Sign in to use this feature.

Years

Between: -

Subjects

remove_circle_outline
remove_circle_outline
remove_circle_outline
remove_circle_outline
remove_circle_outline
remove_circle_outline
remove_circle_outline
remove_circle_outline
remove_circle_outline

Journals

Article Types

Countries / Regions

Search Results (187)

Search Parameters:
Keywords = mine water inrush

Order results
Result details
Results per page
Select all
Export citation of selected articles as:
12 pages, 827 KB  
Proceeding Paper
Mine Water Inrush Propagation Modeling and Evacuation Route Optimization
by Xuemei Yu, Hongguan Wu, Jingyi Pan and Yihang Liu
Eng. Proc. 2025, 120(1), 40; https://doi.org/10.3390/engproc2025120040 - 3 Feb 2026
Abstract
We modeled water inrush propagation in mines and the optimization of evacuation routes. By constructing a water flow model, the propagation process of water flow through the tunnel network is simulated to explore branching, superposition, and water level changes. The model was constructed [...] Read more.
We modeled water inrush propagation in mines and the optimization of evacuation routes. By constructing a water flow model, the propagation process of water flow through the tunnel network is simulated to explore branching, superposition, and water level changes. The model was constructed based on breadth-first search (BFS) and a time-stepping algorithm. Furthermore, by integrating Dijkstra’s algorithm with a spatio-temporal expanded graph, miners’ evacuation routes were planned, optimizing travel time and water level risk. In scenarios with multiple water inrush points, we developed a multi-source asynchronous model that enhances route safety and real-time performance, enabling efficient emergency response during mine water disasters. For Problem 1 defined in this study, a graph structure and BFS algorithm were used to calculate the filling time of tunnels at a single water inrush point. For Problem 2, we combined the water propagation model with dynamic evacuation route planning, realizing dynamic escape via a spatio-temporal state network and Dijkstra’s algorithm. For Problem 3, we constructed a multi-source asynchronous water inrush dynamic network model to determine the superposition and propagation of water flows from multiple inrush points. For Problem 4, we established a multi-objective evacuation route optimization model, utilizing a time-expanded graph and a dynamic Dijkstra’s algorithm to integrate travel time and water level risk for personalized evacuation decision-making. Full article
(This article belongs to the Proceedings of 8th International Conference on Knowledge Innovation and Invention)
Show Figures

Figure 1

19 pages, 8022 KB  
Article
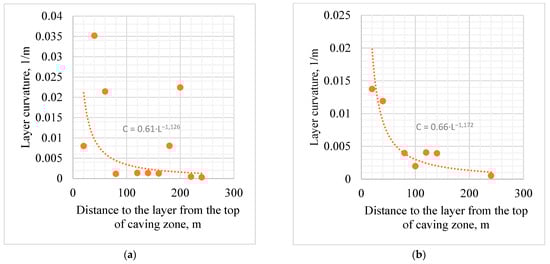
Integrated Physical and Numerical Assessment of the Formation of Water-Conducting Fracture Zones in Deep Ore Mines with Structural Faults
by Egor Odintsov, Zidong Zhao, Vladimir Gusev, Kai Wang and Wenwei Wang
Mining 2026, 6(1), 10; https://doi.org/10.3390/mining6010010 - 3 Feb 2026
Abstract
Mining operations conducted beneath water-bearing strata pose significant risks associated with the development of water-conducting fracture zones in the overburden. The height criterion for this parameter is critical to ensuring the stability of underground mine workings and preventing the risk of water inrush [...] Read more.
Mining operations conducted beneath water-bearing strata pose significant risks associated with the development of water-conducting fracture zones in the overburden. The height criterion for this parameter is critical to ensuring the stability of underground mine workings and preventing the risk of water inrush incidents. The research is based on physical and numerical simulations and aims to forecast the development of the water-conducting fracture zone. The methodology is based on in situ hydrogeology data, geotechnical boreholes, physical 2D modeling of rock strata, discrete element modeling using UDEC, and finite–discrete element modeling using Prorock software. A physical model of layered rock mass is constructed to simulate unfilled excavation areas induced deformation under real polymetallic ore field conditions. Based on the results, relationships between vertical subsidence, layer curvature, inclination, and the height of the water-conducting fracture zone were obtained. Particular attention is given to the effects of tectonic discontinuities, chamber geometry, and backfilling on fracture development. A stepwise excavation sequence is simulated to reproduce field conditions and assess the evolution of stress and deformation fields in the overburden. The study reveals that the propagation of the fracture zone around a mine excavation adheres to a polynomial law, characterized by an increase in height concurrent with the expansion of the excavation. This approach enables the design of safe extraction strategies beneath aquifers or surface water bodies. The proposed framework is expected to enhance prediction accuracy and reduce uncertainties. Full article
Show Figures

Graphical abstract

23 pages, 4415 KB  
Article
Combined Identification Model of Water Inrush Source in Coal Mine Aquifers Based on MIC-FA-Logistic Regression Method: A Case Study of Yangliu Coal Mine, China
by Yaoshan Bi, Xiaorong Zhai, Jiwen Wu, Litong Dou, Dong Li and Fenghui Li
Water 2026, 18(3), 361; https://doi.org/10.3390/w18030361 - 31 Jan 2026
Viewed by 109
Abstract
Rapid and accurate identification of the source of mine water inrush is a key technical challenge in preventing and controlling such accidents. To enhance the accuracy and stability of source identification, this study proposes a combined model integrating maximum information coefficient (MIC) feature [...] Read more.
Rapid and accurate identification of the source of mine water inrush is a key technical challenge in preventing and controlling such accidents. To enhance the accuracy and stability of source identification, this study proposes a combined model integrating maximum information coefficient (MIC) feature selection, factor analysis (FA) for dimensionality reduction, and Multinomial Logistic Regression. First, MIC is utilized to select key variables from hydrochemical indicators that exhibit strong correlations with the water source type, effectively capturing significant nonlinear characteristics. Second, FA is adopted to reduce the dimensionality of the selected features, eliminate multicollinearity, and extract potential common factors. Finally, a combined discrimination model based on MIC-FA-Logistic regression is constructed. Using the Yangliu Coal Mine in the Huaibei Mining Area as a case study, 67 water samples were collected from four aquifers. Nine hydrochemical indicators, specifically Na+ + K+, Ca2+, Mg2+, Cl, HCO3, SO42−, total hardness, pH value, and total alkalinity, were selected as initial variables. MIC effectively quantified the complex correlation strengths between these indicators and the water source types. Consequently, eight indicators (Mg2+, SO42−, Ca2+, total hardness, pH, HCO3, total alkalinity, and Na+ + K+) were selected as key discriminant variables. FA transformed these eight indicators into five new comprehensive variables, optimizing the model’s input structure. The discrimination accuracy rates of the MIC-FA-Logistic regression model for the training and test samples were 89.1% and 95.2%, respectively. This performance is significantly superior to traditional Logistic regression, FA-Logistic regression, MIC-Logistic regression, and SVM models. This study provides a method for discriminating mine water inrush sources characterized by high precision, high stability, and strong interpretability. Full article
(This article belongs to the Section Hydrogeology)
Show Figures

Figure 1

17 pages, 4346 KB  
Study Protocol
Research and Application of Damage Zoning Characteristics and Damage Reduction Techniques in High-Intensity Mining Strata of the Shendong Mining Area
by Yongqiang Zhao, Xiaolong Wang, Jie Fang, Jianqi Ma, Mengyuan Li, Xinjie Liu and Jiangping Yan
Appl. Sci. 2026, 16(3), 1315; https://doi.org/10.3390/app16031315 - 28 Jan 2026
Viewed by 70
Abstract
With the increase in mining intensity and scale, the damage to groundwater resources and surface ecology caused by coal mining has become the main problem facing coal development. Coal mining can cause a redistribution of stress field and stress concentration in local areas [...] Read more.
With the increase in mining intensity and scale, the damage to groundwater resources and surface ecology caused by coal mining has become the main problem facing coal development. Coal mining can cause a redistribution of stress field and stress concentration in local areas of overlying rock, resulting in varying degrees of movement and damage to the overlying rock. Quantitative analysis of the degree of migration and damage in different areas of overlying rock and zoning control is crucial for achieving loss reduction and green mining. In this paper, the overburden damage is divided into regions according to the different causes of formation, regional characteristics of severity, and other factors, and the specific calculation method is given. UDEC7.0 numerical simulation software is used to simulate the overlying rock damage, and the best mining parameters are provided through the area changes in different zones. The research conclusions are as follows: according to the different damage states of overburden rock, the damage of overburden rock can be divided into four parts: I, caving fracture zone, II, fracture development zone, III, sliding failure zone, and IV, slight failure zone. In the four zones, the damage in zones II and IV is relatively light. During the mining process, attention should be given to controlling the development of Zone I to prevent it from abnormally enlarging; for Zone II, hydraulic fracturing can be used when there is a thick, hard key layer that poses a water inrush risk; for Zone III, the focus should be on preventing surface step fractures caused by it. For example, when a thick, hard key layer is present in Zone II, hydraulic fracturing can be applied to avoid large area hanging roofs and severe rock pressure. When the mining height is low, it mainly affects the proportion of regions I and III. With the increase in mining height, the main affected region becomes the II region. The larger the mining height is, the larger the proportion of the II region. With the increase in propulsion speed, the impact range on the surface increases, but the area with severe damage is relatively reduced. With the increase in mining width, the proportion of relatively seriously damaged areas increased. On-site measurements have shown that when the speeds of 120,401 and 22,207 working faces are slow, the rock layer pressure shows a dense state, the overburden fracture is more fully developed, and the area proportion of I and II zones is increased, which reflects the phenomenon of dense surface fracture development on the surface. When the advancing speed is large, the area proportions of zones III and IV increase, and the damage scope decreases. The on-site testing verified the conclusions drawn from theoretical analysis and numerical simulation, which can guide other mines under similar conditions to achieve safe and green production. Full article
(This article belongs to the Special Issue Mining-Induced Rock Strata Damage and Mine Disaster Control)
Show Figures

Figure 1

20 pages, 8380 KB  
Article
Numerical Study on the Permeability Evolution Within Fault Damage Zones
by Yulong Gu, Jiyuan Zhao, Debin Kong, Guoqing Ji, Lihong Shi, Hongtao Li and Zhenguo Mao
Water 2026, 18(1), 134; https://doi.org/10.3390/w18010134 - 5 Jan 2026
Viewed by 362
Abstract
This study investigates the permeability evolution in floor fault damage zones under stress–seepage–damage coupling, with a focus on water inrush risks caused by confined water upward conduction during deep mining. A stochastic fracture geometry model of the fault damage zone was developed using [...] Read more.
This study investigates the permeability evolution in floor fault damage zones under stress–seepage–damage coupling, with a focus on water inrush risks caused by confined water upward conduction during deep mining. A stochastic fracture geometry model of the fault damage zone was developed using the discrete fracture network (DFN) model and the Monte Carlo method. Based on geological data from a mining area in Shandong, a multiphysics-coupled numerical model under mining-induced conditions was established with COMSOL Multiphysics. The simulations visually reveal the dynamic evolution of damage propagation patterns in the floor strata during working face advancement. Results indicate that the damage zone stabilizes after the working face advances to 80 m, with its morphology exhibiting strong spatial correlation to regions of high seepage velocity. Moreover, increasing confined water pressure plays a critical role in driving flow field evolution. Full article
(This article belongs to the Topic Human Impact on Groundwater Environment, 2nd Edition)
Show Figures

Figure 1

13 pages, 1943 KB  
Article
Water Inrush in Roof Bed Separation Due to Extra-Thick Seam Mining and Its Control
by Lihua Ping, Shuangcheng Tang, Baolei Xie, Qiqing Wang, Zexuan Liao, Wei Qiao, Haiyue Lin, Zhiwen Xue and Guanyu Zhao
Water 2026, 18(1), 129; https://doi.org/10.3390/w18010129 - 5 Jan 2026
Viewed by 217
Abstract
This paper takes a fully caving face in a coal mine in western China as an example and analyzes several water-inrush cases in the roof-bed separation of the first mining face. Various causes and characteristics of water inrush in bed separation are also [...] Read more.
This paper takes a fully caving face in a coal mine in western China as an example and analyzes several water-inrush cases in the roof-bed separation of the first mining face. Various causes and characteristics of water inrush in bed separation are also analyzed. The bed separation closure distance in the working face mining was calculated using the thin-slab theory. The results show that the roof-bed separation first closure distance was about 250–300 m, and the cycle closure distance was about 150–175 m. Moreover, a water-in-bed separation-disaster prevention method was proposed by conducting a ground straight-through diversion borehole, which is used for dewatering in bed separation. Furthermore, the groundwater level supplying the roof-bed separation was observed. The results show that the ground straight-through diversion borehole was good for dewatering the bed separation before the closure of the bed separation. This measure eliminated the danger of water inrush in roof-bed separation, which ensures the safe mining of the working face. This study, through the integration of theoretical analysis and engineering practice, proposes and validates a prevention and control technology for water hazards in roof-bed separation based on ground straight-through diversion boreholes, providing a reliable technical approach for safe mining under similar geological conditions. Full article
(This article belongs to the Section Hydrogeology)
Show Figures

Figure 1

21 pages, 8939 KB  
Article
Hydro-Mechanical Behavior and Seepage-Resistance Capacity of a Coal Pillar-Water-Blocking Wall Composite Structure for Goaf Water Hazard Control
by Jinchang Zhao, Pengkai Li, Shaoqing Niu and Xiaoyan Wang
Appl. Sci. 2026, 16(1), 448; https://doi.org/10.3390/app16010448 - 31 Dec 2025
Viewed by 188
Abstract
Water inrush from flooded goaf under high hydraulic head seriously threatens deep coal mining, especially where roadways must be driven close to old workings. This study investigates the seepage and load-bearing behavior of a combined coal pillar and rigid cutoff wall system under [...] Read more.
Water inrush from flooded goaf under high hydraulic head seriously threatens deep coal mining, especially where roadways must be driven close to old workings. This study investigates the seepage and load-bearing behavior of a combined coal pillar and rigid cutoff wall system under coupled mining-excavation-seepage processes. A three-dimensional hydro-mechanical model based on Biot poroelasticity and a stress-damage-permeability relationship is developed in FLAC3D, using a field case from the Yuwu Coal Mine. Different wall thicknesses and mining stages are simulated, and pillar performance is quantified by the elastic-core volume fraction and a permeability-connectivity index. Similar-material shear tests are further carried out to examine sliding behavior at the wall–pillar interface. Simulations show that the composite system reduces peak vertical stress in the pillar by 12–20% during panel retreat (from 54.2 MPa without a wall to 47.7–45.0 MPa with 0.5–2.5 m walls), while the elastic core volume fraction increases from 16.7% to 30.4–50.4% and the minimum elastic core width improves from 0.5 m to 1.5–2.0 m. The wall provides strong lateral confinement, increasing lateral stress within the pillar by up to 50% and preventing hydraulic penetration for wall thicknesses ≥1.0 m. Shear tests reveal critical distances for safe load transfer and support the use of targeted reinforcement at the interface. The findings offer a quantitative basis for designing safe water-control structures in high-pressure goaf environments. Full article
Show Figures

Figure 1

19 pages, 5393 KB  
Article
Mine Water Hazard Video Recognition Based on Residual Preprocessing and Temporal–Spatial Descriptors
by Shuai Zhang, Haining Wang, Yuanze Du, Xinrui Li, Hongrui Luo and Yingwang Zhao
Appl. Sci. 2026, 16(1), 265; https://doi.org/10.3390/app16010265 - 26 Dec 2025
Viewed by 217
Abstract
Traditional water hazard monitoring often relies on manual inspection and water level sensors, typically lacking in accuracy and real-time capabilities. However, the method of using video surveillance for monitoring water hazard characteristics can compensate for these shortcomings. Therefore, this study proposes a method [...] Read more.
Traditional water hazard monitoring often relies on manual inspection and water level sensors, typically lacking in accuracy and real-time capabilities. However, the method of using video surveillance for monitoring water hazard characteristics can compensate for these shortcomings. Therefore, this study proposes a method to detect water hazards in mines using video recognition technology, combining temporal and spatial descriptors to enhance recognition accuracy. This study employs residual preprocessing technology to effectively eliminate complex underground static backgrounds, focusing solely on dynamic water flow features, thereby addressing the issue of the absence of water inrush samples. The method involves analyzing dynamic water flow pixels and applying an iterative denoising algorithm to successfully remove discrete noise points while preserving connected water flow areas. Experimental results show that this method achieves a detection accuracy of 90.68% for gushing water, significantly surpassing methods that rely solely on temporal or spatial descriptors. Moreover, this method not only focuses on the temporal characteristics of water flow but also addresses the challenge of detection difficulties due to the lack of historical gushing water samples. This research provides an effective technical solution and new insights for future water gushing monitoring in mines. Full article
Show Figures

Figure 1

32 pages, 7211 KB  
Article
Risk Assessment of Roof Water Inrush in Shallow Buried Thick Coal Seam Using FAHP-CV Comprehensive Weighting Method: A Case Study of Guojiawan Coal Mine
by Chao Liu, Xiaoyan Chen, Zekun Li, Jun Hou, Jinjin Tian and Dongjing Xu
Water 2025, 17(24), 3571; https://doi.org/10.3390/w17243571 - 16 Dec 2025
Viewed by 395
Abstract
Roof water inrush is a major hazard threatening coal mine safety. This paper addresses the risk of roof water inrush during mining in the shallow-buried Jurassic coalfield of Northern Shaanxi, taking the Guojiawan Coal Mine as a case study. A systematic framework of [...] Read more.
Roof water inrush is a major hazard threatening coal mine safety. This paper addresses the risk of roof water inrush during mining in the shallow-buried Jurassic coalfield of Northern Shaanxi, taking the Guojiawan Coal Mine as a case study. A systematic framework of “identification of main controlling factors–coupling of subjective and objective weighting–GIS-based spatial evaluation” is proposed. An integrated weighting system combining the Fuzzy Analytic Hierarchy Process (FAHP) and the Coefficient of Variation (CV) method is innovatively adopted. Four weight optimization models, including Linear Weighted Method, Multiplicative Synthesis Normalization Method, Minimum Information Entropy Method, and Game Theory Method, are introduced to evaluate 10 main controlling factors, including the fault strength index and sand–mud ratio. The results indicate that the GIS-based vulnerability evaluation model using the Multiplicative Synthesis Normalization Method achieves the highest accuracy, with a Spearman correlation coefficient of 0.9961. This model effectively enables five-level risk zoning and accurately identifies high-risk areas. The evaluation system and zoning results developed in this paper can provide a direct scientific basis for the design of water prevention engineering and precise countermeasures in the Guojiawan Coal Mine and other mining areas with similar geological conditions. Full article
Show Figures

Figure 1

33 pages, 4262 KB  
Article
Intelligent Prediction and Prevention of Coal Mine Water Inrush: Integrating Hybrid Data Augmentation, HO-SVR, and RAG-LLM Technologies
by Ke He, Changfeng Wang and Qiushuang Zheng
Water 2025, 17(24), 3534; https://doi.org/10.3390/w17243534 - 13 Dec 2025
Viewed by 437
Abstract
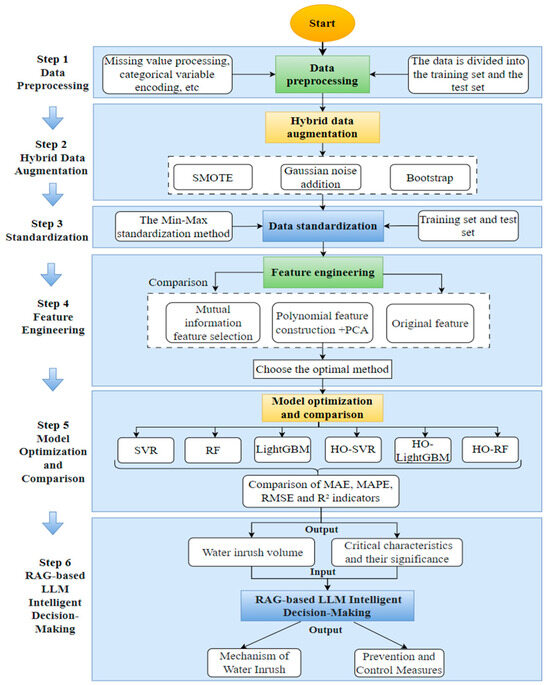
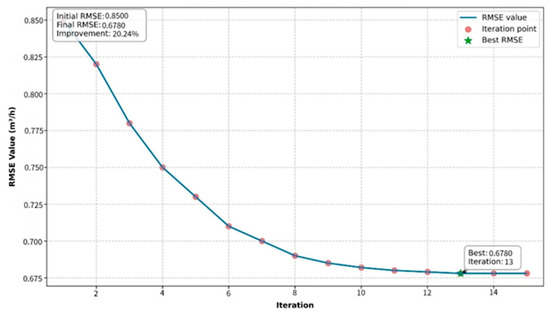
This study proposes a novel integrated framework that combines a Hippopotamus-Optimized Support Vector Regression (HO-SVR) prediction model with a Retrieval-Augmented Generation-enhanced Large Language Model (RAG-LLM)-based intelligent decision module, addressing the core challenge of bridging prediction and prevention in coal mine water inrush disasters. [...] Read more.
This study proposes a novel integrated framework that combines a Hippopotamus-Optimized Support Vector Regression (HO-SVR) prediction model with a Retrieval-Augmented Generation-enhanced Large Language Model (RAG-LLM)-based intelligent decision module, addressing the core challenge of bridging prediction and prevention in coal mine water inrush disasters. It represents the first application of the combined HO-SVR and RAG-LLM approach in this field. Methodologically, a hybrid data augmentation technique (SMOTE–GN–Bootstrap) alleviates data scarcity and imbalance, while feature selection and dimensionality reduction optimize the input features. The developed HO-SVR model demonstrates superior prediction accuracy over benchmark models. The key innovation lies in the RAG-LLM module which automatically generates interpretable reports and actionable prevention strategies based on the prediction results and key influencing factors, thereby establishing a closed-loop intelligent system from accurate prediction to informed prevention. Practically, this framework enables proactive risk management through data-driven predictions, significantly reduces water inrush incidents, and provides intelligent decision support for field operations, substantially enhancing mine safety. Furthermore, the study discusses the model’s potential and challenges across different geological settings, charting a course for developing more generalized models Full article
Show Figures

Figure 1

17 pages, 8006 KB  
Article
Research on Characteristics and Control Methods of Roof Water Inflow in Syncline Structure Mining Area Under High-Confined Aquifer
by Tao Luo, Gangwei Fan, Shizhong Zhang, Zihan Kong, Shaodong Li, Lei Zhang and Zhenxiang Wei
Sustainability 2025, 17(24), 10961; https://doi.org/10.3390/su172410961 - 8 Dec 2025
Viewed by 212
Abstract
Investigating the evolution mechanism of overlying strata fractures during mining and identifying the key factors that influence the development height of water-conducting fracture zones (WCFZs) are essential for preventing roof water inrush disasters, protecting mine water resources, and ensuring safe and sustainable mine [...] Read more.
Investigating the evolution mechanism of overlying strata fractures during mining and identifying the key factors that influence the development height of water-conducting fracture zones (WCFZs) are essential for preventing roof water inrush disasters, protecting mine water resources, and ensuring safe and sustainable mine development. To investigate the height of WCFZs and the evolution law of roof water inflow in a syncline structure working face under high-confined aquifer conditions, the 203 working face of Gaojiapu Coal Mine in Binchang Coalfield is selected as the engineering case. This paper analyzes the characteristics and control mechanisms of roof water inflow in a syncline structure mining area using UDEC 7.0 and COMSOL Multiphysics 6.0 multiphysics numerical simulation software. The results indicate that under different mining heights and advancing speeds, the height of the WCFZ in the overlying strata of a syncline structure working face continuously increases during the downward mining stage and in areas below the axis, and decreases thereafter, eventually stabilizing after reaching its maximum value at the initial stage of upward mining. When the WCFZ communicates with the strong aquifer of the Cretaceous Luohe Formation during the mining process, roof water inflow into the working face increases abruptly. The effectiveness of controlling water inflow by adjusting mining height is superior to that of controlling mining speed. Based on the response relationship between mining height, mining speed, and roof WCFZ, an on-site drainage prevention strategy was implemented involving reduced mining height and increased mining speed. Consequently, the roof water inflow at the working face has decreased from an initial rate of 950 m3/h to 360 m3/h. This study is of great significance for the safe and efficient extraction of coal seams under high-confined aquifers in the Binchang Coalfield, supporting the efficient development of coal resources while safeguarding regional water resources, thereby offering considerable engineering and practical value in promoting green mining and sustainable mining practices in large-scale coal production bases with similar geological conditions. Full article
Show Figures

Figure 1

22 pages, 6086 KB  
Article
Beyond Static Fingerprints to Dynamic Evolution: A CNN–LSTM–Attention Model for Identifying Coal Mine Water Inrush Sources in Northern China
by Shaobo Yin, Chenglin Chang, Mingwei Zhang, Gang Wang, Qimeng Liu and Qiding Ju
Processes 2025, 13(12), 3906; https://doi.org/10.3390/pr13123906 - 3 Dec 2025
Viewed by 423
Abstract
Mine water inrush poses a severe threat to coal mine safety, making rapid and accurate identification of water sources essential. Existing methods, including conventional hydrochemical diagrams and machine learning, struggle with high-dimensional, nonlinear hydrogeochemical data characterized by implicit temporal dynamics. This study proposes [...] Read more.
Mine water inrush poses a severe threat to coal mine safety, making rapid and accurate identification of water sources essential. Existing methods, including conventional hydrochemical diagrams and machine learning, struggle with high-dimensional, nonlinear hydrogeochemical data characterized by implicit temporal dynamics. This study proposes an intelligent identification model integrating convolutional neural networks (CNNs), long short-term memory (LSTM), and an attention mechanism (CNN–LSTM–Attention). The model employs a CNN to extract local fingerprint features from hydrochemical indicators (K++Na+, Ca2+, Mg2+, Cl, SO42−, and HCO3), uses LSTM to model evolutionary patterns, and leverages an attention mechanism to adaptively focus on critical discriminative features. Based on 76 water samples from the Tangjiahui Coal Mine, the model achieved 91% accuracy on the test set, outperforming standalone CNN, LSTM, and CNN–LSTM models. Visualization of attention weights further revealed key diagnostic indicators, enhancing interpretability and bridging data-driven methods with hydrogeochemical mechanisms. This study provides a powerful and interpretable tool for water inrush source identification, supporting the transition toward intelligent and transparent coal mine water hazard prevention. Full article
(This article belongs to the Special Issue Safety Monitoring and Intelligent Diagnosis of Mining Processes)
Show Figures

Figure 1

15 pages, 6704 KB  
Article
Electromagnetic Response Characteristics and Applications of Numerical Simulation of Geoelectricity in Water-Rich Areas of Mines
by Yunlan He, Kexin Li, Suping Peng, Xikai Wang, Zibo Tian and Lulu Fang
Appl. Sci. 2025, 15(23), 12566; https://doi.org/10.3390/app152312566 - 27 Nov 2025
Viewed by 439
Abstract
Mine water inrush remains one of the major hazards threatening the safety of coal mining operations. To assess the feasibility of integrating transient electromagnetic (TEM) and direct-current (DC) methods for advanced detection in underground settings, a three-dimensional geoelectric forward model for both techniques [...] Read more.
Mine water inrush remains one of the major hazards threatening the safety of coal mining operations. To assess the feasibility of integrating transient electromagnetic (TEM) and direct-current (DC) methods for advanced detection in underground settings, a three-dimensional geoelectric forward model for both techniques was developed in COMSOL Multiphysics based on the fundamental principles of electromagnetic prospecting. The model was used to examine the electromagnetic responses of water-rich anomalies surrounding mine roadways under different source configurations and spatial positions. Comparative analyses show that both DC and TEM methods effectively detect water-bearing targets within 40 m of the roadway, whereas TEM exhibits superior sensitivity at greater distances. TEM achieves its highest sensitivity when the anomaly is located within an azimuthal range of 30–45°. The characteristic response patterns derived from the simulations were applied to interpret field data acquired at the Tashan Coal Mine. The interpretation successfully delineated the presence and orientation of the water-bearing body ahead of the excavation face, and subsequent underground drilling verified the accuracy of the predictions. These findings demonstrate that COMSOL-based electromagnetic forward modeling provides a reliable framework for interpreting advanced geophysical detection data and is feasible for practical applications in mine water-inrush hazard assessment. Full article
(This article belongs to the Special Issue Hydrogeology and Regional Groundwater Flow)
Show Figures

Figure 1

22 pages, 8479 KB  
Article
Coal-Free Zone Genesis and Logging Response Characterization Using a Multi-Curve Signal Analysis Framework
by Xiao Yang, Yanrong Chen, Longqing Shi, Xingyue Qu and Song Fu
Entropy 2025, 27(12), 1183; https://doi.org/10.3390/e27121183 - 21 Nov 2025
Viewed by 343
Abstract
Coal-free zones, particularly scouring zones, reduce recoverable reserves and increase water inrush risk in coal mining. Existing sedimentological, geophysical, and geostatistical methods are often constrained by coring conditions, lithological interpretation accuracy, and geological complexity. Given that well log signals provide the most continuous [...] Read more.
Coal-free zones, particularly scouring zones, reduce recoverable reserves and increase water inrush risk in coal mining. Existing sedimentological, geophysical, and geostatistical methods are often constrained by coring conditions, lithological interpretation accuracy, and geological complexity. Given that well log signals provide the most continuous carriers of geological information, this study integrates Singular Spectrum Analysis (SSA), Maximum Entropy Spectral Analysis (MESA), and Integrated Prediction Error Filter Analysis (INPEFA) to establish a multi-curve framework for analyzing the genesis and logging responses of coal-free zones. A two-stage SSA workflow was applied for noise reduction, and a Trend–Fluctuation Composite (TFC) curve was constructed to enhance depositional rhythm detection. The minimum singular value order (N), naturally derived from SSA-decomposed INPEFA curves, emerged as a quantitative indicator of mine water inrush risk. The results indicate that coal-free zones resulted from inhibited peat-swamp development followed by fluvial scouring and are characterized by dense inflection points and frequent cyclic fluctuations in TFC curves, together with the absence of low anomalies in natural gamma-ray logs. By integrating multi-curve logs, core data, and in-mine three-dimensional direct-current resistivity surveys, the genetic mechanisms and boundaries of coal-free zones were effectively delineated. The proposed framework enhances logging-based stratigraphic interpretation and provides practical support for working face layout and mine water hazard prevention. Full article
(This article belongs to the Special Issue Entropy-Based Time Series Analysis: Theory and Applications)
Show Figures

Figure 1

17 pages, 2644 KB  
Article
Numerical Simulation of Clay Layer Permeability Failure Under Loose Strata: Effects of Mining-Induced Fracture Width
by Yuan Hang, Jinwei Li, Shichong Yuan, Dengkui Zhang and Chuanyong Wei
Appl. Sci. 2025, 15(22), 12318; https://doi.org/10.3390/app152212318 - 20 Nov 2025
Viewed by 359
Abstract
Based on the problem of water and sand inrush caused by the infiltration and failure of the clay layer at the bottom of the loose layer in shallow coal seam mining in eastern China, this study adopts the Particle Flow Code numerical simulation [...] Read more.
Based on the problem of water and sand inrush caused by the infiltration and failure of the clay layer at the bottom of the loose layer in shallow coal seam mining in eastern China, this study adopts the Particle Flow Code numerical simulation method to conduct multi-physics field coupling analysis. Based on the geological conditions of Taiping Coal Mine in Shandong Province, a two-dimensional water sand clay coupling model was constructed to systematically simulate the entire process of permeability failure of clay layers under different mining crack widths (5–20 mm). The permeability failure mechanism was revealed through porosity distribution, particle contact number, and contact force evolution laws. The numerical simulation results show that with the increase in crack width, the speed of contact reduction is faster, the speed of water and inrush is faster, and the time is shorter. The process of infiltration failure can be divided into two stages: the first stage is the clay infiltration deformation stage, and the second stage is the water inrush and sand collapse stage. In addition, the larger the width of the crack, the greater the contact force, and the shorter the time of infiltration failure and water and sand bursting experienced. The quantitative relationship between the width of mining induced cracks and permeability failure was revealed, and a critical discrimination index for permeability failure in clay layers was established, providing theoretical support for optimizing safe mining parameters and preventing water and sand inrush disasters in porous aquifers. Full article
(This article belongs to the Special Issue Hydrogeology and Regional Groundwater Flow)
Show Figures

Figure 1

Back to TopTop