Application of Principal Component and Multi-Criteria Analysis to Evaluate Key Physical and Chemical Soil Indicators for Sustainable Land Use Management in Arid Rangeland Ecosystems
Abstract
1. Introduction
2. Materials and Methods
2.1. Description of the Study Sites
2.1.1. Al-Fahyhyl Site
2.1.2. Al-Ṣahwa Site
2.1.3. Al-Tamryate Site
2.2. Soil Sample Collection
2.3. Field Measurements and Soil Sample Analysis
2.4. Determining Key Factors Affecting Soil Quality
2.4.1. Establishment of the MDS Using PCA
2.4.2. Assigning Weight Factors Using AHP
2.4.3. Standard Scoring Functions (SFF)
2.4.4. Soil Quality Index (SQI)
2.5. Spatial Interpolation of Soil Quality Index (SQI)
3. Results and Discussion
3.1. Assessment of Soil Properties Across the Study Sites
3.1.1. Al-Fahyhy Site
3.1.2. Al-Sahwa Site
3.1.3. Al-Tamryate Site
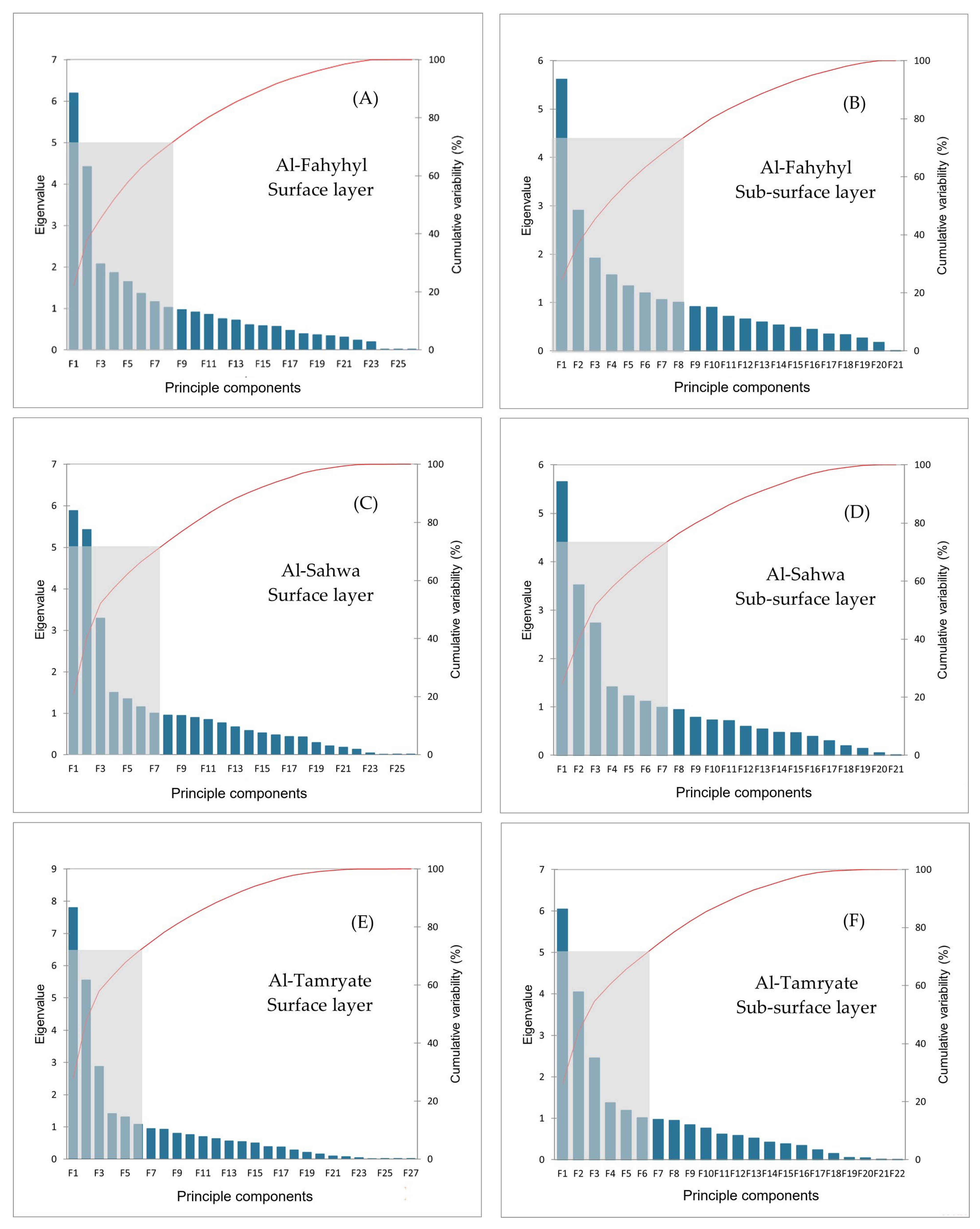
3.2. Principal Component Analysis (PCA) and the Establishment of MDS
3.2.1. Al-Fahahil Site
3.2.2. Al-Sahwa Site
3.2.3. Al-Tamryate Site
3.3. AHP and the Calculation of Weight Factors
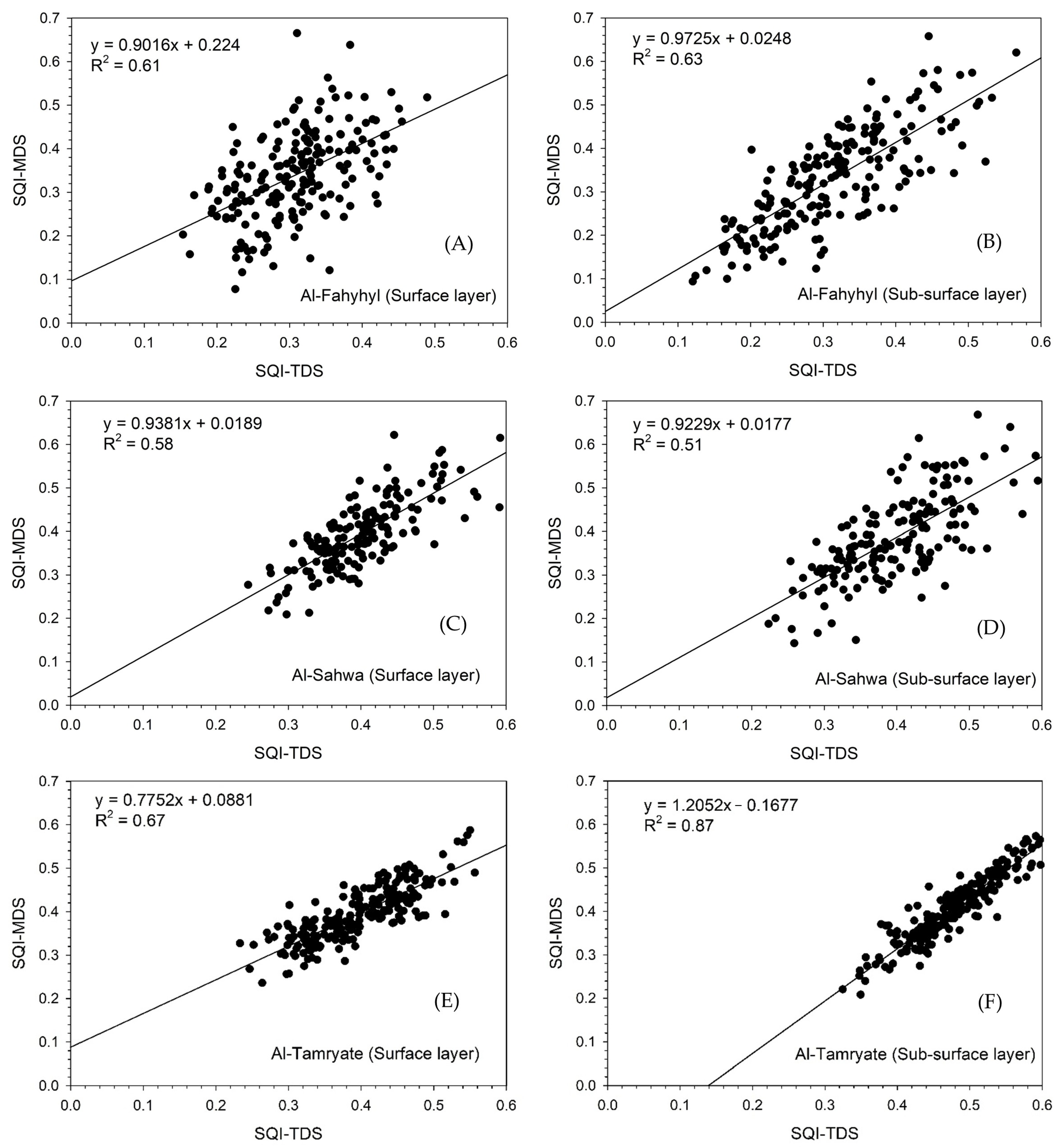
3.4. Assessment of SQI
3.5. Interpolation and Spatial Distribution of SQI
3.6. Implications for the Assessment of SQI in the Study Sites
4. Summary and Conclusions
Supplementary Materials
Author Contributions
Funding
Data Availability Statement
Acknowledgments
Conflicts of Interest
References
- Stevens, A.W. Review: The economics of Soil quality. Food Pol. 2018, 80, 1–9. [Google Scholar] [CrossRef]
- Kremer, R.J. Chapter 16—Biotechnology impacts on soil and environmental services. In Soil Quality and Intensification of Agroecosytems; Al-Kaisi, M.M., Lowery, B., Eds.; Academic Press: Cambridge, MA, USA, 2017; pp. 353–375. [Google Scholar]
- Zhang, J.; Dyck, M.; Quideau, S.A.; Norris, C.E. Assessment of Soil quality and identification of key Soil quality indicators for five long-term crop rotations with varying fertility management. Geoderma 2024, 443, 116836. [Google Scholar] [CrossRef]
- Doran, J.W.; Parkin, T.B. Defining and Assessing Soil Quality. Defining Soil Quality for a Sustainable Environment; Soil Science Society of America: Madisson, WI, USA, 1994; pp. 3–21. [Google Scholar]
- Bünemann, E.K.; Bongiorno, G.; Bai, Z.; Creamer, R.E.; de Deyn, G.; de Goede, R.; Fleskens, L.; Geissen, V.; Kuyper, T.W.; Mader, P.; et al. Soil quality—A critical review. Soil Biol. Biochem. 2018, 120, 105–125. [Google Scholar] [CrossRef]
- Rinot, O.; Levy, G.J.; Steinberger, Y.; Svoray, T.; Eshel, G. Soil quality assessment: A critical review of current methodologies and a proposed new approach. Sci. Total Environ. 2019, 648, 1484–1491. [Google Scholar] [CrossRef] [PubMed]
- Merrington, G.; Fishwick, S.; Barraclough, D.; Morris, J.; Preedy, N.; Boucard, T.; Reeve, M.; Smith, P.; Fang, C. The Development and Use of Soil Quality Indicators for Assessing the Role of Soil in Environmental Interactions; Environment Agency Science Report SC030265; Environment Agency: Bristol, UK, 2006. [Google Scholar]
- Lehmann, J.; Bossio, D.A.; Kögel-Knabner, I.; Rillig, M.C. The concept and future prospects of Soil quality. Nat. Rev. Earth Environ. 2020, 1, 544–553. [Google Scholar] [CrossRef]
- Chapman, P.J.; Eze, S.; de Bell, S.; Barlow-Duncan, F.; Firbank, L.; Helgason, T.; Holden, J.; Leake, J.R.; Kay, P.; Brown, C.D.; et al. Agricultural Land Management for Public Goods Delivery: iCASP Evidence Review on Soil Quality; Yorkshire Integrated Catchment Solutions Programme (iCASP) Report; ICASP: Leeds, UK, 2018. [Google Scholar]
- Lal, R. Restoring Soil Quality to Mitigate Soil Degradation. Sustainability 2015, 7, 5875–5895. [Google Scholar] [CrossRef]
- Weil, R.; Brady, N. The Nature and Properties of Soils, 15th ed.; Pearson: New York, NY, USA, 2017. [Google Scholar]
- Evangelou, E.; Giourga, C. Identification of Soil Quality Factors and Indicators in Mediterranean Agro-Ecosystems. Sustainability 2024, 16, 10717. [Google Scholar] [CrossRef]
- Fine, A.K.; van Es, H.M.; Schindelbeck, R.R. Statistics, scoring functions, and regional analysis of a comprehensive Soil quality database. Soil Sci. Soc. Am. J. 2017, 81, 589–601. [Google Scholar] [CrossRef]
- Parra-González, S.; Rodriguez-Valenzuela, J. Determination of the soil quality index by principal component analysis in cocoa agroforestry system in the Orinoco region. Colombia J. Agric. Ecol. Res. Int. 2017, 10, 1–8. [Google Scholar] [CrossRef]
- Holechek, J.L.; Geli, H.M.E.; Cibils, A.F.; Sawalhah, M.N. Climate Change, Rangelands, and Sustainability of Ranching in the Western United States. Sustainability 2020, 12, 4942. [Google Scholar] [CrossRef]
- Gosnell, H.; Charnley, S.; Stanley, P. Climate change mitigation as a co-benefit of regenerative ranching: Insights from Australia and the United States. Interface Focus 2020, 10, 20200027. [Google Scholar] [CrossRef] [PubMed] [PubMed Central]
- Lehmann, J.; Hansel, C.M.; Kaiser, C.; Kleber, M.; Maher, K.; Manzoni, S.; Nunan, N.; Reichstein, M.; Schimel, J.P.; Torn, M.S.; et al. Persistence of soil organic carbon caused by functional complexity. Nat. Geosci. 2020, 13, 529–534. [Google Scholar] [CrossRef]
- Singh, P.; Jain, K.R.; Lakhmapurkar, J.; Gavali, D.; Desai, C.; Madamwar, D. Microbial community structure and functions during chronosequence-based phytoremediation programme of Lignite tailing soil. Environ. Technol. Innov. 2022, 27, 102447. [Google Scholar] [CrossRef]
- Gutierrez, S.; Greve, M.H.; Møller, A.B.; Beucher, A.; Arthur, E.; Normand, S.; de Jonge, L.W.; Gomes, L.D.C. A systematic benchmarking framework for future assessments of Soil quality: An example from Denmark. J. Environ. Manag. 2024, 366, 121882. [Google Scholar] [CrossRef]
- Drexler, S.; Broll, G.; Flessa, H.; Don, A. Benchmarking soil organic carbon to support agricultural carbon management: A German case study. J. Plant Nutr. Soil Sci. 2022, 185, 427–440. [Google Scholar] [CrossRef]
- Maharjan, B.; Das, S.; Acharya, B.S. Soil quality Gap: A concept to establish a benchmark for Soil quality management. Glob. Ecol. Conserv. 2020, 23, ep1116. [Google Scholar]
- Feeney, C.J.; Robinson, D.A.; Keith, A.M.; Vigier, A.; Bentley, L.; Smith, R.P.; Garbutt, A.; Maskell, L.C.; Norton, L.; Wood, C.M.; et al. Development of Soil quality benchmarks for managed and seminatural landscapes. Sci. Total Environ. 2023, 886, 163973. [Google Scholar] [CrossRef] [PubMed]
- Baroudy, A.A.E.; Ali, A.; Mohamed, E.S.; Moghanm, F.S.; Shokr, M.S.; Savin, I.; Poddubsky, A.; Ding, Z.; Kheir, A.; Aldosari, A.A. Modeling land suitability for rice crop using remote sensing and soil quality indicators: The case study of the Nile Delta. Sustainability 2020, 12, 9653. [Google Scholar] [CrossRef]
- Janzen, H.H.; Janzen, D.W.; Gregorich, E.G. The ‘Soil quality’ metaphor: Illuminating or illusory? Soil Biol. Biochem. 2021, 159, 108167. [Google Scholar] [CrossRef]
- Carter, M.R. Soil quality for sustainable land management: Organic matter and aggregation interactions that maintain soil functions. Agronomy 2002, 94, 38–47. [Google Scholar] [CrossRef]
- Raiesi, F. A minimum data set and soil quality index to quantify the effect of land use conversion on soil quality and degradation in native rangelands of upland arid and semiarid regions. Ecol. Ind. 2017, 75, 307–320. [Google Scholar] [CrossRef]
- Shi, Z.-H.; Chen, L.-D.; Hao, J.-P.; Wang, T.-W.; Cai, C.-F. The Effects of Land Use Change on Environmental Quality in the Red Soil Hilly Region, China: A Case Study in Xianning County. Environ. Monit. Assess. 2009, 150, 295. [Google Scholar] [CrossRef] [PubMed]
- Saaty, T.L. The Analytic Hierarchy Process: Planning, Priority Setting and Resource Allocation; McGraw-Hill: New York, NY, USA, 1980. [Google Scholar]
- Çomakli, E.; Turgut, B. Determining the effects of the forest stand age on the soil quality index in afforested areas: A case study in the Palandöken mountains. Soil Water Res. 2021, 16, 237–249. [Google Scholar] [CrossRef]
- Chen, Y.-D.; Wang, H.-Y.; Zhou, J.-M.; Xing, L.; Zhu, B.-S.; Zhao, Y.-C.; Chen, X.-Q. Minimum Data Set for Assessing Soil Quality in Farmland of Northeast China. Pedosphere 2013, 23, 564–576. [Google Scholar] [CrossRef]
- Qian, F.; Yu, Y.; Dong, X.; Gu, H. Soil Quality Evaluation Based on a Minimum Data Set (MDS)—A Case Study of Tieling County, Northeast China. Land 2023, 12, 1263. [Google Scholar] [CrossRef]
- Lyu, S.; Chen, W. Soil Quality Assessment of Urban Green Space under Long-Term Reclaimed Water Irrigation. Environ. Sci. Pollut. Res. 2016, 23, 4639–4649. [Google Scholar] [CrossRef]
- Volchko, Y.; Norrman, J.; Rosèn, L.; Norberg, T. A Minimum Data Set for Evaluating the Ecological Soil Functions in Remediation Projects. J. Soils Sediments 2014, 14, 1850–1860. [Google Scholar] [CrossRef]
- Liu, Z.; Zhou, W.; Shen, J.; Li, S.; Ai, C. Soil Quality Assessment of Yellow Clayey Paddy Soils with Different Productivity. Biol. Fertil. Soils 2014, 50, 537–548. [Google Scholar] [CrossRef]
- Qi, Y.; Jeremy, L.; Darilek, B.H.; Yongcun, Z.; Weixia, S.; Zhiquan, G. Evaluating soil quality indices in an agricultural region of Jiangsu Province, China. Geoderma 2009, 149, 325–334. [Google Scholar] [CrossRef]
- FAO. Are Pastures Under Threat? 2019. Available online: http://www.fao.org/uploads/media/grass_stat s_1.pdf (accessed on 10 September 2025).
- Kumar, T.; Jhariya, D.C. Land quality index assessment for agricultural purpose using multicriteria decision analysis (MCDA). Geocarto Int. 2015, 30, 822–841. [Google Scholar] [CrossRef]
- Sillero-Medina, J.A.; Hueso-González, P.; Ruiz-Sinoga, J.D. Differences in the Soil Quality Index for Two Contrasting Mediterranean Landscapes in Southern Spain. Land 2020, 9, 405. [Google Scholar] [CrossRef]
- Abuzinada, A.H.; Al-Wetaid, Y.I.; Al-Basyouni, S.Z. The National Strategy for Conservation of Biodiversity in the Kingdom of Saudi Arabia; Conservation of Biological Diversity; The National Commission for Wildlife Conservation and Development: Riyadh, Saudi Arabia, 2005. [Google Scholar]
- Blacke, G.R.; Hartge, K.H. Bulk density. In Methods of Soil Analysis. Part 1. Physical and Mineralogical Methods, 2nd ed.; Klute, A., Ed.; Wiley: Hoboken, NJ, USA, 1986; Volume 9, pp. 363–382. [Google Scholar]
- USDA; NRCS. National Engineering Handbook, Part 630 Hydrology; US Soil Conservation Service: Washington, DC, USA, 1964; Chapter 10. [Google Scholar]
- Gee, W.G.; Or, D. Particle-size analysis. In Methods of Soil Analysis; Book Series: 5; Dane, J., Topp, G.C., Eds.; Soil Science Society of America: Madison, WI, USA, 2002; Part 4; pp. 255–293. [Google Scholar]
- Lal, R.; Elliot, W. Erodibility and erosivity. In Soil Erosion Research Methods, 2nd ed.; Lal, R., Ed.; St. Lucie Press: Delray Beach, FL, USA, 1994; pp. 181–210. [Google Scholar]
- Nimmo, J.R.; Perkins, K.S. Aggregate stability and size distribution. In Methods of Soil Analysis Part 4; Dane, J.H., Topp, G.C., Eds.; SSSA: Madison, WI, USA, 2002; pp. 317–328. [Google Scholar]
- Dane, J.H.; Topp, G.C. (Eds.) Methods of Soil Analysis, Part 4, Physical Methods; Soil Science Society of America: Madison, WI, USA, 2002. [Google Scholar]
- Richard, L.A. Diagnosis and Improvement of Saline and Alkali Soils; US Department of Agriculture Handbook: Washington, DC, USA, 1954; Volume 60, p. 160. [Google Scholar]
- Nelson, D.W.; Sommers, L.E. Total carbon, organic carbon, and organic matter. In Methods of Soil Analysis: Part 3—Chemical Methods; Sparks, D.L., Ed.; Soil Science Society of America: Madison, WI, USA, 1996; pp. 961–1010. [Google Scholar] [CrossRef]
- Sumner, M.E.; Miller, W.P. Cation exchange capacity and exchange coefficients. In Methods of Soil Analysis Part 3—Chemical Methods; Sparks, D.L., Page, A.L., Helmke, P.A., Loeppert, R.H., Soltanpour, P.N., Tabatabai, M.A., Johnston, C.T., Sumner, M.E., et al., Eds.; Soil Science Society of America: Madison, WI, USA, 1996; pp. 1201–1229. [Google Scholar]
- Loeppert, R.H.; Suarez, D.L. Carbonate and gypsum. In Methods Soil Analysis Part 3 Chem. Methods; Wiley: Hoboken, NJ, USA, 1996; Volume 5, pp. 437–474. [Google Scholar]
- Sparks, D.L. Methods of Soil Analysis; Soil Society of American: Madison, WI, USA, 1996. [Google Scholar]
- Olsen, S.R.; Dean, L.A. Phosphorus, Methods of Soil Analysis Part 2, Chemical and Microbiological Properties; American Society of Agronomy, Inc.: Madison, WI, USA, 1965. [Google Scholar]
- McLean, E.O.; Watson, M.E. Soil measurements of plant available potassium. In Potassium in Agriculture; Munson, R.D., Ed.; ASA, CSSA, and SSSA: Madison, WI, USA, 1985; pp. 277–308. [Google Scholar]
- Kaiser, H.F. An index of factorial simplicity. Psychometrika 1974, 39, 31–36. [Google Scholar] [CrossRef]
- Govaerts, B.; Sayre, K.D.; Deckers, J. A minimum data set for soil quality assessment of wheat and maize cropping in the highlands of Mexico. Soil Tillage Res. 2006, 87, 163–174. [Google Scholar] [CrossRef]
- Nabiollahi, K.; Taghizadeh-Mehrjardi, R.; Kerry, R.; Moradian, S. Assessment of soil quality indices for salt-affected agricultural land in Kurdistan Province. Iran. Ecol. Indic. 2017, 83, 482–494. [Google Scholar] [CrossRef]
- Ramanathan, R. A note on the use of the analytic hierarchy process for environmental impact assessment. J. Environ. Manag. 2001, 63, 27–35. [Google Scholar] [CrossRef] [PubMed]
- Saaty, T.L. Decision-making with the AHP: Why is the principal eigenvector necessary? Eur. J. Oper. Res. 2003, 145, 85–91. [Google Scholar] [CrossRef]
- Karlen, D.L.; Stott, D.E.; Cambardella, C.A.; Kremer, R.J.; King, K.W.; McCarty, G.W. Surface soil quality in five Midwestern cropland conservation effects assessment project watersheds. J. Soil Water Conserv. 2014, 69, 393–401. [Google Scholar] [CrossRef]
- Cude, C.G. Oregon water quality index a tool for evaluating water quality management effectiveness 1. J. Am. Water Resour. Assoc. (JAWRA) 2001, 37, 125–137. [Google Scholar] [CrossRef]
- Yao, X.; Zhang, X.; Duan, M.; Yang, Y.; Xie, Q.; Luo, H.; Peng, J.; Mo, Z.; Pan, S.; Tang, X. Effects of Organic Matter Addition on Soil Carbon Contents, CO2 Emissions, and Bacterial Compositions in a Paddy Field in South China. Agronomy 2024, 14, 443. [Google Scholar] [CrossRef]
- Bienes, R.; Marques, M.J.; Sastre, B.; García-Díaz, A.; Esparza, I.; Antón, O.; Navarrete, L.; Hernánz, J.L.; Sánchez-Girón, V.; Sánchez del Arco, M.J.; et al. Tracking Changes on Soil Structure and Organic Carbon Sequestration after 30 Years of Different Tillage and Management Practices. Agronomy 2021, 11, 291. [Google Scholar] [CrossRef]
- Li, Y.; Zhang, J.; Li, E.; Miao, Y.; Han, S.; Liu, Y.; Liu, Y.; Zhao, C.; Zhang, Y. Changes in carbon inputs affect soil respiration and its temperature sensitivity in abroadleavedforest in central China. Catena 2022, 213, 106197. [Google Scholar] [CrossRef]
- Wang, Y.; Xie, J.; Fan, F.; Sun, Z.; Yuan, F.; Wang, Q.; Yu, L.; Liu, Y.; Li, J.; Cui, L. Phosphorus fertilization enhanced overwintering, root system and forage yield of late-seeded alfalfa in sodic soils. Sci Rep. 2024, 14, 18090. [Google Scholar] [CrossRef] [PubMed]
- Karaca, S.; Dengiz, O.; Turan, I.D.; Özkan, B.; Dedeoğlu, M.; Gülser, E.; Sargin, B.; Demirkaya, S.; Abdurahman, A. An assessment of pasture soils quality based on multi-indicator weighting approaches in semi-arid ecosystem. Ecol. Indic. 2021, 121, 107001. [Google Scholar] [CrossRef]
- Turan, I.D.; Dengiz, O.; Özkan, B. Spatial assessment and mapping of soil quality index for desertification in the semi-arid terrestrial ecosystem using MCDM in interval type-2 fuzzy environment. Comput. Electron. Agric. 2019, 164, 104933. [Google Scholar] [CrossRef]
- Dengiz, O. Potential impact of land use change on land productivity dynamics with focus on land degradation in a sub-humid terrestrial ecosystem. Theor. Appl. Climatol. 2018, 133, 73–88. [Google Scholar] [CrossRef]
- Sánchez-Cañete, E.P.; Scott, R.L.; Haren, J.V.; Barron-Gafford, G.A. Improving the accuracy of the gradient method for determining soil carbon dioxide efflux. J. Geophys Res. Biogeosci. 2017, 122, 50–64. [Google Scholar] [CrossRef]
- Liu, L.; Qin, F.; Sheng, Y.; Li, L.; Dong, X.; Zhang, S.; Shen, C. Soil quality evaluation and limiting factor analysis in different microtopographies of hilly and gully region based on minimum data set. Catena 2025, 254, 108973. [Google Scholar] [CrossRef]










| Soil Indictors | Abbreviation | Unit | SQF * | 
|---|---|---|---|
| Physical: | |||
| Bulk density ** | BD | kg m−3 | LB | 
| Cumulative infiltration ** | CI | mL | MB | 
| Curve number *** | CN | - | MB | 
| Potential maximum retention *** | S | mm | MB | 
| Surface runoff *** | Q | mm | LB | 
| Stones | Stones | % | LB | 
| Sand | Sand | % | LB | 
| Silt | Silt | % | LB | 
| Clay | Clay | % | MB | 
| Dispersion ratio | DR | % | LB | 
| Mean weight diameter | MWD | mm | MB | 
| Water content at field capacity | g g−1 | MB | |
| Water content at permanent wilting | g g−1 | LB | |
| Chemical: | |||
| pH | pH | - | LB | 
| Electrical conductivity | EC | dS m−1 | LB | 
| Cation exchange capacity | CEC | cmol+ kg−1 | MB | 
| Calcium carbonate | CaCO3 | % | LB | 
| Soluble cations (Ca2+, Mg2+, Na+, K+) | Ca2+, Mg2+, Na+, K+ | meq L−1 | LB | 
| Soluble anions (Cl, HCO3−, SO42−) | Cl−, HCO3−, SO42− | meq L−1 | LB | 
| Available phosphorous | Pa | mg kg−1 | MB | 
| Available potassium | Ka | mg kg−1 | MB | 
| Total organic carbon | TOC | % | MB | 
| Soil Indicators | Al-Fahyhy | Al-Sahwa | Al-Tamryate | |||
|---|---|---|---|---|---|---|
| Surface | Sub-Surface | Surface | Sub-Surface | Surface | Sub-Surface | |
| Physical: | ||||||
| BD | 0.85 | - | 0.25 | - | 0.45 | - | 
| CI | 0.62 | - | 0.69 | - | 0.88 | - | 
| CN | 0.57 | - | 0.61 | - | 0.65 | - | 
| S | 0.57 | - | 0.61 | - | 0.65 | - | 
| Q | 0.57 | - | 0.60 | - | 0.66 | - | 
| Stones | 0.74 | 0.55 | 0.76 | 0.71 | 0.90 | 0.82 | 
| Sand | 0.74 | 0.44 | 0.77 | 0.64 | 0.83 | 0.51 | 
| Silt | 0.77 | 0.52 | 0.71 | 0.67 | 0.73 | 0.48 | 
| Clay | 0.83 | 0.39 | 0.79 | 0.73 | 0.81 | 0.49 | 
| DR | 0.66 | 0.52 | 0.65 | 0.55 | 0.78 | 0.80 | 
| MWD | 0.62 | 0.65 | 0.71 | 0.64 | 0.60 | 0.47 | 
| 0.71 | 0.67 | 0.62 | 0.65 | 0.81 | 0.72 | |
| 0.74 | 0.67 | 0.68 | 0.59 | 0.86 | 0.71 | |
| Chemical: | ||||||
| pH | 0.86 | 0.80 | 0.73 | 0.91 | 0.93 | 0.91 | 
| EC | 0.89 | 0.92 | 0.77 | 0.91 | 0.84 | 0.74 | 
| CEC | 0.57 | 0.70 | 0.67 | 0.83 | 0.88 | 0.76 | 
| CaCO3 | 0.53 | 0.49 | 0.73 | 0.61 | 0.84 | 0.91 | 
| Ca2+ | 0.60 | 0.58 | 0.59 | 0.61 | 0.64 | 0.60 | 
| Mg2+ | 0.48 | 0.52 | 0.53 | 0.58 | 0.73 | 0.63 | 
| Na+ | 0.81 | 0.74 | 0.85 | 0.94 | 0.76 | 0.62 | 
| K+ | 0.55 | 0.76 | 0.77 | 0.81 | 0.83 | 0.82 | 
| Cl | 0.61 | 0.60 | 0.54 | 0.57 | 0.70 | 0.61 | 
| HCO3− | 0.45 | 0.46 | 0.25 | 0.15 | 0.43 | 0.44 | 
| SO42− | 0.72 | 0.70 | 0.51 | 0.47 | 0.68 | 0.59 | 
| Pa | 0.76 | 0.57 | 0.72 | 0.42 | 0.68 | 0.63 | 
| Ka | 0.61 | 0.55 | 0.66 | 0.40 | 0.39 | 0.35 | 
| TOC | 0.57 | 0.54 | 0.61 | 0.61 | 0.68 | 0.59 | 
| Overall average | 0.65 | 0.59 | 0.64 | 0.65 | 0.73 | 0.62 | 
| Soil Indicators | Al-Fahyhy | Al-Sahwa | Al-Tamryate | ||||||
|---|---|---|---|---|---|---|---|---|---|
| Min. | Max. | Mean | Min. | Max. | Mean | Min. | Max. | Mean | |
| Physical: | |||||||||
| BD | 1.11 | 1.79 | 1.44 ± 0.16 | 1.31 | 1.86 | 1.63 ± 0.09 | 1.12 | 1.96 | 1.52 ± 0.15 | 
| CI | 0.39 | 14.15 | 5.58 ± 3.96 | 1.41 | 14.15 | 7.45 ± 3.23 | 1.13 | 14.15 | 7.38 ± 3.65 | 
| CN | 48.00 | 83.00 | 55.2 ± 11.62 | 48.00 | 83.00 | 54.11 ± 11.72 | 48.00 | 83.00 | 58.46 ± 14.11 | 
| S | 52.02 | 275.16 | 223.3 ± 82.3 | 52.02 | 275.1 | 232.8 ± 80.8 | 52.02 | 275.16 | 203.5 ± 96.1 | 
| Q | 6.31 | 56.68 | 15.46 ± 15.0 | 6.31 | 56.68 | 14.36 ± 15.53 | 6.31 | 56.68 | 20.27 ± 18.94 | 
| Stones | 1.94 | 87.64 | 39.96 ± 17.1 | 2.07 | 99.45 | 59.32 ± 26.45 | 1.31 | 98.91 | 46.62 ± 24.91 | 
| Sand | 14.32 | 90.72 | 62.36 ± 12.6 | 43.32 | 95.52 | 72.45 ± 10.75 | 13.52 | 89.12 | 67.66 ± 11.74 | 
| Silt | 2.00 | 72.00 | 24.07 ± 13.1 | 1.00 | 36.00 | 12.54 ± 7.19 | 1.00 | 68.00 | 14.11 ± 7.64 | 
| Clay | 4.68 | 34.88 | 13.56 ± 5.9 | 3.48 | 31.28 | 15.01 ± 5.66 | 6.88 | 42.08 | 18.23 ± 6.55 | 
| DR | 26.00 | 94.00 | 69.93 ± 13.1 | 21.00 | 68.00 | 43.96 ± 11.9 | 21.00 | 94.00 | 65.29 ± 14.01 | 
| MWD | 0.07 | 0.09 | 0.08 ± 0.01 | 0.001 | 0.031 | 0.009 ± 0.01 | 0.06 | 0.09 | 0.08 ± 0.003 | 
| 0.051 | 0.311 | 0.173 ± 0.06 | 0.100 | 0.199 | 0.146 ± 0.03 | 0.091 | 0.318 | 0.179 ± 0.04 | |
| 0.005 | 0.107 | 0.051 ± 0.02 | 0.011 | 0.060 | 0.039 ± 0.01 | 0.037 | 0.159 | 0.078 ± 0.03 | |
| Chemical: | |||||||||
| pH | 7.22 | 8.73 | 7.95 ± 0.29 | 7.21 | 9.00 | 8.19 ± 0.3 | 7.11 | 8.99 | 8.23 ± 0.29 | 
| EC | 0.004 | 10.61 | 2.31 ± 2.13 | 0.08 | 6.54 | 0.56 ± 1.01 | 0.07 | 15.15 | 0.96 ± 1.92 | 
| CEC | 3.67 | 7.92 | 5.37 ± 0.76 | 4.06 | 17.39 | 9.22 ± 3.36 | 4.53 | 9.21 | 6.59 ± 0.97 | 
| CaCO3 | 13.14 | 97.06 | 56.57 ± 16.9 | 0.01 | 32.32 | 7.66 ± 6.93 | 3.17 | 27.58 | 13.33 ± 4.54 | 
| Ca2+ | 0.80 | 51.00 | 13.85 ± 10.5 | 0.60 | 37.00 | 5.79 ± 5.69 | 0.40 | 34.00 | 4.16 ± 6.37 | 
| Mg2+ | 0.60 | 21.00 | 5.08 ± 4.1 | 0.10 | 33.00 | 3.80 ± 3.96 | 0.20 | 17.00 | 1.97 ± 2.30 | 
| Na+ | 0.01 | 4.41 | 0.81 ± 0.83 | 0.004 | 3.23 | 0.42 ± 0.54 | 0.004 | 9.817 | 0.897 ± 1.55 | 
| K+ | 0.01 | 0.88 | 0.13 ± 0.12 | 0.003 | 1.43 | 0.12 ± 0.18 | 0.003 | 0.844 | 0.156 ± 0.12 | 
| Cl | 1.00 | 62.00 | 15.99 ± 12.3 | 1.00 | 44.00 | 6.34 ± 6.69 | 0.80 | 35.00 | 5.07 ± 5.97 | 
| HCO3− | 1.00 | 5.00 | 2.35 ± 0.77 | 0.10 | 5.00 | 2.29 ± 1.02 | 0.60 | 5.00 | 1.56 ± 0.72 | 
| SO42− | 0.02 | 3.24 | 1.36 ± 1.08 | 0.05 | 29.81 | 2.07 ± 3.62 | 0.05 | 16.94 | 1.67 ± 2.82 | 
| Pa | 0.01 | 8.20 | 1.42 ± 1.6 | 0.01 | 9.50 | 2.92 ± 2.56 | 0.01 | 13.20 | 1.52 ± 2.41 | 
| Ka | 1.00 | 240.00 | 60.74 ± 62.6 | 1.10 | 210.0 | 92.4 ± 53.1 | 2.00 | 338.0 | 115.3 ± 53.7 | 
| TOC | 0.001 | 0.431 | 0.104 ± 0.06 | 0.078 | 1.119 | 0.440 ± 0.14 | 0.076 | 0.830 | 0.367 ± 0.136 | 
| Soil Indicators | Al-Fahyhy | Al-Sahwa | Al-Tamryate | ||||||
|---|---|---|---|---|---|---|---|---|---|
| Min. | Max. | Mean | Min. | Max. | Mean | Min. | Max. | Mean | |
| Physical: | |||||||||
| Stones | 2.00 | 91.00 | 43.53 ± 16.3 | 1.79 | 99.30 | 62.23 ± 26.18 | 1.87 | 99.23 | 51.66 ± 26.09 | 
| Sand | 14.32 | 90.72 | 63.50 ± 13.5 | 37.72 | 93.52 | 70.14 ± 11.85 | 19.12 | 90.12 | 65.75 ± 11.02 | 
| Silt | 0.80 | 72.00 | 23.97 ± 13.2 | 1.00 | 39.00 | 13.65 ± 8.37 | 1.00 | 47.00 | 14.98 ± 8.18 | 
| Clay | 3.68 | 38.48 | 12.51 ± 5.9 | 2.48 | 33.28 | 16.20 ± 6.75 | 6.88 | 44.08 | 19.26 ± 6.91 | 
| DR | 23.00 | 94.00 | 66.64 ± 14.1 | 25.00 | 63.00 | 42.54 ± 11.1 | 32.00 | 93.00 | 71.21 ± 11.11 | 
| MWD | 0.071 | 0.096 | 0.084 ± 0.01 | 0.001 | 0.025 | 0.009 ± 0.006 | 0.067 | 0.094 | 0.087 ± 0.004 | 
| 0.033 | 0.367 | 0.175 ± 0.06 | 0.100 | 0.213 | 0.145 ± 0.03 | 0.080 | 0.283 | 0.176 ± 0.039 | |
| 0.004 | 0.125 | 0.052 ± 0.02 | 0.004 | 0.060 | 0.038 ± 0.01 | 0.023 | 0.142 | 0.073 ± 0.026 | |
| Chemical: | |||||||||
| pH | 7.20 | 8.60 | 7.89 ± 0.27 | 7.11 | 8.98 | 8.13 ± 0.29 | 7.10 | 9.10 | 8.19 ± 0.32 | 
| EC | 0.003 | 11.91 | 3.27 ± 2.65 | 0.08 | 8.24 | 0.73 ± 1.28 | 0.05 | 18.36 | 1.44 ± 2.25 | 
| CEC | 3.51 | 7.54 | 5.36 ± 0.75 | 3.67 | 16.42 | 8.82 ± 3.17 | 4.84 | 9.07 | 6.55 ± 0.98 | 
| CaCO3 | 13.69 | 97.72 | 56.49 ± 17.2 | 0.10 | 47.88 | 8.51 ± 7.85 | 1.09 | 56.76 | 15.31 ± 6.95 | 
| Ca2+ | 0.80 | 67.00 | 17.57 ± 12.2 | 1.00 | 38.00 | 6.56 ± 6.63 | 0.40 | 56.00 | 6.95 ± 9.23 | 
| Mg2+ | 0.40 | 19.00 | 6.04 ± 4.51 | 1.00 | 29.00 | 4.10 ± 4.85 | 0.20 | 14.00 | 2.55 ± 2.74 | 
| Na+ | 0.05 | 5.12 | 1.15 ± 0.94 | 0.009 | 3.79 | 0.53 ± 0.72 | 0.004 | 14.23 | 1.10 ± 1.71 | 
| K+ | 0.01 | 0.78 | 0.17 ± 0.13 | 0.005 | 1.28 | 0.12 ± 0.18 | 0.003 | 1.205 | 0.15 ± 0.13 | 
| Cl | 1.60 | 73.00 | 20.56 ± 14.9 | 1.40 | 90.00 | 7.26 ± 9.47 | 0.80 | 61.00 | 7.19 ± 8.39 | 
| HCO3− | 1.00 | 4.00 | 2.37 ± 0.72 | 0.10 | 6.00 | 2.26 ± 1.17 | 0.60 | 8.00 | 1.78 ± 1.01 | 
| SO42− | 0.02 | 3.37 | 1.57 ± 1.10 | 0.05 | 37.23 | 2.39 ± 4.44 | 0.055 | 15.91 | 2.55 ± 3.61 | 
| Pa | 0.01 | 6.90 | 0.82 ± 1.16 | 0.01 | 9.70 | 3.08 ± 2.75 | 0.010 | 13.50 | 1.08 ± 2.08 | 
| Ka | 1.00 | 216.0 | 54.31 ± 58.4 | 1.00 | 212.0 | 82.61 ± 50.44 | 1.000 | 199.0 | 103.03 ± 52.1 | 
| TOC | 0.004 | 0.327 | 0.09 ± 0.06 | 0.078 | 1.267 | 0.438 ± 0.15 | 0.076 | 0.756 | 0.357 ± 0.123 | 
| Soil Indicators | Soil Indicators | Weight Factors | CR | ||||||
|---|---|---|---|---|---|---|---|---|---|
| Sand | DR | MWD | BD | TOC | Pa | Ka | |||
| Sand | 1 | 5 | 6 | 9 | 4 | 7 | 7 | 0.4514 | 0.047 | 
| DR | 1/5 | 1 | 2 | 4 | 1/4 | 3 | 3 | 0.1091 | |
| MWD | 1/6 | 1/2 | 1 | 3 | 1/5 | 2 | 2 | 0.0715 | |
| BD | 1/9 | 1/4 | 1/3 | 1 | 1/6 | 1/2 | 1/2 | 0.0297 | |
| TOC | 1/4 | 4 | 5 | 6 | 1 | 5 | 5 | 0.2441 | |
| Pa | 1/7 | 1/3 | 1/2 | 2 | 1/5 | 1 | 2 | 0.0517 | |
| Ka | 1/7 | 1/3 | 1/2 | 2 | 1/5 | 1/5 | 1 | 0.0425 | |
| Soil Indicators | Soil Indicators | Weight Factors | CR | |||||
|---|---|---|---|---|---|---|---|---|
| Sand | DR | MWD | TOC | Pa | Ka | |||
| Sand | 1 | 5 | 6 | 4 | 7 | 7 | 0.4835 | 0.054 | 
| DR | 1/5 | 1 | 2 | 1/4 | 3 | 3 | 0.1064 | |
| MWD | 1/6 | 1/2 | 1 | 1/5 | 2 | 2 | 0.0684 | |
| TOC | 1/4 | 4 | 5 | 1 | 5 | 5 | 0.2512 | |
| Pa | 1/7 | 1/3 | 1/2 | 1/5 | 1 | 2 | 0.0504 | |
| Ka | 1/7 | 1/3 | 1/2 | 1/5 | 1/2 | 1 | 0.0401 | |
| Descriptive Statistics | Al-Fahyhy | Al-Sahwa | Al-Tamryate | |||
|---|---|---|---|---|---|---|
| Surface | Sub-Surface | Surface | Sub-Surface | Surface | Sub-Surface | |
| n | 193 | 193 | 170 | 170 | 217 | 217 | 
| Min | 0.1531 | 0.2095 | 0.2445 | 0.2230 | 0.2330 | 0.3245 | 
| Max | 0.4894 | 0.5412 | 0.5919 | 0.6318 | 0.5563 | 0.6594 | 
| Mean | 0.3078 | 0.3486 | 0.3999 | 0.3994 | 0.3965 | 0.4793 | 
| Std. Dev. | 0.0666 | 0.0618 | 0.0633 | 0.0778 | 0.0655 | 0.0606 | 
| Median | 0.3100 | 0.3396 | 0.3970 | 0.3992 | 0.3963 | 0.4774 | 
| Skewness | 0.1451 | 0.4071 | 0.4496 | 0.2944 | −0.002 | 0.1792 | 
| Kurtosis | 2.5633 | 2.8791 | 3.4190 | 2.9736 | 2.4918 | 3.0149 | 
| 1st Quartile | 0.2598 | 0.3070 | 0.3562 | 0.3398 | 0.3477 | 0.4385 | 
| 3rd Quartile | 0.3485 | 0.3882 | 0.4356 | 0.4496 | 0.4445 | 0.5186 | 
| Interpolation | Al-Fahyhy | Al-Sahwa | Al-Tamryate | |||
|---|---|---|---|---|---|---|
| Surface | Sub-Surface | Surface | Sub-Surface | Surface | Sub-Surface | |
| RMSE | ||||||
| IDW | 0.06569 | 0.06361 | 0.06465 | 0.07493 | 0.06387 | 0.05953 | 
| GPI | 0.22369 | 0.22403 | 0.07796 | 0.07796 | 0.06533 | 0.05941 | 
| RBF | 0.06705 | 0.06544 | 0.06590 | 0.07490 | 0.06320 | 0.05988 | 
| LPI | 0.06574 | 0.06452 | 0.06187 | 0.07434 | 0.06539 | 0.05890 | 
| Kriging (Ordinary): | ||||||
| Gaussian | 1.00274 | 0.99252 | 0.98695 | 1.00411 | 1.00722 | 1.01738 | 
| Spherical | 1.00112 | 0.99267 | 0.98968 | 1.00972 | 1.00924 | 1.01616 | 
| Exponential | 1.00151 | 0.99199 | 0.99405 | 0.99931 | 1.00129 | 1.01469 | 
| Kriging (Simple): | ||||||
| Gaussian | 0.99885 | 0.99252 | 0.99320 | 0.99275 | 0.99451 | 0.99566 | 
| Spherical | 0.99796 | 0.99267 | 0.99381 | 0.99186 | 0.99509 | 0.99398 | 
| Exponential | 0.99703 | 0.99199 | 0.99655 | 0.99222 | 0.99224 | 0.99698 | 
| Kriging (Universal): | ||||||
| Gaussian | 1.00274 | 1.00255 | 0.98695 | 1.00411 | 1.00722 | 1.01738 | 
| Spherical | 1.00112 | 1.01849 | 0.98968 | 1.00972 | 1.00924 | 1.01616 | 
| Exponential | 1.00151 | 1.00241 | 0.99405 | 0.99931 | 1.00129 | 1.01469 | 
| SMD | ||||||
| IDW | 0.00062 | −0.00146 | 0.00030 | −0.00105 | 0.00202 | 0.00134 | 
| GPI | −0.00009 | −0.00052 | −0.00022 | −0.00022 | 0.00022 | 0.00046 | 
| RBF | 0.00030 | −0.00072 | 0.00018 | −0.00036 | 0.00062 | 0.00058 | 
| LPI | 0.00158 | 0.00128 | 0.00210 | 0.00305 | −0.00031 | −0.00146 | 
| Kriging (Ordinary): | ||||||
| Gaussian | 0.00310 | −0.00148 | 0.00984 | 0.01204 | 0.00340 | 0.00609 | 
| Spherical | 0.00614 | −0.00086 | 0.00999 | 0.01380 | 0.00777 | 0.00441 | 
| Exponential | 0.00344 | −0.00111 | 0.01010 | 0.99931 | 0.00987 | 0.00572 | 
| Kriging (Simple): | ||||||
| Gaussian | 0.00354 | −0.00148 | 0.00007 | −0.01258 | 0.01901 | 0.01003 | 
| Spherical | 0.00307 | −0.00086 | −0.00017 | −0.01359 | 0.02020 | 0.01004 | 
| Exponential | 0.00375 | −0.00111 | −0.00019 | −0.01272 | 0.01667 | 0.01124 | 
| Kriging (Universal): | ||||||
| Gaussian | 0.00310 | −0.01269 | 0.00984 | 0.01204 | 0.00340 | 0.00609 | 
| Spherical | 0.00614 | −0.01823 | 0.00999 | 0.01380 | 0.00777 | 0.00441 | 
| Exponential | 0.00344 | −0.01253 | 0.01010 | 0.01146 | 0.00987 | 0.00572 | 
| SQI-MDS Category | Al-Fahyhy | Al-Sahwa | Al-Tamryate | |||
|---|---|---|---|---|---|---|
| % | Area (ha) | % | Area (ha) | % | Area (ha) | |
| Surface Layer (0–30 cm) | ||||||
| Very low | 28.31 | 823.4 | 3.27 | 1508.1 | 6.32 | 1232.0 | 
| Low | 47.19 | 1372.4 | 61.41 | 28,354.4 | 84.96 | 16,567.9 | 
| Moderate | 23.84 | 693.1 | 30.60 | 14,127.8 | 8.08 | 1576.2 | 
| High | 0.58 | 17.0 | 4.64 | 2141.7 | 0.64 | 124.0 | 
| Very high | 0.07 | 2.1 | 0.10 | 43.9 | - | - | 
| Sub-Surface Layer (30–60 cm) | ||||||
| Very low | 36.52 | 1062.1 | 11.96 | 5522.5 | 3.24 | 630.8 | 
| low | 36.69 | 1067.0 | 46.95 | 21,677.3 | 68.88 | 13,431.2 | 
| Moderate | 25.11 | 730.2 | 39.10 | 18,053.6 | 25.87 | 5044.0 | 
| High | 1.60 | 46.6 | 1.92 | 887.6 | 1.78 | 347.4 | 
| Very high | 0.07 | 2.1 | 0.08 | 35.0 | 0.24 | 46.6 | 
| Disclaimer/Publisher’s Note: The statements, opinions and data contained in all publications are solely those of the individual author(s) and contributor(s) and not of MDPI and/or the editor(s). MDPI and/or the editor(s) disclaim responsibility for any injury to people or property resulting from any ideas, methods, instructions or products referred to in the content. | 
© 2025 by the authors. Licensee MDPI, Basel, Switzerland. This article is an open access article distributed under the terms and conditions of the Creative Commons Attribution (CC BY) license (https://creativecommons.org/licenses/by/4.0/).
Share and Cite
Ibrahim, H.M.; Alasmary, Z.; Majrashi, M.A.; Harbi, M.A.; Abldubise, A.; Alghamdi, A.G. Application of Principal Component and Multi-Criteria Analysis to Evaluate Key Physical and Chemical Soil Indicators for Sustainable Land Use Management in Arid Rangeland Ecosystems. Land 2025, 14, 2167. https://doi.org/10.3390/land14112167
Ibrahim HM, Alasmary Z, Majrashi MA, Harbi MA, Abldubise A, Alghamdi AG. Application of Principal Component and Multi-Criteria Analysis to Evaluate Key Physical and Chemical Soil Indicators for Sustainable Land Use Management in Arid Rangeland Ecosystems. Land. 2025; 14(11):2167. https://doi.org/10.3390/land14112167
Chicago/Turabian StyleIbrahim, Hesham M., Zafer Alasmary, Mosaed A. Majrashi, Meshal Abdullah Harbi, Abdullah Abldubise, and Abdulaziz G. Alghamdi. 2025. "Application of Principal Component and Multi-Criteria Analysis to Evaluate Key Physical and Chemical Soil Indicators for Sustainable Land Use Management in Arid Rangeland Ecosystems" Land 14, no. 11: 2167. https://doi.org/10.3390/land14112167
APA StyleIbrahim, H. M., Alasmary, Z., Majrashi, M. A., Harbi, M. A., Abldubise, A., & Alghamdi, A. G. (2025). Application of Principal Component and Multi-Criteria Analysis to Evaluate Key Physical and Chemical Soil Indicators for Sustainable Land Use Management in Arid Rangeland Ecosystems. Land, 14(11), 2167. https://doi.org/10.3390/land14112167
 
        


 
       