Optimizing Tillage and Straw Management for Improved Soil Physical Properties and Yield
Abstract
1. Introduction
2. Materials and Methods
2.1. Site Description
2.2. Experimental Design and Management Practices
2.3. Laboratory Analysis
2.4. Statistical Analysis
3. Results
3.1. Bulk Density and Penetration Resistance
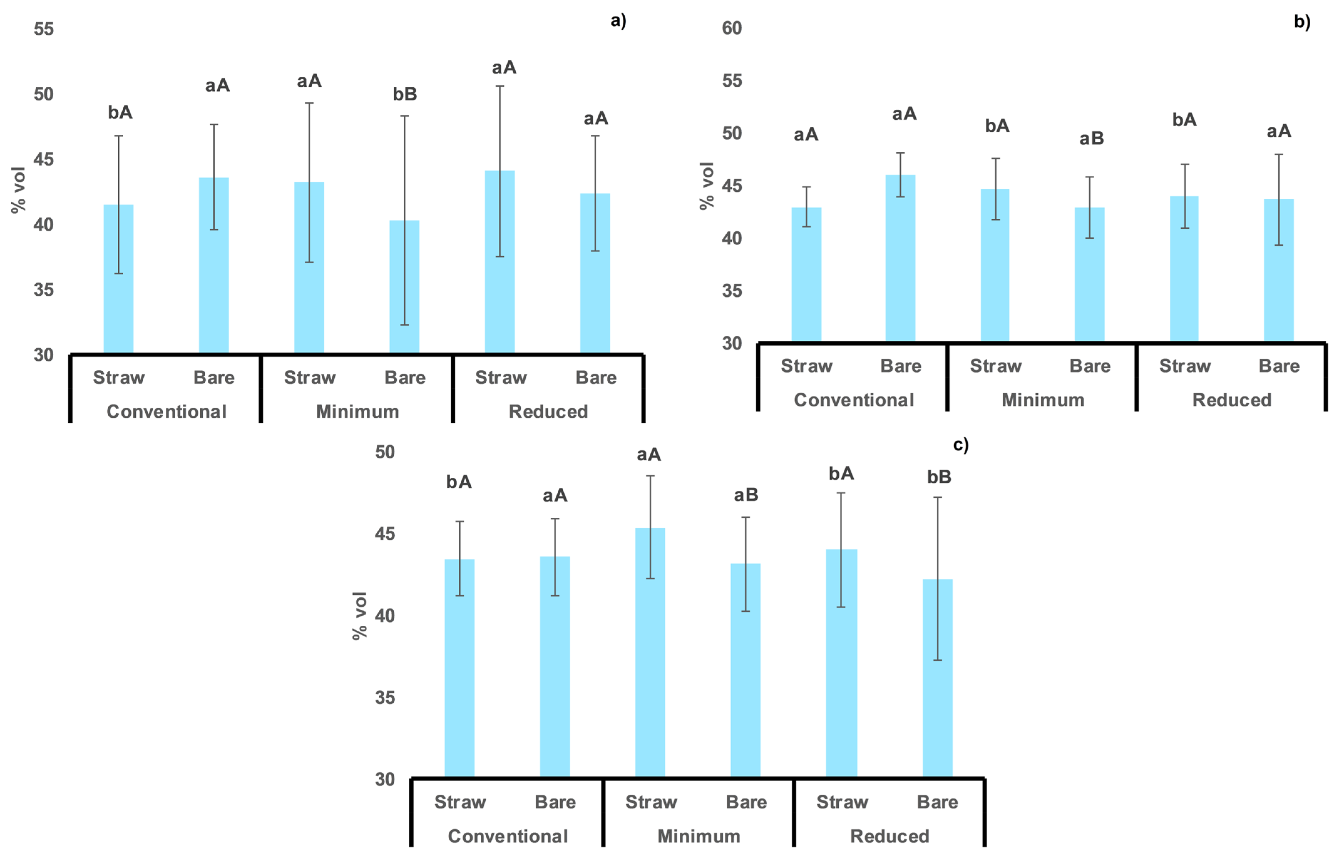
3.2. Water Holding Capacity
3.3. Water-Stable Aggregates
3.4. Soil Organic Matter
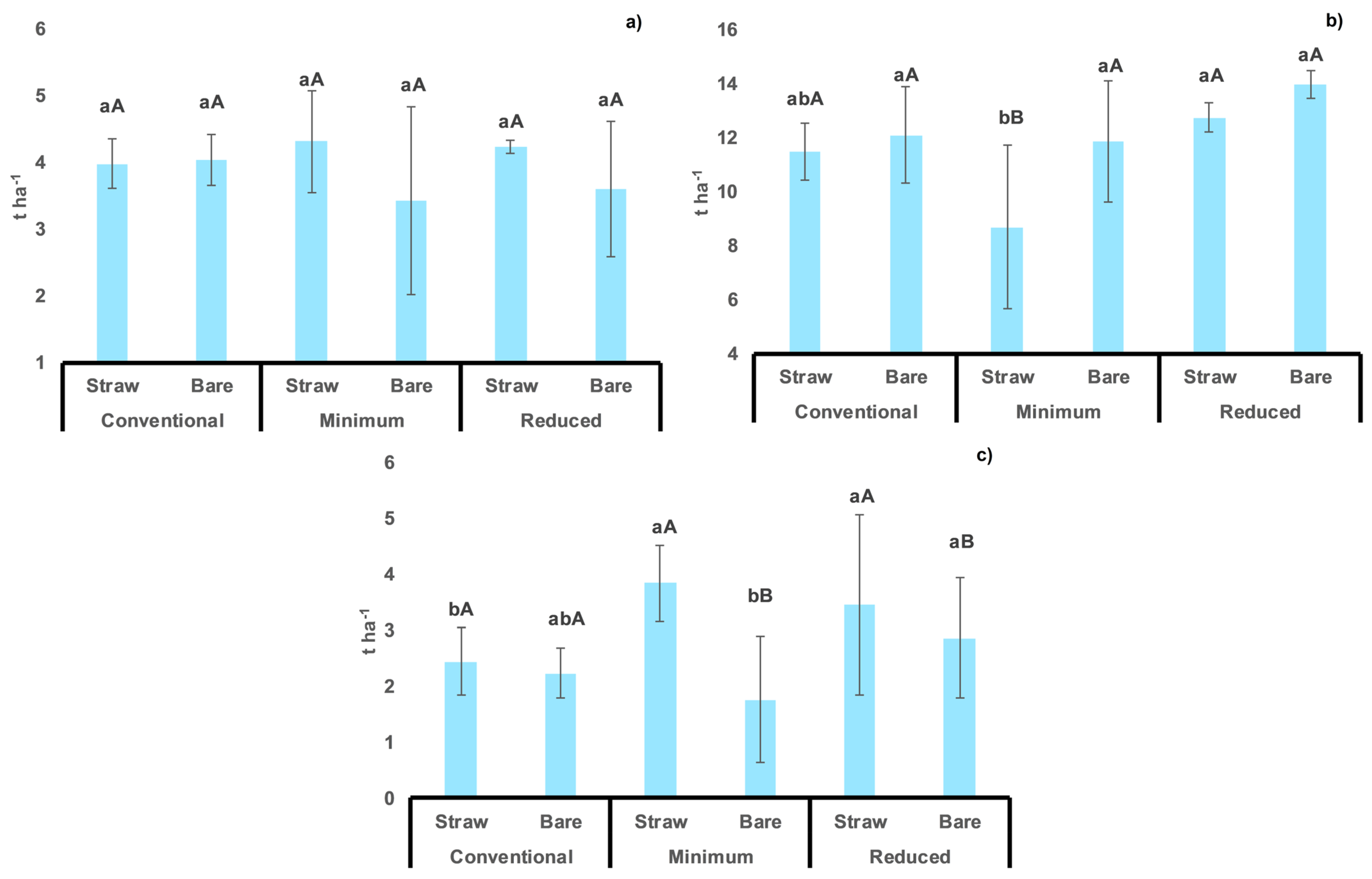
3.5. Yield
4. Discussion
5. Conclusions
Author Contributions
Funding
Data Availability Statement
Conflicts of Interest
References
- Panagos, P.; Montanarella, L.; Barbero, M.; Schneegans, A.; Aguglia, L.; Jones, A. Soil priorities in the European Union. Geoderma 2022, 29, e00510. [Google Scholar] [CrossRef]
- Khan, N.; Ray, R.L.; Kassem, H.S.; Hussain, S.; Zhang, S.; Khayyam, M.; Ihtisham, M.; Asongu, S.A. Potential role of technology innovation in transformation of sustainable food systems: A review. Agriculture 2021, 11, 984. [Google Scholar] [CrossRef]
- Kassam, A.; Friedrich, T.; Derpsch, R. Global spread of conservation agriculture. Int. J. Environ. Stud. 2019, 76, 29–51. [Google Scholar] [CrossRef]
- Birkás, M.; Szemők, A.; Antos, G.; Neményi, M. Environmentally-Sound Adaptable Tillage; Akadémiai Kiadó: Budapest, Hungary, 2008; pp. 150–235. [Google Scholar]
- Arora, N.K. Impact of climate change on agriculture production and its sustainable solutions. Environ. Sustain. 2019, 2, 95–96. [Google Scholar] [CrossRef]
- Calistru, A.E.; Filipov, F.; Cara, I.G.; Cioboată, M.; Țopa, D.; Jităreanu, G. Tillage and Straw Management Practices Influences Soil Nutrient Distribution: A Case Study from North-Eastern Romania. Land 2024, 13, 625. [Google Scholar] [CrossRef]
- Jat, H.S.; Datta, A.; Choudhary, M.; Yadav, A.K.; Choudhary, V.; Sharma, P.C.; Gathala, M.K.; Jat, M.L.; McDonald, A. Effects of tillage, crop establishment and diversification on soil organic carbon, aggregation, aggregate associated carbon and productivity in cereal systems of semi-arid Northwest India. Soil Tillage Res. 2019, 190, 128–138. [Google Scholar] [CrossRef]
- Lv, L.; Zhoubing, G.; Kaihua, L.; Qing, Z.; Junjun, Z. Impact of conservation tillage on the distribution of soil nutrients with depth. Soil Tillage Res. 2023, 225, 105527. [Google Scholar] [CrossRef]
- Yuan, J.; Sadiq, M.; Rahim, N.; Tahir, M.M.; Liang, Y.; Zhuo, M.; Yan, L.; Shaheen, A.; Mahmood, B.; Li, G. Changes in soil properties and crop yield under sustainable conservation tillage Systems in Spring Wheat Agroecosystems. Land 2023, 12, 1253. [Google Scholar] [CrossRef]
- Derpsch, R. Conservation tillage, no-tillage and related technologies. In Conservation Agriculture: Environment, Farmers Experiences, Innovations, Socio-Economy, Policy; García-Torres, L., Benites, J., Martínez-Vilela, A., Holgado-Cabrera, A., Eds.; Springer: Dordrecht, The Netherlands, 2003; pp. 181–190. [Google Scholar] [CrossRef]
- Sadiq, M.; Rahim, N.; Tahir, M.M.; Alasmari, A.; Alqahtani, M.M.; Albogami, A.; Ghanem, K.Z.; Abdein, M.A.; Ali, M.; Mehmood, N.; et al. Conservation tillage: A way to improve yield and soil properties and decrease global warming potential in spring wheat agroecosystems. Front. Microbiol. 2024, 15, 1356426. [Google Scholar] [CrossRef]
- Dekemati, I.; Simon, B.; Bogunovic, I.; Vinogradov, S.; Modiba, M.M.; Gyuricza, C.; Birkás, M. Three-Year Investigation of Tillage Management on the Soil Physical Environment, Earthworm Populations and Crop Yields in Croatia. Agronomy 2021, 11, 825. [Google Scholar] [CrossRef]
- Haider, F.U.; Hussan, M.U.; Akhtar, K.; Liqun, C. Response of mulching and tillage practices on soil management. In Mulching in Agroecosystems: Plants, Soil & Environment; Akhtar, K., Arif, M., Riaz, M., Wang, H., Eds.; Springer Nature: Singapore, 2022; pp. 71–87. [Google Scholar] [CrossRef]
- Iqbal, R.; Raza, M.A.S.; Valipour, M.; Saleem, M.F.; Zaheer, M.S.; Ahmad, S.; Toleikiene, M.; Haider, I.; Aslam, M.U.; Nazar, M.A. Potential agricultural and environmental benefits of mulches—A review. Bull. Natl. Res. Cent. 2020, 44, 75. [Google Scholar] [CrossRef]
- Brezinščak, L.; Bogunović, I. Tillage and straw management impact on soil structure, compaction and soybean yield on fluvisol. J. Central Eur. Agric. 2021, 22, 133–145. [Google Scholar] [CrossRef]
- Schwilch, G.; Laouina, A.; Chaker, M.; Machouri, N.; Sfa, M.; Stroosnijder, L. Challenging conservation agriculture on marginal slopes in Sehoul, Morocco. Renew. Agr. Food Syst. 2015, 30, 233–251. [Google Scholar] [CrossRef]
- Qamar, R.; Ullah, E.; Saqib, M.; Javeed, H.M.R.; Rehman, A.; Ali, A. Influence of tillage and mulch on soil physical properties and wheat yield in rice-wheat system. West Afr. J. Appl. Ecol. 2015, 23, 21–38. [Google Scholar]
- Iqbal, M.; Anwar-ul-Hassan; Ibrahim, M. Effects of Tillage Systems and Mulch on Soil Physical Quality Parameters and Maize (Zea mays L.) Yield in Semi-Arid Pakistan. Biol. Agric. Hortic. 2008, 25, 311–325. [Google Scholar] [CrossRef]
- Sun, L.; Wang, S.; Zhang, Y.; Li, J.; Wang, X.; Wang, R.; Lyu, W.; Chen, N.; Wang, Q. Conservation agriculture based on crop rotation and tillage in the semi-arid Loess Plateau, China: Effects on crop yield and soil water use. Agric. Ecosyst. Environ. 2018, 251, 67–77. [Google Scholar] [CrossRef]
- Ramadhan, M.N. Yield and yield components of maize and soil physical properties as affected by tillage practices and organic mulching. Saudi J. Biol. Sci. 2021, 28, 7152–7159. [Google Scholar] [CrossRef]
- Cullum, R.F. Influence of tillage on maize yield in soil with shallow fragipan. Soil Tillage Res. 2012, 119, 1–6. [Google Scholar] [CrossRef]
- He, C.; Niu, J.R.; Xu, C.T.; Han, S.W.; Bai, W.; Song, Q.L.; Dang, Y.P.; Zhang, H.L. Effect of conservation tillage on crop yield and soil organic carbon in Northeast China: A meta-analysis. Soil Use Manag. 2022, 38, 1146–1161. [Google Scholar] [CrossRef]
- Xiao, L.; Kuhn, N.J.; Zhao, R.; Cao, L. Net effects of conservation agriculture principles on sustainable land use: A synthesis. Glob. Change Biol. 2021, 27, 6321–6330. [Google Scholar] [CrossRef]
- Kottek, M.; Grieser, J.; Beck, C.; Rudolf, B.; Rubel, F. World map of the Köppen-Geiger climate classification updated. Meteorol. Z. 2006, 15, 259–263. [Google Scholar] [CrossRef] [PubMed]
- IUSS Working Group WRB. World Reference Base for Soil Resources 2014, Update 2015. Available online: http://www.fao.org/3/i3794en/I3794en.pdf (accessed on 1 July 2024).
- Black, C.A. Methods of Soil Analysis. Part I; American Society of Agronomy: Madison, WI, USA, 1965; p. 1572. [Google Scholar]
- Díaz-Zorita, M.; Perfect, E.; Grove, J.H. Disruptive methods for assessing soil structure. Soil Tillage Res. 2002, 64, 3–22. [Google Scholar] [CrossRef]
- Kemper, W.D.; Rosenau, R.C. Aggregate stability and size distribution. In Methods of Soil Analysis, Part 1. Physical and Mineralogical Methods; Klute, A., Ed.; American Society of Agronomy: Madison, WI, USA, 1986; pp. 425–444. [Google Scholar]
- Walkley, A.J.; Black, I.A. Estimation of soil organic carbon by the chromic acid titration method. Soil Sci. 1934, 37, 29–38. [Google Scholar] [CrossRef]
- Statsoft. Statistica 14.3 Software; StatSoft Inc.: Hamburg, Germany, 2015. [Google Scholar]
- Silva, W.M.D.; Bianchini, A.; Cunha, C.A.D. Modeling and correction of soil penetration resistance for variations in soil moisture and soil bulk density. Eng. Agrícola 2016, 36, 449–459. [Google Scholar] [CrossRef]
- Hazelton, P.; Murphy, B. Interpreting Soil Test Results: What Do All the Numbers Mean? Csiro Publishing: Collingwood, Australia, 2007; pp. 5–31. [Google Scholar]
- Tebebu, T.Y.; Bayabil, H.K.; Steenhuis, T.S. Can degraded soils be improved by ripping through the hardpan and liming? A field experiment in the humid Ethiopian Highlands. Land Degrad. Dev. 2020, 31, 2047–2059. [Google Scholar] [CrossRef]
- Bogunovic, I.; Pereira, P.; Kisic, I.; Sajko, K.; Sraka, M. Tillage management impacts on soil compaction, erosion and crop yield in Stagnosols (Croatia). Catena 2018, 160, 376–384. [Google Scholar] [CrossRef]
- Vanderhasselt, A.; Steinwidder, L.; D’Hose, T.; Cornelis, W. Opening up the subsoil: Subsoiling and bio-subsoilers to remediate subsoil compaction in three fodder crop rotations on a sandy loam soil. Soil Tillage Res. 2024, 237, 105956. [Google Scholar] [CrossRef]
- Bogunović, I.; Filipović, V. Mulch as a nature-based solution to halt and reverse land degradation in agricultural areas. Curr. Opin. Environ. Sci. Health 2023, 34, 100488. [Google Scholar] [CrossRef]
- Mihretie, F.A.; Tsunekawa, A.; Haregeweyn, N.; Adgo, E.; Tsubo, M.; Ebabu, K.; Masunaga, T.; Kebede, B.; Meshesha, D.T.; Tsuji, W.; et al. Tillage and crop management impacts on soil loss and crop yields in northwestern Ethiopia. Int. Soil Water Conserv. Res. 2022, 10, 75–85. [Google Scholar] [CrossRef]
- Dekemati, I.; Simon, B.; Vinogradov, S.; Birkás, M. The effects of various tillage treatments on soil physical properties, earthworm abundance and crop yield in Hungary. Soil Tillage Res. 2019, 194, 104334. [Google Scholar] [CrossRef]
- Kovács, G.P.; Simon, B.; Balla, I.; Bozóki, B.; Dekemati, I.; Gyuricza, C.; Percze, A.; Birkás, M. Conservation tillage improves soil quality and crop yield in Hungary. Agronomy 2023, 13, 894. [Google Scholar] [CrossRef]
- Wang, S.; Guo, L.; Zhou, P.C.; Wang, X.; Shen, Y.; Han, H.; Ning, T.; Han, K. Effect of subsoiling depth on soil physical properties and summer maize (Zea mays L.) yield. Plant Soil Environ. 2019, 65, 131–137. [Google Scholar] [CrossRef]
- Abdallah, A.M.; Jat, H.S.; Choudhary, M.; Abdelaty, E.F.; Sharma, P.C.; Jat, M.L. Conservation Agriculture Effects on Soil Water Holding Capacity and Water-Saving Varied with Management Practices and Agroecological Conditions: A Review. Agronomy 2021, 11, 1681. [Google Scholar] [CrossRef]
- Fan, W.; Wu, J.; Ahmed, S.; Hu, J.; Chen, X.; Li, X.; Zhu, W.; Opoku-Kwanowaa, Y. Short-Term Effects of Different Straw Returning Methods on the Soil Physicochemical Properties and Quality Index in Dryland Farming in NE China. Sustainability 2020, 12, 2631. [Google Scholar] [CrossRef]
- Babur, E.; Kara, O.; Fathi, R.A.; Susam, Y.E.; Riaz, M.; Arif, M.; Akhtar, K. Wattle fencing improved soil aggregate stability, organic carbon stocks and biochemical quality by restoring highly eroded mountain region soil. J. Environ. Manag. 2021, 288, 112489. [Google Scholar] [CrossRef]
- Kumar, A.; Naresh, R.K.; Singh, S.; Mahajan, N.C.; Singh, O. Soil aggregation and organic carbon fractions and indices in conventional and conservation agriculture under vertisol soils of sub-tropical ecosystems: A review. Int. J. Curr. Microbiol. App. Sci. 2019, 8, 2236–2253. [Google Scholar] [CrossRef]
- Giannitsopoulos, M.L.; Burgess, P.J.; Rickson, J. Effects of conservation tillage drills on soil quality indicators in a wheat-oilseed rape rotation: Organic carbon, earthworms and water stable aggregates. Soil Use Manag. 2020, 36, 139–152. [Google Scholar] [CrossRef]
- Bartlová, J.; Badaliková, B.; Pospíšilová, L.; Pokorný, E.; Šarapatka, B. Water stability of soil aggregates in different systems of tillage. Soil Water Res. 2015, 10, 147–154. [Google Scholar] [CrossRef]
- Thai, S.; Davídek, T.; Pavlů, L. Causes clarification of the soil aggregates stability on mulched soil. Soil Water Res. 2022, 17, 91–99. [Google Scholar] [CrossRef]
- Six, J.; Bossuyt, H.; Degryze, S.; Denef, K. A history of research on the link between (micro)aggregates, soil biota, and soil organic matter dynamics. Soil Tillage Res. 2004, 79, 7–31. [Google Scholar] [CrossRef]
- Lemke, R.L.; VandenBygaart, A.J.; Campbell, C.A.; Lafond, G.P.; Grant, B. Crop residue removal and fertilizer N: Effects on soil organic carbon in a long-term crop rotation experiment on a Udic Boroll. Agric. Ecosyst. Environ. 2010, 135, 42–51. [Google Scholar] [CrossRef]
- Powlson, D.S.; Glendining, M.J.; Coleman, K.; Whitmore, A.P. Implications for soil properties of removing cereal straw: Results from long-term studies. Agron. J. 2011, 103, 279–287. [Google Scholar] [CrossRef]
- Mloza-Banda, M.L.; Cornelis, W.M.; Mloza-Banda, H.R.; Makwiza, C.N.; Verbist, K. Soil properties after change to conservation agriculture from ridge tillage in sandy clay loams of mid-altitude Central Malawi. Soil Use Manag. 2014, 30, 569–578. [Google Scholar] [CrossRef]
- Powlson, D.S.; Bhogal, A.; Chambers, B.J.; Coleman, K.; Macdonald, A.J.; Goulding, K.W.T.; Whitmore, A.P. The potential to increase soil carbon stocks through reduced tillage or organic material additions in England and Wales: A case study. Agric. Ecosyst. Environ. 2012, 146, 23–33. [Google Scholar] [CrossRef]
- Zhu, L.; Hu, N.; Yang, M.; Zhan, X.; Zhang, Z. Effects of Different Tillage and Straw Return on Soil Organic Carbon in a Rice-Wheat Rotation System. PLoS ONE 2014, 9, e88900. [Google Scholar] [CrossRef]
- Jug, I.; Brozović, B.; Ðurdević, B.; Wilczewski, E.; Vukadinović, V.; Stipešević, B.; Jug, D. Response of Crops to Conservation Tillage and Nitrogen Fertilization under Different Agroecological Conditions. Agronomy 2021, 11, 2156. [Google Scholar] [CrossRef]
- Achankeng, E.; Cornelis, W. Conservation tillage effects on European crop yields: A meta-analysis. Field Crop. Res. 2023, 298, 108967. [Google Scholar] [CrossRef]
- Madarász, B.; Juhos, K.; Ruszkiczay-Rüdiger, Z.; Benke, S.; Jakab, G.; Szalai, Z. Conservation tillage vs. conventional tillage: Long-term effects on yields in continental, sub-humid Central Europe, Hungary. Int. J. Agric. Sustain. 2016, 14, 408–427. [Google Scholar] [CrossRef]
- Carr, P.M.; Martin, G.B.; Gunderson, J.J. Impact of Tillage on Spring Wheat Yield. Available online: https://www.ndsu.edu/agriculture/sites/default/files/2022-10/Impact_of_Tillage_on_Spring_Wheat_Yield2007.pdf (accessed on 2 July 2024).
- Guan, D.; Al-Kaisi, M.M.; Zhang, Y.; Duan, L.; Tan, W.; Zhang, M.; Li, Z. Tillage practices affect biomass and grain yield through regulating root growth, root-bleeding sap and nutrients uptake in summer maize. Field Crop. Res. 2014, 157, 89–97. [Google Scholar] [CrossRef]
- Afzalinia, S.; Zabihi, J. Soil compaction variation during corn growing season under conservation tillage. Soil Tillage Res. 2014, 137, 1–6. [Google Scholar] [CrossRef]









| pH (KCl) | 7.49 |
| Organic matter (%) | 3.6 |
| Total nitrogen (%) | 0.2 |
| P2O5 (mg/kg) | 249 |
| K2O (mg/kg) | 214 |
| Bulk density (g/cm3) | 1.34 |
| Water holding capacity (vol %) | 43.7 |
| Clay (<0.002 mm) (%) | 39.3 |
| Silt (0.02–0.002 mm) (%) | 59.6 |
| Sand (0.2–0.02 mm) (%) | 1.1 |
| Operation | Machinery | Working Depth (cm) | Working Width (cm) |
|---|---|---|---|
| Subsoiling | MGW 5 3000; Mandam, Gliwice, Poland | 35–40 | 300 |
| Ploughing | Varimaster 151; Kuhn, Saverne, France | 18–20 | 150 |
| Disc harrowing | Drava 36; OLT, Osijek, Croatia | 10–14 | 395 |
| Multitiller | Grunt 3.0; Dexwal, Busko-Zdrój, Poland | 10–15 | 300 |
| Seedbed perparation | ASI 2; Maschio, Campodarsego, Italy | 1–4 | 185 |
| Sowing | Accord DL300; Kvernerland, Klepp, Norway | 2–6 | 290 |
| Harvest | Nurserymaster Expert; Wintersteiger, Ried, Austria | 300 |
Disclaimer/Publisher’s Note: The statements, opinions and data contained in all publications are solely those of the individual author(s) and contributor(s) and not of MDPI and/or the editor(s). MDPI and/or the editor(s) disclaim responsibility for any injury to people or property resulting from any ideas, methods, instructions or products referred to in the content. |
© 2025 by the authors. Licensee MDPI, Basel, Switzerland. This article is an open access article distributed under the terms and conditions of the Creative Commons Attribution (CC BY) license (https://creativecommons.org/licenses/by/4.0/).
Share and Cite
Brezinscak, L.; Bogunovic, I. Optimizing Tillage and Straw Management for Improved Soil Physical Properties and Yield. Land 2025, 14, 376. https://doi.org/10.3390/land14020376
Brezinscak L, Bogunovic I. Optimizing Tillage and Straw Management for Improved Soil Physical Properties and Yield. Land. 2025; 14(2):376. https://doi.org/10.3390/land14020376
Chicago/Turabian StyleBrezinscak, Luka, and Igor Bogunovic. 2025. "Optimizing Tillage and Straw Management for Improved Soil Physical Properties and Yield" Land 14, no. 2: 376. https://doi.org/10.3390/land14020376
APA StyleBrezinscak, L., & Bogunovic, I. (2025). Optimizing Tillage and Straw Management for Improved Soil Physical Properties and Yield. Land, 14(2), 376. https://doi.org/10.3390/land14020376

