Numerical Study on the Permeability Evolution Within Fault Damage Zones
Abstract
1. Introduction
2. Materials and Methods
2.1. Discrete Fracture Network Model
2.2. Fundamentals of the Monte Carlo Method
2.2.1. Generation of Uniformly Distributed Random Numbers
2.2.2. Transformation to Target Distribution Random Numbers
- 1.
- The geometric parameters of fractures in the fracture network studied in this paper include: major semi-axis length and minor semi-axis length of the ellipse, fracture density, fracture dip angle, and coordinates of the fracture center point.
- 2.
- The major semi-axis length of the ellipse reflects the spatial extent of fracture propagation, while the minor semi-axis length characterizes the fracture aperture.
- 3.
- Fractures in the network are mathematically described by the elliptical equation:
- 4.
- The total number of fractures is determined by multiplying the area of the generation domain by the fracture density.
- 5.
- If a generated fracture extends partially beyond the study domain boundary, the portion outside the boundary is truncated. Fractures lying entirely outside the study domain boundary are discarded from the model.
2.2.3. Determination of Geometric Parameters for the Fracture Network Model
2.3. Solid Mechanics Equilibrium Equation
2.4. Seepage Equation
2.5. Damage Criterion Equation
2.5.1. Tensile Damage Criterion
2.5.2. Damage Variable Definition
2.5.3. Permeability Equation Considering Damage Variable
2.6. Working Face Overview
2.7. Basic Model Assumptions
- 1.
- The interfacial effects between adjacent rock layers are neglected, and each layer is treated as a homogeneous, isotropic medium.
- 2.
- The rock mass is fully saturated with groundwater, and only single-phase fluid flow is considered.
- 3.
- The rock mass is modeled as a saturated poroelastic medium, and its deformation is assumed to be small.
- 4.
- Groundwater flow in the porous medium follows Darcy’s law.
- 5.
- The mining area is considered to be under constant temperature, and thermal effects are neglected due to minimal temperature variations.
2.8. Geometric Model Construction
2.9. Finite Element Mesh Generation
2.10. Boundary Conditions
2.11. Material Properties
2.12. Research Scheme
3. Results
3.1. Model Solution Error Verification
3.2. Analysis of Stress Field Distribution Under Different Advance Distances
3.3. Analysis of Darcy Velocity Field Under Different Confined Water Pressures
4. Conclusions
- 1.
- The introduction of the fault damage zone enables more realistic simulation of both intact rock mass and fractured zones, providing an intuitive representation of mining-induced damage propagation, stress field distribution, and Darcy velocity field evolution within the floor strata and fault-affected areas. This approach simultaneously simplifies the complex computations arising from fracture heterogeneity, thereby establishing a novel methodology for numerical simulation of mining-induced fault activation and water inrush from floor strata.
- 2.
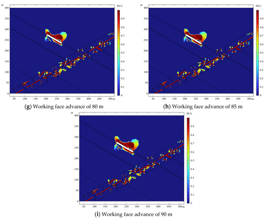
- Analysis of the influence of working face advancement on damage zone evolution and stress field distribution reveals that the floor damage zone progressively expands with mining activity, stabilizing after the working face advances to 80 m. This demonstrates the existence of a limit to floor failure depth, with the maximum developed failure depth reaching 18.03 m. Furthermore, damage propagation within the fault damage zone exhibits significant spatial constraints and localized concentration characteristics.
- 3.
- Analysis of the influence of confined water pressure on Darcy velocity field distribution indicates a non-uniform seepage field distribution, where high-velocity zones show strong spatial correlation with damage areas. This suggests a synergistic enhancement effect between water pressure and damage evolution. Increasing water pressure promotes the extension and interconnection of pre-existing fractures while enhancing rock mass permeability. The combined action of these mechanisms leads to substantial changes in the seepage field, with water pressure serving as the primary driving force for fluid flow and demonstrating a significant positive effect on seepage velocity.
Author Contributions
Funding
Data Availability Statement
Acknowledgments
Conflicts of Interest
References
- Han, Z.; Liu, H.; Guo, X.; Liang, J.; Qiao, Z.; Cao, C.; Guo, L.; Chen, X. Damage evolution and failure warning in early-age flexible-formwork concrete for underground support. Geohazard Mech. 2025, 3, 187–196. [Google Scholar] [CrossRef]
- Yang, J. Study on the Water Inrush Law and Catastrophic Model of Coal Seam Floor in Deep Mining of Handan-Xingtai Mining Area. Master’s Thesis, North China Institute of Science and Technology, Langfang, China, 2020. [Google Scholar]
- Yang, W.; Wang, H.; Yang, X.; Zhang, B.; Yang, L.; Fang, Z.; Wang, M. Development and application of tunnel water inrush model test system under high ground stress and high water pressure. Chin. J. Rock Mech. Eng. 2017, 36, 3992–4001. [Google Scholar]
- Liang, K.; Li, Y.; Bai, Y.; Zhang, W.; Han, C.; Xie, D.; Liang, S.; Xi, B. Water-Richness Evaluation of Sandstone Aquifer Based on Set Pair Analysis Variable Fuzzy Set Coupling Method: A Case Study on Bayangaole Mine, China. Water 2025, 17, 1826. [Google Scholar] [CrossRef]
- Jiao, H.; Lun, Z.; Ni, Y.; Chang, Z.; Fan, L.; Ma, L. Evaluation of Water-Inrush Risk and Water-Preserved Mining Under Goaf Water. Water 2025, 17, 1734. [Google Scholar] [CrossRef]
- Zhang, S.; Huang, P.; Li, Y.; Wang, C.; Wu, Z. Regularity and mechanisms of water-sand inrushes within mining-activated faults. Coal Geol. Explor. 2017, 36, 3992–4001. [Google Scholar]
- Wen, Y.; Meng, F.; Liu, P.; Li, Z.; Cai, Q.; Wang, F.; Liu, J. Rockburst failure time prediction based on a fuzzy comprehensive evaluation method using the acoustic emission. Geohazard Mech. 2025, 3, 220–230. [Google Scholar] [CrossRef]
- Huang, D.; Zhu, Y.; Qiao, S.; Xing, D.; Wang, X. Numerical experiments on maero-and miero damage characteristiesof red sandstone with pore double fractures. J. Shandong Univ. Sci. Technol. (Nat. Sci.) 2023, 42, 32–42. [Google Scholar]
- Fang, P. Simulation and Application of Channel Slope Seepage Based on Random Fissures. Master’s Thesis, University of Jinan, Jinan, China, 2022. [Google Scholar]
- Zhong, J.; Li, B.; Song, Z.; Zou, L. Numerical Study on Grouting Reinforcement Effect on Fractured Rock Masses of Tunnels Based on Discrete Fracture Networks. Chin. J. Undergr. Space Eng. 2024, 20, 1286–1297. [Google Scholar]
- He, Y. Coupled Unsteady Seepage and Stress Fields Indiscrete Fracture Rock Mass. Master’s Thesis, Xi’an University of Technology, Xi’an, China, 2007. [Google Scholar]
- Wang, X. Numerical Study on Equivalent Permeability of Fractured Rock Masses by Using Stochastic Discrete Fracture Networks and Fractal Dimension Method. Master’s Thesis, ShanDong University, Jinan, China, 2014. [Google Scholar]
- Chen, H.; Wang, Y.; Wu, H.; Li, B.; Yang, T.; Li, X. Analysis of instability mechanisms in high-steep rock slopes controlled by discrete fracture networks. J. Eng. Geol. 2025, 1–15. [Google Scholar] [CrossRef]
- Yang, L. Analysis Of Stress and Seepage Field Changes in Goaf Floor Based on Multiphysical Field Coupling. Master’s Thesis, Guangxi University, Nanning, China, 2023. [Google Scholar]
- Gong, X.; Ma, D.; Wu, L.; Li, Q.; Li, Z.; Du, F.; Qiao, R.; Han, J. Water Inrush Mechanism During Mining Adjacent to Large Water-Conducting Faults. Water 2025, 17, 1508. [Google Scholar] [CrossRef]
- Sun, W.; Liu, Q.; Wang, X.; Li, L.; Chen, Q.; Yang, H. Dynamic Evolution of Permeability Coefficient and Delayed Water Inrush Mechanism in Fault Zones Under Mining-Induced Stress-Seepage Coupling. Min. Saf. Environ. Prot. 1–10. Available online: https://link.cnki.net/urlid/50.1062.td.20250528.1639.002 (accessed on 29 May 2025).
- Bian, K.; Li, S.; Liu, B. Study on water inrush law of mining floor in coal seam with fault above confined water. Saf. Coal Mines 2022, 53, 169–177. [Google Scholar]
- An, T.; Yao, B.; Li, S.; Du, F.; Li, Z.; Wang, G. Study on the fault erosion-seepage rule under the effect of floor confined water. J. Min. Saf. Eng. 2023, 40, 354–360. [Google Scholar] [CrossRef]
- Feng, Y.; Lin, Z.; Wang, W. Research on water inrush disaster law from coal mine floor with concealed small fault under mining. Saf. Coal Mines 2022, 53, 200–209. [Google Scholar]
- Wang, J.; Jiang, A.; Song, Z. An elastoplastie stress-seepage-damage coupling model of rock (II): Parametric inversion and numerical simulation. Rock Soil Mech. 2015, 36, 3606–3614. [Google Scholar]
- Xu, L.; Cai, F.; Chen, G.; Wang, G. Implementation of nonlinear dynamic constitutive model in FLAC3D with considering cyclic softening behaviors of soils. Rock Soil Mech. 2016, 37, 3329–3335. [Google Scholar]
- Yi, K.; Li, F.; Shang, Q.; Liu, J. Study on the Failure Mechanism of Jointed Rock Mass Based on Seepage stress Coupling Distinet Element Model. Min. Res. Dev. 2017, 37, 55–58. [Google Scholar]
- Merrett, C.; Baldassarre, A.; Balsara, H.; Martinez, M. Benchmarking finite element analysis of linear viscoelastic materials using a beam model. Mech. Time-Depend. Mater. 2025, 29, 22. [Google Scholar] [CrossRef]
- Huang, T. Coupling study among seepage-stress-temperature in fractured rockmass. Chin. J. Rock Mech. Eng. 2022, 21, 77–82. [Google Scholar]
- Bear, J. Dynamics of Fluids in Porous Media; China Architecture & Building Press: Beijing, China, 1983. [Google Scholar]
- Kong, X.; Li, D.; Xu, X.; Lu, D. Study on mathematical models of fluid-solid-thermal coupling seepage. J. Hydrodyn. 2005, 2, 269–275. [Google Scholar] [CrossRef]
- Xue, Y.; Liu, Y.; Dang, F.; Liu, J.; Ma, Z.; Zhu, L.; Yang, H. Assessment of the nonlinear flow characteristic of water inrush based on the brinkman and forchheimer seepage model. Water 2019, 11, 855. [Google Scholar] [CrossRef]
- Zhu, W.; Tang, C.; Yang, T.; Liang, Z. Constitutive relationship of mesoscopic elements used in rfpazd and its validations. Chin. J. Rock Mech. Eng. 2003, 22, 24–29. [Google Scholar]
- Zhu, W.; Wei, C.; Tian, J.; Yang, T.H.; Tang, C.A. Coupled thermal-hydraulic-mechanical model during rock damage and its preliminary application. Rock Soil Mech. 2009, 30, 3851–3857. [Google Scholar]
- GB 51070-2014; Code for Design of Coal Mine Water Prevention and Control. China Planning Press: Beijing, China, 2014.
- Guan, Y.; Li, M.; Jin, K. Study on mining-induced failure characteristics of coal seam floor. Saf. Coal Mines 2003, 2, 29–32. [Google Scholar] [CrossRef]









| Center Point | Density | ||||||
|---|---|---|---|---|---|---|---|
| Uniform Distribution | Normal Distribution | Log-Normal Distribution | |||||
| Mean | Variance | Mean | Variance | ||||
| 1 | 45 | 6 | 6 | 10 | 0.3 | 0.005 | |
| 2 | 135 | 10 | 4 | 8 | 0.3 | 0.005 | |
| Overlying Strata | Coal Seam | Floor Strata | Aquiclude 1 | Aquiclude 2 | Aquifer | |
|---|---|---|---|---|---|---|
| Young’s Modulus, E (GPa) | 5.0 | 7.0 | 8.0 | 9.0 | 5.0 | 9.0 |
| Poisson’s Ratio ν | 0.27 | 0.29 | 0.27 | 0.27 | 0.29 | 0.27 |
| Density ρ (kg/m3) ρkg/m3 | 2420 | 1350 | 2420 | 2170 | 2530 | 2500 |
| Compressive Strength fc0 (Mpa) | 15.1 | 5.0 | 23.9 | 59.5 | 15.1 | 59.5 |
| Tensile Strength, ft0 (Mpa) | 3.2 | 0.8 | 3.5 | 4.2 | 5.1 | 4.8 |
|
Internal Friction Angle, Internal Friction Angle, | 33 | 32 | 34 | 33 | 32 | 34 |
Disclaimer/Publisher’s Note: The statements, opinions and data contained in all publications are solely those of the individual author(s) and contributor(s) and not of MDPI and/or the editor(s). MDPI and/or the editor(s) disclaim responsibility for any injury to people or property resulting from any ideas, methods, instructions or products referred to in the content. |
© 2026 by the authors. Licensee MDPI, Basel, Switzerland. This article is an open access article distributed under the terms and conditions of the Creative Commons Attribution (CC BY) license.
Share and Cite
Gu, Y.; Zhao, J.; Kong, D.; Ji, G.; Shi, L.; Li, H.; Mao, Z. Numerical Study on the Permeability Evolution Within Fault Damage Zones. Water 2026, 18, 134. https://doi.org/10.3390/w18010134
Gu Y, Zhao J, Kong D, Ji G, Shi L, Li H, Mao Z. Numerical Study on the Permeability Evolution Within Fault Damage Zones. Water. 2026; 18(1):134. https://doi.org/10.3390/w18010134
Chicago/Turabian StyleGu, Yulong, Jiyuan Zhao, Debin Kong, Guoqing Ji, Lihong Shi, Hongtao Li, and Zhenguo Mao. 2026. "Numerical Study on the Permeability Evolution Within Fault Damage Zones" Water 18, no. 1: 134. https://doi.org/10.3390/w18010134
APA StyleGu, Y., Zhao, J., Kong, D., Ji, G., Shi, L., Li, H., & Mao, Z. (2026). Numerical Study on the Permeability Evolution Within Fault Damage Zones. Water, 18(1), 134. https://doi.org/10.3390/w18010134

