutions, including vacuum and modified atmosphere packaging, along with biopolymer-based edible coatings, enhance storage efficiency and microbial safety, though economic and practical constraints remain, especially for smallholders. Microbial contamination, a major challenge in date fruit storage and export, is addressed through integrated preservation approaches combining thermal, non-thermal, and biopreservative treatment. However, gaps in microbial safety data, mycotoxin evaluation, and regulatory harmonization hinder broader application. Date fruit derivatives such as flesh, syrup, seeds, press cake, pomace, and vinegar offer versatile functional roles across food systems. They improve nutritional value, sensory qualities, and shelf life in bakery, dairy, meat, and beverage products while supporting sustainable waste valorization. Emerging secondary derivatives like powders and extracts further expand the potential for clean-label, health-promoting applications. This comprehensive review underscores the need for multidisciplinary research and development to advance sustainable production, postharvest management, and value-added utilization of date palm fruits, fostering enhanced food security, economic benefits, and consumer health worldwide. Full article
Show Figures

Graphical abstract

19 pages, 2404 KB  
Article
Effect of Different Oxygen Atmospheres on Color Stability of Modified Atmosphere Packaged Beef Using Non-Invasive Measurement
by Johannes Krell, Theresa Müller, Alejandro Poveda-Arteaga, Jochen Weiss, Nino Terjung and Monika Gibis
Appl. Sci. 2025, 15(16), 8987; https://doi.org/10.3390/app15168987 - 14 Aug 2025
Viewed by 337
Abstract
The influence of a 1% oxygen atmosphere on the color stability of modified atmosphere packaged beef was investigated. Beef silverside slices were packed under 1%, 20%, and 70% oxygen atmospheres and stored at 2 °C for 14 days. Color and reflection data were [...] Read more.
The influence of a 1% oxygen atmosphere on the color stability of modified atmosphere packaged beef was investigated. Beef silverside slices were packed under 1%, 20%, and 70% oxygen atmospheres and stored at 2 °C for 14 days. Color and reflection data were measured non-invasively. The L*a*b* values were analyzed, the color difference ΔE2000, and the levels of myoglobin (Mb), deoxy-(DMb), oxy-(OMb), and metmyoglobin (MMb) were calculated. The 1% oxygen atmosphere resulted in a rapid MMb formation from 0.63 (day 0) to 1.27 (day 8) (p < 0.05). The other samples showed slight increases from 0.65 to 0.80 MMb (20%) and 0.65 to 0.79 MMb (70%). On day 10, the 20% oxygen sample showed an increased MMb formation (1.33 MMb). The 70% atmosphere resulted in a final value of 0.91 MMb after 14 days. These results show that an oxygen content of 1% accelerates the formation of MMb at an early stage. A higher oxygen content in the packaging delays MMb development through OMb formation, which masks MMb creation, to a certain extent. Measuring the packaged meat pieces over a 14-day storage period provides detailed insights into the development of Mb formation and critical points during storage. Full article
(This article belongs to the Section Food Science and Technology)
Show Figures

Figure 1

18 pages, 2561 KB  
Article
Preharvest Far-Red Light Affects Respiration Rate and Carbohydrate Status in Lettuce Grown in a Vertical Farm and Stored Under Modified Atmosphere Conditions
by Ellen Van de Velde, Lauriane Van Wilder, Marie-Christine Van Labeke, Bruno De Meulenaer, Kathy Steppe, Frank Devlieghere and Emmy Dhooghe
Agronomy 2025, 15(8), 1957; https://doi.org/10.3390/agronomy15081957 - 13 Aug 2025
Viewed by 517
Abstract
Vertical farming allows for precise control of environmental conditions, including light quality, enabling the optimization of plant growth and the synthesis of specific phytochemicals. However, the effects of such conditions on postharvest quality remain underexplored. In this study, butterhead lettuce (Lactuca sativa [...] Read more.
Vertical farming allows for precise control of environmental conditions, including light quality, enabling the optimization of plant growth and the synthesis of specific phytochemicals. However, the effects of such conditions on postharvest quality remain underexplored. In this study, butterhead lettuce (Lactuca sativa cv. ‘Alyssa’) was grown for three weeks under light-emitting diode (LED) lighting (190 µmol m−2 s−1; 89% red, 11% blue), with or without supplemental far-red light (ca. 50 µmol m−2 s−1). Growth and quality parameters were assessed at harvest, followed by postharvest evaluation of fresh-cut lettuce stored under equilibrium modified atmosphere packaging (EMAP: 3% O2, balance N2) at 7 °C in darkness for 13 days. The respiration rate of the produce was also determined. Far-red light supplementation increased dry weight (+17%) and elevated glucose (+57%) and fructose (+64%) levels at harvest, without affecting fresh weight, pigment content, vitamin C, or sucrose levels. Although respiration rates during storage were about 54% higher for lettuce grown under far-red light, visual quality seemed slightly better preserved. Total aerobic psychrotrophic counts showed no significant differences between treatments at harvest or during storage. These findings suggest that far-red light can enhance certain quality traits of lettuce, particularly carbohydrate accumulation and dry weight, but the associated rise in respiration may limit these benefits postharvest. Further research is needed to clarify its long-term impact in vertical farming systems. Full article
(This article belongs to the Special Issue Light Environment Regulation of Crop Growth)
Show Figures

Figure 1

22 pages, 1215 KB  
Article
Gas Atmosphere Innovation Applied to Prolong the Shelf Life of ‘Regina’ Sweet Cherries
by Rodrigo Neira-Ojeda, Sebastián Rodriguez, Cristian Hernández-Adasme, Violeta Muñoz, Dakary Delgadillo, Bo Sun, Xiao Yang and Victor Hugo Escalona
Plants 2025, 14(15), 2440; https://doi.org/10.3390/plants14152440 - 6 Aug 2025
Viewed by 667
Abstract
In this study, the impact of moderate and high CO2 and O2 levels was compared to low and moderate gas combinations during prolonged storage on the quality of Regina sweet cherries harvested in different maturity stages, particularly in terms of decreasing [...] Read more.
In this study, the impact of moderate and high CO2 and O2 levels was compared to low and moderate gas combinations during prolonged storage on the quality of Regina sweet cherries harvested in different maturity stages, particularly in terms of decreasing internal browning. Fruits were harvested in two different maturity stages (Light and Dark Mahogany skin color) and stored in CA of 15% CO2 + 10% O2; 10% CO2 + 10% O2; 10% CO2 + 5% O2; 5% CO2 + 5% O2 and MA of 4 to 5% CO2 + 16 to 17% O2 for 30 and 40 days at 0 °C and 90% RH, followed by a marketing period. After the storage, both maturity stages significantly reduced internal browning, decay, and visual quality losses in CA with 10–15% CO2 and 10% O2. In addition, it preserved luminosity, total soluble solids (TSSs), titratable acidity (TA), and bioactive compounds such as anthocyanins and phenols. This treatment also maintained the visual appearance of the sweet cherries, favoring their market acceptance. At the same time, the light red fruits showed a better general quality compared to darker color after the storage. In conclusion, a controlled atmosphere with optimized CO2 and O2 concentrations, together with harvesting with a Light Mahogany external color, represents an effective strategy to extend the shelf life of Regina sweet cherries up to 40 days plus the marketing period, maintaining their physical and sensory quality for export markets. Full article
(This article belongs to the Special Issue Postharvest Quality and Physiology of Vegetables and Fruits)
Show Figures

Figure 1

14 pages, 1415 KB  
Article
Effects of Different Packaging on the Purine Content and Key Enzymes of Refrigerated Yellow Croaker (Larimichthys crocea)
by Tiansheng Xu, Wenxuan Lu, Bohan Chen, Dapeng Li and Jing Xie
Foods 2025, 14(15), 2732; https://doi.org/10.3390/foods14152732 - 5 Aug 2025
Viewed by 580
Abstract
In this study, we investigated the effects of air packaging, vacuum packaging and modified atmosphere packaging (CO2/N2: 80/20) on the purine metabolism and enzyme activities of refrigerated large yellow croakers. The results showed that modified atmosphere packaging significantly inhibited [...] Read more.
In this study, we investigated the effects of air packaging, vacuum packaging and modified atmosphere packaging (CO2/N2: 80/20) on the purine metabolism and enzyme activities of refrigerated large yellow croakers. The results showed that modified atmosphere packaging significantly inhibited microbial growth, delayed adenosine triphosphate degradation and maintained higher IMP content (1.93 μmol/g on day 21) compared to the air packaging group (2.82 μmol/g on day 12). The total purine content increased with storage time, with hypoxanthine content increasing significantly and occupying most of the total content, which was the key factor for the elevation of purine, followed by adenine content showing a significant decreasing trend. Hypoxanthine accumulation was significantly suppressed in the modified atmosphere packaging group (2.31 μmol/g on day 18), which was much lower than that in the air packaging group (5.64 μmol/g), whereas xanthine and guanine did not show significant differences among the groups. The key enzymes xanthine oxidase and purine nucleoside phosphorylase were much less active in modified atmosphere packaging, effectively delaying the cascade reaction of inosine monophosphate → hypoxanthine → xanthine. The study confirmed that modified atmosphere packaging intervenes in purine metabolism through enzyme activity regulation, providing a theoretical basis for the preservation of low purine aquatic products. Full article
Show Figures

Figure 1

14 pages, 1512 KB  
Article
Postharvest NMR Metabolomic Profiling of Pomegranates Stored Under Low-Pressure Conditions: A Pilot Study
by Keeton H. Montgomery, Aya Elhabashy, Brendon M. Anthony, Yong-Ki Kim and Viswanathan V. Krishnan
Metabolites 2025, 15(8), 507; https://doi.org/10.3390/metabo15080507 - 30 Jul 2025
Viewed by 627
Abstract
Background: There is a high demand for long-term postharvest storage of valuable perishables with high-quality preservation and minimal product loss due to decay and physiological disorders. Postharvest low-pressure storage (LPS) provides a viable option for many fruits. While recent studies have presented the [...] Read more.
Background: There is a high demand for long-term postharvest storage of valuable perishables with high-quality preservation and minimal product loss due to decay and physiological disorders. Postharvest low-pressure storage (LPS) provides a viable option for many fruits. While recent studies have presented the details of technology, this pilot study presents the metabolomics changes due to the hypobaric storage of pomegranates as a model system. Methods: Nuclear magnetic resonance (NMR)-based metabolomics studies were performed on pomegranate fruit tissues, comparing fruit stored under LPS conditions versus the traditional storage system, with modified atmosphere packaging (MAP) as the control. The metabolomic changes in the exocarp, mesocarp, and arils were measured using 1H NMR spectroscopy, and the results were analyzed using multivariate statistics. Results: Distinguishable differences were noted between the MAP and LPS conditions in fruit quality attributes and metabolite profiles. Sucrose levels in the aril, mesocarp, and exocarp samples were higher under LPS, while sucrose levels were reduced in MAP. In addition, alanine levels were more abundant in the mesocarp and exocarp samples, and ethanol concentration decreased in the exocarp samples, albeit less significantly. Conclusions: This pilot investigation shows the potential for using NMR as a valuable assessment tool for monitoring the performance of viable long-term storage conditions in horticultural commodities. Full article
Show Figures

Figure 1

14 pages, 911 KB  
Article
Physiological Response of Tribolium castaneum to CO2 Controlled Atmosphere Stress Under Trehalose Feeding
by Yuya Zhang, Shangrong Hu, Min Zhou, Xinyi Zhang, Liwen Guan, Yanfei Zhou, Jun Lv and Bin Tang
Insects 2025, 16(8), 768; https://doi.org/10.3390/insects16080768 - 26 Jul 2025
Viewed by 2776
Abstract
This study investigated the physiological regulatory mechanisms by which exogenous trehalose intake enhances the adaptation of the global stored-grain pest T. castaneum to high-concentration carbon dioxide (CO2) stress. By supplementing exogenous trehalose under high-CO2 controlled atmosphere stress, we measured the [...] Read more.
This study investigated the physiological regulatory mechanisms by which exogenous trehalose intake enhances the adaptation of the global stored-grain pest T. castaneum to high-concentration carbon dioxide (CO2) stress. By supplementing exogenous trehalose under high-CO2 controlled atmosphere stress, we measured the activities of key detoxification enzymes (e.g., carboxylesterase and cytochrome P450) and the levels of carbohydrate substances (e.g., glycogen, glucose, and trehalose). The results demonstrated that trehalose feeding significantly alleviated CO2 induced mortality in T. castaneum and prolonged their survival time. In terms of detoxification metabolism, a trehalose-rich diet significantly reduced the activities of cytochrome P450 and carboxylesterase, while the glucose content in the beetles decreased markedly. These findings indicate that trehalose accumulation mitigates physiological damage caused by high-CO2 stress in T. castaneum. Furthermore, exogenous trehalose intake did not disrupt carbohydrate metabolic homeostasis in the beetles, as trehalase activity and the levels of various carbohydrates remained relatively stable. This study elucidates the role of trehalose metabolism in T. castaneum’s adaptation to high-CO2 environments, providing a theoretical foundation for optimizing controlled atmosphere grain storage technology and developing novel pest control strategies. Full article
Show Figures

Figure 1

22 pages, 6702 KB  
Article
Maintaining the Quality and Nutritional Integrity of Chilled Cordyceps sinensis: Comparative Effects and Mechanisms of Modified Atmosphere Packaging and UV-Based Interventions
by Tianzhuo Huang, Huanzhi Lv, Yubo Lin, Xin Xiong, Yuqing Tan, Hui Hong and Yongkang Luo
Foods 2025, 14(15), 2611; https://doi.org/10.3390/foods14152611 - 25 Jul 2025
Viewed by 566
Abstract
Cordyceps sinensis (C. sinensis) is widely recognized for its bioactive compounds and associated health benefits. However, due to its delicate nature, conventional chilled storage often results in the rapid degradation of valuable compounds, leading to loss of nutritional value and overall [...] Read more.
Cordyceps sinensis (C. sinensis) is widely recognized for its bioactive compounds and associated health benefits. However, due to its delicate nature, conventional chilled storage often results in the rapid degradation of valuable compounds, leading to loss of nutritional value and overall quality. This study integrated and evaluated comprehensive strategies: three gas-conditioning and two light-based preservation methods for maintaining both quality and nutritional integrity during 12-day chilled storage at 4 °C. The results revealed that vacuum packaging significantly inhibited weight loss (3.49%) compared to in the control group (10.77%) and preserved sensory quality (p < 0.05). UV-based interventions notably suppressed polyphenol oxidase and tyrosinase activities by 36.4% and 29.7%, respectively (p < 0.05). Modified atmosphere packaging (MAP) with 80% N2 and 20% CO2 (MAP-N2CO2) maintained higher levels of cordycepin (1.77 µg/g) and preserved energy charge above 0.7 throughout storage. The results suggest that MAP-based treatments are superior methods for the chilled storage of C. sinensis, with diverse advantages and their corresponding shelf lives associated with different gas compositions. Full article
(This article belongs to the Section Nutraceuticals, Functional Foods, and Novel Foods)
Show Figures

Figure 1

Back to TopTop