Sign in to use this feature.

Years

Between: -

Subjects

remove_circle_outline
remove_circle_outline
remove_circle_outline
remove_circle_outline
remove_circle_outline
remove_circle_outline
remove_circle_outline
remove_circle_outline
remove_circle_outline

Journals

Article Types

Countries / Regions

remove_circle_outline
remove_circle_outline
remove_circle_outline
remove_circle_outline
remove_circle_outline

Search Results (384)

Search Parameters:
Keywords = miRNA-disease associations prediction

Order results
Result details
Results per page
Select all
Export citation of selected articles as:
35 pages, 1331 KB  
Review
MicroRNAs in Esophageal Cancer: Implications for Diagnosis, Progression, Prognosis and Chemoresistance
by Erica Cataldi-Stagetti, Giulia Governatori, Arianna Orsini, Bianca De Nicolo, Rocco Maurizio Zagari and Elena Bonora
Int. J. Mol. Sci. 2026, 27(2), 878; https://doi.org/10.3390/ijms27020878 - 15 Jan 2026
Abstract
Esophageal cancer (EC), including esophageal squamous cell carcinoma (ESCC) and esophageal adenocarcinoma (EAC), remains a highly lethal disease because of its late diagnosis, significant biological heterogeneity, and frequent resistance to therapy. Growing evidence indicates that microRNAs (miRNAs) are key posttranscriptional regulators involved in [...] Read more.
Esophageal cancer (EC), including esophageal squamous cell carcinoma (ESCC) and esophageal adenocarcinoma (EAC), remains a highly lethal disease because of its late diagnosis, significant biological heterogeneity, and frequent resistance to therapy. Growing evidence indicates that microRNAs (miRNAs) are key posttranscriptional regulators involved in tumor initiation, progression, metastasis, and response to treatment. This review provides a comprehensive and updated overview of miRNA dysregulation in both ESCC and EAC, with a specific focus on its emerging clinical relevance in early detection, prognostic assessment, and prediction of therapeutic response. Multiple tissue-based and circulating miRNA signatures, some capable of distinguishing between Barrett’s esophagus (BE), dysplasia, and EAC, demonstrate promising diagnostic performance. In parallel, several miRNAs, including miR-21, miR-23a, miR-455-3p, and miR-196b, have been consistently associated with chemoresistance and radioresistance. Moreover, distinct miRNA expression patterns are correlated with tumor aggressiveness, metastatic potential, and the risk of recurrence, supporting their integration with conventional histopathological and molecular parameters for improved patient stratification. Overall, miRNAs represent a powerful class of biomarkers and potential therapeutic targets in EC, with increasing translational relevance in precision oncology. Full article
(This article belongs to the Collection Latest Review Papers in Molecular Genetics and Genomics)
Show Figures

Figure 1

24 pages, 6324 KB  
Article
MicroRNAs as Key Regulators in the Progression of Metabolic Dysfunction-Associated Steatotic Liver Disease: A Bioinformatics Analysis
by Claudriana Locatelli, Karine Luz, Sergio Fallone de Andrade, Emyr Hiago Bellaver, Rosana Claudio Silva Ogoshi, Ariana Centa, João Paulo Assolini, Gustavo Colombo Dal Pont and Tania Beatriz Creczynski-Pasa
Biomedicines 2026, 14(1), 120; https://doi.org/10.3390/biomedicines14010120 - 7 Jan 2026
Viewed by 267
Abstract
Background: Metabolic dysfunction-associated steatotic liver disease (MASLD), formerly known as non-alcoholic fatty liver disease, is a highly prevalent hepatic condition closely linked to metabolic syndrome (MetS). Epigenetic regulators such as microRNAs (miRNAs) have emerged as critical modulators of the molecular pathways underlying MASLD [...] Read more.
Background: Metabolic dysfunction-associated steatotic liver disease (MASLD), formerly known as non-alcoholic fatty liver disease, is a highly prevalent hepatic condition closely linked to metabolic syndrome (MetS). Epigenetic regulators such as microRNAs (miRNAs) have emerged as critical modulators of the molecular pathways underlying MASLD pathogenesis, offering new perspectives for non-invasive diagnosis and targeted therapy. This study aimed to identify and characterize target genes and pathways regulated by two key hepatic miRNAs, namely miR-122 and miR-29a, through a comprehensive in silico bioinformatics approach, to better understand their functional roles in MASLD and MetS. Methods: Target genes of miR-122 and miR-29a were predicted using three databases (TargetScan, DIANA-microT-CDS, and miRWalk), and those identified by at least two databases were selected for downstream analyses. Functional enrichment was performed using Gene Ontology and KEGG pathway analysis. Gene networks and biological process maps were constructed using Metascape, clusterProfiler and Cytoscape. Results: miR-122 was found to negatively regulate genes involved in lipid metabolism, insulin signaling, and inflammatory pathways, including PPARGC1A, PPARA, LPL, TLR4, and HMGCR, contributing to insulin resistance and liver dysfunction. By contrast, miR-29a demonstrated potential hepatoprotective effects by targeting LEP, INSR, IL13, and IL18, enhancing insulin sensitivity and reducing fibrogenic activity. Enrichment analysis revealed strong associations with biological processes, such as STAT phosphorylation, lipid homeostasis, and inflammatory signaling, as well as associations with cellular components, including lipoproteins and plasma membranes. miR-122 and miR-29a exhibit opposing regulatory functions in MASLD pathogenesis. Whereas miR-122 is associated with disease progression, miR-29a acts protectively. These miRNAs may serve as promising biomarkers and therapeutic targets in MASLD and related metabolic conditions. Further validation through experimental and clinical studies is warranted. Full article
(This article belongs to the Special Issue Bioinformatics Analysis of RNA for Human Health and Disease)
Show Figures

Figure 1

22 pages, 858 KB  
Review
The Genetic and Epigenetic Architecture of Keratoconus: Emerging Pathways and Clinical Implications
by Francesco Cappellani, Matteo Capobianco, Federico Visalli, Cosimo Mazzotta, Fabiana D’Esposito, Daniele Tognetto, Caterina Gagliano and Marco Zeppieri
Genes 2026, 17(1), 66; https://doi.org/10.3390/genes17010066 - 6 Jan 2026
Viewed by 232
Abstract
Background: Keratoconus (KC) is a progressive corneal ectasia and a leading cause of corneal transplantation in young adults. Once regarded as a biomechanical disorder, KC is now recognized as a complex disease driven by genetic predisposition, epigenetic modulation, and environmental triggers. Advances in [...] Read more.
Background: Keratoconus (KC) is a progressive corneal ectasia and a leading cause of corneal transplantation in young adults. Once regarded as a biomechanical disorder, KC is now recognized as a complex disease driven by genetic predisposition, epigenetic modulation, and environmental triggers. Advances in genomics and transcriptomics have begun to elucidate the molecular mechanisms underlying corneal thinning and ectasia. Objectives: This review synthesizes two decades of evidence on the genetic and epigenetic architecture of keratoconus, highlights key molecular pathways implicated by these findings, and discusses translational implications for early diagnosis, risk prediction, and novel therapeutic strategies. Methods: A narrative review was conducted of peer-reviewed human, animal, and in vitro studies published from 2000 to 2025, with emphasis on genome-wide association studies (GWAS), sequencing data, methylation profiling, and non-coding RNA analyses. Findings were integrated with functional studies linking genetic variation to molecular and biomechanical phenotypes. Results: Genetic studies consistently implicate loci such as ZNF469, COL5A1, LOX, HGF, FOXO1, and WNT10A, alongside rare variants in Mendelian syndromes (e.g., brittle cornea syndrome, Ehlers–Danlos spectrum). Epigenetic research demonstrates altered DNA methylation, dysregulated microRNAs (e.g., MIR184, miR-143, miR-182), and aberrant lncRNA networks influencing extracellular matrix remodeling, collagen cross-linking, oxidative stress, and inflammatory signaling. Gene–environment interactions, particularly with eye rubbing and atopy, further shape disease expression. Translational progress includes polygenic risk scores, tear-based biomarkers, and early preclinical studies using RNA-based approaches (including siRNA and antisense oligonucleotides targeting matrix-degrading and profibrotic pathways) and proof-of-concept gene-editing strategies demonstrated in corneal cell and ex vivo models. Conclusions: Keratoconus arises from the convergence of inherited genomic risk, epigenetic dysregulation, and environmental stressors. Integrating multi-omic insights into clinical practice holds promise for earlier detection, precision risk stratification, and development of targeted therapies that move beyond biomechanical stabilization to disease modification. Full article
(This article belongs to the Section Epigenomics)
Show Figures

Figure 1

13 pages, 1359 KB  
Article
Study on the Regulatory Mechanism of oar-miR-29b in Lamb Encephalitis Caused by Enterococcus faecalis Infection
by Ming Zhou, Borui Qi, Pengfei Zhao, Longling Jiao, Shuzhu Cao, You Wu, Jingjing Ren, Runze Zhang, Yongjian Li and Yayin Qi
Genes 2026, 17(1), 29; https://doi.org/10.3390/genes17010029 - 29 Dec 2025
Viewed by 199
Abstract
Background: Enterococcus faecalis is an opportunistic pathogen that is capable of causing bacterial encephalitis under specific pathological conditions. MicroRNAs (miRNAs) are a class of small, single-stranded non-coding RNAs, typically approximately 21 nucleotides in length. As master regulators of gene expression, they orchestrate critical [...] Read more.
Background: Enterococcus faecalis is an opportunistic pathogen that is capable of causing bacterial encephalitis under specific pathological conditions. MicroRNAs (miRNAs) are a class of small, single-stranded non-coding RNAs, typically approximately 21 nucleotides in length. As master regulators of gene expression, they orchestrate critical pathways across diverse organisms and a broad spectrum of diseases; however, their role during E. faecalis neuro-invasion remains unexplored. Methods: A lamb model of E. faecalis-induced encephalitis was established. Integrated analysis of high-throughput sequencing data identified oar-miR-29b as a key differentially expressed miRNA during infection. To first verify its association with inflammation, primary SBMECs were stimulated with lipoteichoic acid (LTA), confirming that oar-miR-29b expression was significantly upregulated under inflammatory conditions. Subsequently, independent gain- and loss-of-function experiments in SBMECs were performed, with inflammatory cytokine expression assessed by qPCR and tight-junction protein levels evaluated by Western blotting. Results: Functional studies demonstrated that oar-miR-29b acts as a pro-inflammatory mediator, significantly upregulating IL-1β, IL-6, and TNF-α while degrading tight-junction proteins (ZO-1, occludin, and claudin-5), thereby compromising endothelial barrier integrity. Mechanistically, bioinformatic prediction and dual-luciferase reporter assays confirmed C1QTNF6 as a direct target of oar-miR-29b. The oar-miR-29b/C1QTNF6 axis is thus defined as a novel regulatory pathway contributing to neuro-inflammation and blood-brain barrier disruption. Conclusions: Collectively, our findings identify the oar-miR-29b/C1QTNF6 axis as a novel pathogenic mechanism that exacerbates E. faecalis-induced neuroinflammation and blood-brain barrier disruption. Full article
(This article belongs to the Special Issue Genomic, Transcriptome Analysis in Animals)
Show Figures

Figure 1

14 pages, 3216 KB  
Article
Pentraxin 3 as a Modulator of miRNAs and Extracellular Vesicles Release in Triple-Negative Breast Cancer Cells
by Diogo Gomes da Costa, Fábio Ribeiro Queiroz, Flávia Santiago de Oliveira, Angelo Borges de Melo Neto, Marina Malheiros Araújo Silvestrini, Ludmila Rodrigues Pinto Ferreira, Isabela Aurora Rodrigues, Virgínia Mendes Russo Vallejos, Adriana Oliveira Costa, Frédéric Frézard, Jorge Gomes Goulart Ferreira, Matheus de Souza Gomes, Andréa Teixeira-Carvalho, Paulo Guilherme de Oliveira Salles, Letícia da Conceição Braga and Adriana Abalen Martins Dias
Biomedicines 2026, 14(1), 14; https://doi.org/10.3390/biomedicines14010014 - 20 Dec 2025
Viewed by 391
Abstract
Background/Objectives: Breast cancer is the most prevalent tumor among women worldwide, with the triple-negative (TNBC) being the most aggressive and therapeutically resistant subtype. It is crucial to investigate new therapeutic targets for the treatment of TNBC. Pentraxin 3 (PTX3), an acute-phase protein, [...] Read more.
Background/Objectives: Breast cancer is the most prevalent tumor among women worldwide, with the triple-negative (TNBC) being the most aggressive and therapeutically resistant subtype. It is crucial to investigate new therapeutic targets for the treatment of TNBC. Pentraxin 3 (PTX3), an acute-phase protein, has a complex role in tumor progression, with its expression associated with disease severity. We investigated the role of recombinant human PTX3 (rhPTX3) in modulating microRNA (miRNA) expression and extracellular vesicle (EV) release in TNBC MDA-MB-231 cells. Methods: PTX3 gene expression was evaluated by RT-qPCR. The miRNA expression profile was determined by small RNA Next-Generation Sequencing (NGS). EV release was analyzed by nanoparticle tracking analysis (NTA), flow cytometry, and protein quantification. Results: rhPTX3 treatment significantly increased PTX3 gene expression in MDA-MB-231 cells. Furthermore, rhPTX3 altered the expression profile of 142 miRNAs, with 112 being upregulated and 30 downregulated. These differentially expressed miRNAs were predicted to have 12,894 potential targets, impacting 29 canonical pathways related to carcinogenesis. Key molecules for cancer progression were inhibited (IL6, IL4, CXCL8, CXCR4, CXCL12; ICAM1, CD44 and BCL2), and pro-apoptotic BAD was activated. While rhPTX3-treatment increased total EV release, it specifically reduced the percentage of the CD44+ EV subpopulation. Conclusions: Our data demonstrates that PTX3 modulates the miRNA expression profile and EV release dynamics, particularly by reducing the CD44+ EV population, which points to a tumor-suppressor role in this TNBC context. Given the limited therapeutic avenues for TNBC, our results suggest that PTX3 and its downstream molecular effects represent promising and previously unexplored potential therapeutic targets. Full article
(This article belongs to the Section Cancer Biology and Oncology)
Show Figures

Graphical abstract

35 pages, 1224 KB  
Review
Ovarian Tumor Biomarkers: Correlation Between Tumor Type and Marker Expression, and Their Role in Guiding Therapeutic Strategies
by Wiktor Gawełczyk, Julia Soczyńska, Adrian Muzyka, Julia Rydzek, Krzysztof Majcherczyk, Mateusz Żołyniak and Sławomir Woźniak
Int. J. Mol. Sci. 2025, 26(23), 11702; https://doi.org/10.3390/ijms262311702 - 3 Dec 2025
Viewed by 1170
Abstract
Ovarian tumors constitute a complex and heterogeneous group of neoplasms, encompassing both benign and highly malignant lesions. Accurate diagnosis and classification of ovarian tumor types are crucial for the personalization of therapeutic strategies and have a significant impact on patient prognosis. This review [...] Read more.
Ovarian tumors constitute a complex and heterogeneous group of neoplasms, encompassing both benign and highly malignant lesions. Accurate diagnosis and classification of ovarian tumor types are crucial for the personalization of therapeutic strategies and have a significant impact on patient prognosis. This review presents the current state of knowledge regarding both classical and novel biomarkers, with particular emphasis on their diagnostic, predictive, and prognostic value. Traditional markers, such as CA-125 and human epididymis protein 4 (HE4), remain central to clinical diagnostics; however, their limitations highlight the need for more sensitive and specific approaches. Emerging biomarkers, including microRNAs (miRNA), circulating tumor DNA (ctDNA), and advanced panels integrating transcriptomic, proteomic, and genomic data, offer the potential for earlier detection, improved disease monitoring, and assessment of treatment response. Despite these advances, major challenges persist, particularly those associated with the heterogeneity of ovarian tumors, the high costs of testing, lack of standardization, and unequal access to diagnostic methods. Full article
(This article belongs to the Special Issue Biomarkers and Early Detection Strategies of Ovarian Tumors)
Show Figures

Graphical abstract

21 pages, 1129 KB  
Article
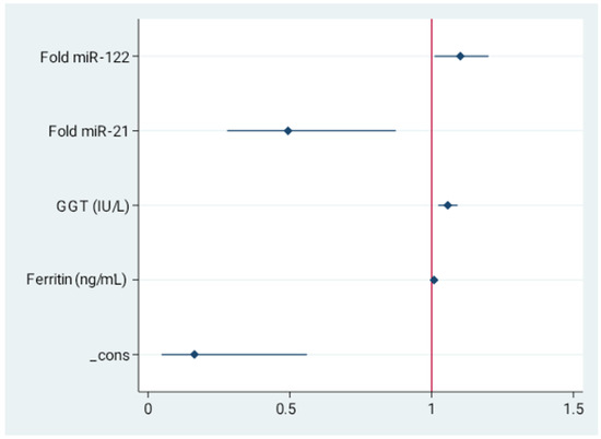
MicroRNA and Protein Biomarkers of Intestinal Permeability in the Assessment of Metabolic Dysfunction-Associated Steatotic Liver Disease (MASLD)
by Dominika Białek, Ewa Wunsch, Agnieszka Kempińska-Podhorodecka, Joanna Abramczyk, Adam Wunsch and Katarzyna Kozłowska
Int. J. Mol. Sci. 2025, 26(23), 11351; https://doi.org/10.3390/ijms262311351 - 24 Nov 2025
Viewed by 634
Abstract
Intestinal barrier dysfunction and microRNA dysregulation are proposed contributors to progression of metabolic dysfunction-associated steatotic liver disease (MASLD). We aimed to assess selected protein and miRNA biomarkers of intestinal permeability in relation to MASLD severity. We included 104 patients with MASLD and 57 [...] Read more.
Intestinal barrier dysfunction and microRNA dysregulation are proposed contributors to progression of metabolic dysfunction-associated steatotic liver disease (MASLD). We aimed to assess selected protein and miRNA biomarkers of intestinal permeability in relation to MASLD severity. We included 104 patients with MASLD and 57 healthy controls. Serum lipopolysaccharide-binding protein (LBP), diamine oxidase (DAO), tumor necrosis factor alpha (TNF-α), interleukin 6 (IL-6), and miRNAs (miR-21, miR-29a, miR-122) were measured. Multivariable logistic regression identified independent predictors of steatosis and fibrosis severity. Patients with MASLD showed higher LBP levels (p = 0.002) and increased serum miR-122 expression (p < 0.0001) compared with controls. LBP correlated with CAP values (Rho = 0.23, p = 0.02) and was elevated in advanced steatosis (p = 0.04). DAO levels correlated with CAP (Rho = 0.22, p = 0.02) and were higher in advanced steatosis (p = 0.04) but decreased in advanced fibrosis (p = 0.04). MiR-122 correlated with fibrosis indices (TE: Rho = 0.22, p = 0.03; APRI: Rho = 0.41, p = 0.0001) and liver enzymes (ALT: Rho = 0.40, AST: Rho = 0.50, both p < 0.0001). Logistic regression identified elevated miR-122 and reduced miR-21 as independent predictors of MASLD, while DAO and transaminases predicted advanced steatosis. Elevated serum miR-122, alongside reduced miR-21, independently predict MASLD. DAO is associated with steatosis severity, while miR-122 reflects fibrotic progression. Full article
(This article belongs to the Special Issue miRNA in Human Diseases)
Show Figures

Figure 1

18 pages, 3834 KB  
Article
The miR-125a-5p/IRF4 Axis Mediates Sodium Arsenite-Induced M2 Macrophage Polarization
by Yan Yu, Fan Yao, Suyuan Tong, Mingzheng Li, Qilong Liao, Fei Wang and Shuhua Xi
Biomolecules 2025, 15(11), 1630; https://doi.org/10.3390/biom15111630 - 20 Nov 2025
Cited by 1 | Viewed by 640
Abstract
Arsenic, a ubiquitous metalloid, is commonly found in surface waters; as well as serious human health issues, it also induces systemic diseases and carcinogenesis upon chronic exposure. To better understand how arsenic potentially alters the immune system, it is important to study its [...] Read more.
Arsenic, a ubiquitous metalloid, is commonly found in surface waters; as well as serious human health issues, it also induces systemic diseases and carcinogenesis upon chronic exposure. To better understand how arsenic potentially alters the immune system, it is important to study its effects on macrophage polarization. Micro-RNA plays an epigenetic regulatory role in organisms. The miR-125 family regulates macrophage polarization and tumorigenesis, yet its role in arsenic-induced macrophage polarization remains unexplored. This study investigated the mechanism of sodium arsenite (NaAsO2)-driven macrophage polarization via miR-125a-5p. In vivo, rats exposed to 10 or 50 mg/L NaAsO2 for 12 weeks exhibited elevated M2 markers (CD206, Arg1) and reduced M1 markers (iNOS, IL-1β, TNF-α) in liver and bladder tissues. In vitro, THP-1-derived macrophages treated with NaAsO2 (2–8 μM) for 48 h showed dose-dependent M2 polarization, marked by upregulated CD206, Arg1, and IL-10. Flow cytometry results show that the proportion of M2/M1-type cells has increased significantly. Notably, NaAsO2 suppressed miR-125a-5p expression and elevated interferon regulatory factor 4 (IRF4), a predicted target of miR-125a-5p. Overexpression of miR-125a-5p reversed NaAsO2-induced M2 polarization by inhibiting IRF4, thereby reducing M2 markers and restoring M1-associated proteins. These findings reveal that NaAsO2 promotes M2 macrophage polarization through the miR-125a-5p/IRF4 axis, highlighting a novel epigenetic mechanism in arsenic-associated tumor microenvironments and immune dysfunction. This study provides critical insights into targeting miR-125a-5p as a therapeutic strategy. Full article
(This article belongs to the Section Biological Factors)
Show Figures

Graphical abstract

23 pages, 1563 KB  
Article
Synovial Fluid and Serum MicroRNA Signatures in Equine Osteoarthritis
by Catarina I. G. D. Castanheira, Sarah Taylor, Eva Skiöldebrand, Luis M. Rubio-Martinez, Matthias Hackl, Peter D. Clegg and Mandy J. Peffers
Int. J. Mol. Sci. 2025, 26(22), 11190; https://doi.org/10.3390/ijms262211190 - 19 Nov 2025
Cited by 1 | Viewed by 530
Abstract
The aim of this study was to identify differentially expressed microRNAs (miRNAs) in serum and synovial fluid (SF) samples of control horses and those with osteoarthritis (OA) to identify potential candidates for biomarkers of disease. Total RNA was extracted from serum and SF [...] Read more.
The aim of this study was to identify differentially expressed microRNAs (miRNAs) in serum and synovial fluid (SF) samples of control horses and those with osteoarthritis (OA) to identify potential candidates for biomarkers of disease. Total RNA was extracted from serum and SF samples of control (n = 4) and OA (n = 9) horses and sequenced. Differential expression analysis, pathway analysis and miRNA target prediction were performed. A group of six miRNAs (eca-miR-199a-3p, eca-miR-148a, eca-miR-99b, eca-miR-146a, eca-miR-423-5p and eca-miR-23b) was selected for validation in an independent cohort (serum, n = 46; SF, n = 88). The effect of clinical variables on miRNA expression was also assessed. Sequencing analyses found 43 and 23 differentially expressed miRNAs in serum and SF samples, respectively. Pathway analysis showed miRNAs were involved in inflammatory disease/response and associated with OA pathways. miRNA expression in serum was strongly associated with the horses’ workload, while age had a pronounced influence on miRNA expression in SF. Distinct patterns of miRNA differential expression were observed in serum and SF samples from horses with OA compared to controls. miR-199a-3p and miR-148a warrant further investigation as potential biomarkers of equine OA. Further characterization of these molecular changes could provide novel insights into the mechanisms of early OA. Full article
(This article belongs to the Special Issue Osteoarthritis: From Pathophysiology to Novel Therapy)
Show Figures

Figure 1

20 pages, 5455 KB  
Article
Neuronal Enriched Extracellular Vesicle miR-122-5p as a Potential Biomarker for Alzheimer’s Disease
by Kumudu Subasinghe, Courtney Hall, Megan Rowe, Zhengyang Zhou, Robert Barber and Nicole Phillips
Cells 2025, 14(22), 1784; https://doi.org/10.3390/cells14221784 - 13 Nov 2025
Cited by 1 | Viewed by 972
Abstract
Alzheimer’s disease (AD) is the leading cause of dementia and is often prefaced by mild cognitive impairment (MCI). Detection of AD-related changes via blood-based biomarkers would enable critical therapeutic interventions early in disease progression. Neuronal enriched extracellular vesicle (NEEV) miRNAs regulate peripheral genes [...] Read more.
Alzheimer’s disease (AD) is the leading cause of dementia and is often prefaced by mild cognitive impairment (MCI). Detection of AD-related changes via blood-based biomarkers would enable critical therapeutic interventions early in disease progression. Neuronal enriched extracellular vesicle (NEEV) miRNAs regulate peripheral genes as a response to early AD brain changes and hence may have biomarker potential. Plasma NEEVs were captured from plasma samples of Mexican Americans (MAs) and Non-Hispanic Whites (NHWs) using an antibody against the neuronal surface marker CD171. miRNAs isolated from NEEVs were sequenced and analyzed using miRDeep2/DEseq2 and QIAGEN RNA-seq portal for differential expression between cognitively impaired (CI) and cognitively unimpaired controls. hsa-miR-122-5p was significantly underrepresented in the CI group in both MAs and NHWs compared to the healthy control. Other population-specific miRNAs (MAs: hsa-miR-26a-5p, hsa-let-7f-5p, and hsa-miR-139-5p, NHWs: hsa-miR-133a-3p, hsa-miR-125b-5p, and hsa-miR-100-5p) identified may have biomarker potential in AD precision medicine. Some of these differentially expressed miRNAs were associated with key AD-related comorbidities such as APOE genotype, age, and metabolic burden and were predicted to target genes within NF-κB -regulated inflammatory pathways. Together, these findings suggest that dysregulated miRNA networks may serve as a mechanistic link between comorbidity burden and AD-related neuroinflammation and neurodegeneration. Full article
Show Figures

Figure 1

31 pages, 471 KB  
Systematic Review
Exploring the Evidence for Personalized Pharmacotherapy in Type 2 Diabetes—A Systematic Review
by Velimir Altabas and Jelena Marinković Radošević
J. Pers. Med. 2025, 15(11), 539; https://doi.org/10.3390/jpm15110539 - 6 Nov 2025
Viewed by 1243
Abstract
Background/Objectives: Type 2 diabetes mellitus (T2DM) is a complex metabolic disorder characterized by insulin resistance, impaired insulin secretion, and chronic hyperglycemia. Recent studies have identified microRNAs (miRNAs), a class of small non-coding RNAs that regulate gene expression at the post-transcriptional level, as [...] Read more.
Background/Objectives: Type 2 diabetes mellitus (T2DM) is a complex metabolic disorder characterized by insulin resistance, impaired insulin secretion, and chronic hyperglycemia. Recent studies have identified microRNAs (miRNAs), a class of small non-coding RNAs that regulate gene expression at the post-transcriptional level, as modulators of pathways involved in T2DM pathophysiology. Dysregulated miRNA expression has been detected in various samples collected from patients with T2DM, implicating these molecules in disease onset and progression. Methods: We systematically searched PubMed, Scopus, and Web of Science for studies published from the earliest available records to 18 August 2025 using the following Boolean search terms: “miRNA AND gliclazide”, “miRNA AND glibenclamide”, “miRNA AND gliquidone”, “miRNA AND glimepiride”, “mirRNA AND metformin”, “miRNA AND pioglitazone”, “miRNA AND rosiglitazone”, “miRNA AND sitagliptin”, “miRNA AND vildagliptin”, “miRNA AND alogliptin”, “miRNA and saxagliptin”, “miRNA AND linagliptin”, “miRNA AND liraglutide”, “miRNA and dulaglutide”, “miRNA AND semaglutide”, “miRNA AND tirzepatide”, “miRNA AND lixisenatide”, “miRNA AND empagliflozin”, “miRNA AND dapagliflozin”, miRNA AND insulin glargine”, “miRNA AND insulin detemir”, “miRNA AND insulin degludec”, “miRNA AND insulin aspart”, “miRNA AND insulin glulisine”, and “miRNA AND insulin lispro”. Additionally, gray literature was searched in ClinicalTrials.gov, the EU Clinical Trials Register (EudraCT), and the ISRCTN Registry to identify unpublished studies. Studies were eligible for inclusion if they were clinical interventional studies assessing the impact of currently available antidiabetic treatments on miRNA expression. Only articles published in English were considered. The risk of bias was evaluated using the RoB2 (Risk of Bias 2) and ROBINS-I (Risk Of Bias In Non-randomized Studies—of Interventions) tools. Study characteristics and major findings were tabulated. Results: A total of 1263 manuscripts was identified initially. After removing duplicates, 726 articles remained for further screening. Ultimately, 17 manuscripts reporting interventional clinical trials on the effects of antidiabetic treatment on miRNA were included, encompassing a total of 1093 patients. Key findings included treatment-associated changes in miRNA expression and their potential utility for the prediction of clinical outcomes. Conclusions: Current evidence supports the hypothesis that antidiabetic treatments modulate miRNA expression, with some findings showing predictive value for metabolic outcomes. However, the available data remain limited and of low grade of certainty, and further large-scale clinical studies are needed to provide deeper insights into these associations. Full article
(This article belongs to the Special Issue Diabetes and Its Complications: From Research to Clinical Practice)
Show Figures

Graphical abstract

20 pages, 3826 KB  
Article
MicroRNA Signatures in Serous Ovarian Cancer: A Comparison of Prognostic Marker Targets in African Americans and Caucasians
by Jane M. Muinde, Celina Romi Yamauchi, Joseph Cruz, Alena A. McQuarter, Kyah Miller, Umang Sharma, Skyler Schiff, Isaac Kremsky, Saied Mirshahidi, Cody S. Carter and Salma Khan
Diseases 2025, 13(11), 360; https://doi.org/10.3390/diseases13110360 - 6 Nov 2025
Viewed by 784
Abstract
Background: Ovarian cancer (OC) is the second most common gynecologic malignancy in the United States and remains the leading cause of death among cancers of the female reproductive system. Alarmingly, mortality rates have risen disproportionately among women of African ancestry compared to those [...] Read more.
Background: Ovarian cancer (OC) is the second most common gynecologic malignancy in the United States and remains the leading cause of death among cancers of the female reproductive system. Alarmingly, mortality rates have risen disproportionately among women of African ancestry compared to those of European or Asian descent. Identifying microRNA (miRNA) signatures that contribute to these disparities may enhance prognostic accuracy and inform personalized therapeutic strategies. Methods: In this study, we identified prognostic markers of overall survival in serous ovarian cancer (SOC) using data from The Cancer Genome Atlas (TCGA) and the Human Protein Atlas. Integrative bioinformatic analyses revealed three key prognostic genes—TIMP3 (Tissue Inhibitor of Metalloproteinases-3), BRAF (v-raf murine sarcoma viral oncogene homolog B), and ITGB1 (Integrin Beta-1)—as critical molecular determinants associated with survival in patients with SOC. Candidate miRNAs regulating these genes were predicted using TargetScanHuman v8.0, identifying a core regulatory set comprising miR-192, miR-30d, miR-16-5p, miR-143-3p, and miR-20a-5p. To validate their clinical relevance, formalin-fixed, paraffin-embedded (FFPE) and fresh SOC tumor samples were obtained from African American and Caucasian patients who underwent surgery at Loma Linda University (LLU) between 2010 and 2023. Results and Discussion: Among all these, ITGB1 (p = 0.00033), TIMP3 (p = 0.0035), and BRAF (p = 0.026) emerged as statistically significant predictors. Following total RNA extraction, cDNA synthesis, and quantitative reverse transcription PCR (qRT-PCR), the expression levels of these miRNAs and their target genes were quantified. In the LLU cohort, ITGB1 and TIMP3 were significantly upregulated in African American patients compared to Caucasian patients (p < 0.01 and p < 0.02, respectively). Among the miRNAs, miR-192-5p was particularly noteworthy, showing marginally differential expression in LLU samples (p = 0.0712) but strong statistical significance in the TCGA cohort (p = 0.00013), where elevated expression correlated with poorer overall survival (p = 0.021). Pathway enrichment and gene ontology analyses (miRTargetLink2.0, Enrichr) revealed interconnected regulatory networks linking miR-192, miR-16-5p, miR-143-3p, and miR-20a-5p to ITGB1; miR-143-3p/miR-145-5p to BRAF; and miR-16-5p and miR-30c/d to TIMP3. Conclusions: Collectively, these findings identify distinct miRNA–mRNA regulatory signatures—particularly the miR-192-5p–ITGB1/TIMP3 axis—as potential clinically relevant biomarkers that may contribute to racial disparities and disease progression in ovarian cancer. Full article
Show Figures

Figure 1

21 pages, 7362 KB  
Article
Integrative Bioinformatics Analysis Reveals Key Regulatory Genes and Therapeutic Targets in Ulcerative Colitis Pathogenesis
by Sheikh Atikur Rahman, Mst. Tania Khatun, Mahendra Singh, Viplov Kumar Biswas, Forkanul Hoque, Nurun Nesa Zaman, Anzana Parvin, Mohammad Khaja Mafij Uddin, Md. Mominul Islam Sheikh, Most Morium Begum, Rakesh Arya and Hossain Md. Faruquee
Genes 2025, 16(11), 1296; https://doi.org/10.3390/genes16111296 - 1 Nov 2025
Viewed by 1317
Abstract
Background: Ulcerative colitis (UC), a chronic and relapsing form of inflammatory bowel disease (IBD), arises from a multifactorial interplay of genetic predisposition, immune dysregulation, and environmental triggers. Despite advances in understanding UC pathogenesis, the identification of reliable biomarkers and key regulatory genes remains [...] Read more.
Background: Ulcerative colitis (UC), a chronic and relapsing form of inflammatory bowel disease (IBD), arises from a multifactorial interplay of genetic predisposition, immune dysregulation, and environmental triggers. Despite advances in understanding UC pathogenesis, the identification of reliable biomarkers and key regulatory genes remains essential for unraveling disease mechanisms. Such insights are crucial for improving diagnostic precision and developing personalized therapeutic strategies. Methods: In this study, gene expression profiles from publicly available microarray and RNA-sequencing datasets were systematically analyzed using advanced bioinformatics tools. Differentially expressed genes (DEGs) were identified through statistical comparisons, and functional enrichment analyses were performed to explore their biological relevance. A total of 141 overlapping DEGs were extracted from three GEO datasets, and 20 key DEGs were further prioritized via protein–protein interaction (PPI) network construction. Hub genes, relevant signaling pathways, associated transcription factors (TFs), and microRNAs (miRNAs) linked to disease progression were identified. Potential therapeutic compounds were also predicted through computational drug–gene interaction analysis. Results: The analysis revealed a panel of novel biomarkers-TLR2, IFNG, CD163, CXCL9, CCL4, PRF1, TLR8, ARG1, LILRB2, FPR2, and PPARG-that function as key hub genes implicated in ulcerative colitis (UC) pathogenesis. These genes were associated with critical biological processes including signal transduction, inflammatory and immune responses, proteolysis, lipid transport, and cholesterol/triglyceride homeostasis. Furthermore, transcription factors (FOXC1, GABPA, GATA2, SUPT5H) and microRNAs (hsa-miR-34a-5p, hsa-miR-335-5p, hsa-miR-24-3p, hsa-miR-23a-5p, hsa-miR-26a-5p) revealed key regulatory networks influencing post-transcriptional gene regulation. Molecular docking analysis predicted Apremilast and Golotimod as promising therapeutic candidates for UC intervention. Conclusions: In conclusion, this study enhances our understanding of ulcerative colitis pathogenesis by identifying key biomarkers and therapeutic targets, paving the way for future advancements in personalized diagnosis and treatment strategies. Full article
(This article belongs to the Special Issue Computational Genomics and Bioinformatics of Cancer)
Show Figures

Figure 1

16 pages, 1314 KB  
Article
Genome-Wide Identification of MicroRNAs and Immune-Related Proteins Provides Insights into Antiviral Adaptations in Common Vampire Bat
by Yicheng Yan, Tianyi Liu, Xiaopeng He, Mingdao Mu and Zhiyuan Yang
Animals 2025, 15(21), 3063; https://doi.org/10.3390/ani15213063 - 22 Oct 2025
Viewed by 733
Abstract
Bats are natural reservoirs for diverse viruses, yet they rarely develop disease, suggesting unique antiviral adaptations. In this study, we performed a comprehensive genome-wide analysis in the common vampire bat (Desmodus rotundus), integrating comparative genomics, functional annotation, microRNA (miRNA) discovery, target [...] Read more.
Bats are natural reservoirs for diverse viruses, yet they rarely develop disease, suggesting unique antiviral adaptations. In this study, we performed a comprehensive genome-wide analysis in the common vampire bat (Desmodus rotundus), integrating comparative genomics, functional annotation, microRNA (miRNA) discovery, target prediction, and network-based analyses. Comparative genomic analysis revealed that Phyllostomus discolor exhibits the highest protein homology (97.4%) with D. rotundus. Alignment of interferon regulatory factors (IRFs) indicated strong conservation of IRF1, IRF5, and IRF8, while IRF4 and IRF7 showed divergence, reflecting bat-specific modulation of interferon signaling. Functional annotation of previously uncharacterized proteins identified immune-related elements, including toll-like receptor 4, syncytin-1, and endogenous retroviral sequences, highlighting the integration of viral components into host immunity. We further identified 19 novel miRNAs in D. rotundus, with high-confidence target genes such as SOD2, TRIM28, and FGFR1 involved in antiviral defense, apoptosis regulation, and oxidative stress response. Functional enrichment analyses revealed processes associated with wound healing, apoptosis suppression, infection response, and longevity. Network entropy analysis highlighted central regulatory hubs, including MYC, BCL2, and KIF1B, influencing cell cycle, survival, and immune balance. Collectively, these results demonstrate that D. rotundus employs an integrated regulatory network combining conserved immune factors, lineage-specific gene divergence, and miRNA-mediated fine-tuning to achieve viral tolerance without pathology. This study expands our understanding of bat antiviral biology and provides candidate molecular targets for future functional and translational research. Full article
(This article belongs to the Section Animal Genetics and Genomics)
Show Figures

Figure 1

15 pages, 816 KB  
Article
The Linkage Between Inflammation and the Progression of Type 2 Diabetes Mellitus
by Lucy Baldeón-Rojas, Valeria Alulema, Francisco Barrera-Guarderas, Diana Aguirre-Villacís, Cristina Cañadas-Herrera, Ricardo Bedón-Galarza, Francisco Pérez-Tasigchana and Jorge Pérez-Galarza
Curr. Issues Mol. Biol. 2025, 47(10), 859; https://doi.org/10.3390/cimb47100859 - 17 Oct 2025
Viewed by 2347
Abstract
Type 2 diabetes mellitus (T2D) is a chronic metabolic disorder in which inflammation plays a central role in its onset, progression, and complications. Identifying reliable biomarkers is essential to improve risk prediction, disease monitoring, and early intervention. A total of 169 Ecuadorian participants [...] Read more.
Type 2 diabetes mellitus (T2D) is a chronic metabolic disorder in which inflammation plays a central role in its onset, progression, and complications. Identifying reliable biomarkers is essential to improve risk prediction, disease monitoring, and early intervention. A total of 169 Ecuadorian participants were stratified into four clinical groups: non-diabetic controls (NDC), controlled T2D (C-T2D), uncontrolled T2D (NC-T2D), and diabetic kidney disease (DKD). Circulating levels of cytokines (IL-6, IL-8, TNF-α), adipokines (leptin, adiponectin), and PBMC-derived microRNAs (miR-146a, miR-155) were quantified. Associations with disease stage were evaluated using ROC curve analysis and logistic regression. Leptin showed the strongest association with T2D (OR = 13.76, 95% CI: 6.47–29.26), followed by IL-8 (OR = 6.73, 95% CI: 3.30–13.70) and IL-6 (OR = 4.43, 95% CI: 2.26–8.97). Adiponectin distinguished NC-T2D from DKD (OR = 4.15, 95% CI: 1.77–9.71), underscoring its potential as an indicator of renal complications. Interestingly, TNF-α levels declined across disease stages, possibly reflecting subclinical inflammation in Ecuadorian NDC with high rates of obesity and dyslipidemia. PBMC-derived miR-146a was upregulated in T2D patients, contrasting with prior serum-based studies and emphasizing the importance of compartment-specific analysis. miR-155 was elevated in C-T2D, suggesting a compensatory immune-regulatory mechanism that diminishes with poor glycemic control and advanced disease. Inflammatory cytokines, adipokines, and microRNAs act in distinct yet complementary ways in T2D. Leptin, IL-6, and IL-8 emerge as strong predictors of disease, while miR-146a and miR-155 provide additional insight into immune-inflammatory regulation. Integrated biomarker panels may enhance patient stratification and support personalized monitoring of T2D progression. Full article
(This article belongs to the Section Molecular Medicine)
Show Figures

Figure 1

Back to TopTop