Producing High-Quality Buckwheat Sprouts: The Combined Effects of Melatonin and UV-B Treatment
Abstract
1. Introduction
2. Materials and Methods
2.1. Treatment
2.2. Physiological Metabolism
2.3. Total Phenolics and Flavonoids Contents
2.4. Antioxidant Capacity
2.5. Antioxidant Enzyme Activity
2.6. Synthase Enzyme Activity
2.7. Gene Expression Levels
2.8. Statistical Analysis
3. Results
3.1. Total Phenolics and Flavonoids Contents
3.2. The Contents of H2O2, MDA, and
3.3. Antioxidant Enzyme Activity
3.4. Antioxidant Capacities
3.5. Critical Enzyme Activities
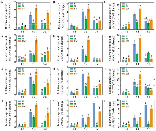
3.6. Relative Expression Levels
4. Discussion
5. Conclusions
Supplementary Materials
Author Contributions
Funding
Institutional Review Board Statement
Informed Consent Statement
Data Availability Statement
Conflicts of Interest
References
- Kumar, H.; Guleria, S.; Kimta, N.; Dhalaria, R.; Nepovimova, E.; Dhanjal, D.S.; Alomar, S.Y.; Kuca, K. Amaranth and buckwheat grains: Nutritional profile, development of functional foods, their pre-clinical cum clinical aspects and enrichment in feed. Curr. Res. Food Sci. 2024, 9, 100836. [Google Scholar] [CrossRef]
- Ding, M.Q.; Yang, Y.H.; Yi, Z.L.; Zhou, M.L.; Luo, H. Across the ages: Buckwheat meets era-specific needs. Trends Food Sci. Technol. 2025, 166, 105359. [Google Scholar] [CrossRef]
- Yao, Y.F.; Song, X.Y.; Xie, G.; Tang, Y.N.; Wortley, A.H.; Qin, F.; Blackmore, S.; Li, C.S.; Wang, Y.F. New insights into the origin of buckwheat cultivation in southwestern China from pollen data. New Phytol. 2023, 237, 2467–2477. [Google Scholar] [CrossRef]
- Kreft, M. Buckwheat phenolic metabolites in health and disease. Nutr. Res. Rev. 2016, 29, 30–39. [Google Scholar] [CrossRef]
- Cao, P.; Wu, Y.; Li, Y.P.; Xiang, L.P.; Cheng, B.Y.; Hu, Y.X.; Jiang, X.; Wang, Z.; Wu, S.L.; Si, L.Q.; et al. The important role of glycerophospholipid metabolism in the protective effects of polyphenol-enriched Tartary buckwheat extract against alcoholic liver disease. Food Funct. 2022, 13, 10415–10425. [Google Scholar] [CrossRef]
- Zhang, Z.; Fan, X.; Zou, L.; Xing, B.; Zhu, M.L.; Yang, X.S.; Ren, G.X.; Yao, Y.; Zhang, L.Z.; Qin, P.Y. Phytochemical properties and health benefits of pregelatinized Tartary buckwheat flour under different extrusion conditions. Front. Nutr. 2022, 9, 1052730. [Google Scholar] [CrossRef]
- Hur, S.J.; Park, S.J.; Jeong, C.H. Effect of buckwheat extract on the antioxidant activity of lipid in mouse brain and its structural change during in vitro human digestion. J. Agric. Food Chem. 2011, 59, 10699–10704. [Google Scholar] [CrossRef] [PubMed]
- Sun-Waterhouse, D.-X.; Chen, X.-Y.; Liu, Z.-H.; Waterhouse, G.I.; Kang, W.-Y. Transformation from traditional medicine-food homology to modern food-medicine homology. Food Med. Homol. 2024, 1, 9420014. [Google Scholar] [CrossRef]
- Niu, H.; Aruhan; Surenjidiin, S.; Zhang, L.-M.; Zhang, C.-H.; Li, M.-H. Yinshan Zhengyao: Exploring the power of food and inheriting healthy thoughts. Food Med. Homol. 2024, 1, 9420006. [Google Scholar] [CrossRef]
- Jose, N.; Selvan, S.S. Buckwheat: Biology, functional potential and sustainable utilization. In Millets: The Multi-Cereal Paradigm for Food Sustainability; Thakur, M., Ed.; Springer Nature: Cham, Switzerland, 2024; pp. 233–258. [Google Scholar]
- Atambayeva, Z.; Nurgazezova, A.; Amirkhanov, K.; Assirzhanova, Z.; Khaimuldinova, A.; Charchoghlyan, H.; Kaygusuz, M. Unlocking the potential of buckwheat hulls, sprouts, and extracts: Innovative food product development, bioactive compounds, and health benefits—A review. Pol. J. Food Nutr. Sci. 2024, 74, 293–312. [Google Scholar] [CrossRef]
- Kurcubic, V.S.; Stajic, S.B.; Jakovljevic, V.; Zivkovic, V.; Stanisic, N.; Maskovic, P.Z.; Matejic, V.; Kurcubic, L.V. Contemporary speculations and insightful thoughts on buckwheat-a functional pseudocereal as a smart biologically active supplement. Foods 2024, 13, 2491. [Google Scholar] [CrossRef]
- Zamaratskaia, G.; Gerhardt, K.; Knicky, M.; Wendin, K. Buckwheat: An underutilized crop with attractive sensory qualities and health benefits. Crit. Rev. Food Sci. Nutr. 2024, 64, 12303–12318. [Google Scholar] [CrossRef]
- Wang, J.; Yu, X.; Jiang, Y.; Wang, Y.; Li, Y.; Han, S. Effects of a fermented buckwheat flower and leaf extract on the blood glucose and lipid profile of type 2 diabetic db/db mice. J. Tradit. Chin. Med. 2020, 40, 197–203. [Google Scholar]
- Si, X.X.; Si, Y.Y.; Zhang, S.; Liu, Y.; Liu, Y.Q.; Wang, H.W.; Wang, Z.Y. Effect of grain/bran crude extract from Fagopyrum tataricum on hypoglycemic activity of type 2 diabetes mice and study on molecular mechanism of treatment. Cogent Food Agric. 2023, 9, 2242641. [Google Scholar] [CrossRef]
- Wang, K.H.; Lai, Y.H.; Chang, J.C.; Ko, T.F.; Shyu, S.L.; Chiou, R.Y.Y. Germination of peanut kernels to enhance resveratrol biosynthesis and prepare sprouts as a functional vegetable. J. Agric. Food Chem. 2005, 53, 242–246. [Google Scholar] [CrossRef] [PubMed]
- Liu, Y.; Zhang, H.J.; Zhao, Z.Y.; Wang, X.W.; Kai, Y.; Huang, D.J.; Liu, S.Q.; Lu, Y.Y. Germination increases the glucomoringin content in moringa sprouts via transforming tyrosine. J. Agric. Food Chem. 2024, 72, 11278–11291. [Google Scholar] [CrossRef]
- Xue, J.Y.; Yang, J.; Yin, Y.Q. Study on effect of germination on flavonoid content and nutritional value of different varieties of chickpeas. Foods 2025, 14, 2157. [Google Scholar] [CrossRef]
- Nam, T.G.; Kim, D.O.; Eom, S.H. Effects of light sources on major flavonoids and antioxidant activity in common buckwheat sprouts. Food Sci. Biotechnol. 2018, 27, 169–176. [Google Scholar] [CrossRef] [PubMed]
- Nam, T.G.; Lim, Y.J.; Eom, S.H. Flavonoid accumulation in common buckwheat (Fagopyrum esculentum) sprout tissues in response to light. Hortic. Environ. Biotechnol. 2018, 59, 19–27. [Google Scholar] [CrossRef]
- Ji, H.B.; Tang, W.; Zhou, X.L.; Wu, Y. Combined effects of blue and ultraviolet lights on the accumulation of flavonoids in tartary buckwheat sprouts. Pol. J. Food Nutr. Sci. 2016, 66, 93–98. [Google Scholar] [CrossRef]
- Yang, W.; Qian, G.; Chen, Y.; Liu, T.; Wan, H.; Wang, S.; Meng, X.; Chen, W.; Wahab, A.T.; Su, Y.; et al. Profiling of polyphenols for in-depth understanding of Tartary buckwheat sprouts: Correlation between cultivars and active components, dynamic changes and the effects of ultraviolet B stress. Food Chem.-X 2022, 14, 100295. [Google Scholar] [CrossRef]
- Tsurunaga, Y.; Takahashi, T.; Katsube, T.; Kudo, A.; Kuramitsu, O.; Ishiwata, M.; Matsumoto, S. Effects of UV-B irradiation on the levels of anthocyanin, rutin and radical scavenging activity of buckwheat sprouts. Food Chem. 2013, 141, 552–556. [Google Scholar] [CrossRef]
- Debski, H.; Wiczkowski, W.; Szawara-Nowak, D.; Horbowicz, M. Elicitation with sodium silicate and iron chelate affects the contents of phenolic compounds and minerals in buckwheat sprouts. Pol. J. Food Nutr. Sci. 2021, 71, 21–28. [Google Scholar] [CrossRef]
- Jeong, H.; Sung, J.; Yang, J.; Kim, Y.; Jeong, H.S.; Lee, J. Effect of sucrose on the functional composition and antioxidant capacity of buckwheat (Fagopyrum esculentum M.) sprouts. J. Funct. Foods. 2018, 43, 70–76. [Google Scholar] [CrossRef]
- Qin, P.Y.; Wei, A.C.; Zhao, D.G.; Yao, Y.; Yang, X.X.; Dun, B.Q.; Ren, G.X. Low concentration of sodium bicarbonate improves the bioactive compound levels and antioxidant and α-glucosidase inhibitory activities of tartary buckwheat sprouts. Food Chem. 2017, 224, 124–130. [Google Scholar] [CrossRef]
- Sim, U.; Sung, J.; Lee, H.; Heo, H.; Jeong, H.S.; Lee, J. Effect of calcium chloride and sucrose on the composition of bioactive compounds and antioxidant activities in buckwheat sprouts. Food Chem. 2020, 312, 126075. [Google Scholar] [CrossRef] [PubMed]
- Tian, X.; Hu, M.X.; Yang, J.; Yin, Y.Q.; Fang, W.M. Ultraviolet-B radiation stimulates flavonoid biosynthesis and antioxidant systems in buckwheat sprouts. Foods 2024, 13, 3650. [Google Scholar] [CrossRef] [PubMed]
- He, X.M.; Wan, X.T.; Arif, M.; Hu, Z.Y.; Wang, H.Y.; Manzoor, M.A.; Song, C. Melatonin biosynthesis, growth regulation, and adaptability to environmental stress in plants. Phyton 2025, 94, 2985–3002. [Google Scholar] [CrossRef]
- Nawaz, K.; Chaudhary, R.; Sarwar, A.; Ahmad, B.; Gul, A.; Hano, C.; Abbasi, B.H.; Anjum, S. Melatonin as master regulator in plant growth, development and stress alleviator for sustainable agricultural production: Current status and future perspectives. Sustainability 2021, 13, 294. [Google Scholar] [CrossRef]
- Shi, D.W.; Zhao, L.J.; Zhang, R.J.; Song, Q.F. Regulation of plant growth and development by melatonin. Life 2024, 14, 1606. [Google Scholar] [CrossRef]
- Yin, Y.; Tian, X.; He, X.; Yang, J.; Yang, Z.; Fang, W. Exogenous melatonin stimulated isoflavone biosynthesis in NaCl-stressed germinating soybean (Glycine max L.). Plant Physiol. Biochem. 2022, 185, 123–131. [Google Scholar] [CrossRef]
- Mahmood, T.; Javed, M.U.; Zaman, G.; Khan, B.; Zarei, N.; Abdallah, C.; Hano, C.; De Craene, J.O.; Lanoue, A.; Abbasi, B.H.; et al. Exploring melatonin’s influence on secondary metabolism of Echinacea purpurea callus cultures. Plant Cell Tissue Organ Cult. 2025, 161, 35. [Google Scholar] [CrossRef]
- Zu, Z.; Zhang, H.; Wan, P.; Yu, H.; Yin, Y.; Wang, L.; Liu, S. Mechanism of melatonin promotion of flavonoid biosynthesis in Ginkgo biloba. Russ. J. Plant Physiol. 2024, 71, 49. [Google Scholar] [CrossRef]
- Galano, A.; Tan, D.X.; Reiter, R.J. Melatonin: A versatile protector against oxidative DNA damage. Molecules 2018, 23, 530. [Google Scholar] [CrossRef] [PubMed]
- Hardeland, R. Antioxidative protection by melatonin—Multiplicity of mechanisms from radical detoxification to radical avoidance. Endocrine 2005, 27, 119–130. [Google Scholar] [CrossRef] [PubMed]
- Xu, L.L.; Yue, Q.Y.; Bian, F.E.; Sun, H.; Zhai, H.; Yao, Y.X. Melatonin enhances phenolics accumulation partially via ethylene signaling and resulted in high antioxidant capacity in grape berries. Front. Plant Sci. 2017, 8, 1426. [Google Scholar] [CrossRef]
- Esmaeili, S.; Sharifi, M.; Ghanati, F.; Soltani, B.M.; Samari, E.; Sagharyan, M. Exogenous melatonin induces phenolic compounds production in Linum album cells by altering nitric oxide and salicylic acid. Sci. Rep. 2023, 13, 4158. [Google Scholar] [CrossRef]
- Khan, T.; Ullah, M.A.; Garros, L.; Hano, C.; Abbasi, B.H. Synergistic effects of melatonin and distinct spectral lights for enhanced production of anti-cancerous compounds in callus cultures of Fagonia indica. J. Photochem. Photobiol. B 2019, 190, 163–171. [Google Scholar] [CrossRef] [PubMed]
- Qi, G.X.; Zhao, X.Q.; He, F.Q.; Sun, S.Q.; Shi, Z.Z.; Niu, Y.N. Exogenous melatonin reinforces photosynthesis, antioxidant defense and gene expression to ameliorate Na2CO3 stress in Maize. Plants 2024, 13, 2844. [Google Scholar] [CrossRef]
- Muhammad, I.; Yang, L.; Ahmad, S.; Mosaad, I.S.M.; Al-Ghamdi, A.A.; Abbasi, A.M.; Zhou, X.B. Melatonin application alleviates stress-induced photosynthetic inhibition and oxidative damage by regulating antioxidant defense system of maize: A meta-analysis. Antioxidants 2022, 11, 512. [Google Scholar] [CrossRef]
- Chang, Q.S.; Zhang, L.X.; Chen, S.C.; Gong, M.G.; Liu, L.C.; Hou, X.G.; Mi, Y.F.; Wang, X.H.; Wang, J.Z.; Zhang, Y.; et al. Exogenous melatonin enhances the yield and secondary metabolite contents of Prunella vulgaris by modulating antioxidant system, root architecture and photosynthetic capacity. Plants 2023, 12, 1129. [Google Scholar] [CrossRef]
- Tian, X.; Liu, C.; Yang, Z.F.; Zhu, J.Y.; Fang, W.M.; Yin, Y.Q. Crosstalk between ethylene and melatonin activates isoflavone biosynthesis and antioxidant systems to produce high-quality soybean sprouts. Plant Sci. 2024, 347, 112197. [Google Scholar] [CrossRef]
- He, F.Q.; Zhao, X.Q.; Qi, G.X.; Sun, S.Q.; Shi, Z.Z.; Niu, Y.N.; Wu, Z.F.; Zhou, W.Q. Exogenous melatonin alleviates NaCl injury by influencing stomatal morphology, photosynthetic performance, and antioxidant balance in maize. Int. J. Mol. Sci. 2024, 25, 10077. [Google Scholar] [CrossRef] [PubMed]
- Zhang, G.; Xu, Z.; Gao, Y.; Huang, X.; Zou, Y.; Yang, T. Effects of germination on the nutritional properties, phenolic profiles, and antioxidant activities of buckwheat. J. Food Sci. 2015, 80, H1111–H1119. [Google Scholar] [CrossRef] [PubMed]
- Molska, M.; Reguła, J.; Kapusta, I.; Świeca, M. Analysis of phenolic compounds in buckwheat (Fagopyrum esculentum Moench) sprouts modified with probiotic yeast. Molecules 2022, 27, 7773. [Google Scholar] [CrossRef]
- Cui, L.Y.; Li, M.X.; Zhang, X.; Guo, Z.M.; Li, K.F.; Shi, Y.H.; Wang, Q.; Guo, H.C. Enhanced UV-B radiation in potato stems and leaves promotes the accumulation of anthocyanins in tubers. Curr. Issues Mol. Biol. 2023, 45, 9943–9960. [Google Scholar] [CrossRef]
- Wang, P.T.; Liu, W.C.; Han, C.; Wang, S.T.; Bai, M.Y.; Song, C.P. Reactive oxygen species: Multidimensional regulators of plant adaptation to abiotic stress and development. J. Integr. Plant Biol. 2024, 66, 330–367. [Google Scholar] [CrossRef]
- Mehtari, M.; Talebi, M.; Sayed Tabatabaei, B.E. The analysis of changes in antioxidant enzyme activity and gene expression caused by lead contamination in Azolla caroliniana. Int. J. Phytoremediat. 2025, 27, 1774–1787. [Google Scholar] [CrossRef]
- Meitha, K.; Pramesti, Y.; Suhandono, S. Reactive Oxygen species and antioxidants in postharvest vegetables and fruits. Int. J. Food Sci. 2020, 2020, 8817778. [Google Scholar] [CrossRef]
- Wang, J.; Zhang, J.Q.; Li, S.X.; Sun, S.J.; Song, W.X.; Wang, X.; Li, X.C.; Yan, J.H.; Gao, X.Q.; Fu, B.Z. Integrated transcriptomic and metabolomic analyses revealed that AmASMT positively regulates drought tolerance in Agropyron mongolicum by modulating melatonin biosynthesis. Plant Physiol. Biochem. 2025, 229, 110528. [Google Scholar] [CrossRef]
- Zahedi, S.M.; Hosseini, M.S.; Fahadi Hoveizeh, N.; Gholami, R.; Abdelrahman, M.; Tran, L.P. Exogenous melatonin mitigates salinity-induced damage in olive seedlings by modulating ion homeostasis, antioxidant defense, and phytohormone balance. Physiol. Plant. 2021, 173, 1682–1694. [Google Scholar] [CrossRef]
- Ferrándiz, C.; Gu, Q.; Martienssen, R.; Yanofsky, M.F. Redundant regulation of meristem identity and plant architecture by FRUITFULL, APETALA1 and CAULIFLOWER. Development 2000, 127, 725–734. [Google Scholar] [CrossRef]
- Xue, Y.; Wang, J.Y.; He, Y.Y.; Patra, P.; Gao, Y.Q. Multi-scale gene regulation mechanism: Spatiotemporal transmission of genetic information. Curr. Opin. Struct. Biol. 2022, 77, 102487. [Google Scholar] [CrossRef]
- Vogt, T. Phenylpropanoid Biosynthesis. Mol. Plant. 2010, 3, 2–20. [Google Scholar] [CrossRef] [PubMed]
- Winkel-Shirley, B. Flavonoid biosynthesis. A colorful model for genetics, biochemistry, cell biology, and biotechnology. Plant Physiol. 2001, 126, 485–493. [Google Scholar] [CrossRef] [PubMed]
- Wang, Q.H.; Liu, N.; Yang, R.R.; Zhang, X.J.; Wang, Y.; Li, Y.C.; Prusky, D.; Bi, Y.; Han, Y. Essential role of ABA signaling and related transcription factors in phenolic acid and lignin synthesis during muskmelon wound healing. Front. Plant Sci. 2024, 15, 1404477. [Google Scholar] [CrossRef] [PubMed]
- Bhatia, C.; Pandey, A.; Gaddam, S.R.; Hoecker, U.; Trivedi, P.K. Low Temperature-Enhanced Flavonol Synthesis Requires Light-Associated Regulatory Components in Arabidopsis thaliana. Plant Cell Physiol. 2018, 59, 2099–2112. [Google Scholar] [CrossRef]
- Ding, M.Q.; Zhang, K.X.; He, Y.Q.; Zuo, Q.; Zhao, H.; He, M.; Georgiev, M.I.; Park, S.U.; Zhou, M.L. FtBPM3 modulates the orchestration of FtMYB11-mediated flavonoids biosynthesis in Tartary buckwheat. Plant Biotechnol. J. 2021, 19, 1285–1287. [Google Scholar] [CrossRef]
- Li, Y.; Chen, M.; Wang, S.L.; Ning, J.; Ding, X.H.; Chu, Z.H. AtMYB11 regulates caffeoylquinic acid and flavonol synthesis in tomato and tobacco. Plant Cell Tissue Organ Cult. 2015, 122, 309–319. [Google Scholar] [CrossRef]
- Li, S.T.; Zachgo, S. TCP3 interacts with R2R3-MYB proteins, promotes flavonoid biosynthesis and negatively regulates the auxin response in Arabidopsis thaliana. Plant J. 2013, 76, 901–913. [Google Scholar] [CrossRef]






Disclaimer/Publisher’s Note: The statements, opinions and data contained in all publications are solely those of the individual author(s) and contributor(s) and not of MDPI and/or the editor(s). MDPI and/or the editor(s) disclaim responsibility for any injury to people or property resulting from any ideas, methods, instructions or products referred to in the content. |
© 2026 by the authors. Licensee MDPI, Basel, Switzerland. This article is an open access article distributed under the terms and conditions of the Creative Commons Attribution (CC BY) license.
Share and Cite
Tian, X.; Hu, M.; Fang, W.; Yin, Y. Producing High-Quality Buckwheat Sprouts: The Combined Effects of Melatonin and UV-B Treatment. Foods 2026, 15, 422. https://doi.org/10.3390/foods15030422
Tian X, Hu M, Fang W, Yin Y. Producing High-Quality Buckwheat Sprouts: The Combined Effects of Melatonin and UV-B Treatment. Foods. 2026; 15(3):422. https://doi.org/10.3390/foods15030422
Chicago/Turabian StyleTian, Xin, Meixia Hu, Weiming Fang, and Yongqi Yin. 2026. "Producing High-Quality Buckwheat Sprouts: The Combined Effects of Melatonin and UV-B Treatment" Foods 15, no. 3: 422. https://doi.org/10.3390/foods15030422
APA StyleTian, X., Hu, M., Fang, W., & Yin, Y. (2026). Producing High-Quality Buckwheat Sprouts: The Combined Effects of Melatonin and UV-B Treatment. Foods, 15(3), 422. https://doi.org/10.3390/foods15030422

