Sign in to use this feature.

Years

Between: -

Subjects

remove_circle_outline
remove_circle_outline
remove_circle_outline
remove_circle_outline
remove_circle_outline
remove_circle_outline
remove_circle_outline
remove_circle_outline
remove_circle_outline

Journals

Article Types

Countries / Regions

remove_circle_outline
remove_circle_outline
remove_circle_outline
remove_circle_outline

Search Results (343)

Search Parameters:
Keywords = melatonin (MT)

Order results
Result details
Results per page
Select all
Export citation of selected articles as:
16 pages, 4985 KB  
Article
Melatonin Biosynthesis, Receptors, and the Microbiota–Tryptophan–Melatonin Axis: A Shared Dysbiosis Signature Across Cardiac Arrhythmias, Epilepsy, Malignant Proliferation, and Cognitive Trajectories
by Alexandre Tavartkiladze, Russel J. Reiter, Ruite Lou, Dinara Kasradze, Nana Okrostsvaridze, Pati Revazishvili, Maia Maisuradze, George Dundua, Irine Andronikashvili, Pirdara Nozadze, David Jinchveladze, Levan Tavartkiladze, Rusudan Khutsishvili and Tatia Potskhoraia
Int. J. Mol. Sci. 2026, 27(3), 1361; https://doi.org/10.3390/ijms27031361 - 29 Jan 2026
Abstract
Melatonin, an indolic neuromodulator with putative oncostatic and proposed anti-inflammatory properties, primarily demonstrated in preclinical models, is produced at extrapineal sites—most notably in the gut. Its canonical actions are mediated by high-affinity GPCRs (MT1/MT2) and by NQO2, a cytosolic enzyme with a melatonin-binding [...] Read more.
Melatonin, an indolic neuromodulator with putative oncostatic and proposed anti-inflammatory properties, primarily demonstrated in preclinical models, is produced at extrapineal sites—most notably in the gut. Its canonical actions are mediated by high-affinity GPCRs (MT1/MT2) and by NQO2, a cytosolic enzyme with a melatonin-binding site (historically termed “MT3”). A growing body of work highlights a bidirectional interaction between the gut microbiota and host melatonin. We integrated two lines of work: (i) three clinical cohorts—cardiac arrhythmias (n = 111; 46–75 y), epilepsy (n = 77; 20–59 y), and stage III–IV solid cancers (25–79 y)—profiled with stool 16S rRNA sequencing, SCFA measurements, and circulating melatonin/urinary 6-sulfatoxymelatonin and (ii) an age-spanning cognitive cohort with melatonin phenotyping, microbiome analyses, and exploratory immune/metabolite readouts, including a novel observation of melatonin binding on bacterial membranes. Across all three disease cohorts, we observed moderate-to-severe dysbiosis, with reduced alpha-diversity and shifted beta-structure. The core dysbiosis implicated tryptophan-active taxa (Bacteroides/Clostridiales proteolysis and indolic conversions) and depletion of SCFA-forward commensals (e.g., Faecalibacterium, Blautia, Akkermansia, and several Lactobacillus/Bifidobacterium spp.). Synthesised literature indicates that typical human gut commensals rarely secrete measurable melatonin in vitro; rather, their metabolites (SCFAs, lactate, and tryptophan derivatives) regulate host enterochromaffin serotonin/melatonin production. In arrhythmia models, dysbiosis, bile-acid remodelling, and autonomic/inflammatory tone align with melatonin-sensitive antiarrhythmic effects. Epilepsy exhibits circadian seizure patterns and tryptophan–metabolite signatures, with modest and heterogeneous responses to add-on melatonin. Cancer cohorts show broader dysbiosis consistent with melatonin’s oncostatic actions. In the cognitive cohort, the absence of dysbiosis tracked with preserved learning across ages, and exploratory immunohistochemistry suggested melatonin-binding sites on bacterial membranes in ~15–17% of samples. A unifying microbiota–tryptophan–melatonin axis plausibly integrates circadian, electrophysiologic, and immune–oncologic phenotypes. Practical levers include fiber-rich diets (to drive SCFAs), light hygiene, and time-aware therapy, with indication-specific use of melatonin. Our conclusions regarding microbiota–melatonin crosstalk rely primarily on local paracrine effects within the gut mucosa (where melatonin concentrations are 10–400× plasma levels), whereas systemic chronotherapy conclusions depend on circulating melatonin amplitude and phase. This original research article presents primary data from four prospectively enrolled clinical cohorts (total n = 577). Full article
17 pages, 8614 KB  
Article
Exogenous Melatonin Enhances the Salt Tolerance of Celery (Apium graveolens L.) by Regulating Osmotic Adaptation and Energy Metabolism via Starch and Sucrose Metabolic Pathways
by Zhiheng Chen, Wenhao Lin, Shengyan Yang, Wenjia Cui, Shiyi Zhang, Zexi Peng, Yonglu Li, Yangxia Zheng, Fangjie Xie and Mengyao Li
Int. J. Mol. Sci. 2026, 27(3), 1299; https://doi.org/10.3390/ijms27031299 - 28 Jan 2026
Viewed by 48
Abstract
Salt stress is one of the main abiotic stresses that restrict crop production. Melatonin (MT), a signal molecule widely present in plants, plays an important role in regulating abiotic stress response. In this study, celery seedlings were used as experimental materials, and the [...] Read more.
Salt stress is one of the main abiotic stresses that restrict crop production. Melatonin (MT), a signal molecule widely present in plants, plays an important role in regulating abiotic stress response. In this study, celery seedlings were used as experimental materials, and the control, salt stress, and exogenous MT treatment groups under salt stress were set up. Through phenotypic, physiological index determination, transcriptome sequencing, and expression analysis, the alleviation effects of MT on salt stress were comprehensively investigated. The results showed that exogenous MT treatment significantly reduced seedling growth inhibition caused by salt stress. Physiological measurements showed that MT significantly reduced malondialdehyde content, increased the activities of superoxide dismutase (SOD), peroxidase (POD) and catalase (CAT), promoted the accumulation of free proline and soluble protein, and increased photosynthetic parameters such as chlorophyll, ΦPSII, Fv/Fm, and ETR. Transcriptome analysis showed that MT regulates the expression of several genes associated with carbon metabolism, including β-amylase gene (AgBAM), sucrose-degrading enzyme genes (AgSUS, AgINV), and glucose synthesis-related genes (AgAG, AgEGLC, AgBGLU). The results of qRT-PCR verification were highly consistent with the transcriptome sequencing data, revealing that MT synergistically regulates starch and sucrose metabolic pathways, and effectively alleviates the damage of celery seedlings under salt stress at the molecular level. In summary, exogenous MT significantly improved the salt tolerance of celery by enhancing antioxidant capacity, maintaining photosynthetic function, promoting the accumulation of osmotic adjustment substances, and synergistically regulating carbon metabolism-related pathways. The concentration of 200 μM was identified as optimal, based on its most pronounced alleviating effects across the physiological parameters measured. This study provides an important theoretical basis for utilizing MT to enhance plant salt resistance. Full article
(This article belongs to the Collection Advances in Molecular Plant Sciences)
Show Figures

Figure 1

15 pages, 1080 KB  
Article
Producing High-Quality Buckwheat Sprouts: The Combined Effects of Melatonin and UV-B Treatment
by Xin Tian, Meixia Hu, Weiming Fang and Yongqi Yin
Foods 2026, 15(3), 422; https://doi.org/10.3390/foods15030422 - 24 Jan 2026
Viewed by 185
Abstract
Our prior research revealed that UV-B stress enhances bioactive compounds’ biosynthesis in buckwheat sprouts while simultaneously increasing oxidative damage. To address this, we searched for an exogenous hormone capable of promoting bioactive compound accumulation while mitigating UV-B-induced oxidative damage. This study investigated the [...] Read more.
Our prior research revealed that UV-B stress enhances bioactive compounds’ biosynthesis in buckwheat sprouts while simultaneously increasing oxidative damage. To address this, we searched for an exogenous hormone capable of promoting bioactive compound accumulation while mitigating UV-B-induced oxidative damage. This study investigated the regulatory effects of exogenous melatonin (MT) on secondary metabolite accumulation and antioxidant systems in buckwheat sprouts under UV-B stress. MT (30 μM) treatment significantly increased the contents of bioactive compounds (flavonoids and total phenolics) in buckwheat sprouts under UV-B stress. Moreover, these contents peaked in 3-day-old sprouts, showing increases of 23.1% and 13.6%, respectively, compared to UV-B-treated. Concurrently, combined UV-B and MT treatment significantly elevated key enzyme activities in the phenylpropanoid pathway and upregulated the related gene expression levels. Additionally, exogenous MT significantly enhanced the antioxidant capacity of sprouts under 3-day UV-B stress, increasing DPPH radical scavenging rate and FRAP values by 8.38% and 12.2%, respectively. MT treatment also upregulated superoxide dismutase activity (32.1%), peroxidase activity (10.3%), and catalase activity (27.2%). It further enhanced the expression of antioxidant-related genes. Collectively, these effects reduced the accumulation of malondialdehyde, hydrogen peroxide, and superoxide anions, thereby mitigating UV-B-induced oxidative damage in sprouts. This research suggests a potential strategy for the targeted enhancement of bioactive compounds in buckwheat sprouts. Full article
Show Figures

Figure 1

21 pages, 5235 KB  
Article
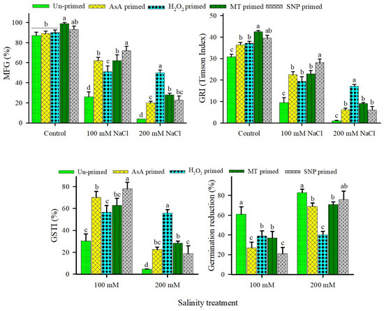
Redox Priming Ameliorates Salinity Tolerance of Seeds and Seedlings of the Coastal Halophyte Grass Urochondra setulosa
by Sadiq Hussain, Farah Nisar, Sahar Abbas, Abdul Hameed and Brent L. Nielsen
Plants 2026, 15(3), 350; https://doi.org/10.3390/plants15030350 - 23 Jan 2026
Viewed by 301
Abstract
Low salinity tolerance during germination and early seedling establishment limits large-scale cultivation of halophytes for forage, food, restoration, and conservation purposes. This study evaluates the potential of redox priming to enhance salt tolerance in the perennial C4 halophyte grass Urochondra setulosa, [...] Read more.
Low salinity tolerance during germination and early seedling establishment limits large-scale cultivation of halophytes for forage, food, restoration, and conservation purposes. This study evaluates the potential of redox priming to enhance salt tolerance in the perennial C4 halophyte grass Urochondra setulosa, which could be used as a revegetation and phytoremediation crop for coastal saline lands. Fresh seeds were found to be non-dormant with ~90% mean final germination (MFG) in distilled water. Redox priming, including hydrogen peroxide (H2O2), melatonin (MT), sodium nitroprusside (SNP; a nitric oxide donor), and ascorbic acid (AsA), significantly accelerated the germination rate index (GRI) and reduced mean germination time (MGT) without altering MFG under non-saline conditions. Salinity severely suppressed germination, as unprimed seeds reached only ~1% MFG with ~99% germination reduction (GR) and near-zero germination stress tolerance index (GSTI) at 200 mM NaCl. All priming treatments significantly improved MFG, GRI, and GSTI and decreased GR, with H2O2 priming showing the highest amelioration. Ungerminated seeds from all treatments recovered ~90% germination capacity in water, indicating enforced dormancy owing to osmotic constraints. Salinity did not impair growth in unprimed seedlings. However, MT priming uniquely enhanced total length, leaf area, and seedling vigor index (SVI) at 200 mM NaCl, while MT and SNP priming resulted in the highest chlorophyll and carotenoid contents. Multivariate analyses confirmed MT’s consistent superiority across traits under stress. Thus, H2O2 priming optimizes germination, while MT priming improves seedling vigor and offers a practical, targeted strategy to improve early-stage salinity tolerance in U. setulosa for coastal revegetation and sustainable saline agriculture. Full article
(This article belongs to the Special Issue Abiotic Stress Responses in Plants—Second Edition)
Show Figures

Figure 1

14 pages, 2076 KB  
Article
EjMYB15 Improves Cold Tolerance of Postharvest Loquat Fruit via Upregulating Antioxidant Enzyme Genes
by Weiqi Liang, Jiahui Wan, Jing Lin, Yanting Wu, Wenbing Su and Zhongqi Fan
Foods 2026, 15(2), 301; https://doi.org/10.3390/foods15020301 - 14 Jan 2026
Viewed by 231
Abstract
As cold-sensitive fruits, loquats easily develop chilling injury (CI) during cold storage, which leads to quality deterioration and economic losses. Our prior research indicated that exogenous melatonin (MT) treatment can mitigate CI in postharvest loquats by regulating reactive oxygen species (ROS) metabolism, but [...] Read more.
As cold-sensitive fruits, loquats easily develop chilling injury (CI) during cold storage, which leads to quality deterioration and economic losses. Our prior research indicated that exogenous melatonin (MT) treatment can mitigate CI in postharvest loquats by regulating reactive oxygen species (ROS) metabolism, but the underlying molecular mechanism remains unclear. The primary objective of this study is to decipher the molecular regulatory pathway by which MT alleviates CI in postharvest loquats, focusing on the role of MYB transcription factors (TFs) in modulating antioxidant enzyme genes. Here, MT treatment remarkably reduced CI severity in loquat fruits, as reflected by lower CI index, reduced cell membrane permeability, decreased firmness, lower a* and b* values, and higher L* value, compared with the control group. Moreover, a cold-induced MYB TF, designated EjMYB15, was identified. Compared to non-treated fruits, the expression level of EjMYB15 was maintained at higher levels in MT-treated loquats. Subcellular localization and transactivation assays demonstrated that EjMYB15 is a nuclear-localized transcriptional activator. Electrophoretic mobility shift assay (EMSA) and dual-luciferase reporter (DLR) assays showed that EjMYB15 binds the MYB-binding sites (MBS) in the promoters of four antioxidant enzyme genes (EjCAT1, EjCAT2, EjGST1, and EjGST2), thereby activating their transcription. Taken together, these findings indicate that EjMYB15 positively regulates cold tolerance of loquat fruits by improving ROS scavenging capacity. These results elucidate the regulatory pathway by which MYB TFs mitigate CI and provide new theoretical support for the application of MT in alleviating CI in postharvest fruits. Full article
Show Figures

Figure 1

24 pages, 2221 KB  
Article
Unraveling Cannabidiol’s Bidirectional Regulation of Melatonin Pharmacokinetics via PEPT1/CYP1A2: Mechanistic Insights and Quantitative Projections
by Bohong Zheng, Mengran Wang, Qiannan Zhang, Cong Li, Lingchao Wang, Wenpeng Zhang, Chunyan Liu and Xiaomei Zhuang
Pharmaceuticals 2026, 19(1), 80; https://doi.org/10.3390/ph19010080 - 30 Dec 2025
Viewed by 298
Abstract
Background: Chronic insomnia is associated with elevated cardiovascular disease risk, and current therapeutic options for this condition remain inadequate. Melatonin (MT) combined with cannabidiol (CBD) may exert synergistic effects on improving sleep; the underlying pharmacological drug–drug interactions (DDI) and interspecies differences in their [...] Read more.
Background: Chronic insomnia is associated with elevated cardiovascular disease risk, and current therapeutic options for this condition remain inadequate. Melatonin (MT) combined with cannabidiol (CBD) may exert synergistic effects on improving sleep; the underlying pharmacological drug–drug interactions (DDI) and interspecies differences in their combined actions remain unknown. Purpose: This study aimed to evaluate the pharmacokinetic characteristics of combined drug formulations by utilizing DDI-based approaches so as to underpin the efficacy and safety of the formulation. Methods: Overexpressing hPEPT1 in MDCK cells, multiple species liver microsomes, equilibrium dialysis, and a static DDI model were employed to assess CBD’s effects on MT’s cellular uptake, inhibitory effect, enzymatic phenotype, protein binding, and human AUC changes. Results: CBD significantly increased MT exposure in dogs but caused dose-dependent biphasic changes in rats. MT negligibly affected CBD PK. In vitro, CBD inhibited MT metabolism with species differences: potent competitive inhibition in dogs (IC50 = 3.42 ± 1.30 μM), weaker inhibition in rats/humans (IC50 = 13.54 ± 1.15/16.47 ± 4.23 μM). CBD also demonstrated mechanism-based inhibition (KI = 25.63 μM, Kinact = 0.063 min−1) against human CYP1A2-mediated MT metabolism. Acidic conditions revealed that CBD inhibited PEPT1-mediated MT uptake. CBD exhibits high and MT moderate protein binding. Static model predictions aligned with in vivo dog/rat data project a worst-case human MT AUC increase up to 12-fold. Conclusions: This study identifies the critical role of PEPT1 in MT absorption and elucidates the dual mechanisms of CBD; namely, absorption inhibition and metabolic delay in regulating MT pharmacokinetics, which exhibits interspecies differences. Full article
(This article belongs to the Section Pharmacology)
Show Figures

Graphical abstract

27 pages, 3896 KB  
Article
Melatonergic Regulation of Polyethism and Circadian Foraging in Apis mellifera
by Naznin Nahar, Quynh Tranthi, Jadwiga Bembenek, Ahmed A. M. Mohamed, Qiushi Wang, Susumu Hiragaki, Rasha K. Al-Akeel, Hend M. Alharbi, Azza Elgendy, Abdo A. Elfiky, Amr Mohamed and Makio Takeda
Int. J. Mol. Sci. 2026, 27(1), 35; https://doi.org/10.3390/ijms27010035 - 19 Dec 2025
Viewed by 626
Abstract
Melatonin is a conserved indolamine implicated in circadian and developmental timing, but its role in social-insect task allocation is unclear. Here, we show that melatonergic signaling modulates the nurse → forager transition in the honey bee (Apis mellifera). A single hemocoelic [...] Read more.
Melatonin is a conserved indolamine implicated in circadian and developmental timing, but its role in social-insect task allocation is unclear. Here, we show that melatonergic signaling modulates the nurse → forager transition in the honey bee (Apis mellifera). A single hemocoelic dose of melatonin (100 ng) markedly reduced hive retention and advanced the age at first waggle dance by ≈9 days (median 11.8 vs. 20.9 days; common-language effect size = 0.94). Complementary manipulations—pharmacological antagonism with luzindole and RNA interference (RNAi)-mediated knockdown of a candidate melatonin receptor (AmMTR/AmMT2; transcript reduction ≈65–79% at 24–72 h)—produced reciprocal suppression of foraging, indicating pathway dependence. Transcriptional profiling revealed a forager-age peak in the arylalkylamine N-acetyltransferase ortholog AmNAT2 (≈10-fold increase near day 23), while AmNAT1 remained unchanged; melatonin treatment was associated with a trend toward increased Amα-glucosidase expression. Computational analyses classify AmMTR as a class-A GPCR and identify plausible melatonin-compatible pockets; promoter scans reveal high-confidence circadian motif matches upstream of AmMTR. These in silico results are presented as hypothesis-generating. Together, the behavioral, molecular, pharmacological and computational lines of evidence support melatonin as a circadian-informed modulatory signal that helps align neuroendocrine and metabolic states with the timing of extranidal behavior. Confirmation via receptor functional assays and broader colony replication will be important. Full article
Show Figures

Graphical abstract

14 pages, 1632 KB  
Article
Extended Photoperiod Exposure Affects Imidacloprid Toxicity on Juvenile Crayfish Procambarus clarkii by Regulating Oxidative Stress and Neuroendocrine Pathways
by Yi Huang, Dongming Qi, Xiaoyan Li, Xiaodan Hu, Qiang Huang and Zhiqiu Huang
Fishes 2025, 10(11), 562; https://doi.org/10.3390/fishes10110562 - 4 Nov 2025
Viewed by 516
Abstract
Imidacloprid (IMI), a neonicotinoid insecticide, is widely recognized for its environmental persistence and toxicity to non-target aquatic organisms. Extended photoperiod exposure (EPE), an emerging anthropogenic stressor, further disrupts aquatic ecosystems by altering physiological and biological processes. However, their combined impacts on aquatic species [...] Read more.
Imidacloprid (IMI), a neonicotinoid insecticide, is widely recognized for its environmental persistence and toxicity to non-target aquatic organisms. Extended photoperiod exposure (EPE), an emerging anthropogenic stressor, further disrupts aquatic ecosystems by altering physiological and biological processes. However, their combined impacts on aquatic species remain insufficiently explored. This study evaluates the synergistic effects of IMI and EPE on Procambarus clarkii, an ecologically and economically significant crayfish species. Crayfish were exposed to 25 µg/L IMI under normal photoperiod (1000 lx, L:D = 12:12 h) and additional intensified and extended photoperiod (5000 lx, L:D = 18:6 h) treatments over one month. Key parameters, including survival rate, growth performance, oxidative stress markers, immune enzyme activities, neuroendocrine hormone levels, and gene expression, were assessed. The results indicate that EPE significantly amplifies the adverse effects of IMI. EPE reduced survival rates and growth performance, particularly in the 5000 lx group. IMI combined with EPE markedly elevated oxidative stress, as evidenced by increased malondialdehyde (MDA) levels and altered activities of superoxide dismutase (SOD) and catalase (CAT). Immune functions were impaired, with significant reductions in lysozyme (LZM) and acid phosphatase (ACP). Neuroendocrine disruption was observed through suppressed melatonin (MT) levels under EPE. Gene-expression analysis revealed upregulation of oxidative stress and apoptotic pathways (Cu/Zn-SOD, CAT and caspase-3) and downregulation of anti-apoptotic genes (bcl-2) and molt-inhibiting hormone (MIH). This study demonstrates that EPE exacerbates IMI-induced physiological and biochemical disruptions in P. clarkii. The findings highlight the pressing need for integrated management strategies addressing chemical and light pollution to protect aquatic ecosystems and sustain economically important species like crayfish. Full article
Show Figures

Figure 1

16 pages, 2043 KB  
Article
Melatonin Rescues Triclosan-Disrupted Porcine Oocyte Meiosis via Suppression of p53-Mediated Apoptosis
by Jiaxin Duan, Ning Zhao, Shibin Wang, Xinyu Li, Bugao Li and Guoqing Cao
Animals 2025, 15(21), 3193; https://doi.org/10.3390/ani15213193 - 3 Nov 2025
Viewed by 600
Abstract
Triclosan (TCS), a widely used environmental antimicrobial agent, poses potential risks to female reproductive health, yet its toxic effects on oocyte maturation remain inadequately characterized. In this study, we established an in vitro maturation (IVM) model of porcine oocytes to investigate TCS-induced meiotic [...] Read more.
Triclosan (TCS), a widely used environmental antimicrobial agent, poses potential risks to female reproductive health, yet its toxic effects on oocyte maturation remain inadequately characterized. In this study, we established an in vitro maturation (IVM) model of porcine oocytes to investigate TCS-induced meiotic impairment and to evaluate the rescuing effects of melatonin (MT), an endogenous indoleamine with potent antioxidant and anti-apoptotic activities. Our results demonstrated that TCS exposure significantly disrupted oocyte maturation, as evidenced by suppressed polar body extrusion and compromised cumulus expansion. Furthermore, TCS triggered early apoptosis. Proteomic analysis revealed that the p53 signaling pathway was significantly dysregulated by TCS exposure. Notably, co-treatment with MT during IVM effectively restored meiotic progression, attenuated apoptosis, and rebalanced the disrupted proteomic profile. Mechanistic investigation, validated by Western blotting, confirmed that TCS upregulated p53 and downregulated its downstream cell cycle effector CCNB1 while concurrently altering the ratio of apoptosis-related proteins BAX/BCL-2. Melatonin treatment effectively normalized the expression of these key proteins (p53, CCNB1, BAX, and BCL-2). These findings illustrate that MT rescues TCS-impaired oocyte quality through p53-dependent suppression of apoptosis and restoration of meiotic progression, providing new insights into potential strategies for mitigating environmental pollutant-induced reproductive damage. Full article
(This article belongs to the Section Animal Reproduction)
Show Figures

Figure 1

21 pages, 2830 KB  
Review
Melatonin and Grain Legume Crops: Opportunities for Abiotic Stress Tolerance Enhancement and Food Sustainability
by Humberto A. Gajardo, Jorge González-Villagra and Patricio Arce-Johnson
Plants 2025, 14(21), 3324; https://doi.org/10.3390/plants14213324 - 30 Oct 2025
Viewed by 865
Abstract
Grain legume crops are rich in nutritional value and play a crucial role in global food sustainability. Like many other crops, they are affected by various abiotic stresses that reduce yield and seed quality, thereby threatening food security. Several strategies have been proposed [...] Read more.
Grain legume crops are rich in nutritional value and play a crucial role in global food sustainability. Like many other crops, they are affected by various abiotic stresses that reduce yield and seed quality, thereby threatening food security. Several strategies have been proposed to mitigate these effects and enhance yield. Among them, the use of biostimulants offers a sustainable and efficient approach to improving stress tolerance in the short term. However, the molecular mechanisms underlying the effects of individual or combined molecules remain poorly understood and could significantly influence the development of edited crops with enhanced stress tolerance in the long term. Melatonin (MT) has emerged as a versatile biostimulant, providing multiple benefits across different crop species. Given its key role in plant physiological processes, along with endogenous production, receptor identification, and signaling functions, it has been suggested to act as a hormone-like molecule. Nonetheless, the molecular response triggered by its application remains under investigation, particularly in grain legume species. This review explores the current state of MT applications for alleviating abiotic stress in grain legume crops, with emphasis on drought, salinity, metals/metalloids, and heat stress. We integrate biochemical, molecular, and physiological evidence to highlight the main scientific gaps regarding MT function in grain legumes. Finally, we discuss the biotechnological prospects of combining MT with modern breeding tools, as well as strategies for its delivery and sustainable production. Full article
Show Figures

Figure 1

14 pages, 5243 KB  
Article
Exogenous Melatonin Effects on Drought-Stressed Longan Plants: Physiology and Transcriptome Insights
by Beibei Qi, Rongshao Huang, Xianquan Qin, Ning Xu, Liangbo Li, Kexin Cao, Hongye Qiu and Jianhua Chen
Agronomy 2025, 15(11), 2530; https://doi.org/10.3390/agronomy15112530 - 30 Oct 2025
Viewed by 611
Abstract
Drought stress severely constrains yield and quality stability in longan (Dimocarpus longan Lour.), an important medicine and food homology fruit in China. Melatonin (MT) shows potential for alleviating abiotic stress, but its mechanisms in drought-stressed longan remain unclear. Here, we investigated two [...] Read more.
Drought stress severely constrains yield and quality stability in longan (Dimocarpus longan Lour.), an important medicine and food homology fruit in China. Melatonin (MT) shows potential for alleviating abiotic stress, but its mechanisms in drought-stressed longan remain unclear. Here, we investigated two cultivars (Shixia and Chuliang) under drought and exogenous MT treatments (CW, well-watered control; CM, exogenous MT application under well-watered control; DW, drought stress; DM, exogenous MT application under drought stress), revealing the following findings: (i) Drought treatment significantly reduced endogenous MT levels in both studied cultivars, and the reduction was reversed by exogenous foliar MT application. Specifically, under drought conditions, exogenous MT treatment increased endogenous MT content by 272.7% in Shixia and 53.6% in Chuliang, respectively. (ii) Drought and exogenous MT treatments modulated the activities of plant defense enzymes (superoxide dismutase, SOD; peroxidase, POD; phenylalanine ammonia lyase, PAL; and catalase, CAT) and the levels of related metabolites (malondialdehyde, MDA; proline, Pro). Across both cultivars, drought stress increased the activities of SOD, POD, and PAL, as well as the Pro content. Exogenous MT treatment, however, reduced the activities of SOD, POD, and PAL while increasing CAT activity and MDA content to some extent in both cultivars. Notably, the Pro content was significantly reduced in Shixia but significantly increased in Chuliang following exogenous MT application under drought stress. (iii) Drought and exogenous MT treatments regulated gene expression in longan cultivars. Relative to CW, 848, 3356, and 2447 differentially expressed genes (DEGs) were detected in CM, DW, and DM in Shixia, respectively. Relative to CW, 1349, 5260, and 5116 DEGs were identified in CM, DW, and DM in Chuliang. A gene ontology analysis indicated significant enrichment for abiotic stress defense and hormone-responsive processes. The KEGG pathway analysis showed significant enrichment in protein processing in the endoplasmic reticulum (ko04141), amino sugar and nucleotide sugar metabolism (ko00520), ascorbate and aldarate metabolism (ko00053), plant–pathogen interaction (ko04626), and starch and sucrose metabolism (ko00500). These findings provide physiological and transcriptomic insights into MT-regulated drought responses in longan, highlighting its potential for improving productivity in drought-prone regions. Full article
Show Figures

Figure 1

21 pages, 2633 KB  
Article
Melatonin at Crossroads with Phytohormones: Interactions Under High Light Stress
by Ivan A. Bychkov, Natalia V. Kudryakova, Victoria V. Shitikova and Victor V. Kusnetsov
Int. J. Mol. Sci. 2025, 26(21), 10531; https://doi.org/10.3390/ijms262110531 - 29 Oct 2025
Viewed by 656
Abstract
Melatonin (MT), an antioxidant and growth regulator, interacts with almost all phytohormones, but the molecular mechanisms of these interactions are poorly understood. Using mRNA sequencing (mRNA-seq) technology, we analysed the global regulation of MT-induced expression of genes involved in metabolism, signalling and responses [...] Read more.
Melatonin (MT), an antioxidant and growth regulator, interacts with almost all phytohormones, but the molecular mechanisms of these interactions are poorly understood. Using mRNA sequencing (mRNA-seq) technology, we analysed the global regulation of MT-induced expression of genes involved in metabolism, signalling and responses to major phytohormones under prolonged high-intensity light (HL) stress. Plants respond to MT through the activation of auxin and brassinosteroid (BS) response genes, which were identified among the enriched categories of differentially expressed genes (DEGs) with increased expression, and the suppression of abscisic acid and ethylene signalling and response genes, which were among the enriched downregulated categories. MT also suppressed growth-inhibiting genes involved in jasmonic acid (JA) and salicylic acid (SA) signalling and response and activated genes encoding the growth-promoting hormones gibberellins and cytokinins (CKs), which is consistent with the role of MT in stress alleviation. However, the expression of some unique genes, which are positively or negatively modulated by stress, was reinforced by MT treatment, illustrating the extraordinary type of regulation that enhances the action of specific hormone-mediated mechanisms. The study of signal integration between MT and hormones with the involvement of signalling mutants revealed that some interactions are regulated at the transcriptional level and require the activity of relevant signalling pathways. Disruption of CAND2 completely abolished melatonin-dependent activation of the mitogen-activated protein kinases MAP3K17 and MKK7, suggesting that the MAP3K17-MKK7 module is an important player in the MT-triggered MAPK pathway, acting downstream of CAND2. Full article
(This article belongs to the Special Issue Emerging Insights into Phytohormone Signaling in Plants)
Show Figures

Figure 1

16 pages, 3708 KB  
Article
Melatonin and Inflammatory Cytokines as Modulators of the Interaction Between Gestational Diabetes Mellitus and Pregnancy-Specific Urinary Incontinence
by Danielle Cristina Honório França, Eduardo Luzia França, Adenilda Cristina Honório-França, Kênia Maria Rezende Silva, Adriele Ataídes de Queiroz, Tassiane Cristina Morais, Emanuelle Carolina Honorio França, Carolina Neiva Frota de Carvalho, Danny Laura Gomes Fagundes-Triches, Angélica Mércia Pascon Barbosa, Iracema de Mattos Paranhos Calderon, Luis Sobrevia and Marilza Vieira Cunha Rudge
Metabolites 2025, 15(11), 699; https://doi.org/10.3390/metabo15110699 - 28 Oct 2025
Cited by 1 | Viewed by 658
Abstract
Background: The pathogenesis of developing gestational diabetes mellitus (GDM) integrated with pregnancy-specific urinary incontinence (PSUI) may be related to immunological and hormonal factors. Inflammatory cytokines influence the function and regulation of the urinary tract, and changes in melatonin concentration are a predisposing factor [...] Read more.
Background: The pathogenesis of developing gestational diabetes mellitus (GDM) integrated with pregnancy-specific urinary incontinence (PSUI) may be related to immunological and hormonal factors. Inflammatory cytokines influence the function and regulation of the urinary tract, and changes in melatonin concentration are a predisposing factor for smooth muscle dysfunction and cystometric changes. Objective: This study examines the influence of melatonin, MT1 and MT2 receptors, and inflammatory cytokines in the blood and urine of pregnant women with GDM and PSUI. Methods: Two hundred sixty-nine pregnant women were approached during the diagnostic investigation of GDM and answered a specifically structured questionnaire about the involuntary loss of urine. According to these criteria, mothers were divided into four groups: continent normoglycemic (NG-C), incontinent normoglycemic (NG-I), continent GDM (GDM-C), and incontinent GDM (GDM-UI). Blood and urine samples were collected to determine the levels of melatonin, melatonin sulfate, melatonin receptors (MT1 and MT2), and inflammatory cytokines. Results: Blood level of melatonin and IL-10 was lower, but MT1, MT2, IL-1β, IL-8, and TNF-α were higher in GDM-UI compared with the NG-C group. The melatonin sulfate level was lower in the urine of the GDM-UI group compared with the NG-C group. Conclusions: Maternal hyperglycemia associated with urinary incontinence generates an inflammatory environment characterized by reduced melatonin and IL-10 and increased IL-1β, IL-8, and TNF-α in the blood of mothers with GDM with UI. This environmental condition may be involved in the pathogenesis of these pathologies. Full article
(This article belongs to the Section Endocrinology and Clinical Metabolic Research)
Show Figures

Graphical abstract

18 pages, 3817 KB  
Article
Melatonin Protects Intact Rat Ovarian Transplantation via the MT1/Nrf2/ARE Pathway
by Lingyun Xie, Shanshan Wang, Yuling Wu, Xuyin Zhang and Yan Ding
Cells 2025, 14(20), 1588; https://doi.org/10.3390/cells14201588 - 13 Oct 2025
Viewed by 804
Abstract
Cryopreservation and transplantation of intact ovaries offer a promising approach to fertility restoration in cancer patients. However, ischemia–reperfusion injury following transplantation significantly impairs graft function. This study aimed to evaluate the protective effects of melatonin and elucidate its underlying mechanisms of action, including [...] Read more.
Cryopreservation and transplantation of intact ovaries offer a promising approach to fertility restoration in cancer patients. However, ischemia–reperfusion injury following transplantation significantly impairs graft function. This study aimed to evaluate the protective effects of melatonin and elucidate its underlying mechanisms of action, including antioxidant and anti-inflammatory properties. Intact ovaries from 8 to 12-week-old LEWIS rats were cryopreserved and subsequently transplanted. Melatonin (25 mg/kg and 50 mg/kg) was administered daily from day 1 to day 4 postoperatively. Estrous cycle recovery and ovarian histology were examined, along with measurements of hormone concentrations, antioxidant activity, and inflammatory mediators. The oxidative stress response, particularly the nuclear factor erythroid 2-related factor 2 (Nrf2)/antioxidant response elements (ARE) signaling pathway—including Nrf2, Kelch-like ECH-associated protein 1 (Keap1), and sMafg—was investigated to elucidate melatonin’s protective mechanisms. The roles of melatonin receptors and Nrf2 were investigated using specific receptor antagonists (Luzindole, 4P-PDOT) and an inhibitor (ML385) to confirm the involvement of the MT1/Nrf2/ARE pathway. As a result, rats treated with high-dose melatonin (50 mg/kg) exhibited accelerated estrous cycle recovery, reduced follicular loss, improved serum hormone levels, enhanced antioxidant capacity in serum and ovarian tissue, and decreased levels of inflammatory cytokines. Furthermore, melatonin exerted its antioxidant and anti-inflammatory effects through activation of the Nrf2/ARE signaling pathway via the MT1 receptor. These protective effects were abolished by the inhibition of either Nrf2 or MT1 receptor. In conclusion, these findings demonstrate that melatonin mitigates oxidative stress and inflammatory damage in intact transplanted ovaries through the MT1/Nrf2/ARE signaling axis, thereby preserving ovarian function post-transplantation. Full article
Show Figures

Figure 1

22 pages, 4622 KB  
Article
Elucidating the Mechanistic Role of Exogenous Melatonin in Salt Stress Tolerance of Maize (Zea mays L.) Seedlings: An Integrated Physiological, Metabolomic, and Proteomic Profiling Analysis
by Zhichao Wang, Linhao Zong, Qiqi Cai, Yinjie Fu, Zhiping Gao and Guoxiang Chen
Plants 2025, 14(20), 3129; https://doi.org/10.3390/plants14203129 - 10 Oct 2025
Viewed by 694
Abstract
Maize (Zea mays L.), as a globally significant cereal crop, exhibits high sensitivity to salt stress during early seedling stages. Although melatonin (MT) has demonstrated potential in mitigating abiotic stresses, the specific mechanisms underlying MT-mediated alleviation of salt stress in maize seedlings [...] Read more.
Maize (Zea mays L.), as a globally significant cereal crop, exhibits high sensitivity to salt stress during early seedling stages. Although melatonin (MT) has demonstrated potential in mitigating abiotic stresses, the specific mechanisms underlying MT-mediated alleviation of salt stress in maize seedlings remain unclear. In this study, we established four treatment groups: control (CK), melatonin treatment (MT), salt stress (NaCl), and combined treatment (NaCl_MT). Metabolomic and proteomic analyses were performed, supplemented by photosynthesis-related experiments as well as antioxidant-related experiments. Metabolomic analysis identified key metabolites in MT-mediated salt stress mitigation. Both metabolomic and proteomic analyses underscored the critical roles of photosynthetic and antioxidant pathways. Salt stress significantly decreased the net photosynthetic rate (Pn) by 67.7%, disrupted chloroplast ultrastructure, and reduced chlorophyll content by 41.6%. Conversely, MT treatment notably mitigated these detrimental effects. Moreover, MT enhanced the activities of antioxidant enzymes by approximately 10–20% and reduced the accumulation of oxidative stress markers by around 10–25% in maize seedlings under salt stress. In conclusion, this study conducted a systematic and multidimensional investigation into the mitigation of salt stress in maize seedlings by MT. Our results revealed that MT enhances antioxidant systems, increases chlorophyll content, and alleviates damage to chloroplast ultrastructure, thereby improving photosystem II performance and strengthening photosynthesis. This ultimately manifests as improved seedling phenotypes under salt stress. These findings provide a meaningful entry point for breeding salt-tolerant maize varieties and mitigating the adverse effects of salinized soil on maize growth and yield. Full article
(This article belongs to the Special Issue Abiotic Stress Responses in Plants—Second Edition)
Show Figures

Figure 1

Back to TopTop