Synergistic Interactions and Short-Term Impact of Tillage Systems on Soil Physico-Chemical Properties and Organic Carbon Sequestration in North-Eastern Romania
Abstract
1. Introduction
2. Materials and Methods
2.1. Research Site Description
2.2. Tillage Systems and Experimental Design
2.3. Soil Sampling and Analysis
2.3.1. Soil Chemical Analysis
2.3.2. Soil Physical Analysis
2.4. Statistical Analysis
3. Results and Discussion
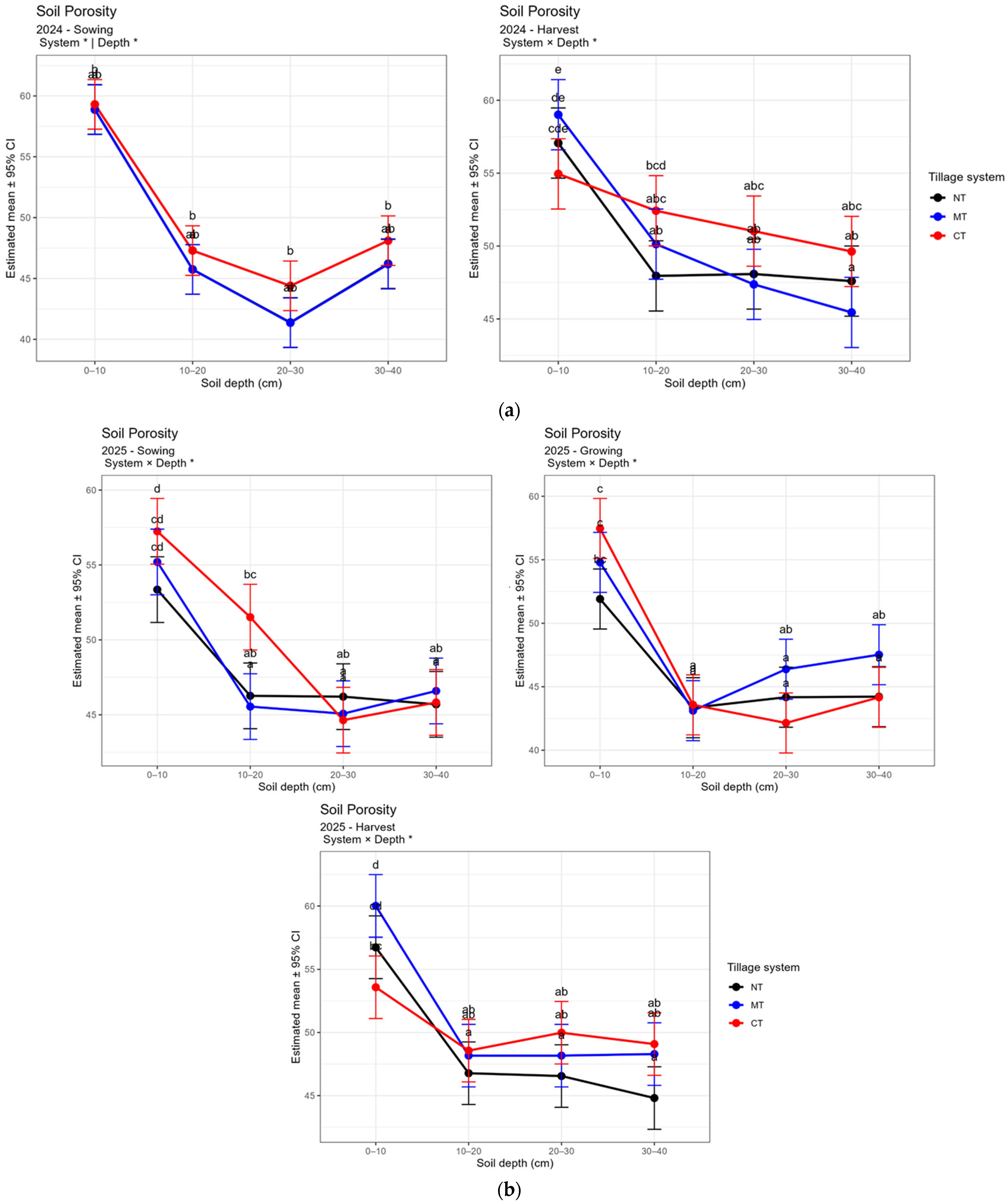
3.1. Influence of Tillage System on Soil Porosity (SP)
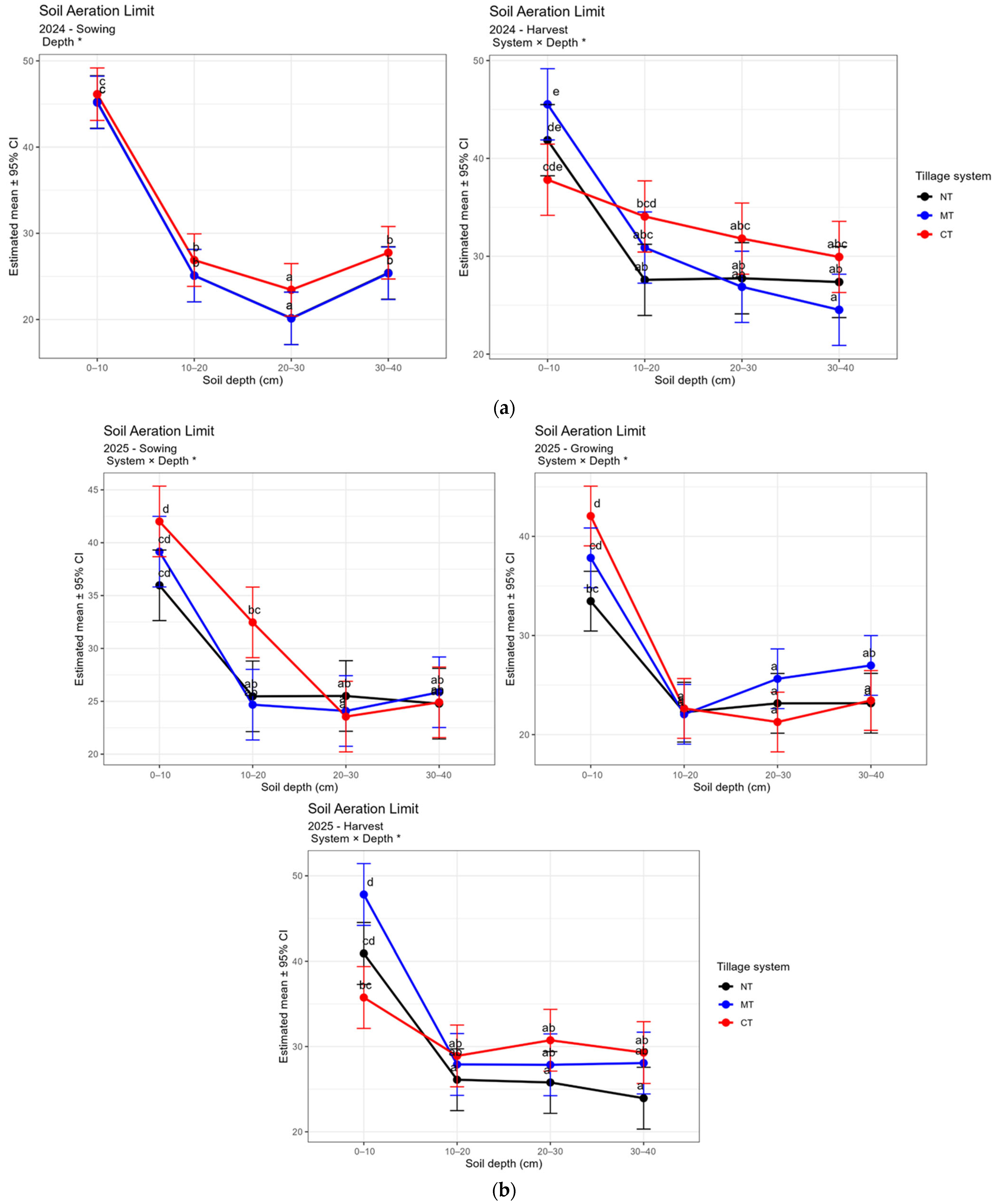
3.2. Influence of Tillage System on Soil Aeration Limit (SAL)
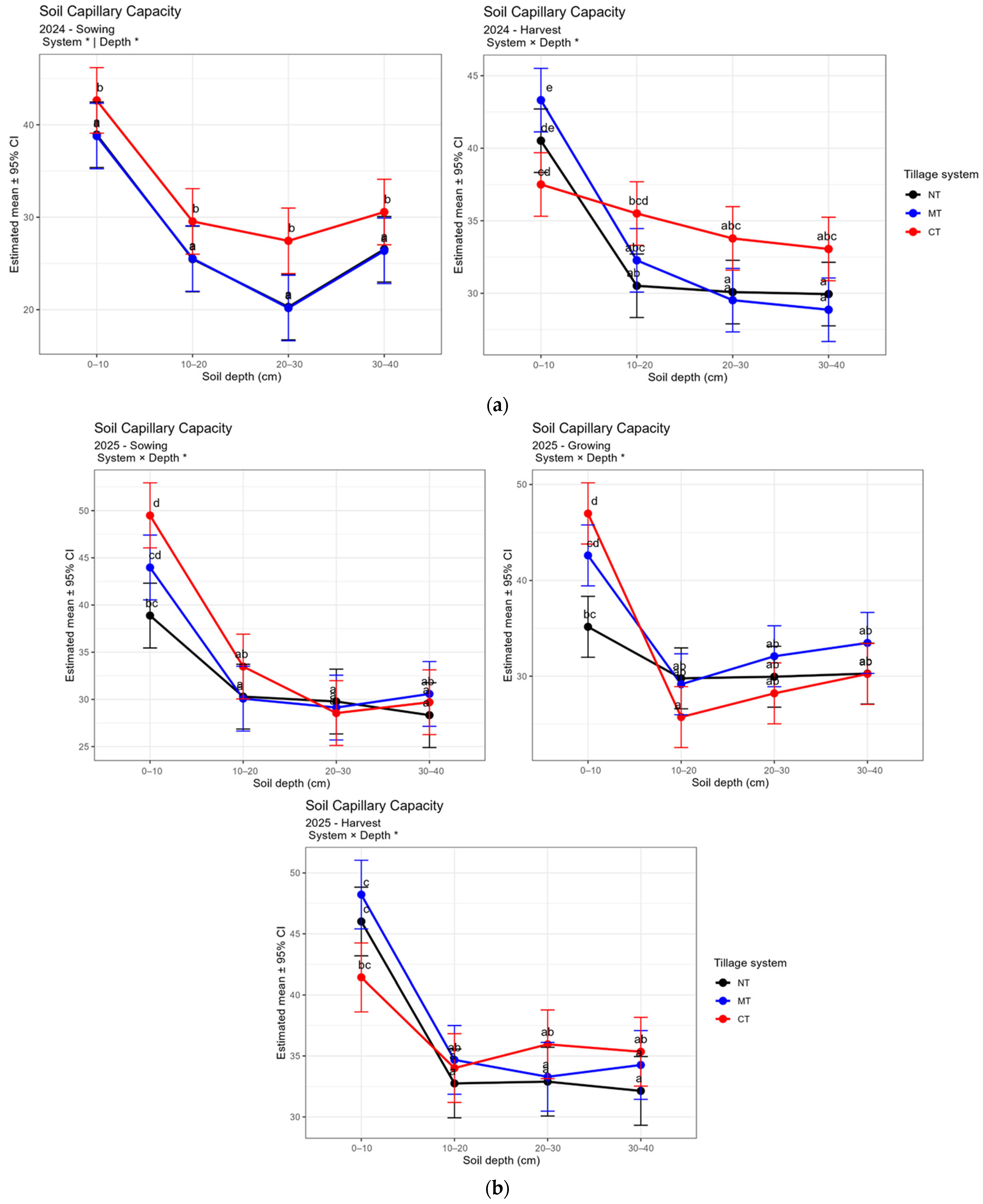
3.3. Influence of Tillage System on Soil Capillary Capacity (SCC)
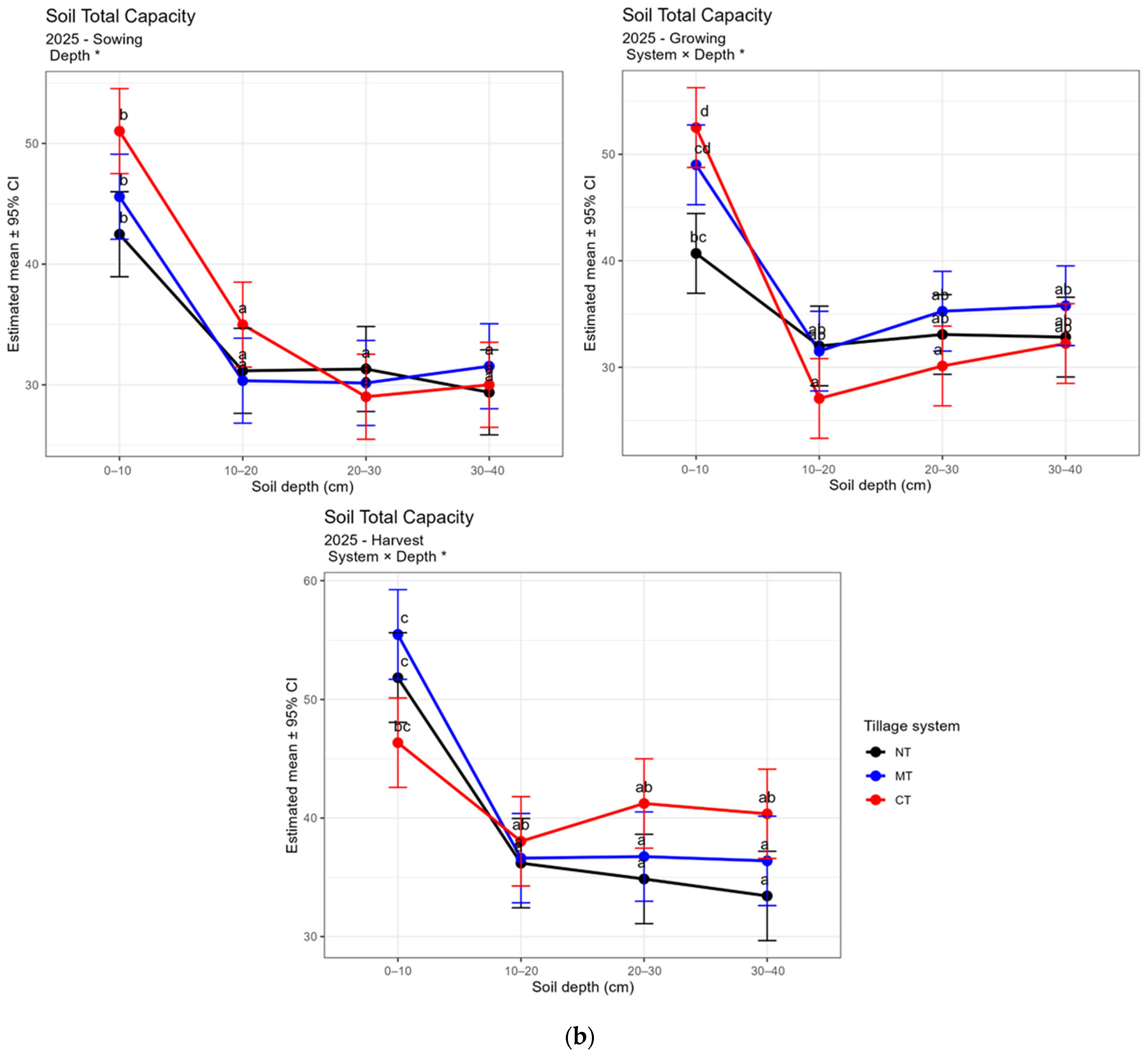
3.4. Influence of Tillage System on Soil Total Capacity (STC)
3.5. Influence of Tillage System on Soil Temperature (Ts)
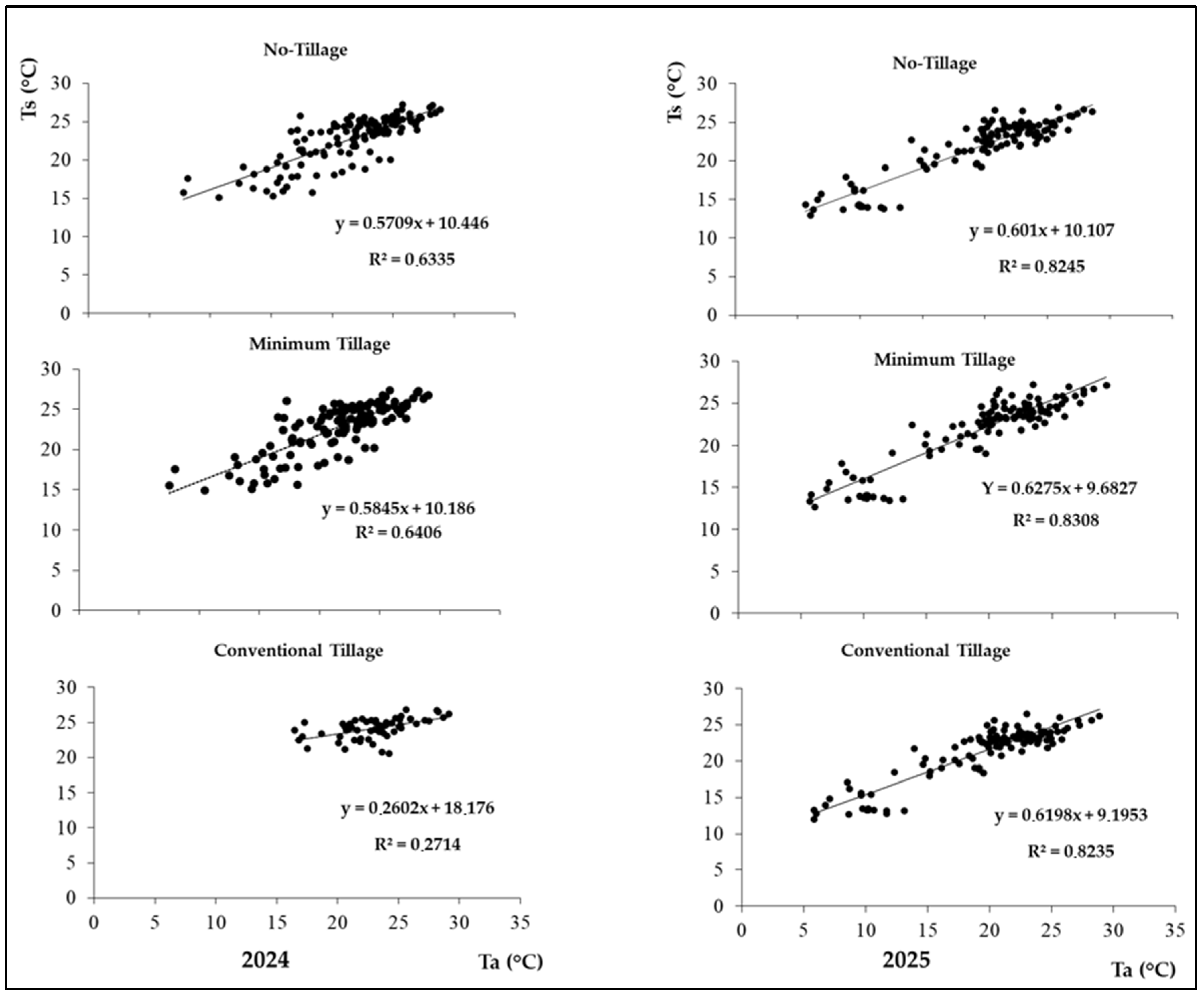
3.6. Correlation Between Air Temperature (Ta) and Soil Temperature (Ts)
3.7. Influence of Tillage Systems on Soil Organic Carbon (SOC) and Soil Organic Matter (SOM)
3.8. Influence of Tillage Systems on Soil Chemical Properties and Available Nutrients
4. Synergy Between Soil Porosity, Aeration Limits, Soil Capillarity, and Soil Organic Carbon
5. Conclusions
Author Contributions
Funding
Institutional Review Board Statement
Data Availability Statement
Conflicts of Interest
References
- Țopa, D.C.; Căpșună, S.; Calistru, A.E.; Ailincăi, C. Sustainable Practices for Enhancing Soil Health and Crop Quality in Modern Agriculture: A Review. Agriculture 2025, 15, 998. [Google Scholar] [CrossRef]
- Rodríguez, B.C.; Durán-Zuazo, V.H.; Soriano Rodríguez, M.; García-Tejero, I.F.; Gálvez Ruiz, B.; Cuadros Tavira, S. Conservation agriculture as a sustainable system for soil health: A review. Soil Syst. 2022, 6, 87. [Google Scholar] [CrossRef]
- Xu, S.Q.; Zhang, R.Z.; Dong, B.; Zhang, M. Effect of tillage practices on structural properties and content of organic carbon in tilth soil. Chin. J. Eco-Agric. 2009, 17, 203–208. [Google Scholar] [CrossRef]
- An, L.; Li, Z. The effects of different tillage and crop rotation patterns on soil organic carbon accumulation and distribution characteristics in arid regions: A case study of field experiments in northwest China. Geogr. Res. Bull. 2025, 4, 135–157. [Google Scholar]
- Liu, Y.; Zhu, L.; Chen, C. The mechanisms and optimization strategies of tillage practices affecting soil pore structure. Geogr. Res. Bull. 2025, 4, 507–529. [Google Scholar] [CrossRef]
- Mihu, G.D.; Aostăcioaei, T.G.; Ghelbere, C.; Calistru, A.E.; Țopa, D.C.; Jităreanu, G. Exploring Soil Hydro-Physical Improvements Under No-Tillage: A Sustainable Approach for Soil Health. Agriculture 2025, 15, 981. [Google Scholar] [CrossRef]
- Steponavičienė, V.; Bogužas, V.; Sinkevičienė, A.; Skinulienė, L.; Vaisvalavičius, R.; Sinkevičius, A. Soil water capacity, pore size distribution, and CO2 emission in different soil tillage systems and straw retention. Plants 2022, 11, 614. [Google Scholar] [CrossRef] [PubMed]
- Farahani, E.; Emami, H.; Forouhar, M. Effects of tillage systems on soil organic carbon and some soil physical properties. Land Degrad. Dev. 2022, 33, 1307–1320. [Google Scholar] [CrossRef]
- Chen, X.W.; Shi, X.H.; Liang, A.Z.; Zhang, X.P.; Jia, S.X.; Fan, R.Q.; Wei, S.C. Least limiting water range and soil pore-size distribution related to soil organic carbon dynamics following zero and conventional tillage of a black soil in Northeast China. J. Agric. Sci. 2015, 153, 270–281. [Google Scholar] [CrossRef]
- Franchini, J.C.; Debiasi, H.; Junior, A.A.B.; Tonon, B.C.; Farias, J.R.B.; de Oliveira, M.C.N.; Torres, E. Evolution of crop yields in different tillage and cropping systems over two decades in southern Brazil. Field Crops Res. 2012, 137, 178–185. [Google Scholar] [CrossRef]
- Zhang, W.; Li, S.; Xu, Y.; Liu, X.; An, T.; Zhu, P.; Peng, C.; Wang, J. Advances in research on relationships between soil pore structure and soil miocroenvironment and organic carbon turnover. J. Soil Water Conserv. 2019, 33, 1–9. [Google Scholar]
- Jackson, T.; Mansfield, K.; Saafi, M.; Colman, T.; Romine, P. Measuring soil temperature and moisture using wireless MEMS sensors. Measurement 2008, 41, 381–390. [Google Scholar] [CrossRef]
- Indoria, A.K.; Rao, C.S.; Sharma, K.L.; Reddy, K.S. Conservation agriculture–A panacea to improve soil physical health. Curr. Sci. 2017, 112, 52–61. [Google Scholar] [CrossRef]
- Sarkar, S.; Paramanick, M.; Goswami, S.B. Soil temperature, water use and yield of yellow sarson (Brassica napus L. var. glauca) in relation to tillage intensity and mulch management under rainfed lowland ecosystem in eastern India. Soil Tillage Res. 2007, 93, 94–101. [Google Scholar] [CrossRef]
- Rai, V.; Pramanik, P.; Das, T.K.; Aggarwal, P.; Bhattacharyya, R.; Krishnan, P.; Sehgal, V.K. Modelling soil hydrothermal regimes in pigeon pea under conservation agriculture using Hydrus-2D. Soil Tillage Res. 2019, 190, 92–108. [Google Scholar] [CrossRef]
- Bond-Lamberty, B.; Thomson, A. Temperature-associated increases in the global soil respiration record. Nature 2010, 464, 579–582. [Google Scholar] [CrossRef]
- Moraru, P.I.; Rusu, T. Effect of tillage systems on soil moisture, soil temperature, soil respiration and production of wheat, maize and soybean crops. J. Food Agric. Environ. 2012, 10, 445–448. [Google Scholar]
- Cakpo, S.S.; Aostăcioaei, T.G.; Mihu, G.-D.; Molocea, C.-C.; Ghelbere, C.; Ursu, A.; Țopa, D.C. Long-Term Effect of Tillage Practices on Soil Physical Properties and Winter Wheat Yield in North-East Romania. Agriculture 2025, 15, 989. [Google Scholar] [CrossRef]
- Ursu, A.; Cara, I.G.; Bireescu, G.; Rusu, M.; Mihu, G.D.; Cakpo, S.S.; Țopa, D.; Jităreanu, G. Effects of Tillage Systems and Bacterial Inoculation on Enzyme Activities and Selected Soil Chemical Properties. Agriculture 2025, 15, 1285. [Google Scholar] [CrossRef]
- Kan, Z.R.; Ma, S.T.; Liu, Q.Y.; Liu, B.Y.; Virk, A.L.; Qi, J.Y.; Zhao, X.; Lal, R.; Zhang, H.L. Carbon sequestration and mineralization in soil aggregates under long-term conservation tillage in the North China Plain. Catena 2020, 188, 104428. [Google Scholar] [CrossRef]
- Topa, D.; Cara, I.G.; Jităreanu, G. Long term impact of different tillage systems on carbon pools and stocks, soil bulk density, aggregation and nutrients: A field meta-analysis. Catena 2021, 199, 105102. [Google Scholar] [CrossRef]
- Jat, S.L.; Parihara, C.M.; Singha, A.K.; Nayak, H.S.; Meena, B.R.; Kumara, B.; Pariharc, M.D.; Jat, M.L. Differential response from nitrogen sources with and without residue management under conservation agriculture on crop yields, water-use and economics in maize-based rotations. Field Crop Res. 2019, 236, 96–110. [Google Scholar] [CrossRef]
- Rusu, M.; Filip, M.; Cara, I.-G.; Topa, D.; Jităreanu, G. Soil Nutrient dynamics and Farming Sustainability Under Different Plum Orchard Management Practices in the Pedoclimatical Conditions of Moldavian Plateau. Agric./Agric. Soils 2025, 15, 509. [Google Scholar] [CrossRef]
- Calistru, A.E.; Filipov, F.; Cara, I.G.; Cioboată, M.; Țopa, D.; Jităreanu, G. Tillage and straw management practices influences soil nutrient distribution: A case study from north-eastern Romania. Land 2024, 13, 625. [Google Scholar] [CrossRef]
- Rusu, M.; Cara, I.-G.; Stoica, F.; Topa, D.; Jităreanu, G. Quality Parameters of Plum Orchard Subjected to Conventional and Ecological Management Systems in Temperate Production Area. Horticulturae 2024, 10, 907. [Google Scholar] [CrossRef]
- Calistru, A.E.; Coroi Cara, I.G.; Țopa, D.C.; Jităreanu, G. Analyzing soil porosity under different tillage systems using X-ray microtomography. Lucr. Ştiinţifice USAMV Iaşi Ser. Agron. 2016, 59, 201–204. [Google Scholar]
- Mihu, G.D.; Țopa, D.C.; Calistru, A.E.; Jităreanu, G. The influence of tillage systems on soil compaction in the corn crop. J. Appl. Life Sci. Environ. 2023, 55, 391–405. [Google Scholar] [CrossRef]
- Sadiq, M.; Rahim, N.; Tahir, M.M.; Alasmari, A.; Alqahtani, M.M.; Albogami, A.; Ghanem, K.Z.; Abdein, M.A.; Ali, M.; Mehmood, N.; et al. Conservation tillage: A way to improve yield and soil properties and decrease global warming potential in spring wheat agroecosystems. Front. Microbiol. 2024, 15, 1356426. [Google Scholar] [CrossRef] [PubMed]
- Fernandes, M.M.H. Soil structure under tillage systems with and without crop residues: Effects on soil porosity. Soil Tillage Res. 2023, 215, 105120. [Google Scholar]
- Mateo-Marín, N.; Bosch‐Serra, À.D.; Molina, M.G.; Poch, R.M. Impacts of tillage and nutrient management on soil porosity trends in dryland agriculture. Eur. J. Soil Sci. 2022, 73, e13139. [Google Scholar] [CrossRef]
- Liu, S.; Hu, H.; Wen, L. Three-dimensional dynamic modeling of soil aggregate structure and root interaction based on artificial intelligence and its application in nitrogen uptake. Adv. Resour. Res. 2025, 5, 895–918. [Google Scholar]
- Tan, S.; Kumar, A.; Li, J. Soil aeration limit and its response to tillage practices. J. Soil Sci. 2025, 203, 135–148. [Google Scholar]
- Ketena, S.; Gebresenbet, G.; Kolhe, K.; Dananto, M.; Seifu, Y.; Mathwos, M. Impacts of soil physical and mechanical behaviors under different tillage depths for agrotechnical operation in Bukito, Sidama, Ethiopia. Sci. Rep. 2025, 15. [Google Scholar] [CrossRef]
- Srivastava, R.K. Conservation tillage practices on GHG emissions, soil health and overall agricultural sustainability. Soil Use Manag. 2025, 41, e70096. [Google Scholar] [CrossRef]
- Li, J.; Chen, L.; Zhang, C.; Ma, D.; Zhou, G.; Ning, Q.; Zhang, J. Combining rotary and deep tillage increases crop yields by improving the soil physical structure and accumulating organic carbon of subsoil. Soil Tillage Res. 2024, 244, 106252. [Google Scholar] [CrossRef]
- Tan, J.; Si, B.; Zhao, Y.; Lu, Y.; Chen, Y.; An, N.; Li, S.; Wang, W.; Fu, H.; Han, W.; et al. Short-term no-tillage improves soil water retention and maintains soil aeration at high moisture conditions despite reduced macroporosity. Soil Tillage Res. 2025, 253, 106677. [Google Scholar] [CrossRef]
- Li, H.; Jin, X.; Shan, W.; Han, B.; Zhou, Y.; Tittonell, P. Optimizing agricultural management in China for soil greenhouse gas emissions and yield balance: A regional heterogeneity perspective. J. Clean. Prod. 2024, 452, 142255. [Google Scholar] [CrossRef]
- Martínez, P.; López, R.; García, M. Impact of no-tillage on soil structure and aeration in agricultural systems. Soil Tillage Res. 2022, 218, 105345. [Google Scholar]
- Amin, M.; Khan, M.J.; Jan, M.T.; Rehman, M.U.; Tariq, J.A.; Hanif, M.; Shah, Z. Effect of different tillage practices on soil physical properties under wheat in semi-arid environment. Soil Environ. 2014, 33, 33–37. [Google Scholar]
- Bondarovich, A.; Illiger, P.; Schmidt, G.; Schmidt, G.; Ponkina, E.; Nugumanova, A.; Maulit, A.; Maulit, A.; Sutula, M. Effects of agricultural cropping systems on soil water capacity: The case in cross-border Altai. Span. J. Soil Sci. 2023, 13, 11493. [Google Scholar] [CrossRef]
- Huang, X.; Li, F.; Chen, Y. Soil water retention dynamics in a mollisol during a maize growing season under different tillage practices. Geoderma 2021, 387, 114876. [Google Scholar]
- Rocco, S.; Prudent, G.; Silva-Olaya, A. Long-term soil quality and carbon stock effects of tillage and cover crop management. Soil Tillage Res. 2024, 214, 105344. [Google Scholar]
- Liebhard, G.; Klik, A.; Neugschwandtner, R.W.; Nolz, R. Effects of tillage systems on soil water distribution, crop development, and evaporation and transpiration rates of soybean. Agric. Water Manag. 2022, 269, 107719. [Google Scholar] [CrossRef]
- Pöhlitz, J.; Schlüter, S.; Rücknagel, J. Short-term effects of double-layer ploughing reduced tillage on soil structure and crop yield. Soil Use Manag. 2024, 40, e13043. [Google Scholar] [CrossRef]
- Moreira, R.; da Silva, F.; Oliveira, A. Effects of tillage on soil water infiltration and retention in subtropical croplands. Soil Sci. Soc. Am. J. 2023, 87, 45–59. [Google Scholar]
- Wazzan, F.A.; Muhammad, S.A. Effects of Conservation and Conventional Tillage on some Soil Hydraulic Properties. IOP Conf. Ser. Earth Environ. Sci. 2022, 1060, 012002. [Google Scholar] [CrossRef]
- Smith, C. Effects on Soil Water Holding Capacity and Soil Water Retention Resulting from Soil Health Management Practices Implementation; United States Department of Agriculture: Washington, DC, USA, 2018; pp. 1–30.
- Pečan, U.; Pintar, M.; Mihelič, R.; Kastelec, D. Variability of In Situ Soil Water Retention Curves under Different Tillage Systems and Growing Seasons. Soi Tillage Res. 2023, 233, 105779. [Google Scholar] [CrossRef]
- Martinez, P.; Lopez, R.; Sánchez, L. Impact of tillage and residue management on soil water retention and pore structure in Mediterranean cropland. J. Soil Sci. 2023, 74, 1224–1235. [Google Scholar]
- Kim, J.; Park, H. Influence of tillage practices on root distribution and soil water retention in temperate agricultural systems. Agric. Ecosyst. Environ. 2024, 341, 108093. [Google Scholar]
- Wang, L.; Zhao, Y.; Chen, Q. The role of tillage on improving soil water dynamics and crop productivity under climate change scenarios. Agric. Water Manag. 2023, 280, 108112. [Google Scholar]
- Garcia, M.; Hernandez, L. Deep rooting and subsoil water retention enhancement through tillage practices in semi-arid regions. Field Crops Res. 2023, 295, 108543. [Google Scholar]
- Ahmed, A.; Mahmood, K.; Qureshi, M. Conventional tillage improves soil physical properties and water retention in loam soils. Soil Tillage Res. 2023, 220, 105411. [Google Scholar] [CrossRef]
- Zhao, Y.; Wang, L. Initial effects of no-till on soil pore development and water retention under continuous cropping. Soil Sci. 2024, 189, 137–148. [Google Scholar]
- Davis, J.; Thompson, M. Dynamic interactions between soil physical properties and crop growth: Implications for water management. Agric. Sci. 2022, 13, 456–468. [Google Scholar]
- Koch, O.; Tscherko, D.; Kandeler, E. Temperature sensitivity of microbial respiration, nitrogen mineralization, and potential soil enzyme activities in organic alpine soils. Glob. Biogeochem. Cycles 2007, 21. [Google Scholar] [CrossRef]
- Naher, U.A.; Sarker, I.U.; Jahan, A.; Maniruzzaman, M.D.; Choudhury, A.K.; Kalra, N.; Biswas, J.C. Nutrient mineralization and soil biology as influenced by temperature and fertilizer management practices. Sains Malays. 2019, 48, 735–744. [Google Scholar] [CrossRef]
- Dai, Z.; Yu, M.; Chen, H.; Zhao, H.; Huang, Y.; Su, W.; Xia, F.; Chang, S.X.; Brookes, P.C.; Dahlgren, R.A.; et al. Elevated temperature shifts soil N cycling from microbial immobilization to enhanced mineralization, nitrification and denitrification across global terrestrial ecosystems. Glob. Change Biol. 2020, 26, 5267–5276. [Google Scholar]
- Sanford, R.A.; Chee-Sanford, J.C.; Yang, W.H. Diurnal temperature variation in surface soils: An underappreciated control on microbial processes. Front. Microbiol. 2024, 15, 1423984. [Google Scholar] [CrossRef]
- Doran, J.W.; Parkin, T.B. Defining and assessing soil quality. Soil Sci. Soc. Am. Spec. Publ. 1994, 35, 3–21. [Google Scholar]
- Chen, Y.; Liu, S.; Li, H.; Song, X.F.; Li, C.Y.; Cruse, R.M.; Zhang, X.Y. Effects of conservation tillage on corn and soybean yield in the humid continental climate region of Northeast China. Soil Till. Res. 2011, 115–116, 56–61. [Google Scholar] [CrossRef]
- Liu, X.; Liu, J.; Xing, B.; Herbert, S.J.; Meng, K.; Han, X.; Zhang, X. Effects of long-term continuous cropping, tillage, and fertilization on soil organic carbon and nitrogen of black soils in China. Commun. Soil Sci. Plant Anal. 2005, 36, 1229–1239. [Google Scholar] [CrossRef]
- Shukla, S.K.; Singh, R.; Kumar, A. Influence of tillage systems on soil thermal regime and crop yield. J. Agric. Sci. 2012, 4, 123–130. [Google Scholar]
- Muñoz-Romero, V.; Lopez-Bellido, L.; Lopez-Bellido, R.J. Effect of tillage system on soil temperature in a rainfed Mediterranean Vertisol. Int. Agrophysics 2015, 29, 467–473. [Google Scholar] [CrossRef]
- Six, J.; Feller, C.; Denef, K.; Ogle, S.M.; Moraes, J.C.S.A.; Albrecht, A. Soil organic matter, biota and aggregation in temperate and tropical soils—Effects of no-tillage. Agronomie 2002, 22, 755–775. [Google Scholar] [CrossRef]
- Lal, R. Restoring soil quality to mitigate soil degradation. Sustainability 2015, 7, 5875–5895. [Google Scholar] [CrossRef]
- Manzeke-Kangara, M.G.; Ligowe, I.S.; Tibu, A.; Gondwe, T.N.; Greathead, H.M.; Galdos, M.V. Soil organic carbon and related properties under conservation agriculture and contrasting conventional fields in Northern Malawi. Front. Soil Sci. 2025, 4, 1481275. [Google Scholar] [CrossRef]
- Wen, L.; Peng, Y.; Zhou, Y.; Cai, G.; Lin, Y.; Li, B. Effects of conservation tillage on soil enzyme activities of global cultivated land: A meta-analysis. J. Environ. Manag. 2023, 345, 118904. [Google Scholar] [CrossRef] [PubMed]
- Ding, W.; Chang, N.; Zhang, G.; Kang, J.; Yi, X.; Zhang, J.; Zhang, J.; Wang, L.; Li, H. Soil organic carbon changes in China’s croplands: A newly estimation based on DNDC model. Sci. Total Environ. 2023, 905, 167107. [Google Scholar] [CrossRef]
- Govaerts, B.; Sayre, K.D.; Goudeseune, B.; De Corte, P.; Lichter, K.; Dendooven, L.; Deckers, L. Conservation agriculture and soil carbon sequestration: A review. Agric. Ecosyst. Environ. 2009, 103, 222–230. [Google Scholar]
- Franzluebbers, A.J. Soil organic carbon, labile organic carbon fractions, and microbial biomass in response to tillage and crop rotation. Soil Sci. Soc. Am. J. 2002, 66, 887–898. [Google Scholar]
- Lal, R. Soil carbon sequestration to mitigate climate change. Geoderma 2016, 262, 101–111. [Google Scholar] [CrossRef]
- Huang, B.; Gao, J.; Zhang, W.; Gan, C.; Bao, X.; Xu, M.; Wu, L. Impacts of conservation tillage on soil organic carbon and crop yield in black soil region of Northeast China: Integrated regulation by climate, management and soil properties. J. Agric. Food Res. 2025, 24, 102388. [Google Scholar] [CrossRef]
- Huang, Y.; Fu, B.; Lü, Y.; Wang, S.; Liu, Y. Active soil organic carbon fractions and their relationships with soil properties. Soil Biol. Biochem. 2019, 136, 107540. [Google Scholar]
- Corsi, S.; Friedrich, T.; Kassam, A.; Pisante, M.; de Moraes Sà, J.C. Soil carbon sequestration in conservation tillage systems. Agric. Ecosyst. Environ. 2020, 291, 106816. [Google Scholar]
- Lal, R. Soil carbon sequestration impacts on global climate change and food security. Science 2004, 304, 1623–1627. [Google Scholar] [CrossRef]
- Jenkinson, D.S.; Coleman, K. The turnover of organic carbon in subsoils. Part 2. Modelling carbon turnover. Eur. J. Soil Sci. 2008, 59, 400–413. [Google Scholar] [CrossRef]
- Ladha, J.K.; Jat, M.L.; Stirling, C.M.; Chakraborty, D.; Pradhan, P.; Krupnik, T.J.; Sapkota, T.B.; Pathak, H.; Rana, D.S.; Tesfaye, K.; et al. Achieving the sustainable development goals in agriculture: The crucial role of nitrogen in cereal-based systems. Adv. Agron. 2020, 163, 39–116. [Google Scholar]
- Fiorini, A.; Boselli, R.; Maris, S.C.; Santelli, S.; Ardenti, F.; Capra, F.; Tabaglio, V. May conservation tillage enhance soil C and N accumulation without decreasing yield in intensive irrigated croplands? Results from an eight-year maize monoculture. Agric. Ecosyst. Environ. 2020, 296, 106926. [Google Scholar] [CrossRef]
- Huang, Y.; Zhang, J.; Chen, Y.; Li, H. Effects of tillage and residue management on soil nutrients and crop yield in wheat-maize rotation systems. Soil Tillage Res. 2019, 193, 104–113. [Google Scholar]
- Filip, C.D.; Coman, M.A. Regarding transfer factor of soil pollution with heavy metals in soil-plant system. Sci. Pap. Ser. A Agron. 2025, 68, 90–99. [Google Scholar]












| Parameters | Soil Depth (cm) | NT | MT | CT |
|---|---|---|---|---|
| pH | 0–5 | 6.68 ± 0.26 a | 6.86 ± 0.17 a | 6.72 ± 0.23 a |
| 5–10 | 5.90 ± 0.14 c | 6.46 ± 0.24 b | 6.77 ± 0.30 a | |
| 10–20 | 6.33 ± 0.22 b | 6.53 ± 0.15 b | 6.51 ± 0.22 a | |
| 20–30 | 6.50 ± 0.16 ab | 6.56 ± 0.21 b | 6.66 ± 0.25 a | |
| 30–40 | 6.65 ± 0.25 a | 6.72 ± 0.25 ab | 6.76 ± 0.10 a | |
| TN (%) | 0–5 | 0.253 ± 0.22 a | 0.202 ± 0.15 c | 0.074 ± 0.22 d |
| 5–10 | 0.161 ± 0.11 c | 0.241 ± 0.21 b | 0.177 ± 0.15 c | |
| 10–20 | 0.242 ± 0.17 ab | 0.292 ± 0.30 a | 0.294 ± 0.28 a | |
| 20–30 | 0.244 ± 0.24 ab | 0.119 ± 0.12 d | 0.271 ± 0.22 b | |
| 30–40 | 0.205 ± 0.20 b | 0.247 ± 0.14 b | 0.075 ± 1.77 d | |
| P (ppm) | 0–5 | 90.57 ± 0.11 a | 36.51 ± 0.21 a | 25.29 ± 0.27 b |
| 5–10 | 80.89 ± 0.20 b | 28.20 ± 0.23 b | 24.17 ± 0.16 b | |
| 10–20 | 31.33 ± 0.24 c | 16.51 ± 0.14 c | 28.81 ± 0.05 a | |
| 20–30 | 29.82 ± 0.20 d | 12.07 ± 0.18 d | 21.46 ± 0.15 c | |
| 30–40 | 24.67 ± 0.12 e | 11.94 ± 0.22 d | 14.97 ± 0.22 d | |
| K (ppm) | 0–5 | 298.10 ± 0.11 a | 286.94 ± 0.22 a | 247.94 ± 0.21 a |
| 5–10 | 226.01 ± 0.12 b | 229.07 ± 0.17 b | 198.04 ± 0.13 c | |
| 10–20 | 214.93 ± 0.28 c | 205.98 ± 0.18 c | 207.92 ± 0.26 b | |
| 20–30 | 205.07 ± 0.16 d | 191.04 ± 0.21 d | 179.95 ± 0.15 d | |
| 30–40 | 199.01 ± 0.11 e | 190.00 ±0.17 d | 197.06 ± 0.23 c |
Disclaimer/Publisher’s Note: The statements, opinions and data contained in all publications are solely those of the individual author(s) and contributor(s) and not of MDPI and/or the editor(s). MDPI and/or the editor(s) disclaim responsibility for any injury to people or property resulting from any ideas, methods, instructions or products referred to in the content. |
© 2026 by the authors. Licensee MDPI, Basel, Switzerland. This article is an open access article distributed under the terms and conditions of the Creative Commons Attribution (CC BY) license.
Share and Cite
Cakpo, S.S.; Rusu, M.; Ghelbere, C.; Mihu, G.D.; Aostăcioaei, T.G.; Boti, I.; Jităreanu, G.; Țopa, D. Synergistic Interactions and Short-Term Impact of Tillage Systems on Soil Physico-Chemical Properties and Organic Carbon Sequestration in North-Eastern Romania. Agriculture 2026, 16, 179. https://doi.org/10.3390/agriculture16020179
Cakpo SS, Rusu M, Ghelbere C, Mihu GD, Aostăcioaei TG, Boti I, Jităreanu G, Țopa D. Synergistic Interactions and Short-Term Impact of Tillage Systems on Soil Physico-Chemical Properties and Organic Carbon Sequestration in North-Eastern Romania. Agriculture. 2026; 16(2):179. https://doi.org/10.3390/agriculture16020179
Chicago/Turabian StyleCakpo, Segla Serginho, Mariana Rusu, Cosmin Ghelbere, Gabriel Dumitru Mihu, Tudor George Aostăcioaei, Ioan Boti, Gerard Jităreanu, and Denis Țopa. 2026. "Synergistic Interactions and Short-Term Impact of Tillage Systems on Soil Physico-Chemical Properties and Organic Carbon Sequestration in North-Eastern Romania" Agriculture 16, no. 2: 179. https://doi.org/10.3390/agriculture16020179
APA StyleCakpo, S. S., Rusu, M., Ghelbere, C., Mihu, G. D., Aostăcioaei, T. G., Boti, I., Jităreanu, G., & Țopa, D. (2026). Synergistic Interactions and Short-Term Impact of Tillage Systems on Soil Physico-Chemical Properties and Organic Carbon Sequestration in North-Eastern Romania. Agriculture, 16(2), 179. https://doi.org/10.3390/agriculture16020179

