Redox Priming Ameliorates Salinity Tolerance of Seeds and Seedlings of the Coastal Halophyte Grass Urochondra setulosa
Abstract
1. Introduction
2. Results
2.1. Effects of Redox Priming on Germination and Seedling Growth in Water
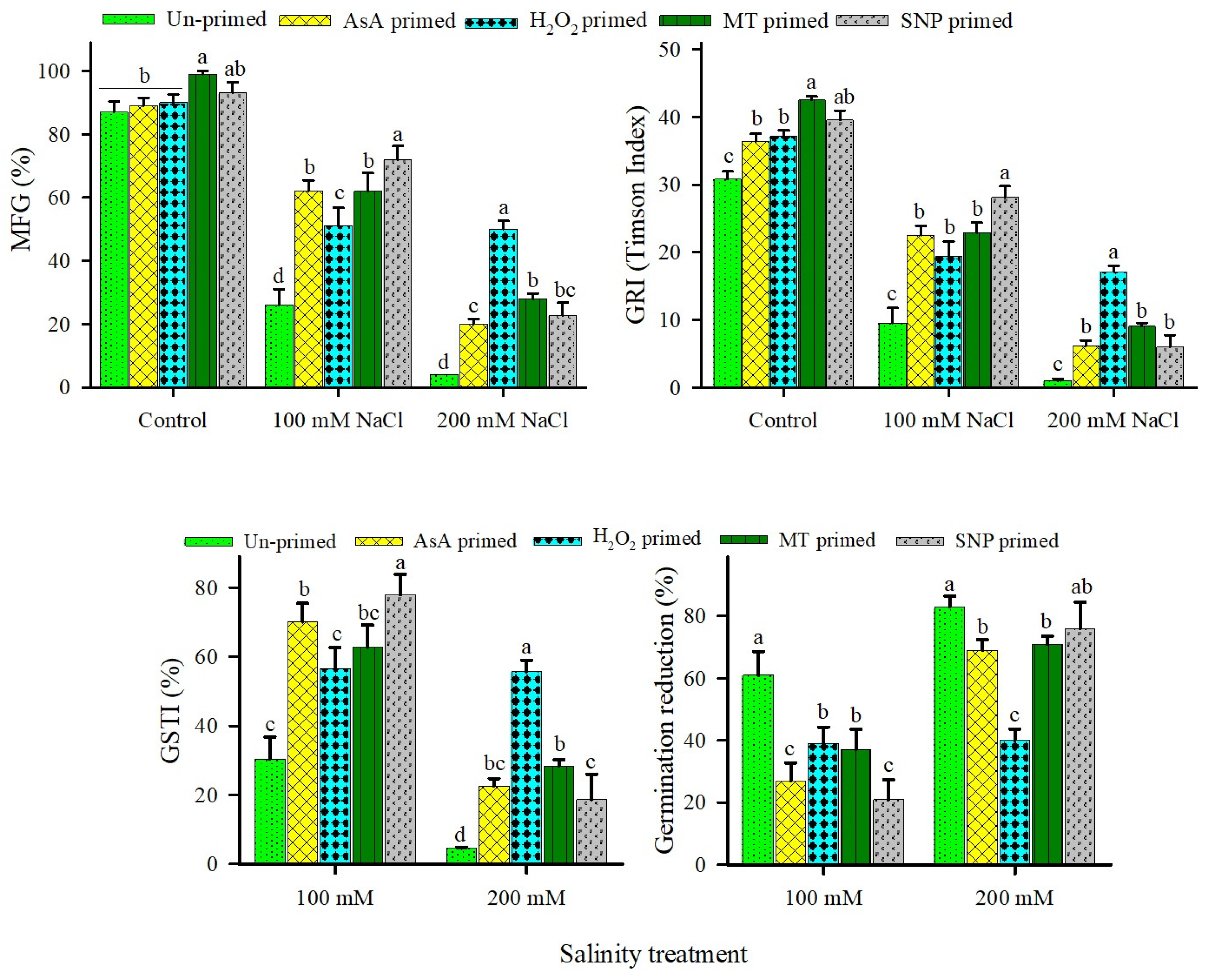
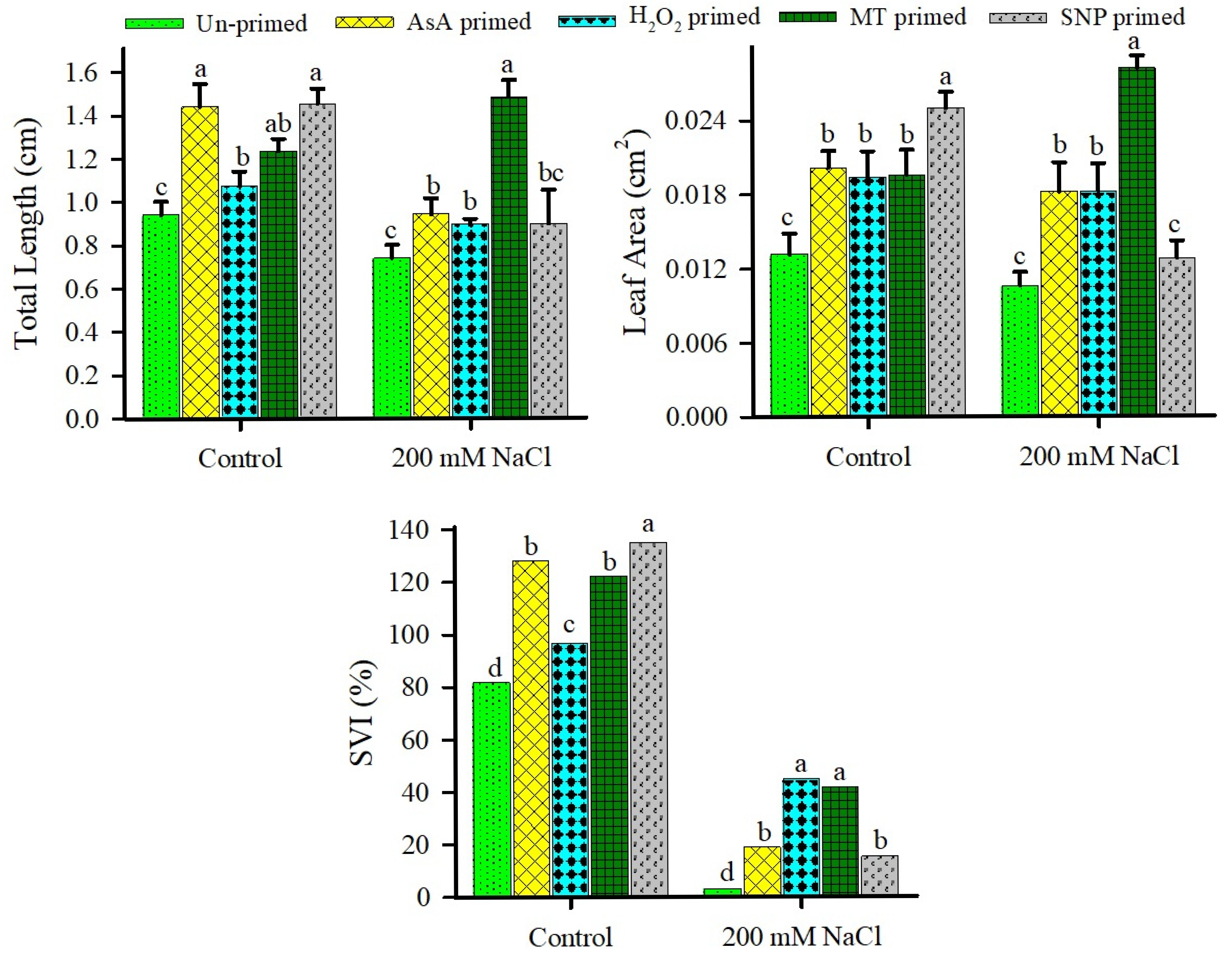
2.2. Effects of Redox Priming on Germination and Seedling Growth Under Salinity
3. Discussion
3.1. Effects of Redox Priming on Germination and Seedling Growth in Water
3.2. Effects of Redox Priming on Germination and Seedling Growth Under Salinity
4. Materials and Methods
4.1. Habitat, Seed Collection, and Initial Seed Quality Assessment
4.2. Experiment 1—Effects of Redox Priming on Germination and Seedling Growth in Water
4.3. Experiment 2—Effects of Redox Priming on Germination and Seedling Growth Under Salinity
4.4. Statistical Analysis
5. Conclusions
Author Contributions
Funding
Data Availability Statement
Acknowledgments
Conflicts of Interest
References
- Su, C.; Peng, X.; Tan, J.; Chang, Y.; Pan, N.; Chen, H.; Xu, X.; Han, L. Dual-emission carbon dot nanozymes mitigate salt stress and enhance photosynthesis for crop germination and growth. Adv. Sci. 2025, 12, e06906. [Google Scholar] [CrossRef] [PubMed]
- FAO. The State of Food Insecurity in the World 2011: How Does International Price Volatility Affect Domestic Economies and Food Security? FAO: Rome, Italy, 2011. [Google Scholar]
- Flowers, T.J.; Muscolo, A. Introduction to the Special Issue: Halophytes in a Changing World. Plants 2015, 7, plv020. [Google Scholar] [CrossRef] [PubMed]
- Munns, R.; Tester, M. Mechanisms of salinity tolerance. Annu. Rev. Plant Biol. 2008, 59, 651–681. [Google Scholar] [CrossRef]
- Tauhid Ur Rahman, M.; Rasheduzzaman, M.; Habib, M.A.; Ahmed, A.; Tareq, S.M.; Muniruzzaman, S.M. Assessment of freshwater security in coastal Bangladesh: Salinity, community perception and adaptation. Ocean Coast. Manag. 2017, 137, 68–81. [Google Scholar] [CrossRef]
- Yang, S.; Xiong, X.; Arif, S.; Gao, L.; Zhao, L.; Shah, I.H.; Zhang, Y. A calmodulin-like CmCML13 from Cucumis melo improves salt tolerance and drought resistance in transgenic Arabidopsis. Plant Physiol. Biochem. 2020, 155, 271–283. [Google Scholar] [CrossRef] [PubMed]
- Hayat, K.; Bundschuh, J.; Jan, F.; Menhas, S.; Hayat, S.; Haq, F.; Shah, M.A.; Chaudhary, H.J.; Ullah, A.; Zhang, D.; et al. Combating soil salinity with combining saline agriculture and phytomanagement with salt-accumulating plants. Crit. Rev. Environ. Sci. Technol. 2020, 50, 1085–1115. [Google Scholar] [CrossRef]
- Munir, N.; Hasnain, M.; Roessner, U.; Abideen, Z. Strategies to improve plant salinity resistance and utilization of salt-resistant plants. Crit. Rev. Environ. Sci. Technol. 2022, 52, 2150–2196. [Google Scholar] [CrossRef]
- Gulzar, S.; Khan, M.A.; Ungar, I.A. Salt tolerance of a coastal salt marsh grass. Commun. Soil Sci. Plant Anal. 2003, 34, 2595–2605. [Google Scholar] [CrossRef]
- Lata, C.; Soni, S.; Kumar, N.; Kumar, A.; Pooja, P.; Mann, A.; Rani, S. Adaptive mechanisms of stress tolerance in Urochondra (grass halophyte). Indian J. Agric. Sci. 2019, 89, 1050–1053. [Google Scholar] [CrossRef]
- Gulzar, S.; Khan, M.A.; Ungar, I.A.; Khan, S. Effect of salinity and temperature on germination of Urochondra setulosa. Seed Sci. Technol. 2001, 29, 21–30. [Google Scholar]
- Shaikh, F.; Gul, B.; Li, W.; Liu, X.; Khan, M.A. Effect of calcium and light on germination of Urochondra setulosa under different salts. J. Zhejiang Univ. Sci. B 2007, 8, 20–26. [Google Scholar] [CrossRef]
- Mann, A.; Kumar, N.; Kumar, A.; Lata, C.; Kumar, A.; Meena, B.L.; Mishra, D.; Grover, M.; Gaba, S.; Parameswaran, C.; et al. De novo transcriptomic profiling of differentially expressed genes in grass Halophyte Urochondra setulosa under salinity. Sci. Rep. 2021, 11, 5548. [Google Scholar] [CrossRef]
- Gulzar, S.; Khan, M.A. Comparative salt tolerance of perennial grasses. In Ecophysiology of High Salinity Tolerant Plants; Khan, M.A., Weber, D.J., Eds.; Springer: Dordrecht, The Netherlands, 2006; pp. 239–253. [Google Scholar]
- Kumar, S.; Kumar, A.; Kumar, P.; Kumar, D.; Sharma, C.; Soni, P.; Sheoran, P. Effect of salt stress on fodder yield and quality of halophytes. Indian J. Anim. Nutr. 2015, 32, 295–299. [Google Scholar]
- Kumar, A.; Mann, A.; Kumar, A.; Meena, B.L. Salt tolerance potential of halophytic grasses: Phytoremediation and physiological perspectives. Indian J. Plant Physiol. 2018, 23, 165–169. [Google Scholar]
- Khan, D.; Shaukat, S. Population structure intraspecific competition and development of Urochondra setulosa (Trin.) C.E. Hubb., a Coastal Halophytic Grass of Pakistan. Pak. J. Bot. 1997, 29, 271–288. [Google Scholar]
- Hussain, S.S.; Ahmed, M.; Siddiqui, M.F. Threatened and endangered native plants of Karachi. Int. J. Biol. Biotechnol. 2010, 7, 259–266. [Google Scholar]
- Zhang, Y.; Sultan, H.; Shah, A.; Mu, Y.; Li, Y.; Li, L.; Huang, Z.; Song, S.; Tao, Y.; Zhou, Z.; et al. Regulation Effect of Seed Priming on Sowing Rate of Direct Seeding of Rice under Salt Stress. Front. Plant Sci. 2025, 16, 1541736. [Google Scholar] [CrossRef]
- Habibi, N.; Aryan, S.; Sediqui, N.; Terada, N.; Sanada, A.; Kamata, A.; Koshio, K. Enhancing Salt Tolerance in Tomato Plants Through PEG6000 Seed Priming: Inducing Antioxidant Activity and Mitigating Oxidative Stress. Plants 2025, 14, 1296. [Google Scholar] [CrossRef]
- Paul, A.; Mondal, S.; Chakraborty, K.; Biswas, A.K. Moving Forward to Understand the Alteration of Physiological Mechanism by Seed Priming with Different Halo-Agents under Salt Stress. Plant Mol. Biol. 2024, 114, 24. [Google Scholar] [CrossRef]
- Singh, H.; Jassal, R.K.; Kang, J.S.; Sandhu, S.S.; Kang, H.; Grewal, K. Seed priming techniques in field crops: A review. Agric. Rev. 2015, 36, 251–264. [Google Scholar] [CrossRef]
- Sen, A.; Puthur, J.T. Seed priming-induced physiological and molecular events. In Priming-Mediated Stress and Cross-Stress Tolerance in Crop Plants; Academic Press: London, UK, 2020; pp. 303–316. [Google Scholar]
- Bewley, J.D.; Black, M. Seed germination, structure, and composition. In Seeds; Springer: Boston, MA, USA, 1994; pp. 1–33. [Google Scholar]
- Wojtyla, Ł.; Lechowska, K.; Kubala, S.; Garnczarska, M. Molecular processes induced in primed seeds—Increasing the potential to stabilize crop yields under drought conditions. J. Plant Physiol. 2016, 203, 116–126. [Google Scholar] [CrossRef]
- Jisha, K.C.; Vijayakumari, K.; Puthur, J.T. Seed priming for abiotic stress tolerance: An Overview. Acta Physiol. Plant. 2013, 35, 1381–1396. [Google Scholar] [CrossRef]
- Hameed, A.; Hussain, S.; Nisar, F.; Rasheed, A.; Shah, S.Z. Seed Priming as an Effective Technique for Enhancing Salinity Tolerance in Plants: Mechanistic Insights and Prospects for Saline Agriculture with a Special Emphasis on Halophytes. Seeds 2025, 4, 14. [Google Scholar] [CrossRef]
- Hussain, S.; Nisar, F.; Bhatt, A.; Nielsen, B.L.; Gul, B.; Hameed, A. Redox Priming Alleviates Dormancy and Improves Salinity Tolerance of Seeds and Seedlings of Medicinal Halophyte Zygophyllum simplex L. J. Appl. Res. Med. Aromat. Plants 2022, 30, 100384. [Google Scholar] [CrossRef]
- Hussain, S.; Rasheed, A.; Nisar, F.; Gul, B.; Hameed, A. Chapter 9—Redox Priming of Seeds to Ameliorate Salinity Tolerance in Plants. In Exogenous Priming and Engineering of Plant Metabolic and Regulatory Genes; Academic Press: London, UK, 2025; pp. 107–136. [Google Scholar]
- Iqbal, H.; Yaning, C. Redox Priming Could Be an Appropriate Technique to Minimize Drought-Induced Adversities in Quinoa. Front. Plant Sci. 2024, 15, 1253677. [Google Scholar] [CrossRef]
- Jia, K.; DaCosta, M.; Ebdon, J.S. Comparative Effects of Hydro-, Hormonal-, Osmotic-, and Redox-Priming on Seed Germination of Creeping bentgrass under Optimal and Suboptimal Temperatures. HortScience 2020, 55, 1453–1462. [Google Scholar] [CrossRef]
- Srivastava, A.K.; Lokhande, V.H.; Patade, V.Y.; Suprasanna, P.; Sjahril, R.; D’Souza, S.F. Comparative Evaluation of Hydro-, Chemo-, and Hormonal-Priming Methods for Imparting Salt and PEG Stress Tolerance in Indian Mustard (Brassica juncea L.). Acta Physiol. Plant. 2010, 32, 1135–1144. [Google Scholar] [CrossRef]
- Hussain, S.; Hussain, S.; Khaliq, A.; Ali, S.; Khan, I. Physiological, biochemical and molecular aspects of seed priming. In Priming and Pretreatment of Seeds and Seedlings; Implication in Plant Stress Tolerance and Enhancing Productivity in Crop Plants; Hasanuzzaman, M., Fotopoulos, V., Eds.; Springer: Singapore, 2019; pp. 43–62. ISBN 978-981-13-8625-1. [Google Scholar]
- Devireddy, A.R.; Zandalinas, S.I.; Fichman, Y.; Mittler, R. Integration of ROS and hormone signaling during abiotic stress. Plant J. 2021, 105, 459–476. [Google Scholar] [CrossRef]
- Yadav, P.V.; Kumari, M.; Ahmed, Z. Chemical Seed Priming as a Simple Technique to Impart Cold and Salt Stress Tolerance in Capsicum. J. Crop Improv. 2011, 25, 497–503. [Google Scholar] [CrossRef]
- Ellouzi, H.; Oueslati, S.; Hessini, K.; Rabhi, M.; Abdelly, C. Seed-Priming with H2O2 Alleviates Subsequent Salt Stress by Preventing ROS Production and Amplifying Antioxidant Defense in Cauliflower Seeds and Seedlings. Sci. Hortic. 2021, 288, 110360. [Google Scholar] [CrossRef]
- Ali, Q.; Daud, M.; Haider, M.Z.; Ali, S.; Rizwan, M.; Aslam, N.; Noman, A.; Iqbal, N.; Shahzad, F.; Deeba, F.; et al. Seed Priming by Sodium Nitroprusside Improves Salt Tolerance in Wheat (Triticum aestivum L.) by Enhancing Physiological and Biochemical Parameters. Plant Physiol. Biochem. 2017, 119, 50–58. [Google Scholar] [CrossRef]
- Hameed, A.; Sheikh, M.A.; Basra, S.M.A.; Jamil, A. Sodium nitroprusside (SNP) seed priming improves seed germination and seedling growth in wheat (Triticum aestivum L.) under osmotic stress induced by polyethylene glycol. Int. J. Biol. Biotechnol. 2013, 10, 93–100. [Google Scholar]
- Farooq, M.; Irfan, M.; Aziz, T.; Ahmad, I.; Cheema, S.A. Seed Priming with Ascorbic Acid Improves Drought Resistance of Wheat. J. Agron. Crop Sci. 2013, 199, 12–22. [Google Scholar] [CrossRef]
- Bahcesular, B.; Yildirim, E.D.; Karaçocuk, M.; Kulak, M.; Karaman, S. Seed Priming with Melatonin Effects on Growth, Essential Oil Compounds and Antioxidant Activity of Basil (Ocimum basilicum L.) under Salinity Stress. Ind. Crop. Prod. 2020, 146, 112165. [Google Scholar] [CrossRef]
- Hameed, A.; Gul, B.; Khan, M.A. Exogenous Chemical Treatments Have Differential Effects in Improving Salinity Tolerance of Halophytes. In Halophytes for Food Security in Dry Lands; Khan, M.A., Ozturk, M., Gul, B., Ahmed, M.Z., Eds.; Academic Press: San Diego, CA, USA, 2016; pp. 213–229. ISBN 978-0-12-801854-5. [Google Scholar]
- Li, W.; Liu, X.; Ajmal Khan, M.; Yamaguchi, S. The Effect of Plant Growth Regulators, Nitric Oxide, Nitrate, Nitrite and Light on the Germination of Dimorphic Seeds of Suaeda salsa under Saline Conditions. J. Plant Res. 2005, 118, 207–214. [Google Scholar] [CrossRef]
- Hameed, A.; Hussain, T.; Gulzar, S.; Aziz, I.; Gul, B.; Khan, M.A. Salt Tolerance of a Cash Crop Halophyte Suaeda fruticosa: Biochemical Responses to Salt and Exogenous Chemical Treatments. Acta Physiol. Plant. 2012, 34, 2331–2340. [Google Scholar] [CrossRef]
- Ellouzi, H.; Sghayar, S.; Abdelly, C. H2O2 Seed Priming Improves Tolerance to Salinity; Drought and Their Combined Effect More than Mannitol in Cakile maritima When Compared to Eutrema salsugineum. J. Plant Physiol. 2017, 210, 38–50. [Google Scholar] [CrossRef]
- Ameer, A.; Nawaz, H.; Abbas, S.; Nazar, S.; Khan, A.; Minghzou, Q.; Laila, U.E.; Mukhtiar, A. Impacts of Ellagic Acid and Hydrogen Peroxide on Wheat (Triticum aestivum) Physiological Attributes Under Saline Stress: A Seed Priming Approach. J. Agron. Crop Sci. 2025, 211, e70074. [Google Scholar] [CrossRef]
- Hussain, S.; Nisar, F.; Gul, B.; Hameed, A. Seed Priming with Melatonin Improved Salinity Tolerance of Halophytes during Early Life-Cycle Stages. Plant Growth Regul. 2024, 103, 351–368. [Google Scholar] [CrossRef]
- Gulzar, S.; Khan, M.A. Seed Germination of a Halophytic Grass Aeluropus lagopoides. Ann. Bot. 2001, 87, 319–324. [Google Scholar] [CrossRef]
- Gulzar, S.; Khan, M.A.; Liu, X. Seed Germination Strategies of Desmostachya bipinnata: A Fodder Crop for Saline Soils. Rangel. Ecol. Manag. 2007, 60, 401–407. [Google Scholar] [CrossRef]
- Noor, M.; Khan, M.A. FACTORS affecting the germination of summer and winter seeds of Halopyrum mucronatum under salt stress. Pak. J. Bot. 2004, 36, 51–58. [Google Scholar]
- Khan, M.A.; Gulzar, S. Germination Responses of Sporobolus ioclados: A Saline Desert Grass. J. Arid Environ. 2003, 53, 387–394. [Google Scholar] [CrossRef]
- Hadinezhad, P.; Payamenur, V.; Mohamadi, J.; Ghaderifar, F. The Effect of Priming on Seed Germination and Seedling Growth in Quercus castaneifolia. Seed Sci. Technol. 2013, 41, 121–124. [Google Scholar] [CrossRef]
- Taşan, S. Seed Priming with Ascorbic Acid to Ameliorate the Effects of Salinity Stress on Germination and Growth Traits of Rapeseed (Brassica napus L.). Uluslararası Tarım Ve Yaban Hayatı Bilimleri Dergisi 2023, 9, 239–251. [Google Scholar] [CrossRef]
- Zhu, Z.H.; Sami, A.; Xu, Q.Q.; Wu, L.L.; Zheng, W.Y.; Chen, Z.P.; Jin, X.Z.; Zhang, H.; Li, Y.; Yu, Y.; et al. Effects of Seed Priming Treatments on the Germination and Development of Two Rapeseed (Brassica napus L.) Varieties under the Co-Influence of Low Temperature and Drought. PLoS ONE 2021, 16, e0257236. [Google Scholar] [CrossRef]
- Pasternak, T. Ascorbate Regulates Root Development Through Auxin Response in Arabidopsis thaliana. Int. J. Plant Biol. 2025, 16, 74. [Google Scholar] [CrossRef]
- He, H.; He, L.-F. Crosstalk between Melatonin and Nitric Oxide in Plant Development and Stress Responses. Physiol. Plant. 2020, 170, 218–226. [Google Scholar] [CrossRef]
- Arnao, M.B.; Hernández-Ruiz, J. Melatonin and its relationship to plant hormones. Ann. Bot. 2018, 65, e12509. [Google Scholar] [CrossRef] [PubMed]
- Bethke, P.C.; Gubler, F.; Jacobsen, J.V.; Jones, R.L. Dormancy of Arabidopsis Seeds and Barley Grains Can Be Broken by Nitric Oxide. Planta 2004, 219, 847–855. [Google Scholar] [CrossRef]
- Sarath, G.; Bethke, P.C.; Jones, R.; Baird, L.M.; Hou, G.; Mitchell, R.B. Nitric Oxide Accelerates Seed Germination in Warm-Season Grasses. Planta 2006, 223, 1154–1164. [Google Scholar] [CrossRef] [PubMed]
- Liu, Y.; Shi, L.; Ye, N.; Liu, R.; Jia, W.; Zhang, J. Nitric Oxide-Induced Rapid Decrease of Abscisic Acid Concentration Is Required in Breaking Seed Dormancy in Arabidopsis. New Phytol. 2009, 183, 1030–1042. [Google Scholar] [CrossRef]
- Mohamed, E.; Kasem, A.M.M.A.; Gobouri, A.A.; Elkelish, A.; Azab, E. Influence of Maternal Habitat on Salinity Tolerance of Zygophyllum coccineum with Regard to Seed Germination and Growth Parameters. Plants 2020, 9, 1504. [Google Scholar] [CrossRef] [PubMed]
- Hameed, A.; El-Keblawy, A.; Aljasmi, M.; Gairola, S.; Phartyal, S.S.; Mosa, K.A.; Soliman, S. Seed Provenance, Thermoperiod, and Photoperiod Affect Low Water Potential Tolerance during Seed Germination of the Multipurpose Exotic Tree Prosopis juliflora. J. Arid Environ. 2021, 195, 104627. [Google Scholar] [CrossRef]
- El-Keblawy, A.; Al-Shamsi, N.; Mosa, K. Effect of Maternal Habitat, Temperature and Light on Germination and Salt Tolerance of Suaeda vermiculata, a Habitat-Indifferent Halophyte of Arid Arabian Deserts. Seed Sci. Res. 2018, 28, 140–147. [Google Scholar] [CrossRef]
- Gammoudi, N.; Nagaz, K.; Ferchichi, A. Hydrotime Analysis to Explore the Effect of H2O2−priming in the Relationship between Water Potential (Ψ) and Germination Rate of Capsicum annuum L. Seed under NaCl− and PEG−induced Stress. Plant Physiol. Biochem. 2021, 167, 990–998. [Google Scholar] [CrossRef]
- Bouallègue, A.; Souissi, F.; Nouairi, I.; Souibgui, M.; Abbes, Z.; Mhadhbi, H. Salicylic Acid and Hydrogen Peroxide Pretreatments Alleviate Salt Stress in Faba Bean (Vicia faba) Seeds during Germination. Seed Sci. Technol. 2017, 45, 675–690. [Google Scholar] [CrossRef]
- Naim, A.H. Influence of Pre-Sowing Treatment with Hydrogen Peroxide on Alleviation Salinity Stress Impacts on Cow Pea Germination and Early Seedling Development. Asian J. Plant Sci. 2015, 5, 62–67. [Google Scholar]
- Hajihashemi, S.; Skalicky, M.; Brestic, M.; Pavla, V. Cross-Talk between Nitric Oxide, Hydrogen Peroxide and Calcium in Salt-Stressed Chenopodium quinoa Willd. At Seed Germination Stage. Plant Physiol. Biochem. 2020, 154, 657–664. [Google Scholar] [CrossRef]
- Carvalho, F.E.L.; Silveira, J.A.G. H2O2-Retrograde Signaling as a Pivotal Mechanism to Understand Priming and Cross Stress Tolerance in Plants. In Priming-Mediated Stress and Cross-Stress Tolerance in Crop Plants; Hossain, M.A., Liu, F., Burritt, D.J., Fujita, M., Huang, B., Eds.; Academic Press: Cambridge, MA, USA, 2020; pp. 57–78. ISBN 978-0-12-817892-8. [Google Scholar]
- Wojtyla, Ł.; Lechowska, K.; Kubala, S.; Garnczarska, M. Different Modes of Hydrogen Peroxide Action During Seed Germination. Front. Plant Sci. 2016, 7, 66. [Google Scholar] [CrossRef] [PubMed]
- Liu, Y.; Ye, N.; Liu, R.; Chen, M.; Zhang, J. H2O2 Mediates the Regulation of ABA Catabolism and GA Biosynthesis in Arabidopsis Seed Dormancy and Germination. J. Exp. Bot. 2010, 61, 2979–2990. [Google Scholar] [CrossRef]
- Rai-Kalal, P.; Tomar, R.S.; Jajoo, A. H2O2 Signaling Regulates Seed Germination in ZnO Nanoprimed Wheat (Triticum aestivum L.) Seeds for Improving Plant Performance under Drought Stress. Environ. Exp. Bot. 2021, 189, 104561. [Google Scholar] [CrossRef]
- Hossain, M.A.; Bhattacharjee, S.; Armin, S.-M.; Qian, P.; Xin, W.; Li, H.-Y.; Burritt, D.J.; Fujita, M.; Tran, L.-S.P. Hydrogen Peroxide Priming Modulates Abiotic Oxidative Stress Tolerance: Insights from ROS Detoxification and Scavenging. Front. Plant Sci. 2015, 6, 420. [Google Scholar] [CrossRef]
- Harper, J.L. Population Biology of Plants; Academic Press: New York, NY, USA, 1977; 892p, Available online: https://www.scirp.org/reference/referencespapers?referenceid=1144223 (accessed on 28 October 2025).
- Gul, B.; Ansari, R.; Flowers, T.J.; Khan, M.A. Germination Strategies of Halophyte Seeds under Salinity. Environ. Exp. Bot. 2013, 92, 4–18. [Google Scholar] [CrossRef]
- Bell, H.L.; O’Leary, J.W. Effects of Salinity on Growth and Cation Accumulation of Sporobolus virginicus (Poaceae). Am. J. Bot. 2003, 90, 1416–1424. [Google Scholar] [CrossRef] [PubMed]
- Marcum, K.B.; Murdoch, C.L. Salinity Tolerance Mechanisms of Six C4 Turfgrasses. J. Am. Soc. Hortic. Sci. 1994, 119, 779–784. [Google Scholar] [CrossRef]
- Dubbels, R.; Reiter, R.J.; Klenke, E.; Goebel, A.; Schnakenberg, E.; Ehlers, C.; Schiwara, H.W.; Schloot, W. Melatonin in Edible Plants Identified by Radioimmunoassay and by High Performance Liquid Chromatography-Mass Spectrometry. J. Pineal Res. 1995, 18, 28–31. [Google Scholar] [CrossRef] [PubMed]
- Xu, L.; Xiang, G.; Sun, Q.; Ni, Y.; Jin, Z.; Gao, S.; Yao, Y. Melatonin Enhances Salt Tolerance by Promoting MYB108A-Mediated Ethylene Biosynthesis in Grapevines. Hortic. Res. 2019, 6, 114. [Google Scholar] [CrossRef] [PubMed]
- Wei, W.; Li, Q.-T.; Chu, Y.-N.; Reiter, R.J.; Yu, X.-M.; Zhu, D.-H.; Zhang, W.-K.; Ma, B.; Lin, Q.; Zhang, J.-S.; et al. Melatonin Enhances Plant Growth and Abiotic Stress Tolerance in Soybean Plants. J. Exp. Bot. 2015, 66, 695–707. [Google Scholar] [CrossRef]
- Zhang, Y.; Zhou, X.; Dong, Y.; Zhang, F.; He, Q.; Chen, J.; Zhu, S.; Zhao, T. Seed Priming with Melatonin Improves Salt Tolerance in Cotton through Regulating Photosynthesis, Scavenging Reactive Oxygen Species and Coordinating with Phytohormone Signal Pathways. Ind. Crop. Prod. 2021, 169, 113671. [Google Scholar] [CrossRef]
- Alinia, M.; Kazemeini, S.A.; Sepehri, M.; Dadkhodaie, A. Simultaneous Application of Rhizobium Strain and Melatonin Improves the Photosynthetic Capacity and Induces Antioxidant Defense System in Common Bean (Phaseolus vulgaris L.) Under Salinity Stress. J. Plant Growth Regul. 2022, 41, 1367–1381. [Google Scholar] [CrossRef]
- Zhang, M.; Jiang, M.; Zhang, D.; Liu, S.; Qi, Q.; Xin, Y.; An, Y.; Cui, G.; Lyu, X.; Tong, S. Effects of Melatonin Priming on the Seed Germination, Seedling Growth, and Biochemical Characteristics of Suaeda corniculata Exposed to Salinity and Osmotic Stresses. J. Soil Sci. Plant Nutr. 2024, 24, 3579–3592. [Google Scholar] [CrossRef]
- Li, J.; Yuan, F.; Liu, Y.; Zhang, M.; Liu, Y.; Zhao, Y.; Wang, B.; Chen, M. Exogenous Melatonin Enhances Salt Secretion from Salt Glands by Upregulating the Expression of Ion Transporter and Vesicle Transport Genes in Limonium bicolor. BMC Plant Biol. 2020, 20, 493. [Google Scholar] [CrossRef]
- Moinuddin, M.; Gulzar, S.; Hameed, A.; Gul, B.; Ajmal Khan, M.; Edwards, G.E. Differences in Photosynthetic Syndromes of Four Halophytic Marsh Grasses in Pakistan. Photosynth. Res. 2017, 131, 51–64. [Google Scholar] [CrossRef]
- Nisar, F.; Gul, B.; Khan, M.A.; Hameed, A. Germination and Recovery Responses of Heteromorphic Seeds of Two Co-Occurring Arthrocnemum Species to Salinity, Temperature and Light. S. Afr. J. Bot. 2019, 121, 143–151. [Google Scholar] [CrossRef]
- Rasheed, A.; Hameed, A.; Gul, B.; Khan, M.A. Perianth and Abiotic Factors Regulate Seed Germination of Haloxylon stocksii—A Cash Crop Candidate for Degraded Saline Lands. Land Degrad. Dev. 2019, 30, 1468–1478. [Google Scholar] [CrossRef]
- Khan, M.A.; Ungar, I.A. The Effect of Salinity and Temperature on the Germination of Polymorphic Seeds and Growth of Atriplex triangularis Willd. Am. J. Bot. 1984, 71, 481–489. [Google Scholar] [CrossRef]
- Lichtenthaler, H.K. Chlorophylls and Carotenoids: Pigments of Photosynthetic Biomembranes. In Methods in Enzymology; Plant Cell Membranes; Academic Press: Cambridge, MA, USA, 1987; Volume 148, pp. 350–382. [Google Scholar]
- Tarchoun, N.; Saadaoui, W.; Mezghani, N.; Pavli, O.I.; Falleh, H.; Petropoulos, S.A. The Effects of Salt Stress on Germination, Seedling Growth and Biochemical Responses of Tunisian Squash (Cucurbita maxima Duchesne) Germplasm. Plants 2022, 11, 800. [Google Scholar] [CrossRef] [PubMed]
- Irik, H.A.; Bikmaz, G. Effect of Different Salinity on Seed Germination, Growth Parameters and Biochemical Contents of Pumpkin (Cucurbita pepo L.) Seeds Cultivars. Sci. Rep. 2024, 14, 6929. [Google Scholar] [CrossRef]









| Treatment | Concentrations | Time (h) | Chl a Content (µg cm2) | Chl b Content (µg cm2) |
|---|---|---|---|---|
| Unprimed (Control) | - | 0 | 9.57 ± 0.08 | 3.66 ± 0.03 |
| AsA | 1 mM | 20 | 13.89 ± 0.11 * | 7.37 ± 0.06 * |
| 40 | 12.69 ± 0.06 * | 7.17 ± 0.05 * | ||
| 10 mM | 20 | 14.60 ± 0.04 * | 8.91 ± 0.07 * | |
| 40 | 10.27 ± 0.16 * | 4.98 ± 0.02 | ||
| 100 mM | 20 | 11.46 ± 0.07 * | 7.33 ± 0.05 * | |
| 40 | 9.95 ± 0.05 | 4.40 ± 0.06 | ||
| H2O2 | 0.1 mM | 20 | 13.72 ± 0.06 * | 6.62 ± 0.10 * |
| 40 | 12.13 ± 0.11 * | 9.41 ± 0.08 * | ||
| 1 mM | 20 | 14.93 ± 0.07 * | 9.65 ± 0.02 * | |
| 40 | 13.80 ± 0.15 * | 11.46 ± 0.05 * | ||
| 10 mM | 20 | 13.94 ± 0.06 * | 10.21 ± 0.17 * | |
| 40 | 12.19 ± 0.11 * | 8.85 ± 0.10 * | ||
| MT | 5 µM | 20 | 16.39 ± 0.08 * | 7.07 ± 0.10 * |
| 40 | 11.71 ± 0.09 * | 5.17 ± 0.04 * | ||
| 100 µM | 20 | 12.42 ± 0.13 * | 5.25 ± 0.06 * | |
| 40 | 12.38 ± 0.08 * | 5.25 ± 0.09 * | ||
| 500 µM | 20 | 12.03 ± 0.07 * | 5.53 ± 0.08 * | |
| 40 | 11.58 ± 0.04 * | 4.52 ± 0.08 | ||
| SNP | 50 µM | 20 | 14.19 ± 0.12 * | 5.18 ± 0.05 * |
| 40 | 13.69 ± 0.15 * | 6.53 ± 0.08 * | ||
| 100 µM | 20 | 12.35 ± 0.20 * | 4.60 ± 0.09 | |
| 40 | 13.93 ± 0.10 * | 9.51 ± 0.05 * | ||
| 300 µM | 20 | 14.45 ± 0.05 * | 6.73 ± 0.10 * | |
| 40 | 14.01 ± 0.06 * | 6.14 ± 0.02 * |
| Factors | MFG | GRI | GSTI | GR | Rec | RRI |
|---|---|---|---|---|---|---|
| Priming agents (PA) | 0.18 | 0.04 | 0.30 | 0.38 | 0.34 | 0.04 |
| Salinity (S) | 0.00 | 0.00 | 0.28 | 0.01 | 0.55 | 0.22 |
| PA × S | 0.00 | 0.00 | 0.00 | 0.00 | 0.23 | 0.65 |
Disclaimer/Publisher’s Note: The statements, opinions and data contained in all publications are solely those of the individual author(s) and contributor(s) and not of MDPI and/or the editor(s). MDPI and/or the editor(s) disclaim responsibility for any injury to people or property resulting from any ideas, methods, instructions or products referred to in the content. |
© 2026 by the authors. Licensee MDPI, Basel, Switzerland. This article is an open access article distributed under the terms and conditions of the Creative Commons Attribution (CC BY) license.
Share and Cite
Hussain, S.; Nisar, F.; Abbas, S.; Hameed, A.; Nielsen, B.L. Redox Priming Ameliorates Salinity Tolerance of Seeds and Seedlings of the Coastal Halophyte Grass Urochondra setulosa. Plants 2026, 15, 350. https://doi.org/10.3390/plants15030350
Hussain S, Nisar F, Abbas S, Hameed A, Nielsen BL. Redox Priming Ameliorates Salinity Tolerance of Seeds and Seedlings of the Coastal Halophyte Grass Urochondra setulosa. Plants. 2026; 15(3):350. https://doi.org/10.3390/plants15030350
Chicago/Turabian StyleHussain, Sadiq, Farah Nisar, Sahar Abbas, Abdul Hameed, and Brent L. Nielsen. 2026. "Redox Priming Ameliorates Salinity Tolerance of Seeds and Seedlings of the Coastal Halophyte Grass Urochondra setulosa" Plants 15, no. 3: 350. https://doi.org/10.3390/plants15030350
APA StyleHussain, S., Nisar, F., Abbas, S., Hameed, A., & Nielsen, B. L. (2026). Redox Priming Ameliorates Salinity Tolerance of Seeds and Seedlings of the Coastal Halophyte Grass Urochondra setulosa. Plants, 15(3), 350. https://doi.org/10.3390/plants15030350

