Sign in to use this feature.

Years

Between: -

Subjects

remove_circle_outline
remove_circle_outline
remove_circle_outline
remove_circle_outline
remove_circle_outline
remove_circle_outline
remove_circle_outline
remove_circle_outline
remove_circle_outline

Journals

Article Types

Countries / Regions

remove_circle_outline
remove_circle_outline

Search Results (190)

Search Parameters:
Keywords = minimum tillage

Order results
Result details
Results per page
Select all
Export citation of selected articles as:
30 pages, 3631 KB  
Article
Synergistic Interactions and Short-Term Impact of Tillage Systems on Soil Physico-Chemical Properties and Organic Carbon Sequestration in North-Eastern Romania
by Segla Serginho Cakpo, Mariana Rusu, Cosmin Ghelbere, Gabriel Dumitru Mihu, Tudor George Aostăcioaei, Ioan Boti, Gerard Jităreanu and Denis Țopa
Agriculture 2026, 16(2), 179; https://doi.org/10.3390/agriculture16020179 - 10 Jan 2026
Viewed by 217
Abstract
Tillage practices regulate soil health by influencing soil’s physico-chemical qualities and its capacity to sequester organic carbon. Maintaining soil health contributes to ecosystem stability and fluidity in the soil–plant–atmosphere relationship. This study aimed to evaluate soil porosity (SP), aeration limit (SAL), soil capillary [...] Read more.
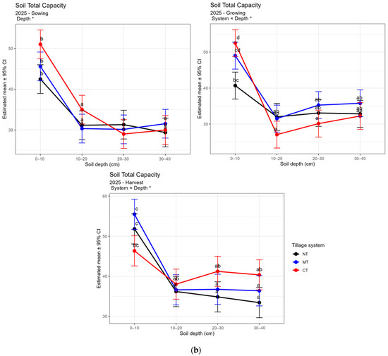
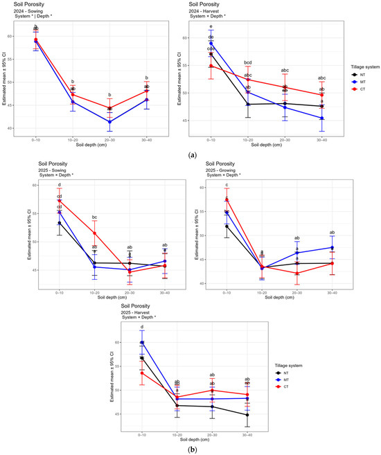
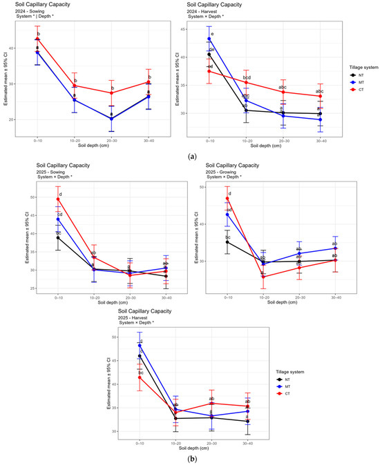
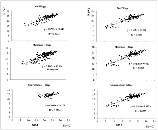
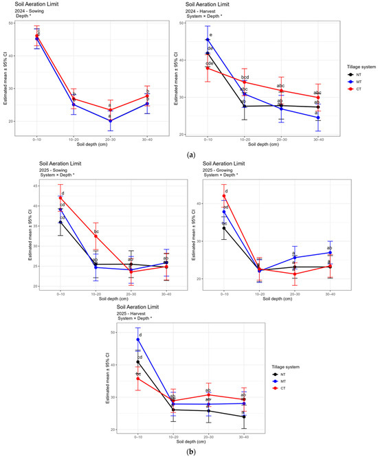
Tillage practices regulate soil health by influencing soil’s physico-chemical qualities and its capacity to sequester organic carbon. Maintaining soil health contributes to ecosystem stability and fluidity in the soil–plant–atmosphere relationship. This study aimed to evaluate soil porosity (SP), aeration limit (SAL), soil capillary capacity (SCC), soil total capacity (STC), soil temperature (Ts), air temperature (Ta), nutrient availability, soil organic carbon (SOC), and soil organic matter (SOM) under three different tillage systems: no-tillage (NT), minimum tillage (MT), and conventional tillage (CT), based on a short-term field experiment. This research was conducted on Cambic Chernozem soil using a randomized complete block design with three replications. The results revealed a significant effect of tillage systems on all evaluated properties. SP reached a higher value under MT (60.01%), NT (56.74%) and CT (53.58%), respectively. This observation is similar with regard to SAL, SCC, and STC. It might be due to the reduced soil disturbance characteristics of conservation systems, thereby maintaining the soil’s natural state. There is a positive regression between these two properties across all three systems, with the highest R2 = 0.8308 observed under MT. The highest carbon stocks were recorded in NT (2.82%) and MT (2.91%) compared to 2.01% in CT at surface depths of 0–5 and 5–10 cm. This can be explained by the accumulation of organic residues and a reduction in their oxidation. Nutrient availability (TN, P, and K) increased at depths of 0–5 cm and 5–10 cm, with the highest values in conservation systems. Furthermore, the results demonstrate a significant relationship and positive synergy between soil depth, tillage practices, and key physical and chemical soil properties, especially carbon stock, across the two cropping seasons. Full article
Show Figures

Figure 1

23 pages, 869 KB  
Article
Agricultural Policies, Crop Type, Tillage Systems and Fertilization as Drivers of Soil Carbon Sequestration in Romania
by Geta-Mirela Ispas, Oana Coca and Gavril Stefan
Agriculture 2026, 16(1), 12; https://doi.org/10.3390/agriculture16010012 - 19 Dec 2025
Viewed by 519
Abstract
Soil carbon (C) sequestration is a key component of European climate change mitigation strategies, and it forms part of the Common Agricultural Policy (CAP) and Good Agricultural and Environmental Conditions (GAEC) standards. Using national data for Romania (2005–2024), this paper aims to quantify [...] Read more.
Soil carbon (C) sequestration is a key component of European climate change mitigation strategies, and it forms part of the Common Agricultural Policy (CAP) and Good Agricultural and Environmental Conditions (GAEC) standards. Using national data for Romania (2005–2024), this paper aims to quantify how crop type, tillage system (conventional, minimum-till and no-till), and nitrogen fertilization influence soil humic carbon (Ch) in wheat, maize, sunflower and rapeseed cropping systems. Carbon inputs from residues, roots, and rhizodeposition were calculated in R based on Intergovernmental Panel on Climate Change (IPCC) coefficients, then tested in Statistical Package for the Social Sciences (SPSS) (factorial ANOVA, multiple regression, Pearson correlations). The results showed that both crop type and tillage systems significantly influence humic carbon values, with the highest values obtained in oilseed crops and in conservation systems (minimum-till and no-till). Among the quantitative factors, nitrogen fertilization had the most pronounced positive effect on carbon fluxes, while yield and precipitation had less influence. The conclusions indicate that the adoption of conservative soil management, in line with CAP objectives and GAEC standards, can support the increase of carbon stocks, with the need for contextual assessment of economic performance and pedoclimatic conditions. Full article
(This article belongs to the Section Ecosystem, Environment and Climate Change in Agriculture)
Show Figures

Figure 1

21 pages, 1872 KB  
Review
Carbon Sequestration, Plant Cover, and Soil Health: Strategies to Mitigate Climate Change
by Leonor Deis, Francesca Fort, Qiying Lin-Yang, Pedro Balda and Alicia Pou
Plants 2025, 14(23), 3610; https://doi.org/10.3390/plants14233610 - 26 Nov 2025
Viewed by 892
Abstract
Climate change, driven largely by increasing atmospheric CO2 from fossil fuel combustion and soil carbon losses caused by unsustainable land use, threatens agricultural productivity and ecosystem services. Viticulture, developed mostly in Mediterranean and temperate regions, is particularly vulnerable by rising temperatures, decreasing [...] Read more.
Climate change, driven largely by increasing atmospheric CO2 from fossil fuel combustion and soil carbon losses caused by unsustainable land use, threatens agricultural productivity and ecosystem services. Viticulture, developed mostly in Mediterranean and temperate regions, is particularly vulnerable by rising temperatures, decreasing precipitation, and soil degradation. Nevertheless, vineyards also offer opportunities to mitigate climate change by increasing soil organic carbon (SOC) and plant biomass. This review analyzes current scientific evidence on the impact of soil management practices in vineyards. Implementing strategies such as the use of cover crops, organic amendments, the incorporation of pruning residues, and reduced tillage can significantly contribute to carbon sequestration and soil health. Sequestration rates vary widely, from 2.8 to more than 11 Mg CO2 ha−1 year−1, depending on climate, soil type, and practices used. Average carbon sequestration rates for crops with minimum or reduced tillage range between 2.5 and 5 Mg CO2 ha−1 year−1, increasing to 7 and 7.5 Mg CO2 ha−1 year−1 when organic fertilizers are used. Uncertainties in the economic balance, initial costs, and weak political incentives hinder the adoption of sustainable agricultural strategies, highlighting the need for further research into expanding their application. These strategies also improve microbial activity, nutrient cycling, and resilience to abiotic stresses. Tailoring integrated approaches to local environmental conditions is essential to moving toward sustainable, resilient, and climate-responsible viticulture. Full article
(This article belongs to the Special Issue Grapevine Response to Abiotic Stress, 2nd Edition)
Show Figures

Figure 1

25 pages, 1862 KB  
Article
Comparative Life Cycle Assessment (LCA) of Conventional and Conservation Tillage Systems for Energy Crop Cultivation in Northern Italy
by Elena Tamisari, Daniela Summa, Fabio Vincenzi, Marta Massolin, Marco Rivaroli, Giuseppe Castaldelli and Elena Tamburini
Resources 2025, 14(12), 180; https://doi.org/10.3390/resources14120180 - 26 Nov 2025
Viewed by 796
Abstract
Sustainable agriculture is a key pillar of the transition to agri-food systems that ensure global food security and the preservation of resources and ecosystems. This study evaluates the environmental impacts of different soil management practices in an agricultural system producing energy crops (maize [...] Read more.
Sustainable agriculture is a key pillar of the transition to agri-food systems that ensure global food security and the preservation of resources and ecosystems. This study evaluates the environmental impacts of different soil management practices in an agricultural system producing energy crops (maize and sorghum), using a Life Cycle Assessment (LCA) approach, comparing conventional tillage, minimum tillage and no-tillage agricultural practices. The results show no significant differences between conventional and minimum tillage in most impact categories, while no-tillage shows a significant reduction in environmental impact of almost 50%. The hotspot analysis shows that organic fertilisation, especially the application of digestate, is the main contributor to environmental impacts, particularly in the Climate Change and Eutrophication categories. The results highlight key methodological challenges in LCA, such as the allocation of impacts between digestate and biogas production, and the need to integrate biological and chemical soil processes. While conservation agriculture can improve soil health, its environmental benefits are not fully captured by LCA. This study highlights the need to integrate LCA methodologies with complementary analyses to better assess the sustainability of agricultural practices and support informed decision-making. Full article
Show Figures

Figure 1

19 pages, 5316 KB  
Article
Disturbance Characteristics of Subsoiling in Paddy Soil Based on Smoothed Particle Hydrodynamics (SPH)
by Lei Liang, Qishuo Ding, Haiyan Zhang and Qi Liu
Agronomy 2025, 15(12), 2695; https://doi.org/10.3390/agronomy15122695 - 23 Nov 2025
Viewed by 513
Abstract
Subsoiling is an important technology in conservation tillage. The disturbance characteristics of paddy soil were simulated by smoothed particle hydrodynamics (SPH) in this paper in order to explore the optimal tillage depth of paddy soil in a rice–wheat rotation area. Firstly, a subsoiling [...] Read more.
Subsoiling is an important technology in conservation tillage. The disturbance characteristics of paddy soil were simulated by smoothed particle hydrodynamics (SPH) in this paper in order to explore the optimal tillage depth of paddy soil in a rice–wheat rotation area. Firstly, a subsoiling experiment with five tillage depths was carried out by a self-made multi-functional in situ test-rig facility. Then, a three-layer-soil subsoiling model of a cultivated layer, plow pan, and subsoil layer was established based on the SPH method. Finally, the soil disturbance characteristics were analyzed from macroscopic and microscopic perspectives. The results showed that the average draft force in simulation was consistently lower than in the field, with a maximum error of 18.71%, and the field draft force fluctuated greatly. The soil block above the tine was not lifted up as a big block but broken into many small soil blocks and then lifted up, resulting in different displacements of the soil particles, but the relative position was unchanged from top to bottom. The particle displacements were concentrated above the tine, the stress was concentrated around the tine, while the velocity and acceleration were closely attached to the subsoiler. A “mole cavity” at 25 and 30 cm tillage depths existed at the bottom of the disturbance, which was consistent with the finding in the field. The disturbance area and specific draft were maximum and minimum at 20 cm tillage depth, respectively. These findings suggest that the optimal tillage depth was 20 cm for the rice–wheat rotation area. The results of the analysis provide a theoretical basis for the optimal design of subsequent subsoiling. Full article
(This article belongs to the Section Agricultural Biosystem and Biological Engineering)
Show Figures

Figure 1

21 pages, 772 KB  
Article
Effects of Different Tillage Systems on Soil Properties and Crop Yield in a Mollisol After 9, 22, and 25 Years of Implementation in Chapingo, Mexico
by Francisco González-Breijo, Antonio Fidel Santos-Hernández, Alejandra Sahagún-García, Luis Antonio Hernández-Pedraza, Juan Fernando Gallardo-Lancho and Joel Pérez-Nieto
Soil Syst. 2025, 9(4), 125; https://doi.org/10.3390/soilsystems9040125 - 12 Nov 2025
Viewed by 822
Abstract
Sustainable soil management is crucial for balancing agricultural productivity and soil health in Mollisols under long-term tillage systems. This study evaluated the effects of no-tillage (NT), minimum conservation tillage (MCT), and conventional tillage (CT) on soil properties and maize yield in an irrigated [...] Read more.
Sustainable soil management is crucial for balancing agricultural productivity and soil health in Mollisols under long-term tillage systems. This study evaluated the effects of no-tillage (NT), minimum conservation tillage (MCT), and conventional tillage (CT) on soil properties and maize yield in an irrigated Mollisol in Chapingo, Mexico, over 9, 22, and 25 yr, using a Latin square design with three replications. MCT significantly enhanced soil organic carbon (SOC), total nitrogen (TN), available phosphorus (AP), and exchangeable potassium (EK) compared to NT and CT, achieving the highest maize grain yield (7.21 t ha−1). NT exhibited the greatest SOC and EK in the surface layer. Physical properties, such as bulk density and porosity, remained stable across systems, reflecting Mollisol resilience. Although MCT optimized fertility and productivity, nutrient declines from 2021 to 2024 highlight the need for adaptive management strategies to sustain long-term productivity, supporting global soil conservation and sustainable agriculture goals. Full article
(This article belongs to the Special Issue Research on Soil Management and Conservation: 2nd Edition)
Show Figures

Figure 1

35 pages, 6178 KB  
Article
Application of Principal Component and Multi-Criteria Analysis to Evaluate Key Physical and Chemical Soil Indicators for Sustainable Land Use Management in Arid Rangeland Ecosystems
by Hesham M. Ibrahim, Zafer Alasmary, Mosaed A. Majrashi, Meshal Abdullah Harbi, Abdullah Abldubise and Abdulaziz G. Alghamdi
Land 2025, 14(11), 2167; https://doi.org/10.3390/land14112167 - 30 Oct 2025
Viewed by 768
Abstract
Vast areas of natural rangelands in the Kingdom of Saudi Arabia (KSA) suffer from deterioration due to the scarcity of vegetation cover and poor soil quality. Assessing soil quality in rangelands is crucial to identifying degraded lands and to implementing proper sustainable management [...] Read more.
Vast areas of natural rangelands in the Kingdom of Saudi Arabia (KSA) suffer from deterioration due to the scarcity of vegetation cover and poor soil quality. Assessing soil quality in rangelands is crucial to identifying degraded lands and to implementing proper sustainable management practices. In this study, a total data set (TDS) containing 27 physical and chemical soil indicators was generated for three rangelands (Al-Fahyhyl, Al-Sahwa, and Al-Tamryate) in KSA. Principal component analysis (PCA) and analytic hierarchy process (AHP) analysis were employed to establish a minimum data set (MDS) and to evaluate key physical and chemical properties affecting soil quality, along with the associated weight factor for each indicator. Results indicated that the MDS represented ≥70% of the total variability of the TDS and accurately estimated the soil quality index (SQI) based on determined physical and chemical soil properties in the study regions. Linear regression indicated high correlation between SQI-TDS and SQI-MDS, with the R2 ranging between 0.51–0.87. On the surface layer (0–30 cm), the MDS contained seven soil indicators (sand, dispersion ratio (DR), mean weight diameter (MWD), bulk density (BD), total organic carbon (TOC), available phosphorus (Pa), and available potassium (Ka)), whereas in the sub-surface layer it contained six indicators (sand, DR, MWD, BD, TOC, Pa, and Ka). In all regions, sand had the largest weight factor (0.4514–0.4835), followed by TOC (0.2441–0.2512). Under the arid climate present in all the study sites, sand and TOC levels are crucial for nutrient retention, soil structure, and water retention. Most of the study areas had very low and low SQI (Al-Fahyhyl, 74.4%; Al-Sahwa, 61.8%; and Al-Tamryate, 81.7%), indicating an immediate need for suitable agricultural practices such as reduced tillage, increased organic amendments, and proper water management. The outcomes of this study offer valuable insights for land managers, legislators, and agricultural stakeholders to pinpoint regions in need of development, conduct comprehensive and continuous monitoring of SQI in rangeland areas, and implement land management plans for rangeland rehabilitation and environmental sustainability. Full article
Show Figures

Figure 1

15 pages, 901 KB  
Article
Short-Term Effects of Minimum Tillage and Wood Distillate Addition on Plants and Springtails in an Olive Grove
by Emanuele Fanfarillo, Claudia Angiolini, Claudio Capitani, Margherita De Pasquale Picciarelli, Riccardo Fedeli, Tiberio Fiaschi, Prudence Jepkogei, Emilia Pafumi, Barbara Valle and Simona Maccherini
Environments 2025, 12(6), 204; https://doi.org/10.3390/environments12060204 - 15 Jun 2025
Viewed by 1583
Abstract
Agricultural practices significantly influence agroecosystem biodiversity, driving a growing focus on the development of environmentally sustainable management strategies. Olive (Olea europaea L.) is one of the most widely cultivated tree crops in the Mediterranean basin and other regions with a Mediterranean climate. [...] Read more.
Agricultural practices significantly influence agroecosystem biodiversity, driving a growing focus on the development of environmentally sustainable management strategies. Olive (Olea europaea L.) is one of the most widely cultivated tree crops in the Mediterranean basin and other regions with a Mediterranean climate. In this study, we employed a split-plot design with whole plots arranged as a randomized complete block design (RCBD) to evaluate the effects of minimum tillage and the application of wood distillate to olive canopies on wild vascular plant and soil-dwelling springtail communities in a conventionally managed olive grove in central Italy. Biotic communities were sampled twice, in November and April. Tillage caused a marginally significant decrease in springtail species richness in April and significantly influenced the composition of both plant and springtail communities in April. All the plant species showed a decrease in abundance under tillage, whereas the abundance of springtail species responded to tillage in a species-specific way. Wood distillate had no effect on any community attribute in either season. Springtail total abundance was not affected by any treatment in either season. Our findings confirm that tillage practices affect the diversity of plant and springtail communities. Moreover, we had evidence that spring tillage may have more negative impacts on the studied communities with respect to autumn tillage. Moreover, we suggest that the application of low-concentration wood distillate to olive canopies can be considered, in the short-term, a sustainable agricultural practice that does not negatively affect agroecosystem biodiversity. Full article
Show Figures

Graphical abstract

21 pages, 14936 KB  
Article
Grapevine Root Distribution and Density in Deep Soil Layers Under Different Soil Management Practices
by Vania Lanari, Luca Pallotti, Tania Lattanzi and Oriana Silvestroni
Plants 2025, 14(12), 1823; https://doi.org/10.3390/plants14121823 - 13 Jun 2025
Cited by 2 | Viewed by 1914
Abstract
Grapevine root distribution and density influence mineral and water absorption and are affected by soil management and the use of cover crops. This study, conducted in a ten-year-old commercial Mediterranean vineyard with desiccant-managed inter-rows, compares the effects of three different soil management practices—minimum [...] Read more.
Grapevine root distribution and density influence mineral and water absorption and are affected by soil management and the use of cover crops. This study, conducted in a ten-year-old commercial Mediterranean vineyard with desiccant-managed inter-rows, compares the effects of three different soil management practices—minimum tillage (MT), spontaneous natural covering (NC), and a commercial grass mixture (GM)—on root development in Montepulciano vines grafted onto Kober 5BB rootstocks. Root length, diameter, and weight across different soil layers were analyzed by digging trenches. The results show that thin roots, primarily responsible for water and nutrient absorption, ensure greater soil volume exploration, while medium-to-large roots contribute mainly to root biomass. The presence of cover crops reduces root development in the upper soil layers due to competition with herbaceous species; however, this promotes deeper root exploration and increases the total root length per plant. In the deeper soil layers, root growth is limited by higher soil compaction. Tillage enhances the development of medium-to-large roots and increases the total root biomass per plant. In conclusion, soil management influences vine root development, and competition from cover crops stimulates the growth of absorbing roots in deeper soil layers. Full article
(This article belongs to the Collection Feature Papers in Plant‒Soil Interactions)
Show Figures

Figure 1

19 pages, 2957 KB  
Article
Carbon, Water, and Light Use Efficiency Under Conservation Practice on Sloped Arable Land
by Gergana Kuncheva, Atanas Z. Atanasov, Milena Kercheva, Margaritka Filipova, Plamena D. Nikolova, Petar Nikolov, Valentin Vlăduț and Veselin Dochev
Resources 2025, 14(6), 87; https://doi.org/10.3390/resources14060087 - 23 May 2025
Viewed by 1472
Abstract
Agroecosystems play a key role in the global carbon cycle, with CO2 exchange driven by photosynthesis and respiration. Indicators such as gross primary productivity (GPP), net primary productivity (NPP), and carbon, water, and light use efficiency (CUE, WUE, LUE) are essential for [...] Read more.
Agroecosystems play a key role in the global carbon cycle, with CO2 exchange driven by photosynthesis and respiration. Indicators such as gross primary productivity (GPP), net primary productivity (NPP), and carbon, water, and light use efficiency (CUE, WUE, LUE) are essential for assessing resource use in agricultural systems. Conventional tillage depletes carbon, water, and nutrients, negatively impacting the environment, while conservation practices aim to improve soil health and biodiversity. This study evaluated the effects of a cover crop in a wheat–maize rotation on sloped arable land prone to water erosion. The experiment involved minimum contour tillage combined with cover cropping, and its impact on carbon balance components and resource use efficiency was assessed. The results demonstrated that the inclusion of a cover crop significantly improved GPP and NPP. Water and light use efficiency also increased, particularly in 2022 and 2023, which were characterized by summer drought. However, carbon use efficiency remained unchanged over the study period. These findings highlight the potential of conservation practices, such as cover cropping and reduced tillage, to enhance productivity and resource efficiency in sloped agricultural landscapes under water stress conditions. Full article
Show Figures

Figure 1

20 pages, 8188 KB  
Article
Operational and Cost Assessment of Mechanizing Soil Removal Between Peach Trees Planted on Raised Berms
by Coleman Scroggs, Ali Bulent Koc, Guido Schnabel and Michael Vassalos
AgriEngineering 2025, 7(5), 144; https://doi.org/10.3390/agriengineering7050144 - 6 May 2025
Cited by 1 | Viewed by 1097
Abstract
Armillaria root rot (ARR) is a fungal disease caused by Desarmillaria caespitosa and the leading cause of peach tree decline in the Southeastern U.S. It affects the roots and lower stems of trees, leading to the decay of the tree’s root system. Planting [...] Read more.
Armillaria root rot (ARR) is a fungal disease caused by Desarmillaria caespitosa and the leading cause of peach tree decline in the Southeastern U.S. It affects the roots and lower stems of trees, leading to the decay of the tree’s root system. Planting peach trees shallow on berms and excavating soil around the root collar after two years can extend the economic life of infected trees. However, berms pose operational challenges, including elevation changes, soil erosion from water flow, and herbicide and fertilizer runoff, thereby reducing orchard management efficiency. This study aimed to develop a tractor-mounted rotary tillage method to flatten the area between peach trees planted on berms, improving safety and reducing runoff. A custom paddle wheel attachment (20.3 cm height, 30.5 cm length) was retrofitted to an existing mechanical orchard weed management implement equipped with a hydraulic rotary head. A hydraulic flow meter, two pressure transducers, and an RTK-GPS receiver were integrated with a wireless data acquisition system to monitor the paddle wheel rotational speed and tractor ground speed during field trials. The effects of three paddle wheel speeds (132, 177, and 204 RPM) and three tractor ground speeds (1.65, 2.255, and 3.08 km/h) were evaluated in two orchards with Cecil sandy loam soil (bulk density: 1.93 g/cm3; slope: 2–6%). The paddle wheel speed had a greater influence on the torque and power requirements than the tractor ground speed. The combination of a 177 RPM paddle speed and 3 km/h tractor speed resulted in the smoothest soil surface with minimum torque demand, indicating this setting as optimal for flattening berms in similar soil conditions. Future research will include optimizing the paddle wheel structure and equipping the berm leveling machine with tree detection sensors to control the rotary head position. Full article
(This article belongs to the Collection Research Progress of Agricultural Machinery Testing)
Show Figures

Figure 1

14 pages, 2599 KB  
Article
Rotary Paraplow: A New Tool for Soil Tillage for Sugarcane
by Cezario B. Galvão, Angel P. Garcia, Ingrid N. de Oliveira, Elizeu S. de Lima, Lenon H. Lovera, Artur V. A. Santos, Zigomar M. de Souza and Daniel Albiero
AgriEngineering 2025, 7(3), 61; https://doi.org/10.3390/agriengineering7030061 - 28 Feb 2025
Viewed by 1471
Abstract
The sugarcane cultivation has used heavy machinery on a large scale, which causes soil compaction. The minimum tillage has been used to reduce the traffic of machines on the crop, but there is a lack of appropriate tools for the implementation of this [...] Read more.
The sugarcane cultivation has used heavy machinery on a large scale, which causes soil compaction. The minimum tillage has been used to reduce the traffic of machines on the crop, but there is a lack of appropriate tools for the implementation of this technique, especially in sugarcane areas. The University of Campinas—UNICAMP developed a conservation soil tillage tool called “Rotary paraplow”, the idea was to join the concepts of a vertical milling cutter with the paraplow, which is a tool for subsoiling without inversion of soil. The rotary paraplow is a conservationist tillage because it mobilizes only the planting line with little disturbance of the soil surface and does the tillage with the straw in the area. These conditions make this study pioneering in nature, by proposing an equipment developed to address these issues as an innovation in the agricultural machinery market. We sought to evaluate soil tillage using rotary paraplow and compare it with conventional tillage, regarding soil physical properties and yield. The experiment was conducted in an Oxisol in the city of Jaguariuna, Brazil. The comparison was made between the soil physical properties: soil bulk density, porosity, macroporosity, microporosity and penetration resistance. At the end, a biometric evaluation of the crop was carried out in both areas. The soil properties showed few statistically significant variations, and the production showed no statistical difference. The rotary paraplow proved to be an applicable tool in the cultivation of sugarcane and has the advantage of being an invention adapted to Brazilian soils, bringing a new form of minimal tillage to areas of sugarcane with less tilling on the soil surface, in addition to reducing machine traffic. Full article
(This article belongs to the Collection Research Progress of Agricultural Machinery Testing)
Show Figures

Figure 1

16 pages, 3991 KB  
Article
Optimizing Tillage and Straw Management for Improved Soil Physical Properties and Yield
by Luka Brezinscak and Igor Bogunovic
Land 2025, 14(2), 376; https://doi.org/10.3390/land14020376 - 11 Feb 2025
Cited by 2 | Viewed by 1200
Abstract
This study investigated the impact of conventional ploughing (CT), minimum multitiller tillage (MT), and reduced loosening tillage (RT), with and without straw mulch on Fluvisol properties and crop yields in Croatia over three years (2019–2021). While conservation tillage practices are well studied in [...] Read more.
This study investigated the impact of conventional ploughing (CT), minimum multitiller tillage (MT), and reduced loosening tillage (RT), with and without straw mulch on Fluvisol properties and crop yields in Croatia over three years (2019–2021). While conservation tillage practices are well studied in arid regions, our study addresses the unique challenges and benefits of these practices in humid conditions. Plots treated with straw mulch (2.75 t/ha) showed significant improvements in soil physical properties compared to bare plots. Penetration resistance (PR) decreased under 3-year mulch application in all tillage systems, with a reduction of up to 28% compared to bare plots. Water-holding capacity (WHC) was significantly higher in mulched MT (52.4%) than in bare CT (41.6%). Aggregate stability increased by 15–20% under mulch, with the highest stability in MT plots. Soil organic matter (SOM) peaked in mulched MT in 2021, reaching 4.5%, compared to 3.6% in bare CT. Yield results varied by crop: soybean yield was unaffected by tillage treatment but increased by 21% under mulch in MT; maize yield was highest in RT without mulch (13.95 t/ha); and spring wheat yield significantly improved in mulched MT (3.83 t/ha), compared to bare plots (1.75 t/ha). These findings highlight the synergistic benefits of non-inversion tillage and straw mulch in enhancing soil quality and crop yields, offering a sustainable management strategy for Central European agroecosystems. Full article
(This article belongs to the Special Issue Tillage Methods on Soil Properties and Crop Growth)
Show Figures

Figure 1

23 pages, 1258 KB  
Article
Impact of Conservation Agriculture on Soil Quality and Cotton–Maize System Yield in Semi-Arid India
by Knight Nthebere, RamPrakash Tata, Padmaja Bhimireddy, Latha P. Chandran, Jayasree Gudapati, Meena Admala, Nishant K. Sinha, Thumma B. Srikanth and Kavuru Prasad
Sustainability 2025, 17(3), 978; https://doi.org/10.3390/su17030978 - 25 Jan 2025
Cited by 5 | Viewed by 2295
Abstract
Intensive agriculture is the chief cause of soil degradation, particularly in regions with low soil organic carbon status, such as semi-arid southern India. In the quest to attain sustainable yield and improved soil quality, conservation agriculture (CA) is being advocated and adopted globally, [...] Read more.
Intensive agriculture is the chief cause of soil degradation, particularly in regions with low soil organic carbon status, such as semi-arid southern India. In the quest to attain sustainable yield and improved soil quality, conservation agriculture (CA) is being advocated and adopted globally, including in India. In this experiment, CA was implemented to investigate the synergistic impacts of tillage and weed management on soil quality index and system yield and to identify a remunerative treatment combination that can sustain system yield and enhance soil quality. Contrasting tillage practices (main plots) included the T1: conventional tillage with cotton–conventional tillage with maize–fallow, i.e., no Sesbania rostrata (Farmers’ practice), T2: conventional tillage with cotton–zero tillage with maize–zero tillage with Sesbania rostrata and T3: zero tillage with cotton + Sesbania rostrata residues–zero tillage with maize + cotton residues–zero tillage with Sesbania rostrata + maize stubbles. Weed management tactics (sub-plots) were W1: chemical weed control, W2: herbicide rotation, W3: integrated weed management and W4: single hand-weeded control in a split-plot design with cotton–maize–Sesbania cropping system over 3 years, in a split-plot design. Principal component analysis (PCA) was performed using the soil quality index (SQI)-CAL Version 1.0 software tool to extract minimum datasets from measured soil properties. A total of 40 soil variables were analyzed at 60 DAS and after the maize harvest, then subjected to principal component analysis (PCA) and subjected to PCA in soil quality index (SQI)-CAL software as to choose variables, minimum dataset and obtain soil quality index. The following soil properties, soil organic carbon (SOC), silt fraction, available soil zinc (Zn), iron (Fe), potassium (K), nitrogen (N), pH, electrical conductivity (EC), soil carbon to nitrogen (C:N) and cation exchange capacity (CEC), were selected as indicators based on correlations, calculated PCA and adept opinions on texture and lime concretions of experimental soil. The soil quality index improved by 23.34% in the T3W4 compared to T1W1. The system yield was 51.79% higher with the adoption of T3W3 compared to T3W4 combinations. Therefore, considering both system yield and soil quality index, T3 and W3 were remunerative and the best treatment combination among all others to sustain both soil and crop productivity in this region. Full article
(This article belongs to the Section Sustainable Agriculture)
Show Figures

Figure 1

17 pages, 1506 KB  
Article
Arsenic Uptake in Durum Wheat (Triticum durum Desf.) as Influenced by Soil Tillage Practices and Fertilization Sources in Mediterranean Environment
by Ilenia Bravo, Mariam Atait, Ilenia Colamatteo, Roberto Mancinelli, Mohamed Allam, Patrizia Papetti and Emanuele Radicetti
Agriculture 2025, 15(2), 217; https://doi.org/10.3390/agriculture15020217 - 20 Jan 2025
Viewed by 1413
Abstract
Nowadays, arsenic (As) accumulation in agricultural soils and its transfer in crop yields is representing a growing concern that threatens food safety and security in the Mediterranean environment. Soil tillage and fertilization may increase the accumulation of As in plant tissues; therefore, there [...] Read more.
Nowadays, arsenic (As) accumulation in agricultural soils and its transfer in crop yields is representing a growing concern that threatens food safety and security in the Mediterranean environment. Soil tillage and fertilization may increase the accumulation of As in plant tissues; therefore, there is a need to develop sustainable agronomical practices capable of supporting crop yield while mitigating As accumulation. The current study was carried out through a 7-year experiment with the aim of evaluating the As uptake by different parts of the durum wheat plant. The experimental treatments include the following: (i) three soil tillage practices (plowing, subsoiling, and spading) and (ii) two fertilization methods (mineral and organic). A factorial randomized complete block design with three replications was adopted. The experimental period refers to the 2018/2019, 2019/2020, and 2020/2021 growing seasons. The results suggest that the maximum level of As was found in plant roots and the minimum in wheat kernels. The chemical fertilization as 2020 × Mineral (1.522 mg As kg−1 d.m.) and 2020 × Plowing (1.855 mg As kg−1 d.m.) had the maximum As content in the roots. Conversely, the content of As was at a minimum in the wheat kernels for organic fertilization as 2021 × Organic (0.012 mg As kg−1 d.m.) and subsoiling tillage as 2021 × Subsoiling (0.008 mg As kg−1 d.m.). Moreover, the application of an organic fertilization source as a tool for enhancing the soil organic matter content also significantly decreased the As content. The results suggest that reduced tillage practices and the adoption of organic amendment could be classified as sustainable agronomic practices in agri-food systems, which are able to improve plant quality and assure a safe consumption of wheat kernels. Full article
(This article belongs to the Section Agricultural Soils)
Show Figures

Figure 1

Back to TopTop