Intelligent Prediction and Prevention of Coal Mine Water Inrush: Integrating Hybrid Data Augmentation, HO-SVR, and RAG-LLM Technologies
Abstract
1. Introduction
2. Literature Review
2.1. Research on Coal Mine Water Inrush Prediction
2.2. Research Gaps
2.3. Research Objectives
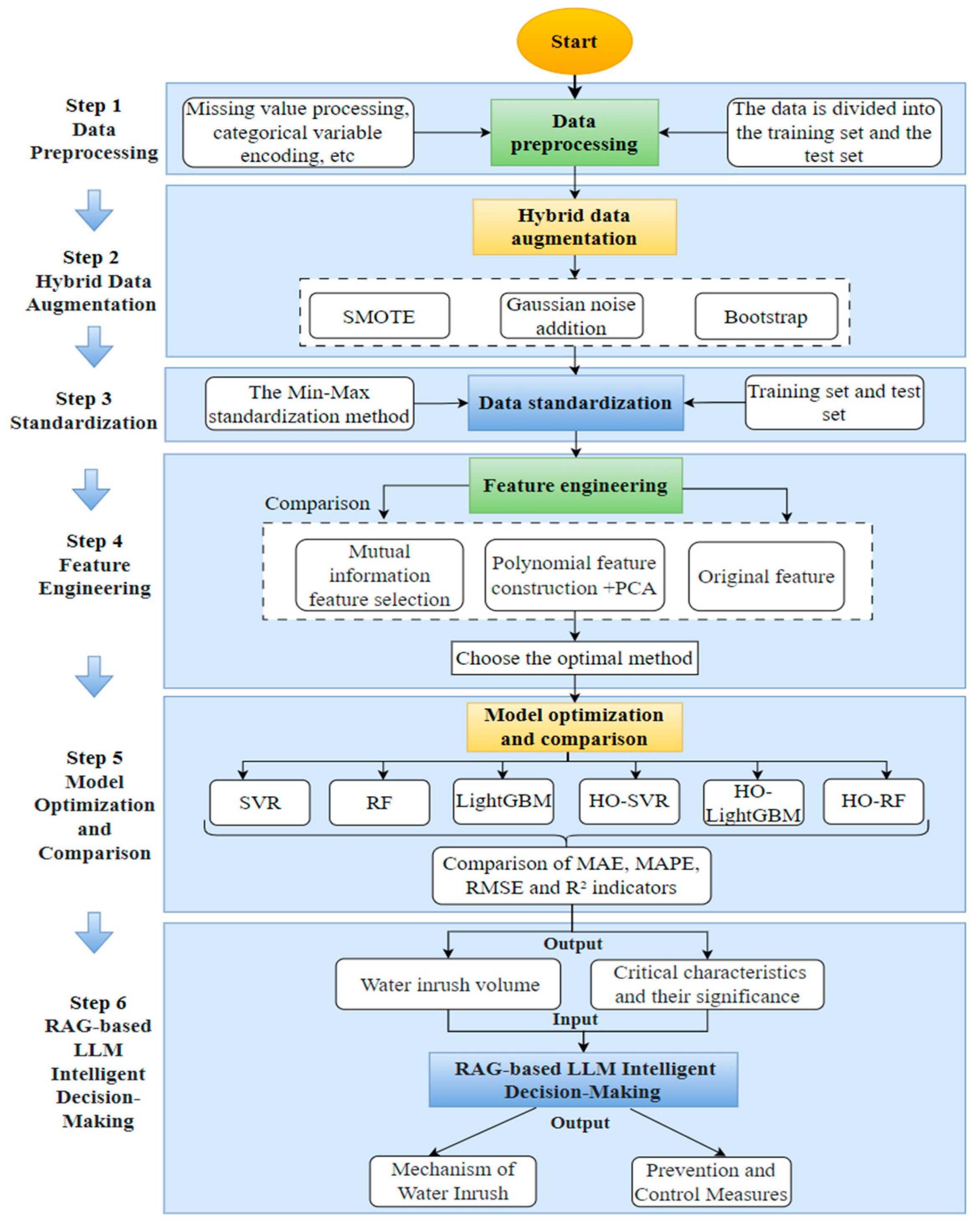
3. Methodology
3.1. Research Framework
3.2. Data Preparation
3.3. Hybrid Data Augmentation
3.4. Data Standardization
3.5. Feature Engineering
3.5.1. Feature Selection: Mutual Information Method
3.5.2. Feature Extraction: Polynomial Feature Construction and PCA
3.6. Model Construction and Optimization
3.6.1. Fundamentals of the SVR Algorithm
3.6.2. Fundamentals of the HO
3.6.3. HO-SVR Model
3.6.4. Establishment of Comparison Models
3.6.5. Prediction Model Evaluation Metrics
3.7. RAG- LLM Intelligent Decision-Making
3.7.1. Input Layer
3.7.2. Retrieval Enhancement Layer
3.7.3. Generation Layer
3.7.4. Decision-Making Model Evaluation Metrics
4. Results
4.1. Feature Engineering Results
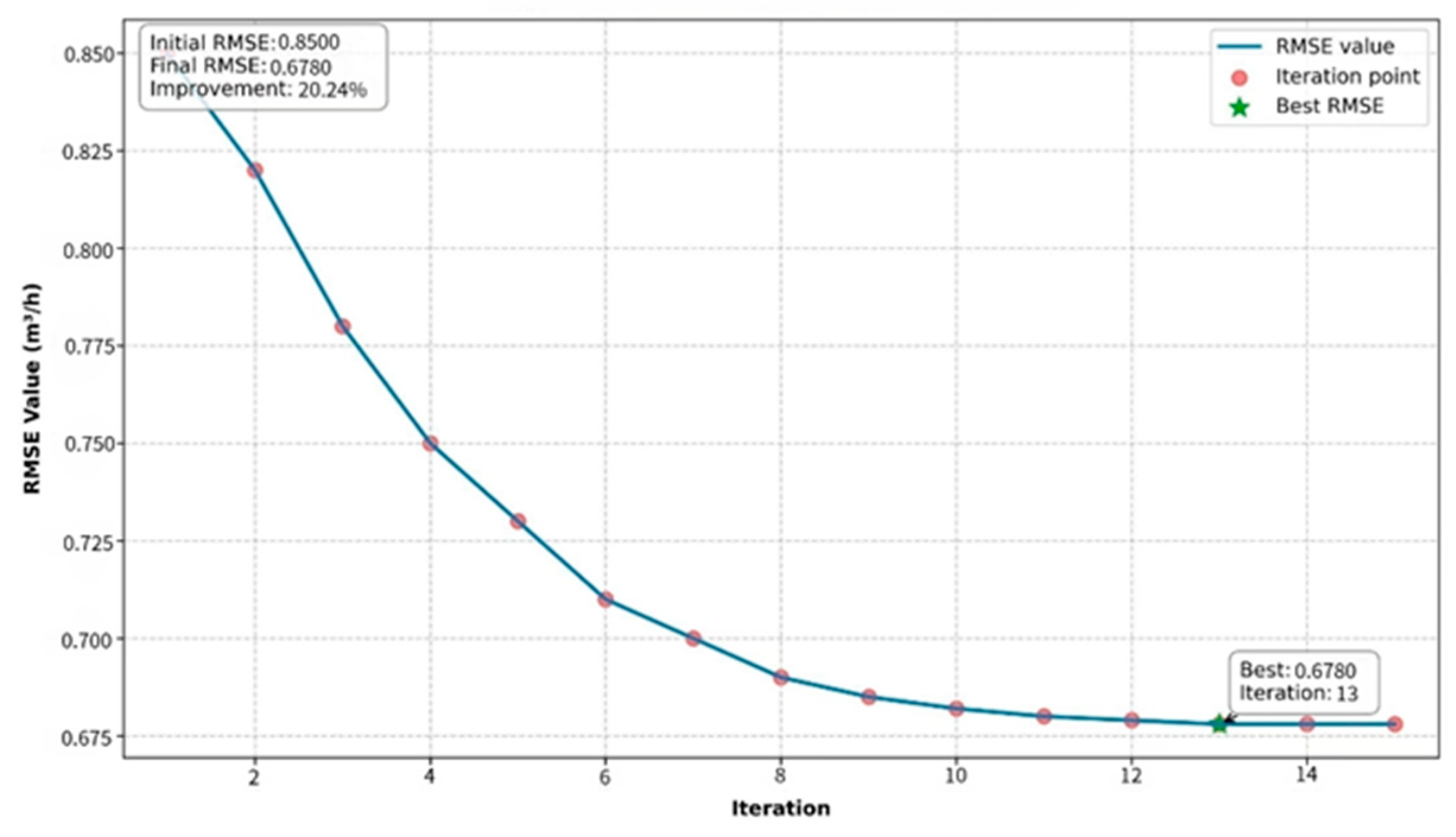
4.2. Optimization Process Analysis
4.3. Comparison of Model Prediction Performance
4.3.1. Multi-Metric Comparative Evaluation of Model Performance
4.3.2. Prediction Error Distribution and Model Diagnostics
4.4. RAG-LLM Intelligent Decision-Making
4.4.1. Typical Application Case Testing
4.4.2. Expert Evaluation
5. Discussion
5.1. Theoretical Contributions
5.2. Practical Contributions
5.3. Data Limitations and Generalization Ability: A Mechanistic Analysis and Framework
5.3.1. Impact of Limited Sample Size and Geographical Specificity
5.3.2. Applicability Analysis Based on Geological Mechanisms
5.3.3. A Framework for Enhancing Model Generality
6. Conclusions
Author Contributions
Funding
Data Availability Statement
Conflicts of Interest
Abbreviations
| RAG | Retrieval-Augmented Generation |
| LLM | Large Language Model |
| SVR | Support Vector Regression |
| HO | Hippopotamus Optimization Algorithm |
| ML | machine learning |
| RF | Random Forest |
| GN | Gaussian noise |
| GWO | Gray Wolf Optimization |
| BES | Bald Eagle Search |
| PSO | Particle Swarm Optimization |
| XAI | Explainable Artificial Intelligence |
| PINNs | Physics-Informed Neural Networks |
| BO | Bayesian Optimization |
| SHAP | SHapley Additive exPlanations |
| AO | Aquila Optimizer |
| SMA | Slime Mould Algorithm |
| EOA | Election Optimizer Algorithm |
| GME | Groupers and Moray Eels |
| AVOA | African Vultures Optimization Algorithm |
References
- Wang, W.; Wang, H.; Li, X.; Qi, Y.; Cui, X.; Bai, C. Prediction model of water inrush risk level of coal seam floor based on KPCA-DBO-SVM. Sci. Rep. 2025, 15, 10393. [Google Scholar] [CrossRef]
- Tang, X.; Wang, Z.; Zhang, W. Mine roof water inflow prediction model for the initial mining disturbance stage based on Simulation-driven feature selection and ensemble Learning. Results Eng. 2025, 28, 106977. [Google Scholar] [CrossRef]
- Li, Q.; Sui, W. Risk evaluation of Mine-water inrush based on principal component logistic regression analysis and an improved analytic hierarchy Process. Hydrogeol. J. 2021, 29, 1299–1311. [Google Scholar] [CrossRef]
- Tong, X.; Zheng, X.; Jin, Y.; Dong, B.; Liu, Q.; Li, Y. Prevention and control strategy of coal mine water inrush accident based on Case-driven and Bow-tie-Bayesian Model. Energy 2025, 320, 135312. [Google Scholar] [CrossRef]
- Zheng, Q.; Wang, C.; Zhu, Z. Research on the prediction of mine water inrush disasters based on Multifactor spatial game Reconstruction. Geomech. Geo Phys. Geo Energy Geo Resour. 2024, 10, 41. [Google Scholar] [CrossRef]
- Xiao, L.; Li, F.; Niu, C.; Dai, G.; Qiao, Q.; Lin, C. Evaluation of Water Inrush Hazard in Coal Seam Roof Based on the AHP-CRITIC Composite Weighted Method. Energies 2022, 16, 114. [Google Scholar] [CrossRef]
- Liu, Q.; Xu, J.; Wang, Q.; Li, W. Risk Assessment of Water Inrush from Coal Seam Roof Based on the Combined Weighting of the Geographic Information System and Game Theory: A Case Study of Dananhu Coal Mine No. 7, China. Water 2024, 16, 710. [Google Scholar] [CrossRef]
- Xiao, J.; Tong, M.; Jiang, C. Prediction of Water Inrush Quantity from Coal Floor Based on Fuzzy Evidence Theory. J. China Coal Soc. 2012, 37, 131–137. [Google Scholar]
- Wang, M.; Hu, B.; Li, S.; Liang, M.; Wang, X. Construction and Application of On-Line Roof Separation Monitoring System Based on High-Precision FBG Indicator. Sustainability 2023, 15, 3686. [Google Scholar] [CrossRef]
- Li, S.; Huang, Q.; Hu, B.; Pan, J.; Chen, J.; Yang, J.; Zhou, X.; Wang, X.; Yu, H. Mining Method Optimization of Difficult-to-Mine Complicated Orebody Using Pythagorean Fuzzy Sets and TOPSIS Method. Sustainability 2023, 15, 3692. [Google Scholar] [CrossRef]
- Yao, D.; Chen, S.; Dong, S.; Qin, J. Modeling abrupt changes in mine water inflow trends: A CEEMDAN-based multi-model prediction approach. J. Clean. Prod. 2024, 439, 140809. [Google Scholar] [CrossRef]
- Liu, M.; Zhu, X.; Wang, Z. Application of FOA-SVR model for predicting water inflow from mine floor. China Min. Mag. 2019, 28, 87–91+130. [Google Scholar]
- Tang, S.; Shi, K.; Zhang, Y. Prediction of coal mine water inrush based on LLE-FOA-SVR model. Transducer Microsyst. Technol. 2023, 42, 148–151. [Google Scholar]
- Ma, D.; Duan, H.; Cai, X.; Li, Z.; Li, Q.; Zhang, Q. A Global Optimization-Based Method for the Prediction of Water Inrush Hazard from Mining Floor. Water 2018, 10, 1618. [Google Scholar] [CrossRef]
- Zhao, D.; Wu, Q.; Cui, F.; Xu, H.; Zeng, Y.; Cao, Y.; Du, Y. Using random forest for the risk assessment of coal-floor water inrush in Panjiayao Coal Mine, northern China. Hydrogeol. J. 2018, 26, 2327–2340. [Google Scholar] [CrossRef]
- Li, J.; Wang, L.; Wang, X.; Gao, P. Chaos-generalized regression neural network prediction model of mine water inflow. SN Appl. Sci. 2021, 3, 861. [Google Scholar] [CrossRef]
- Zhang, Y.; Yang, L. A novel dynamic predictive method of water inrush from coal floor based on gated recurrent unit model. Nat. Hazards 2020, 105, 2027–2043. [Google Scholar] [CrossRef]
- Fan, J.; Wang, Q.; Li, Y. R-WELM model for predicting water inrush from coal seam floor. Int. J. Bio Inspired Comput. 2024, 24, 12–21. [Google Scholar] [CrossRef]
- Yin, H.; Zhang, G.; Wu, Q.; Yin, S.; Soltanian, M.R.; Thanh, H.V.; Dai, Z. A Deep Learning-Based Data-Driven Approach for Predicting Mining Water Inrush From Coal Seam Floor Using Microseismic Monitoring Data. IEEE Trans. Geosci. Remote Sens. 2023, 61, 1–15. [Google Scholar] [CrossRef]
- Schnapp, S.; Sabato, S. Active Feature Selection for the Mutual Information Criterion. Proc. AAAI Conf. Artif. Intell. 2021, 35, 9497–9504. [Google Scholar] [CrossRef]
- Tikhamarine, Y.; Souag-Gamane, D.; Kisi, O. A new intelligent method for monthly streamflow prediction: Hybrid wavelet support vector regression based on grey wolf optimizer (WSVR–GWO). Arab. J. Geosci. 2019, 12, 540. [Google Scholar] [CrossRef]
- Amroune, M. Support vector regression-bald eagle search optimizer-based hybrid approach for short-term wind power forecasting. J. Eng. Appl. Sci. 2022, 69, 107. [Google Scholar] [CrossRef]
- Xu, C.; Zhou, K.; Xiong, X.; Gao, F.; Zhou, J. Research on height prediction of water-conducting fracture zone in coal mining based on intelligent algorithm combined with extreme boosting machine. Expert Syst. Appl. 2024, 249, 123669. [Google Scholar] [CrossRef]
- Nasir, F.B.; Li, J. Understanding machine learning predictions of wastewater treatment plant sludge with explainable artificial Intelligence. Water Environ. Res. 2024, 96, e11136. [Google Scholar] [CrossRef]
- Wang, L.; Jia, B.; Su, G. Prediction of coal and gas outbursts based on physics informed neural networks and traditional machine learning models. Sci. Rep. 2025, 15, 29984. [Google Scholar] [CrossRef]
- Zhao, Y.; Luo, R.; Li, L.; Zhang, R.; Zhang, D.; Zhang, T.; Xie, Z.; Luo, S.; Zhang, L. A review on optimization algorithms and surrogate models for reservoir automatic history matching. Geoenergy Sci. Eng. 2024, 233, 212554. [Google Scholar] [CrossRef]
- Imam, N.M.; Ibrahim, A.; Tiwari, M. Explainable Artificial Intelligence (XAI) techniques to enhance transparency in deep learning models. IOSR J. Comput. Eng. 2024, 26, 29–36. [Google Scholar] [CrossRef]
- Hu, W.; Wu, K.; Liu, H.; Luo, W.; Li, X.; Guan, P. Interpretable machine learning approach for TBM tunnel crown convergence prediction with Bayesian optimization. Front. Earth Sci. 2025, 13, 1608468. [Google Scholar] [CrossRef]
- Jesse, G.; Boateng, C.D.; Aryee, J.N.; Osei, M.A.; Wemegah, D.D.; Gidigasu, S.S.; Britwum, A.; Afful, S.K.; Touré, H.; Mensah, V.; et al. A systematic review of machine learning models for groundwater level prediction. Appl. Comput. Geosci. 2025, 28, 100303. [Google Scholar] [CrossRef]
- Amiri, M.H.; Mehrabi Hashjin, N.; Montazeri, M.; Mirjalili, S.; Khodadadi, N. Hippopotamus optimization algorithm: A novel nature-inspired optimization algorithm. Sci. Rep. 2024, 14, 5032. [Google Scholar] [CrossRef]
- Pei, S.; Sun, G.; Tong, L. An improved hippopotamus optimization algorithm based on adaptive development and solution diversity enhancement. PeerJ Comput. Sci. 2025, 11, e2901. [Google Scholar] [CrossRef] [PubMed]
- Abdelaziz, M.A.; Ali, A.A.; Swief, R.A.; Elazab, R. Optimizing energy-efficient grid performance: Integrating electric vehicles, DSTATCOM, and renewable sources using the hippopotamus optimization algorithm. Sci. Rep. 2024, 14, 28974. [Google Scholar] [CrossRef] [PubMed]
- Han, T.; Wang, H.; Li, T.; Liu, Q.; Huang, Y. MHO: A modified hippopotamus optimization algorithm for global optimization and engineering design problems. Biomimetics 2025, 10, 90. [Google Scholar] [CrossRef]
- Kaushal, A.; Malik, A. Hippopotamus optimization algorithm-based clustering using mobile sink in wireless sensor network. Int. J. Commun. Syst. 2025, 38, e70268. [Google Scholar] [CrossRef]
- Abualigah, L.; Alomari, S.A.; Almomani, M.H.; Abu Zitar, R.; Migdady, H.; Saleem, K.; Smerat, A.; Snasel, V.; Gandomi, A.H. Enhanced aquila optimizer for global optimization and data clustering. Sci. Rep. 2025, 15, 13079. [Google Scholar] [CrossRef]
- Varshney, M.; Kumar, P.; Ali, M.; Gulzar, Y. Dynamic random walk and dynamic opposition learning for improving aquila optimizer: Solving constrained engineering design problems. Biomimetics 2024, 9, 215. [Google Scholar] [CrossRef]
- Li, T.; Meng, H.; Wang, D.; Fu, B.; Shao, Y.; Liu, Z. An enhanced slime mould algorithm based on best–worst management for numerical optimization problems. Biomimetics 2025, 10, 504. [Google Scholar] [CrossRef]
- Zhou, S.; Shi, Y.; Wang, D.; Xu, X.; Xu, M.; Deng, Y. Election optimizer algorithm: A new meta-heuristic optimization algorithm for solving industrial engineering design problems. Mathematics 2024, 12, 1513. [Google Scholar] [CrossRef]
- Mansour, N.A.; Saraya, M.S.; Saleh, A.I. Groupers and moray eels (GME) optimization: A nature-inspired metaheuristic algorithm for solving complex engineering problems. Neural Comput. Appl. 2024, 37, 63–90. [Google Scholar] [CrossRef]
- Arslan, S.; Zoralioğlu, Y.; Gul, M.F. A comparative analysis of African vultures optimization algorithm with current metaheuristics. Osman. Korkut Ata Üniversitesi Fen Bilim. Enstitüsü Derg. 2025, 8, 325–352. [Google Scholar] [CrossRef]
- Azhar, N.A.; Mohd Pozi, M.S.; Mohamed Din, A.; Jatowt, A. An investigation of SMOTE based methods for imbalanced datasets with data complexity analysis. IEEE Trans. Knowl. Data Eng. 2023, 35, 6651–6672. [Google Scholar] [CrossRef]
- Lin, Z.; Chen, T.; Yang, Y.; Yan, J.; Yan, W.; Chen, Z.; Zheng, W. Disruption prediction on J-TEXT tokamak using ACO-BP-AdaBoost algorithm coupled with data augmentation. Eur. Phys. J. Spec. Top. 2025, 234, 3427–3439. [Google Scholar] [CrossRef]
- Efron, B.; Tibshirani, R. The bootstrap method for assessing statistical accuracy. Behaviormetrika 1985, 12, 1–35. [Google Scholar] [CrossRef]
- Jia, W.; Sun, M.; Lian, J.; Hou, S. Feature dimensionality reduction: A review. Complex Intell. Syst. 2022, 8, 2663–2693. [Google Scholar] [CrossRef]
- Zhou, H.; Wang, X.; Zhu, R. Feature selection based on mutual information with correlation coefficient. Appl. Intell. 2021, 52, 5457–5474. [Google Scholar] [CrossRef]
- Wesel, F.; Batselier, K. Quantized Fourier and polynomial features for more expressive tensor network models (Version 3). arXiv 2023, arXiv:2309.05436. [Google Scholar]
- Jade, A.M.; Srikanth, B.; Jayaraman, V.K.; Kulkarni, B.D.; Jog, J.P.; Priya, L. Feature extraction and denoising using kernel PCA. Chem. Eng. Sci. 2003, 58, 4441–4448. [Google Scholar] [CrossRef]
- Zhang, Y.; Tang, S.; Shi, K. Risk assessment of coal mine water inrush based on PCA-DBN. Sci. Rep. 2022, 12, 1370. [Google Scholar] [CrossRef]
- Feng, Y.; Bi, Y.; Li, D. Prediction of floor failure depth in coal mines: A case study of Xutuan Mine, China. Water 2024, 16, 3262. [Google Scholar] [CrossRef]
- Mashru, N.; Tejani, G.G.; Patel, P.; Khishe, M. Optim. truss design with MOHO: A multi-objective optimization perspective. PLoS ONE 2024, 19, e0308474. [Google Scholar] [CrossRef]
- Berry, P.; Dhanakshirur, R.R.; Khanna, S. Utilizing large language models for gastroenterology research: A conceptual framework. Ther. Adv. Gastroenterol. 2025, 18, 17562848251328577. [Google Scholar] [CrossRef]
- Yang, T.; Mei, Y.; Xu, L.; Yu, H.; Chen, Y. Application of question answering systems for intelligent agriculture production and sustainable management: A review. Resour. Conserv. Recycl. 2024, 204, 107497. [Google Scholar] [CrossRef]
- Huang, L.; Yu, W.; Ma, W.; Zhong, W.; Feng, Z.; Wang, H.; Chen, Q.; Peng, W.; Feng, X.; Qin, B.; et al. A survey on hallucination in large language models: Principles, taxonomy, challenges, and open questions. ACM Trans. Inf. Syst. 2025, 43, 1–55. [Google Scholar] [CrossRef]
- Liang, J.; Hou, S.; Zhao, A.; Xu, Q.; Xiang, L.; Li, R.; Wu, H. Design and application of a semantic-driven geospatial modeling knowledge graph based on large language models. Geo Spat. Inf. Sci. 2025, 1–20. [Google Scholar] [CrossRef]
- Bao, X.; Lv, Z.; Wu, B. Enhancing large language models with RAG for visual language navigation in continuous environments. Electronics 2025, 14, 909. [Google Scholar] [CrossRef]
- Kimara, E.; Oguntoye, K.S.; Sun, J. PersonaAI: Leveraging retrieval-augmented generation and personalized context for AI-driven digital avatars (Version 1). arXiv 2025, arXiv:2503.15489. [Google Scholar]













| No. | Feature Variable Names | Unit | No. | Feature Variable Names | Unit |
|---|---|---|---|---|---|
| X1 | Development degree of Water-Conducting Structures | None | X13 | Structural Water Retention | None |
| X2 | Fracture Permeability Characteristics | None | X14 | Collapse Pillar | None |
| X3 | Inclined Length of Working Face | m | X15 | Fault | None |
| X4 | Aquifer Water Pressure | MPa | X16 | Fracture Zone | None |
| X5 | Monthly Advancement Distance of Working Face | m | X17 | Fault Displacement | m |
| X6 | Aquitard Thickness | m | X18 | Mining Depth of Working Face | m |
| X7 | Depth of Floor Damage | m | X19 | Water Source | None |
| X8 | Effective Thickness of Floor Aquitard | m | X20 | Water Quality | None |
| X9 | Percentage of Sandstone in the Aquitard | None | X21 | Water Temperature | °C |
| X10 | Percentage of Mudstone in the Aquitard | None | X22 | Strike Length of Working Face | m |
| X11 | Percentage of Limestone in the Aquitard | None | X23 | Coal Seam Dip Angle | ° |
| X12 | Mining Height of Working Face | m | X24 | Coal Seam Thickness | m |
| NO. | X1 | X2 | X3 | X4 | X5 | X6 | … | Y |
|---|---|---|---|---|---|---|---|---|
| 1 | 0.5 | 0.5 | 185 | 1.5 | 90 | 32 | … | 82 |
| 2 | 0.8 | 0.8 | 82 | 3.6 | 90 | 33 | … | 156 |
| 3 | 0.5 | 0.5 | 120 | 4.25 | 84 | 49 | … | 195 |
| … | … | … | … | … | … | … | … | |
| 198 | 0.3 | 0.5 | 110 | 1.48 | 30 | 29 | … | 12 |
| 199 | 0.5 | 0.5 | 80 | 2.18 | 30 | 24.5 | … | 60 |
| 200 | 0.3 | 0.1 | 105 | 1.3 | 60 | 74.55 | … | 585 |
| Model | Key Parameters to Be Optimized | Meaning |
|---|---|---|
| HO-RF | n_estimators | Number of decision trees |
| max_depth | Maximum depth of a single tree | |
| min_samples_split | Minimum number of samples for node splitting | |
| max_features | Proportion of features considered when splitting | |
| HO-LightGBM | learning_rate | Learning rate |
| num_leaves | Number of leaf nodes | |
| max_depth | Maximum depth of the tree | |
| feature_fraction | Feature sampling ratio | |
| lambda_l1 | L1 regularization coefficient | |
| lambda_l2 | L2 regularization coefficient |
| Category | Source Example | Quantity |
|---|---|---|
| National regulations | Detailed Rules for Water Prevention and Control in Coal Mines, Coal Mine Safety Regulations, Management Measures for the “Three Zones” of Water Prevention and Control in Coal Mines, etc. | 12 |
| Local standards and regulations | Shandong Province’s “Implementation Rules for the Management Measures for the Three Zones of Coal Mine Water Prevention and Control”, etc. | 8 |
| Engineering cases | Shandong Huafeng Coal Mine “6·1” Major Water Hazard Accident, etc. | 63 |
| Research literature | Papers on the mechanism of water inrush in coal mine floors, factors causing disasters, and water hazard prevention and control technologies. | 364 |
| As a Coal Mine Water Prevention Expert, Please Generate an Implementable Water Inrush Risk Prevention Plan Based on The Following Forecast Data and Professional Knowledge, and Cite Content from the Knowledge Base as Core Support: |
|---|
| <input> |
| 1. predicted water discharge: {y_hat} m3/h |
| 2. top 5 key features and their importance: {feat.name_1}:{x_1_value} {unit} (importance: {imp_score_1}%) {feat.name_2}:{x_2_value} {unit} (importance: {imp_score_2}%) …… {feat.name_5}:{x_2_value} {unit} (importance: {imp_score_5}%) |
| <output> |
| generation requirements: (1) please explain the mechanism of water inrush based on the above information and professional knowledge, and describe the risk mechanism. (2) propose specific prevention and control measures, strictly ranked in order of priority, and cite relevant knowledge base provisions. |
| Evaluation Dimensions | Scoring Criteria (Scale: 1–5) |
|---|---|
| Scientific explanation of the mechanism | Assessing the scientific accuracy of the water eruption mechanism explanation and evaluating the rationale of the analysis of the significance of its characteristics. |
| Feasibility of prevention and control measures | Determining if the measures are quantifiable and operational. |
| Compliance with regulations | Assess the accuracy of the citation of standard clauses and the compliance of the parameters with the standards. |
| Reasonableness of priority | Assessing the consistency of the measure sequence with the significance of attributes and evaluating the rationality of the logic. |
| Prediction Models | MAE (Mean ± Std) | MAPE (Mean ± Std) | RMSE (Mean ± Std) | R2 (Mean ± Std) |
|---|---|---|---|---|
| RF | 2.5482 ± 0.2575 | 36.94% ± 3.65% | 3.9075 ± 0.3920 | 0.8781 ± 0.0495 |
| LightGBM | 1.7639 ± 0.1634 | 22.77% ± 2.15% | 2.9046 ± 0.2709 | 0.8958 ± 0.0384 |
| SVR | 4.8121 ± 0.5220 | 53.68% ± 5.36% | 5.0213 ± 0.5443 | 0.7215 ± 0.1110 |
| HO-RF | 1.5375 ± 0.1026 | 19.36% ± 1.33% | 1.9682 ± 0.1316 | 0.9325 ± 0.0301 |
| HO-LightGBM | 1.1971 ± 0.1240 | 15.22% ± 1.57% | 1.5758 ± 0.1634 | 0.9169 ± 0.0415 |
| HO-SVR | 0.4239 ± 0.0464 | 5.38% ± 0.59% | 0.7298 ± 0.0795 | 0.9539 ± 0.0285 |
| Key Features | Value | Importance |
|---|---|---|
| (Aquifer Water Pressure) | 12 MPa | 63.21% |
| (Fault Displacement) | 5 m | 57.42% |
| (Percentage of Mudstone in the Aquitard) | 0.11 | 54.64% |
| (Water Temperature) | 55.72 °C | 32.83% |
| (Aquitard Thickness) | 167.5 m | 25.65% |
| The Following Is the Prompt Entered Into the LLM and the Content Output by the LLM. |
|---|
| Prompt: As a coal mine water prevention expert, please generate an implementable water inrush risk prevention plan based on the following forecast data and professional knowledge, and cite content from the knowledge base as core support: <Input> |
| 1. Predicted water inflow rate: 585 m3/h |
| 2. Top 5 key features and their importance: Aquifer Water Pressure: 12 MPa (importance: 63.21%) Fault Displacement: 5 m (importance: 57.42%) Percentage of Mudstone in the Aquitard: 0.11 (importance: 54.64%) Water Temperature: 55.72 °C (importance: 32.83%) Aquitard Thickness: 167.5 m (importance: 25.65%) |
| <Output> |
| Generation requirements: (1) Kindly elucidate the method of water eruptions using the aforementioned information and your professional expertise, and delineate the risk mechanism. (2) Recommend precise prevention and control methods, meticulously prioritized, and reference pertinent sections from the knowledge base. |
| Mechanism of water inrush and prevention measures: |
| This document outlines a risk prevention and management strategy for coal mine floor water inrushes, anticipating a water influx of 585 m3/h. Feasible technical measures are offered in order of priority based on projected characteristics, the water inrush mechanism, and industry norms. |
| I. Analysis of the Mechanism of Water Inrush Risk Aquifer Water Pressure (12 MPa): High water pressure can easily break through weak areas of the water barrier, which is the main factor controlling water breakthrough. Fault Displacement (5 m): Fault formation creates water channels connecting aquifers and mining spaces. Percentage of Mudstone in the Aquitard (11%): The low proportion of mudstone results in insufficient waterproofing and permeability resistance, making it susceptible to high-pressure water penetration. Water Temperature (55.7 °C): High temperatures exacerbate rock fissure expansion and reduce the stability of the water barrier layer. Aquitard Thickness (167.5 m): The mining depth is shallow, the overlying rock layer pressure is insufficient, and the water-resistant layer has weak compressive strength. Water inrush path: High water pressure (12 MPa) → Penetration of brittle aquifer (11% mudstone) → Activation of fault zone (5 m drop) → Formation of water conduit → High-temperature water (55.7 °C) accelerates rock destruction → Water inrush volume reaches 585 m3/h. II. Decision Report on Mine Floor Water Inrush Prevention and Control Generated by the RAG-LLM (in order of priority) 1. Water Pressure Control and Regional Management Measures: Ground-directed drilling and grouting: For aquifer-bearing strata in the base plate, ground-directed drilling holes are created, and a cement-aggregate mixed grout (water-cement ratio 0.8:1) is injected to convert the aquifer-bearing strata into weak aquifer-bearing strata. Underground dewatering and pressure reduction: Bore cross-layer holes (94 mm diameter) in the tunnel, install pressure control valves, and incrementally reduce water pressure to a safe level (≤0.1 MPa/m water inrush coefficient). References: Article 74 of the Detailed Rules for Water Prevention and Control in Coal Mines, Article 311 of the Coal Mine Safety Regulations, and a case study of a mine in the Huanghebei Coalfield, Shandong Province. 2. Fault Sealing and Aquifer Reinforcement Measures: Fault Grouting Curtain: Bore holes along the fault line at intervals of 20 m and inject a dual-liquid grout composed of ultra-fine cement and water glass (setting time 30 s) to create a water-impermeable curtain. Base plate reinforcement: Underground radial grouting (depth of 30 m) is employed to enhance the water resistance of compromised mudstone regions. References: “Grouting Diffusion Mechanism in Non-Homogeneous Fault Zones”, “Coal Mine Safety Regulations” Article 305. 3. Real-time monitoring and early warning response Measures: A microseismic monitoring system comprises 12-channel sensors positioned at the working face to continuously monitor bedrock fracture signals, triggering an alarm when energy exceeds 103 J. Hydrological dynamic monitoring involves assessing water pressure, water temperature (initiating the cooling plan when the temperature above 55 °C), and water volume (evacuating when the change rate reaches 10%) on a per-shift basis. References: Article 47 of the Detailed Rules for the Prevention and Control of Coal Mine Impact Pressure, Articles 285 and 235 of the Coal Mine Safety Regulations, “A Method for Real-Time Spatial-Temporal Early Warning of Floor Water Inrush in Working Faces Based on Microseismic Monitoring”, and the case study of the 1604 working face at a particular mine in the Jiaozuo Mining Area. 4. Emergency Response and Management Support Measures: Water-resistant coal pillars must be preserved on either side of the fault, with dimensions determined in accordance with the “Detailed Rules for Water Prevention and Control in Coal Mines,” and shall not be less than 20 m. Quarterly flood evacuation drills will be executed, targeting evacuation to the +50 m elevation safety zone, with a reaction time of under 8 min. References: Articles 91 to 94 of the Detailed Rules for Water Prevention and Control in Coal Mines, “Research on the Activation Characteristics of Faults and the Rational Retention of Water-Resistant Coal Pillars”, and the Key Points for Supervision, Inspection, and Enforcement of Water Hazard Prevention and Control in Coal Mines (2022 Edition). |
| Expert | Average Score for Scientific Explanation of the Mechanism | Average Score for Feasibility of Prevention and Control Measures | Average Score for Compliance with Regulations | Average Score for Reasonableness of Priority | Average Total Score |
|---|---|---|---|---|---|
| Expert 1 | 4.6 | 4.5 | 4.6 | 4.7 | 18.4 |
| Expert 2 | 4.2 | 4.3 | 3.8 | 4.4 | 16.7 |
| Expert 3 | 4.4 | 4.0 | 4.2 | 4.5 | 17.1 |
Disclaimer/Publisher’s Note: The statements, opinions and data contained in all publications are solely those of the individual author(s) and contributor(s) and not of MDPI and/or the editor(s). MDPI and/or the editor(s) disclaim responsibility for any injury to people or property resulting from any ideas, methods, instructions or products referred to in the content. |
© 2025 by the authors. Licensee MDPI, Basel, Switzerland. This article is an open access article distributed under the terms and conditions of the Creative Commons Attribution (CC BY) license (https://creativecommons.org/licenses/by/4.0/).
Share and Cite
He, K.; Wang, C.; Zheng, Q. Intelligent Prediction and Prevention of Coal Mine Water Inrush: Integrating Hybrid Data Augmentation, HO-SVR, and RAG-LLM Technologies. Water 2025, 17, 3534. https://doi.org/10.3390/w17243534
He K, Wang C, Zheng Q. Intelligent Prediction and Prevention of Coal Mine Water Inrush: Integrating Hybrid Data Augmentation, HO-SVR, and RAG-LLM Technologies. Water. 2025; 17(24):3534. https://doi.org/10.3390/w17243534
Chicago/Turabian StyleHe, Ke, Changfeng Wang, and Qiushuang Zheng. 2025. "Intelligent Prediction and Prevention of Coal Mine Water Inrush: Integrating Hybrid Data Augmentation, HO-SVR, and RAG-LLM Technologies" Water 17, no. 24: 3534. https://doi.org/10.3390/w17243534
APA StyleHe, K., Wang, C., & Zheng, Q. (2025). Intelligent Prediction and Prevention of Coal Mine Water Inrush: Integrating Hybrid Data Augmentation, HO-SVR, and RAG-LLM Technologies. Water, 17(24), 3534. https://doi.org/10.3390/w17243534
