Sign in to use this feature.

Years

Between: -

Subjects

remove_circle_outline
remove_circle_outline
remove_circle_outline
remove_circle_outline
remove_circle_outline
remove_circle_outline
remove_circle_outline
remove_circle_outline
remove_circle_outline

Journals

remove_circle_outline
remove_circle_outline
remove_circle_outline
remove_circle_outline
remove_circle_outline
remove_circle_outline

Article Types

Countries / Regions

remove_circle_outline
remove_circle_outline
remove_circle_outline

Search Results (627)

Search Parameters:
Keywords = measuring test bench

Order results
Result details
Results per page
Select all
Export citation of selected articles as:
24 pages, 4686 KB  
Article
Parameter Calibration and Experimentation of the Discrete Element Model for Mixed Seeds of Vetch (Vicia villosa) and Oat (Avena sativa) in a Pneumatic Seed Drilling System
by Yu Fu, Dewei Wang, Xufeng Wang, Long Wang, Jianliang Hu, Xingguang Chi and Mao Ji
Appl. Sci. 2025, 15(24), 13048; https://doi.org/10.3390/app152413048 - 11 Dec 2025
Viewed by 78
Abstract
This paper focuses on mixed seeds of Vicia villosa and Avena sativa, with their discrete element model and contact parameters being systematically calibrated and validated to provide reliable theoretical support for the structural design and parameter optimization of the air-assisted seed delivery [...] Read more.
This paper focuses on mixed seeds of Vicia villosa and Avena sativa, with their discrete element model and contact parameters being systematically calibrated and validated to provide reliable theoretical support for the structural design and parameter optimization of the air-assisted seed delivery system. The physical properties of both seed types, including triaxial dimensions, density, moisture content, Poisson’s ratio, and shear modulus, were first measured. The Hertz–Mindlin (no slip) contact model and the multi-sphere aggregation method were employed to construct the discrete element models of Vicia villosa and Avena sativa, with preliminary calibration of the intrinsic model parameters. Poisson’s ratio, elastic modulus, collision restitution coefficient, static friction coefficient, and rolling friction coefficient between the seeds and PLA plastic plate were determined through uniaxial compression, free fall, inclined sliding, and inclined rolling tests. Each test was repeated five times, and the calibration criterion for contact parameters was based on minimizing the relative error between simulation and experimental results. Based on this, experiments on the packing angle of mixed seeds, steepest slope, and a three-factor quadratic rotational orthogonal combination were conducted. The inter-seed collision restitution coefficient, static friction coefficient, and rolling friction coefficient were set as the experimental factors. A total of 23 treatments were designed with repetitions at the center point, and a regression model was established for the relative error of the packing angle with respect to each factor. Based on the measured packing angle of 28.01° for the mixed seeds, the optimal contact parameter combination for the mixed seed pile was determined to be: inter-seed collision restitution coefficient of 0.312, static friction coefficient of 0.328, and rolling friction coefficient of 0.032. The relative error between the simulated packing angle and the measured value was 1.32%. The calibrated inter-seed contact parameters were further coupled into the EDEM–Fluent gas–solid two-phase flow model. Simulations and bench verification tests were carried out under nine treatment combinations, corresponding to three fan speeds (20, 25, and 30 m·s−1) and three total transport efficiencies (12.5, 17.5, and 22.5 g·s−1), with the consistency coefficient of seed distribution in each row being the main evaluation variable. The results showed that the deviation in the consistency coefficient of seed distribution between the simulation and experimental measurements ranged from 1.24% to 3.94%. This indicates that the calibrated discrete element model for mixed seeds and the EDEM–Fluent coupled simulation can effectively reproduce the air-assisted seed delivery process under the conditions of Vicia villosa and Avena sativa mixed sowing, providing reliable parameters and methodological support for the structural design of seeders and DEM-CFD coupled simulations in legume–grass mixed sowing systems. Full article
(This article belongs to the Section Agricultural Science and Technology)
Show Figures

Figure 1

26 pages, 6647 KB  
Article
Development of a Monitoring Method for Powered Roof Supports
by Dawid Szurgacz, Konrad Trzop, Łukasz Bazan, Jarosław Brodny and Zbigniew Krysa
Appl. Sci. 2025, 15(23), 12828; https://doi.org/10.3390/app152312828 - 4 Dec 2025
Viewed by 159
Abstract
The main objective of this study was to develop a comprehensive testing method for powered roof supports operating under real mining conditions and to establish guidelines for a monitoring system designed to record their geometric and operational parameters. The proposed methodology included analyses [...] Read more.
The main objective of this study was to develop a comprehensive testing method for powered roof supports operating under real mining conditions and to establish guidelines for a monitoring system designed to record their geometric and operational parameters. The proposed methodology included analyses of load-bearing capacity limits, laboratory model tests, bench tests, and in situ investigations under actual working conditions. Based on these studies, a detailed testing procedure was developed, defining the sequence of experimental stages, the selection and calibration of sensors, their installation and servicing methods, as well as the integration of measuring equipment with the support structure. The key results demonstrate that the proposed method allows for reliable acquisition and interpretation of data concerning the operational behavior of powered roof supports. The findings enabled the identification of critical geometric and operational parameters influencing the stability, durability, and efficiency of the support system. The developed monitoring procedure, supported by both laboratory and field tests, provides a consistent and replicable framework for assessing the performance of roof supports in real-time mining operations. The conclusions confirm that the presented approach represents an innovative and systematic method for evaluating and monitoring powered roof supports under real conditions. The main contribution of this work lies in the formulation of universal guidelines for the design and implementation of monitoring systems, significantly improving the safety, reliability, and efficiency of mining processes. Full article
Show Figures

Figure 1

23 pages, 6786 KB  
Article
Implications of Discrete vs. Continuously Adjustable Current for Electrically Heated Catalytic Converters
by Marko Petkovšek, Peter Zajec, Mitja Nemec, Andraž Rihar, Danjel Vončina, Vanja Ambrožič, Jure Golob and David Nedeljković
Appl. Sci. 2025, 15(23), 12483; https://doi.org/10.3390/app152312483 - 25 Nov 2025
Viewed by 156
Abstract
Despite the obvious shift in daily commuting towards electromobility, internal combustion engines (ICEs) still dominate the market, particularly in the transport sector. Their main drawback—cold-start emissions—has driven the development of active control strategies beyond passive exhaust optimizations. An electrically heated catalytic converter (EHC) [...] Read more.
Despite the obvious shift in daily commuting towards electromobility, internal combustion engines (ICEs) still dominate the market, particularly in the transport sector. Their main drawback—cold-start emissions—has driven the development of active control strategies beyond passive exhaust optimizations. An electrically heated catalytic converter (EHC) helps the catalytic converter reach the light-off temperature more quickly through active control; however, it places additional demands on the already strained onboard electrical power distribution network. This paper presents a case study comparing two power supply and control configurations for managing the temperature of the EHC: (i) a smart-switch-based approach using bang-bang control, and (ii) a DC/DC converter with a proportional–integral–derivative (PID) controller. To define key target requirements for a dedicated DC/DC converter suitable for real-world conditions, measurement data such as temperature and electrical power demand were gathered through preliminary pollutant emissions tests performed in a laboratory environment using a programmable bench power supply. For the selected test procedure, engine cold-start emissions using various heater power supply scenarios were reduced by a factor of 6 for Total Hydrocarbons (THC) and by a factor of 5 for Carbon Monoxide (CO). Based on a comparative analysis of power supply parameters, a custom four-leg interleaved Buck converter was developed to meet the target power requirement and to specifically reduce voltage overstress caused by parasitic inductances in the onboard distribution network during rapid load current transients. The efficiency of the proposed DC/DC converter reached 95.8%. Unlike a bang-bang-controlled smart switch, the use of the DC/DC converter reduces both electrical and thermal stress on the vehicle’s cable harness. Full article
(This article belongs to the Section Electrical, Electronics and Communications Engineering)
Show Figures

Figure 1

31 pages, 5344 KB  
Article
Ground Effect Influence on UAV Propeller Thrust: Experimental and CFD Validation
by Mădălin Dombrovschi, Gabriel-Petre Badea, Tiberius-Florian Frigioescu, Maria Căldărar and Daniel-Eugeniu Crunțeanu
Technologies 2025, 13(12), 542; https://doi.org/10.3390/technologies13120542 - 21 Nov 2025
Viewed by 529
Abstract
This work investigates the influence of ground effect on the performance of a UAV propeller through a combined experimental, analytical, and numerical approach. A dedicated test bench was designed and constructed to enable controlled measurements of thrust and power under static conditions. During [...] Read more.
This work investigates the influence of ground effect on the performance of a UAV propeller through a combined experimental, analytical, and numerical approach. A dedicated test bench was designed and constructed to enable controlled measurements of thrust and power under static conditions. During experimental campaigns, it was observed that the measured thrust significantly exceeded theoretical free-air predictions, suggesting the presence of a ground-like amplification effect. To quantify and validate this phenomenon, complementary methods were employed: blade element momentum-based analytical modeling corrected for ground proximity and high-fidelity CFD simulations performed using ANSYS CFX. Three configurations were analyzed numerically—an isolated propeller, a propeller with a motor, and a propeller–motor–mounting plate configuration—highlighting the progressive impact of structural elements on the flow field. The results showed close agreement between corrected analytical predictions, CFD solutions, and experimental data, with deviations below 8%. The presence of the mounting plate induced pressure redistribution and jet reflection, analogous to the helicopter ground effect, leading to thrust amplification of up to 30% relative to free-air conditions. This study confirms the critical role of the experimental setup and mounting configuration in propeller characterization and establishes a validated methodology for capturing ground effect phenomena relevant to UAV propulsion systems. Full article
(This article belongs to the Special Issue Aviation Science and Technology Applications)
Show Figures

Graphical abstract

17 pages, 5734 KB  
Article
Experimental Investigation of Equivalent Friction Coefficient Between Rope–Drum Mechanism and Pulley Transmission Loss for High-Altitude Wind Power Generation Systems
by Dong Liang, Wei Shuai, Ao Song, Xiangyang Xu, Hanjie Jia and Jiayuan Luo
Energies 2025, 18(23), 6079; https://doi.org/10.3390/en18236079 - 21 Nov 2025
Viewed by 386
Abstract
This paper presents the design and experimental investigation of a multifunctional friction test bench, aiming to characterize the frictional and transmission efficiency of rope–drum systems in high-altitude wind power generation. The study addresses a critical gap in the experimental validation of key components [...] Read more.
This paper presents the design and experimental investigation of a multifunctional friction test bench, aiming to characterize the frictional and transmission efficiency of rope–drum systems in high-altitude wind power generation. The study addresses a critical gap in the experimental validation of key components for this demanding application. The test bench, comprising loading, power, test, and data acquisition modules, was designed to measure the equivalent friction coefficient (a comprehensive macro-parameter, not the traditional material friction coefficient) between an ultra-high-molecular-weight polyethylene (UHMWPE) fiber rope and a drum, as well as the transmission efficiency of pulleys. Key parameters, including contact angle, gasket material (steel vs. polyamide (PA)), groove type (U vs. V), and rotational speed, were systematically tested using tension and speed and torque sensors for data acquisition. Experimental results show that the equivalent friction coefficient initially increased and then decreased with the contact angle, reaching a maximum of approximately 0.15 at 100°. The coefficient was positively correlated with rotational speed, increasing by about 40% for steel and 10% for PA linings as speed rose from 25 to 100 rpm. Steel linings exhibited a significantly higher equivalent friction coefficient (0.14–0.17) than PA linings (0.10–0.13). Similarly, in transmission tests, steel pulleys demonstrated superior efficiency compared to PA pulleys, while V-grooves slightly reduced efficiency compared to U-grooves. Furthermore, pulley misalignment was found to decrease transmission efficiency. This work provides essential experimental data and a robust testing platform, laying a foundation for optimizing the efficiency and reliability of high-altitude wind energy systems. Full article
(This article belongs to the Section A3: Wind, Wave and Tidal Energy)
Show Figures

Figure 1

20 pages, 2584 KB  
Article
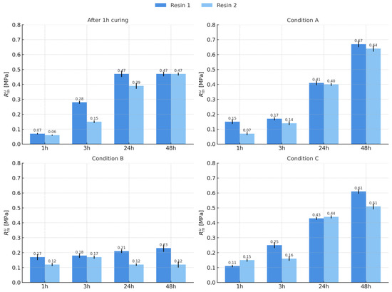
Effect of Resin Reactivity and Storage Conditions on the Properties of Foundry Cores Based on Phenolic Resole Binders
by Faustyna Woźniak and Artur Bobrowski
Appl. Sci. 2025, 15(22), 12256; https://doi.org/10.3390/app152212256 - 18 Nov 2025
Viewed by 464
Abstract
This study investigates the influence of binder reactivity and storage conditions on the mechanical and technological properties of foundry cores made with two phenol–formaldehyde resole resins differing in reactivity. Cylindrical specimens were produced using the Alpha-Set process and tested for tensile and splitting [...] Read more.
This study investigates the influence of binder reactivity and storage conditions on the mechanical and technological properties of foundry cores made with two phenol–formaldehyde resole resins differing in reactivity. Cylindrical specimens were produced using the Alpha-Set process and tested for tensile and splitting strength, gas permeability, abrasion resistance, and thermal deformation after 1 h of curing and 24 h of storage under three climatic conditions (temperature (°C) and relative humidity (RH) are given using standard notation): A (25 °C, 90% RH), B (0 °C, 10% RH), and C (15 °C, 50% RH). The bench life of the mixtures ranged from 6.5 min for the high-reactivity resin to 8.0 min for the low-reactivity resin, indicating that higher reactivity shortens the technological window but enables faster strength development. After 48 h of curing under moderate conditions (C), cores made with the high-reactivity resin achieved a tensile strength of 0.51 MPa, compared with 0.35 MPa for the low-reactivity binder. Under high humidity (A), this trend reversed—the less reactive resin reached a higher splitting strength (4.27 MPa vs. 2.95 MPa) and exhibited lower friability (0.9% vs. 3.0%), confirming greater resistance to moisture-induced plasticization. The high-reactivity resin, however, showed smaller maximum thermal deformation (≈−2 mm vs. ≈−5.5 mm), although the onset of instability occurred earlier during heating. In cold and dry conditions (B), the low-reactivity resin provided higher tensile strength (0.23 MPa vs. 0.12 MPa) and lower friability, whereas the high-reactivity resin exhibited lower thermal distortion. Binder selection should therefore reflect the prioritized property—dimensional stability or mechanical strength and abrasion resistance. A comparative evaluation of all measured parameters indicated that the most balanced performance was obtained under moderate storage conditions (15 °C, 50% RH), representing the optimal processing route for phenolic resin-bonded cores. Full article
(This article belongs to the Section Civil Engineering)
Show Figures

Figure 1

21 pages, 2383 KB  
Article
Strength Characterization by Vibrational Analysis of Building Demolition Wood to Assess Reuse Potential
by Odran Lemaitre, Laurent Bléron, Caroline Simon and Pierre-Jean Méausoone
Recycling 2025, 10(6), 204; https://doi.org/10.3390/recycling10060204 - 5 Nov 2025
Viewed by 372
Abstract
The objective of the study is to develop a methodology for strength characterization by vibrational analysis of a batch of wood from building demolitions with a view to its reuse. This approach is part of an experimental deconstruction/reconstruction project located in the Vosges [...] Read more.
The objective of the study is to develop a methodology for strength characterization by vibrational analysis of a batch of wood from building demolitions with a view to its reuse. This approach is part of an experimental deconstruction/reconstruction project located in the Vosges “département” of France and led by the social housing landlord, VOSGELIS. The main constraint related to this intention of reuse is the obtention of the strength class of the elements, which is not recorded in the standards. The comparative study of different non-destructive technologies has shown that the values of the longitudinal dynamic modulus of elasticity obtained by the vibrational method are closer on average (15%) to the actual value obtained by the bending tests than those obtained by the ultrasonic method (35%). A portable measuring bench suitable for the deconstruction site was also developed during the study for the utilization of the vibrational method. The values of the dynamic modules of elasticity obtained on this bench are close, on average, to the values of the modulus of elasticity obtained by bending tests executed on a test slab (13%). This study made it possible to extend the use of the NF EN 14081-2+A1 standard to woods from building demolitions. However, this standard needs to be adapted for the classification of that typology of wood, with a reference batch constituted of 15 to 20 samples. Full article
Show Figures

Figure 1

12 pages, 1148 KB  
Article
Acute Effect of Dryland Maximum Strength Training Session on Sport-Specific Performance Tests in Female Water Polo Players
by Ioannis Malliaros, Gavriil G. Arsoniadis, Petros G. Botonis, Gerasimos Terzis, Theodoros Platanou and Argyris G. Toubekis
Sports 2025, 13(11), 378; https://doi.org/10.3390/sports13110378 - 3 Nov 2025
Viewed by 1102
Abstract
Background: The study evaluated the acute effect of dryland maximum strength (MS) training on water polo performance. Methods: Twelve female players (20.3 ± 1.4 years) underwent initial assessments, including a head-out 20 m swim and a one-repetition maximum (1RM) strength test in three [...] Read more.
Background: The study evaluated the acute effect of dryland maximum strength (MS) training on water polo performance. Methods: Twelve female players (20.3 ± 1.4 years) underwent initial assessments, including a head-out 20 m swim and a one-repetition maximum (1RM) strength test in three exercises: bench press, seated pull row, and half squat. These exercises were used as the experimental (EXP) condition. During the main testing sessions, participants completed the EXP and a control (CON) condition. In the EXP, players completed MS training (three sets of six repetitions at 80% 1RM), followed 15 min later by in-water testing. In the CON, only the in-water tests were performed. These included a 10 s tethered swim to measure force, a 20 m head-out swim at maximum intensity to measure performance time, ten goal-targeted throws to reach the highest accuracy and throwing velocity, and three in-water vertical jumps as high as possible. Results: The performance time in the head-out 20 m swim (EXP: 14.21 ± 0.4, CON: 14.18 ± 0.5 s), tethered swimming force (EXP: 86.85 ± 14.82, CON: 89.58 ± 15.92 N), shooting velocity (EXP: 14.67 ± 1.19, CON: 14.91 ± 0.32 m·s−1), shooting accuracy (EXP: 16.5 ± 5.4, CON: 19.0 ± 5.1 points), and in-water vertical jump height (EXP: 51.7 ± 5.6, CON: 52.9 ± 4.2 cm) were no different between conditions (p > 0.05). Conclusions: Dryland maximum strength training performed with high loads (80% 1RM) does not impair subsequent performance during sport-specific testing in female water polo players. These findings suggest that such MS training can be safely implemented 15 min prior to in-water training sessions. Full article
(This article belongs to the Special Issue Science and Medicine in Swimming)
Show Figures

Figure 1

17 pages, 3260 KB  
Article
Comprehensive Evaluation of a High-Resistance Fire Retardant via Simultaneous Thermal Analysis, Gas Chromatography–Mass Spectrometry, and Mass Loss Study
by Iveta Mitterová, Veronika Veľková and Andrea Majlingová
Fire 2025, 8(11), 432; https://doi.org/10.3390/fire8110432 - 1 Nov 2025
Viewed by 727
Abstract
In this study, we evaluate a phosphorus-based fire retardant (HR Prof) on Norway spruce using Simultaneous Thermal Analysis (STA: TG/DTG/DSC), Gas Chromatography–Mass Spectrometry (GC–MS), and bench-scale mass-loss measurements. Relative to the untreated reference, HR Prof re-routes decomposition toward earlier dehydration and transient char, [...] Read more.
In this study, we evaluate a phosphorus-based fire retardant (HR Prof) on Norway spruce using Simultaneous Thermal Analysis (STA: TG/DTG/DSC), Gas Chromatography–Mass Spectrometry (GC–MS), and bench-scale mass-loss measurements. Relative to the untreated reference, HR Prof re-routes decomposition toward earlier dehydration and transient char, simplifies the evolved gas mixture in the 150–250 °C range, and reduces burning intensity during 600 s of radiant exposure. Across 150/200/250 °C, identified components fell from 20/24/51 (reference) to 5/9/9 (HR Prof); no phosphorus-containing volatiles were detected in this window. Mass-loss tests showed a lower average burning rate (0.107 vs. 0.156%·s−1) and a smaller cumulative loss at 600 s (64.2 ± 9.5% vs. 93.7 ± 2.1%; one-way ANOVA, p < 0.05 for percentage loss). STA was conducted in air; the transient char formed at an intermediate temperature is oxidized near ~600 °C, explaining the low final residue despite earlier charring. A count-based Poisson model corroborated the significant reduction in volatile component richness for HR Prof (p < 0.001). The cross-method correspondences—earlier condensed-phase dehydration/char → leaner volatile pool → lower and flatter burning-rate profiles—support a condensed-phase-dominated protection mechanism within the conditions studied. Full article
(This article belongs to the Special Issue Sustainable Flame-Retardant Polymeric Materials)
Show Figures

Figure 1

20 pages, 2826 KB  
Article
A Fully Resolved Model of Compressible Flow with Phase Change Inside a Thermosyphon Heat Pipe: Validation and Predictive Analysis
by Hammouda Mahjoub, Zied Lataoui, Adel M. Benselama, Yves Bertin and Abdelmajid Jemni
Fluids 2025, 10(11), 282; https://doi.org/10.3390/fluids10110282 - 30 Oct 2025
Viewed by 416
Abstract
Thermosyphon heat pipes (THPs) are increasingly employed in advanced thermal management applications due to their highly effective thermal conductivity, compact design, and passive operation. In this study, a numerical investigation was conducted on a copper or aluminum thermosyphon charged with different working fluids, [...] Read more.
Thermosyphon heat pipes (THPs) are increasingly employed in advanced thermal management applications due to their highly effective thermal conductivity, compact design, and passive operation. In this study, a numerical investigation was conducted on a copper or aluminum thermosyphon charged with different working fluids, with methanol serving as a reference case. A two-dimensional compressible CFD model was implemented in OpenFOAM, coupling the Volume of Fluid (VOF) method with a hybrid phase-change formulation that integrates the Lee and Tanasawa approaches. It provides, indeed, a balance between computational efficiency and physical fidelity. The vapor flow, considered as an ideal gas, was assumed compressible. The isoAdvector algorithm was applied as a reconstruction technique in order to improve interface capturing, to reduce spurious oscillations and parasitic currents, and to ensure more realistic simulation of boiling and condensation phenomena. The performance dependency on operating parameters such as the inclination angle, liquid filling ratio, and thermophysical properties of the working fluid is analyzed. The numerical predictions were validated against experimental measurements obtained from a dedicated test bench, showing discrepancies below 3% under vertical operation. This work provides new insights into the coupled influence of orientation, fluid inventory, and working fluid properties on THP behavior. Beyond the experimental validation, it establishes a robust computational framework for predicting two-phase heat and mass transfer phenomena by linearizing and treating the terms involved in thebalances to be satisfied implicitly. The results reveal a strong interplay between the inclination angle and filling ratio in determining the overall thermal resistance. At low filling ratios, the vertical operation led to insufficient liquid return and increased resistance, whereas inclined orientations enhanced the liquid spreading and promoted more efficient evaporation. An optimal filling ratio range of 40–60% was identified, minimizing the thermal resistance across the working fluids. In contrast, excessive liquid charge reduced the vapor space and degraded the performance due toflow restriction and evaporationflooding. Full article
(This article belongs to the Section Mathematical and Computational Fluid Mechanics)
Show Figures

Figure 1

21 pages, 3273 KB  
Article
The Depression Effect of Micromolecular Depressant Containing Amino and Phosphonic Acid Group on Serpentine in the Flotation of Low-Grade Nickel Sulphide Ore
by Chenxu Zhang, Wei Sun, Zhiyong Gao, Bingang Lu, Xiaohui Su, Chunhua Luo, Xiangan Peng and Jian Cao
Minerals 2025, 15(11), 1116; https://doi.org/10.3390/min15111116 - 27 Oct 2025
Viewed by 428
Abstract
Selective depression of serpentine remains a major challenge in the flotation of low-grade nickel sulphide ores because serpentine slimes impair concentrate grade and recovery. In this study, four structurally related micromolecular depressants bearing amino and phosphonic functionalities were designed, synthesized and systematically evaluated. [...] Read more.
Selective depression of serpentine remains a major challenge in the flotation of low-grade nickel sulphide ores because serpentine slimes impair concentrate grade and recovery. In this study, four structurally related micromolecular depressants bearing amino and phosphonic functionalities were designed, synthesized and systematically evaluated. Micro-flotation screening (depressant range: 0–20 mg·L−1) and bench-scale tests identified an operational optimum near pH 9 and a reagent dosage of ≈18 mg·L−1; potassium butyl xanthate (PBX) was used as a collector and methyl isobutyl carbinol (MIBC) as a frother. Phosphonate-containing molecules (PMIDA and GLY) delivered the largest gains in pentlandite recovery and concentrate selectivity compared with carboxylate analogues and a benchmark depressant. Mechanistic studies (zeta potential, adsorption isotherms, FT-IR, and XPS) indicated that selective adsorption of amino and phosphonate groups on serpentine occurs via coordination with surface Mg sites and by altering the electrical double layer. The DLVO modelling showed that these reagents generate an increased repulsive barrier, mitigating slime coating and entrainment. Contact-angle measurements confirmed selective hydrophilization of serpentine while pentlandite remained hydrophobic. These findings demonstrate that incorporating targeted phosphonate chelation into small-molecule depressants is an effective strategy to control serpentine interference and to enhance flotation performance. Full article
(This article belongs to the Section Mineral Processing and Extractive Metallurgy)
Show Figures

Figure 1

17 pages, 6464 KB  
Article
Wear Calculation Method of Tripping Mechanism of Knotter Based on Rigid–Flexible Coupling Dynamic Model
by Jianjun Yin, Yansu Gao, Ruipeng Guo, Shiyu Lv, Maile Zhou and Deng Yu
Agriculture 2025, 15(21), 2229; https://doi.org/10.3390/agriculture15212229 - 25 Oct 2025
Viewed by 365
Abstract
Targeting the problem of lack of theoretical model for wear calculation of key actuators in the knotter, a tripping mechanism of knotter based on the principle of elastic deformation was designed. A rigid–flexible coupling dynamic analysis model of the tripping mechanism was established [...] Read more.
Targeting the problem of lack of theoretical model for wear calculation of key actuators in the knotter, a tripping mechanism of knotter based on the principle of elastic deformation was designed. A rigid–flexible coupling dynamic analysis model of the tripping mechanism was established based on the modal stress method, and the contact force time history curves and dynamic stress results between the groove cam and the ball roller, as well as between the knotter jaw and the tripping plate slot, were simulated. Based on MSC, Marc MENTAT, a finite element wear calculation model of the tripping mechanism, was constructed. Through 600 simulations equivalent to 6000 working cycles, the wear cloud maps of the tripping plate and the large gear groove cam were obtained, and the key wear areas and expansion trends were analyzed. The rapid wear tests were conducted by using a self-made knotter fatigue wear test bench, which showed that the maximum deviation between the measured value and the simulated value of the contact pair wear was less than 10%. This verified that the proposed wear model for the tripping mechanism can be used for calculating the contact pair wear of the mechanism, providing a reference for the heat treatment process of the surface hardness of the parts. Full article
(This article belongs to the Section Agricultural Technology)
Show Figures

Figure 1

10 pages, 779 KB  
Article
Effects of Varying Antagonist Exercise Volume in Upper-Body Supersets on Mechanical, Metabolic, and Perceptual Responses in Resistance-Trained Men
by Gonzalo Márquez, Etham Coutado-Sánchez, Adrián Villaraviz-Ferro, Daniel Marcos-Frutos, Amador García-Ramos and David Colomer-Poveda
J. Funct. Morphol. Kinesiol. 2025, 10(4), 419; https://doi.org/10.3390/jfmk10040419 - 23 Oct 2025
Viewed by 1717
Abstract
Objectives: This study aimed to analyze the effects of varying antagonist volume in upper-body supersets on mechanical (lifting velocity), metabolic (blood lactate), and perceptual (perceived exertion) variables. Methods: A randomized crossover study was conducted in which 14 resistance-trained men performed three [...] Read more.
Objectives: This study aimed to analyze the effects of varying antagonist volume in upper-body supersets on mechanical (lifting velocity), metabolic (blood lactate), and perceptual (perceived exertion) variables. Methods: A randomized crossover study was conducted in which 14 resistance-trained men performed three strength training conditions. In the control condition (CTR), participants performed four sets of bench press with 8 repetitions at their 12-repetition maximum load, whereas in the experimental conditions, a prone bench pull was performed immediately after the bench press using 33% (SS1) or 66% (SS2) of the individual’s maximum possible repetitions. Lifting velocity, lactate concentration, and perceived exertion were measured. Repeated-measures ANOVA or Friedman test was applied to compare conditions, with Bonferroni-corrected post hoc tests and effect sizes reported. Results: Despite a progressive decrease in mean set velocity (p < 0.001) and fastest set velocity across sets (p = 0.014) in the agonist exercise (i.e., bench press), these variables did not significantly differ between conditions. The only difference observed was a lower mean set velocity during the prone bench pull in the SS2 condition compared to the SS1 condition (p = 0.011). Perceived exertion also increased across sets (p < 0.001), with no differences between protocols. Blood lactate concentration, measured before the final set, was significantly higher in SS2 compared to CTR (p = 0.003) and SS1 (p < 0.001), indicating a greater metabolic load during training. Conclusions: Agonist–antagonist supersets allow for reduced training time without negatively impacting acute mechanical performance in the agonist exercise. Low-fatigue configurations (SS1) in the secondary exercise do not significantly increase lactate levels, while moderate-fatigue configurations (SS2) in the secondary exercise increase metabolic load. Full article
Show Figures

Figure 1

16 pages, 860 KB  
Article
Exploratory Analysis of the Correlations Between Physiological and Biomechanical Variables and Performance in the CrossFit® Fran Benchmark Workout
by Alexandra Malheiro, Pedro Forte, David Rodríguez Rosell, Diogo L. Marques and Mário C. Marques
J. Funct. Morphol. Kinesiol. 2025, 10(4), 387; https://doi.org/10.3390/jfmk10040387 - 5 Oct 2025
Cited by 1 | Viewed by 944
Abstract
Background: The multifactorial nature of CrossFit performance remains incompletely understood, particularly regarding sex- and experience-related physiological and biomechanical factors. Methods: Fifteen trained athletes (8 males, 7 females) completed assessments of anthropometry, estimated one-repetition maximums (bench press, back squat, deadlift), squat jump [...] Read more.
Background: The multifactorial nature of CrossFit performance remains incompletely understood, particularly regarding sex- and experience-related physiological and biomechanical factors. Methods: Fifteen trained athletes (8 males, 7 females) completed assessments of anthropometry, estimated one-repetition maximums (bench press, back squat, deadlift), squat jump (SJ), maximal oxygen uptake (VO2max), ventilatory responses (V˙E), and heart rate (HR). Spearman, Pearson, and partial correlations were calculated with Holm and false discovery rate (FDR) corrections. Results: Males displayed greater body mass, lean and muscle mass, maximal strength, and aerobic capacity than females (all Holm-adjusted p < 0.01). Experienced athletes completed Fran faster than beginners despite broadly similar anthropometric and aerobic profiles. In the pooled sample, WOD time showed moderate negative relationships with estimated 1RM back squat (ρ = −0.54), deadlift (ρ = −0.56), and bench press (ρ = −0.65) before correction; none remained significant after Holm/FDR adjustment, and partial correlations controlling for training years were further attenuated. Conclusions: This exploratory study provides preliminary evidence suggesting that maximal strength may contribute to Fran performance, whereas conventional aerobic measures were less influential. However, given the very small sample (n = 15, 8 males and 7 females) and the fact that no relationships remained statistically significant after correction for multiple testing, the results must be regarded as preliminary, hypothesis-generating evidence only, requiring confirmation in larger and adequately powered studies. Full article
(This article belongs to the Special Issue Biomechanical Analysis in Physical Activity and Sports—2nd Edition)
Show Figures

Figure 1

38 pages, 21368 KB  
Article
Machine Learning-Based Dynamic Modeling of Ball Joint Friction for Real-Time Applications
by Kai Pfitzer, Lucas Rath, Sebastian Kolmeder, Burkhard Corves and Günther Prokop
Lubricants 2025, 13(10), 436; https://doi.org/10.3390/lubricants13100436 - 1 Oct 2025
Cited by 1 | Viewed by 879
Abstract
Ball joints are components of the vehicle axle, and their friction characteristics must be considered when evaluating vibration behavior and ride comfort in driving simulator-based simulations. To model the three-dimensional friction behavior of ball joints, real-time capability and intuitive parameterization using data from [...] Read more.
Ball joints are components of the vehicle axle, and their friction characteristics must be considered when evaluating vibration behavior and ride comfort in driving simulator-based simulations. To model the three-dimensional friction behavior of ball joints, real-time capability and intuitive parameterization using data from standardized component test benches are essential. These requirements favor phenomenological modeling approaches. This paper applies a spherical, three-dimensional friction model based on the LuGre model, compares it with alternative approaches, and introduces a universal parameter estimation framework using machine learning. Furthermore, the kinematic operating ranges of ball joints are derived from vehicle measurements, and component-level measurements are conducted accordingly. The collected measurement data are used to estimate model parameters through gradient-based optimization for all considered models. The results of the model fitting are presented, and the model characteristics are discussed in the context of their suitability for online simulation in a driving simulator environment. We demonstrate that the proposed parameter estimation framework is capable of learning all the applied models. Moreover, the three-dimensional LuGre-based approach proves to be well suited for capturing the dynamic friction behavior of ball joints in real-time applications. Full article
(This article belongs to the Special Issue New Horizons in Machine Learning Applications for Tribology)
Show Figures

Figure 1

Back to TopTop