Sign in to use this feature.

Years

Between: -

Subjects

remove_circle_outline
remove_circle_outline
remove_circle_outline
remove_circle_outline
remove_circle_outline
remove_circle_outline
remove_circle_outline
remove_circle_outline
remove_circle_outline

Journals

remove_circle_outline
remove_circle_outline
remove_circle_outline
remove_circle_outline
remove_circle_outline
remove_circle_outline
remove_circle_outline
remove_circle_outline
remove_circle_outline
remove_circle_outline
remove_circle_outline
remove_circle_outline
remove_circle_outline
remove_circle_outline
remove_circle_outline
remove_circle_outline
remove_circle_outline
remove_circle_outline
remove_circle_outline
remove_circle_outline
remove_circle_outline
remove_circle_outline
remove_circle_outline
remove_circle_outline
remove_circle_outline
remove_circle_outline
remove_circle_outline

Article Types

Countries / Regions

remove_circle_outline
remove_circle_outline
remove_circle_outline
remove_circle_outline
remove_circle_outline
remove_circle_outline
remove_circle_outline
remove_circle_outline

Search Results (8,979)

Search Parameters:
Keywords = mda5

Order results
Result details
Results per page
Select all
Export citation of selected articles as:
26 pages, 5287 KB  
Article
Discovery of New Quinazolinone and Benzimidazole Analogs as Tubulin Polymerization Inhibitors with Potent Anticancer Activities
by Boye Jiang, Juan Zhang, Kai Shao, Conghao Gai, Bing Xu, Yan Zou, Yan Song, Qingjie Zhao, Qingguo Meng and Xiaoyun Chai
Pharmaceuticals 2026, 19(1), 161; https://doi.org/10.3390/ph19010161 (registering DOI) - 15 Jan 2026
Abstract
Background/Objectives: Cancer persists as a leading concern in the current medical field, and current therapies are limited by toxicity, cost, and resistance. Targeted inhibition of tubulin polymerization is considered as a promising therapeutic strategy for cancer treatment. Methods: Thirty-one new tubulin polymerization [...] Read more.
Background/Objectives: Cancer persists as a leading concern in the current medical field, and current therapies are limited by toxicity, cost, and resistance. Targeted inhibition of tubulin polymerization is considered as a promising therapeutic strategy for cancer treatment. Methods: Thirty-one new tubulin polymerization inhibitors were designed via molecular hybridization techniques, and BLI technology was employed to quantitatively investigate their interactions with tubulin. Antiproliferative activities against MCF-7, MDA-MB-231, A549, and HeLa cell lines was evaluated using the CCK8 assay. Apoptosis induction and cell cycle arrest were analyzed by flow cytometry. The anti-tumor activity of compound B6 was validated in a mouse melanoma tumor model. Results: Compounds exhibited varying degrees of antiproliferative activity against four tumor cell lines. Among them, compound B6 was the most promising candidate and displayed strong broad-spectrum anticancer activity with an average IC50 value of 2 μM. The mechanism studies revealed that compound B6 inhibited tubulin polymerization in vitro, disrupted cell microtubule networks, and arrested the cell cycle at G2/M phase. Furthermore, B6 displayed significant in vivo antitumor efficacy in a melanoma tumor model with tumor growth inhibition rates of 70.21% (50 mg/kg). Conclusions: This work shows that B6 is a promising lead compound deserving further investigation as a potential anticancer agent. Full article
(This article belongs to the Section Medicinal Chemistry)
Show Figures

Figure 1

15 pages, 921 KB  
Article
Dental Anxiety and Oral Health-Related Quality of Life Among Adults in the United Arab Emirates: A Cross-Sectional Study
by Nada Tawfig Hashim, Muhammed Mustahsen Rahman, Riham Mohammed, Md Sofiqul Islam, Vivek Padmanabhan, Sharifa Jameel Hossain, Nallan C. S. K. Chaitanya, Noran Osama Mohammed, Asawer Ahmed Saeed and Shahista Parveen Dasnadi
Healthcare 2026, 14(2), 219; https://doi.org/10.3390/healthcare14020219 - 15 Jan 2026
Abstract
Background: Dental anxiety is a common psychological condition that may influence patients’ perceptions of oral health and well-being. Although its association with oral health-related quality of life (OHRQoL) has been widely studied internationally, evidence from the United Arab Emirates (UAE) remains limited. [...] Read more.
Background: Dental anxiety is a common psychological condition that may influence patients’ perceptions of oral health and well-being. Although its association with oral health-related quality of life (OHRQoL) has been widely studied internationally, evidence from the United Arab Emirates (UAE) remains limited. Objectives: This study aimed to examine the association between dental anxiety and OHRQoL among adult patients attending an academic dental clinic in the UAE. Methods: A cross-sectional study was conducted among adult dental patients using a non-probabilistic sampling approach. Dental anxiety was assessed using the Modified Dental Anxiety Scale (MDAS), and OHRQoL was measured using the Oral Health Impact Profile-14 (OHIP-14). Descriptive statistics and nonparametric tests were used for bivariate analyses. Multiple linear regression was applied as an exploratory approach to assess adjusted associations between dental anxiety and OHRQoL after accounting for age and gender. Results: Higher dental anxiety scores were independently associated with poorer OHRQoL after adjustment for age and gender. Bivariate analyses showed no statistically significant differences in dental anxiety or OHRQoL scores between men and women; however, subgroup comparisons should be interpreted cautiously given the sample size. The findings indicate a consistent association between higher anxiety levels and greater perceived oral health impact within the study population. Conclusions: Dental anxiety was associated with impaired oral health-related quality of life among adult dental clinic attendees in the UAE. These findings reflect associations observed within a modest, non-probabilistic, cross-sectional sample and should not be interpreted as causal or generalized to the wider population. Further longitudinal and population-based studies incorporating clinical and contextual variables are needed to clarify temporal relationships and strengthen external validity. Full article
(This article belongs to the Special Issue Oral and Maxillofacial Health Care: Third Edition)
Show Figures

Graphical abstract

19 pages, 3718 KB  
Article
Unlocking the Functional Potential of Pecan Nut Cake: A Study on Bioactive Peptide Production
by Tianjing Long, Yingjie Xu, Ziang Li, Weimei Kong, Yibo Zhu, Mingxuan Tao, Haibo Luo, Li Cui, Mingjun Sun, Zhen Wu, Xiaoqun Zeng, Daodong Pan and Yuxing Guo
Foods 2026, 15(2), 323; https://doi.org/10.3390/foods15020323 - 15 Jan 2026
Abstract
This study examined whether co-fermentation with Lactobacillus casei CGMCC 15956 and Lactobacillus delbrueckii CGMCC 21287 could enhance the bioactivity of peptides derived from pecan nut cake (PNC) and clarify the underlying mechanisms. The fermented hydrolysate (PNCH) was compared with an unfermented control. PNCH [...] Read more.
This study examined whether co-fermentation with Lactobacillus casei CGMCC 15956 and Lactobacillus delbrueckii CGMCC 21287 could enhance the bioactivity of peptides derived from pecan nut cake (PNC) and clarify the underlying mechanisms. The fermented hydrolysate (PNCH) was compared with an unfermented control. PNCH showed higher antioxidant and α-glucosidase inhibitory activities. Total antioxidant capacity increased from 3.17 to 4.81 mM Trolox, and DPPH radical scavenging activity increased from 62.69% to 84.12%. In addition, the IC50 value for α-glucosidase inhibition decreased from 7.549 to 4.509 mg/mL. In a mouse model of acute alcohol-induced liver injury, PNCH significantly alleviated liver damage through the synergistic enhancement of antioxidant and α-glucosidase inhibitory activities. Peptidomic analysis identified two representative bioactive peptides, FAGDDAPR (from actin) and LAGNPDDEFRPQ (from cupin domain–containing protein 1), both of which exhibited antioxidant and α-glucosidase inhibitory activities. Additionally, these peptides alleviated H2O2-induced oxidative stress in Caco-2 cells, significantly improving GSH and MDA levels, as well as SOD activity. Molecular docking suggested potential interactions of these peptides with superoxide dismutase, Keap1, and α-glucosidase. These findings support the high-value utilization of PNC and the development of functional peptide-based ingredients. Full article
(This article belongs to the Section Food Nutrition)
Show Figures

Figure 1

24 pages, 5047 KB  
Article
Gibberellic Acid-Induced Regulation of Antioxidant–Flavonoid Channels Provides Protection Against Oxidative Damage in Safflower Under Salinity Stress
by Zhiling Li, Xiaoyu Liu, Weijie Meng, Julong Shangguan, Jian Zhang, Imran Ali, Na Yao, Min Zhang, Naveed Ahmad and Xiuming Liu
Plants 2026, 15(2), 267; https://doi.org/10.3390/plants15020267 - 15 Jan 2026
Abstract
Salinity is a major constraint that compromises safflower performance by disrupting redox balance and metabolic homeostasis. Although hormonal mechanisms for improving plant resilience to abiotic stresses have been reported, the mechanistic role of gibberellic acid (GA3)-induced regulation of safflower tolerance to [...] Read more.
Salinity is a major constraint that compromises safflower performance by disrupting redox balance and metabolic homeostasis. Although hormonal mechanisms for improving plant resilience to abiotic stresses have been reported, the mechanistic role of gibberellic acid (GA3)-induced regulation of safflower tolerance to salinity remains unclear. This study aimed to investigate the impact of exogenous GA3 application under normal and saline conditions to evaluate its effects on growth, physiology, redox regulation, and flavonoid biosynthesis in safflower. Using phenotypic, physiological, biochemical, and gene expression analysis, it is suggested that GA3 significantly alleviates salt stress by integrating antioxidant defense and flavonoid biosynthesis. The results of phenotypic and physiological assessments showed that GA3 at 400 mg/L GA3 in safflower seedlings suggests enhanced vegetative growth and photosynthetic performance. Under salt stress, GA3 significantly alleviated oxidative damage by reducing H2O2, O2, and malondialdehyde (MDA) levels, while enhancing osmoprotective compounds such as proline, soluble sugars, proteins, and chlorophyll. GA3 also significantly increased the activity of antioxidant enzymes (SOD, POD, CAT, APX, GST, DHAR, and Prx), accompanied by the transcriptional upregulation of their corresponding genes, indicating GA3-mediated regulation of redox homeostasis at both biochemical and molecular levels. In parallel, GA3 enhanced the accumulation of major flavonoids, particularly hydroxy safflor yellow A (HSYA), with strong induction of key HSYA biosynthetic genes (CtF6H, CtCGT, Ct2OGD1), whereas salinity alone suppressed their expression. In contrast, the quercetin branch displayed a regulatory bottleneck at CtF3H, which remained suppressed under all treatments, although upstream genes were GA3-responsive. Together, these findings demonstrate that GA3 enhances salinity tolerance in safflower by simultaneously activating antioxidant defenses and stimulating flavonoid biosynthesis, providing mechanistic insight with practical implications for developing salt-resilient safflower varieties. Full article
(This article belongs to the Section Plant Response to Abiotic Stress and Climate Change)
Show Figures

Figure 1

13 pages, 1084 KB  
Case Report
Towards New Strategies: Case Report and Review of the Literature—Effective Use of JAK Inhibitor Baricitinib in a 4-Year-Old Boy with Anti-MDA5 Antibody-Positive Juvenile Dermatomyositis
by Oana Buzoianu, Özlem Satirer, Jasmin B. Kuemmerle-Deschner and Christiane Reiser
J. Clin. Med. 2026, 15(2), 709; https://doi.org/10.3390/jcm15020709 - 15 Jan 2026
Abstract
Juvenile dermatomyositis (JDM) is a rare, idiopathic autoimmune disorder characterized by inflammation of both muscle and skin, with a significant contribution from the interferon (IFN) pathway in its pathogenesis. Here, we present the case of a 4-year-old boy with JDM who tested positive [...] Read more.
Juvenile dermatomyositis (JDM) is a rare, idiopathic autoimmune disorder characterized by inflammation of both muscle and skin, with a significant contribution from the interferon (IFN) pathway in its pathogenesis. Here, we present the case of a 4-year-old boy with JDM who tested positive for Mi2-α and MDA5 antibodies and showed combined muscle and skin involvement. In view of his markedly elevated IFN signature, the Janus kinase (JAK) inhibitor baricitinib was introduced very early as a targeted steroid-sparing agent in addition to standard immunosuppressive therapy. The patient experienced marked clinical improvement, with resolution of skin lesions, normalization of MDA5 antibodies, and a pronounced reduction in the IFN signature. This case highlights the potential efficacy of JAK inhibition in managing JDM with a high IFN signature and supports a mechanism-based, interferon-targeted treatment approach, in line with emerging evidence in refractory JDM. Further studies are warranted to define the role of JAK inhibitors in the treatment of JDM. Full article
Show Figures

Figure 1

12 pages, 1471 KB  
Article
Antioxidant and Anti-Inflammatory Effect of Thai Shallot (Allium ascalonicum cv. chiangmai) and Cha-Miang (Camellia sinensis var. assamica) Extracts on Human Embryonic Kidney Cell Line (HEK293)
by Jiraporn Laoung-on, Chalermpong Saenjum, Kongsak Boonyapranai and Sakaewan Ounjaijean
Life 2026, 16(1), 141; https://doi.org/10.3390/life16010141 - 15 Jan 2026
Abstract
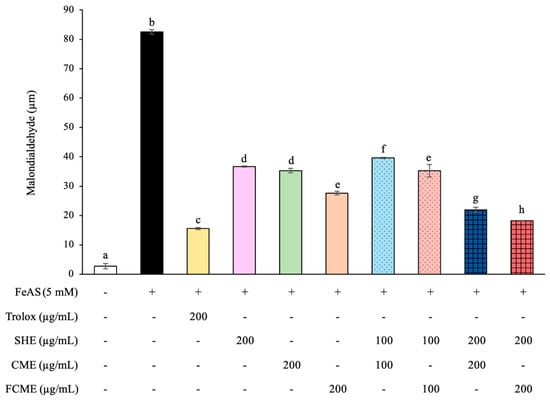
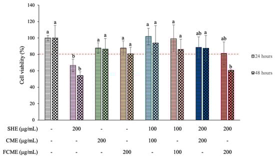
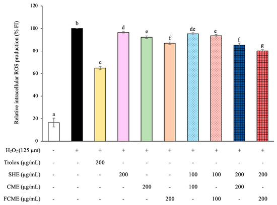
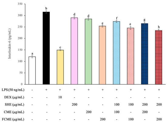
Oxidative stress and inflammation are key drivers in the pathogenesis of various chronic diseases, including cardiovascular disease, neurodegenerative disorders, chronic kidney disease, and diabetes. This study evaluated the antioxidant and anti-inflammatory activities of SHE, CME, and FCME, all cultivated in northern Thailand. Human [...] Read more.
Oxidative stress and inflammation are key drivers in the pathogenesis of various chronic diseases, including cardiovascular disease, neurodegenerative disorders, chronic kidney disease, and diabetes. This study evaluated the antioxidant and anti-inflammatory activities of SHE, CME, and FCME, all cultivated in northern Thailand. Human embryonic kidney cells (HEK293) were exposed to FeSO4 to induce oxidative stress and to LPS to stimulate inflammation. Cell viability was assessed using the MTT assay, while intracellular ROS production was measured using the DCFH-DA. Lipid peroxidation was quantified using the thiobarbituric acid reactive substances assay, and the interleukin-6 (IL-6) release was determined by ELISAs. All extracts demonstrated low cytotoxicity; however, cell death increased at 48 h compared to 24 h. At 200 µg/mL, SHE, CME, and FCME significantly reduced the H2O2-induced ROS generation, with the combined treatment of SHE and FCME producing a more pronounced reduction than the individual treatments. Furthermore, the combination of SHE and FCME markedly decreased malondialdehyde (MDA) and IL-6 levels compared with other groups. These findings suggest that shallot and cha-miang extracts, particularly in combination, exhibit promising antioxidant and anti-inflammatory properties in kidney cell models. This combination could therefore be explored as a nutraceutical strategy for the prevention and management of chronic kidney disease, in which oxidative stress and inflammation play pivotal roles. Overall, our finding highlight the potential of the combined use of SHE and FCME as a functional ingredients in the food and pharmaceutical industries. Full article
Show Figures

Figure 1

20 pages, 1997 KB  
Article
Effects of Four Light Colors on Physiology, Antioxidant Enzyme Activity, Shell Pigmentation, and Genes Associated with Body Color Formation in Procambarus clarkii
by Zhuozhuo Ai, Zhigang Yang, Jianhua Ming, Lu Zhang, Xiaoru Chen, Zhiqiang Xu, Wuxiao Zhang, Aiming Wang, Hongyan Tian, Silei Xia and Aqin Chen
Fishes 2026, 11(1), 54; https://doi.org/10.3390/fishes11010054 - 15 Jan 2026
Abstract
Light plays a critical role in the physiology and pigmentation of aquatic animals. Regulating the light environment of aquatic animals offers insights into healthy aquaculture practices. In this study, Procambarus clarkii were reared under four different light colors—white (WL), red (RL), blue (BL), [...] Read more.
Light plays a critical role in the physiology and pigmentation of aquatic animals. Regulating the light environment of aquatic animals offers insights into healthy aquaculture practices. In this study, Procambarus clarkii were reared under four different light colors—white (WL), red (RL), blue (BL), and green (GL)—for 21 days, with four replicates per light color. Morphological characteristics did not differ among light treatments. However, significant differences were observed in hemolymph cortisol levels and tyrosinase activity across different tissues (hemolymph, muscle, hepatopancreas) among groups (RL > BL > GL > WL). Hepatopancreatic CAT activity in WL was significantly higher than that in GL and BL, whereas hepatopancreatic MDA content was highest in BL. Regarding chromatic parameters, the yellow color of the RL cephalothorax cuticle and the red color of the muscle were more pronounced than in WL, The chela cuticle of GL is darker than RL, while the red color of the chela cuticle was more pronounced than in WL.. For pigment content, cephalothorax cuticle astaxanthin content in BL was significantly higher than that in other light color groups, while abdominal cuticle astaxanthin content was lowest in BL. Chela cuticle astaxanthin content in RL was significantly higher than that in WL, and chela cuticle astaxanthin and lutein contents in WL were significantly lower than those in BL and GL. Compared with WL, hepatopancreatic glutathione S-transferase P1 (GSTP1) mRNA expression significantly decreased under colored light, whereas NinaB mRNA expression significantly increased under RL and BL. These results indicate that light color does not affect the morphological characteristics of P. clarkii but significantly modulates oxidative stress responses, physiological status and energy metabolism. Different light colors may mediate carotenoid transport and deposition by regulating the expression of GSTP1, NinaB, leading to specific chromatic differences in different body parts of P. clarkii. Comprehensive analysis revealed that the red light environment exerted a more positive effect on enhancing the body color of P. clarkii. This study provides a reference for revealing the mechanism of light color regulating crustacean physiological function and pigmentation and optimizing aquaculture model. Full article
(This article belongs to the Section Aquatic Invertebrates)
Show Figures

Figure 1

18 pages, 1062 KB  
Article
Evaluating the Antiproliferative Effects of Tri(2-Furyl)- and Triphenylphosphine-Gold(I) Pyridyl- and Pyrimidine-Thiolate Complexes
by Kyle Logan Wilhelm, Shyam Pokhrel, Drew Stolpman, Charli Worth, Sonal Mehta, Raul A. Villacob, Bernd Zechmann, Ahmad A. L. Ahmad, Joseph Taube, Mitchell R. M. Bruce, Alice E. Bruce and Touradj Solouki
Biomolecules 2026, 16(1), 154; https://doi.org/10.3390/biom16010154 - 15 Jan 2026
Abstract
Two series of tri(2-furyl)- and triphenylphosphine-gold(I) complexes, with pyridyl- and pyrimidine-thiolate ligands containing electron-donating (-CH3) and electron-withdrawing (-CF3) substituents were synthesized and investigated for cell viability inhibitions. Prior results indicate that several of the gold(I) complexes in these series [...] Read more.
Two series of tri(2-furyl)- and triphenylphosphine-gold(I) complexes, with pyridyl- and pyrimidine-thiolate ligands containing electron-donating (-CH3) and electron-withdrawing (-CF3) substituents were synthesized and investigated for cell viability inhibitions. Prior results indicate that several of the gold(I) complexes in these series have high antifungal properties. The observed link between antifungal and anticancer activity provided motivation to investigate their antiproliferative effects, reported here. The synthesized compounds from both series were characterized by 1H, 13C, and 31P NMR spectroscopy, mass spectrometry (MS), infrared and UV-Vis spectroscopy, and solution stability studies. In addition, an X-ray crystallographic study was conducted on one of the gold(I) complexes. Analyte solubilities in McCoy’s 5A cell media were evaluated by ICP-MS. Initial screening studies were conducted on the two series to evaluate cell viability using the SK-BR-3 cell line. All ten gold(I) complexes exhibited sub-µM cytotoxicity and the most potent representatives, one from each series, were selected for further evaluation in four additional cell lines. Half-maximal effective concentrations (EC50) were determined for the MCF7 and MDA-MB-231 malignant mammary cell lines as well as the two control cell lines, HEK293T and MCF10A, to probe for specificity. Results indicate significant selectivity towards inhibition of cancer cells compared to non-transformed for tri(2-furyl)- and triphenylphosphine-gold(I) complexes with the 3,5-dimethylpyrimidine thiolate ligand when dissolved in cell media. Additional studies including 1% DMSO as a solubilizing agent revealed its significant impact on cellular responses. Full article
Show Figures

Figure 1

26 pages, 3232 KB  
Article
Tracheocutaneous Fistula Resolved by Pentadecapeptide BPC 157 Therapy Through the NO-System—Triple NO-Agent Approach in Rats
by Goran Madzarac, Tomislav Becejac, Toni Penovic, Dominik Drazenovic, Lucija Kralj, Marta Popović Dolic, Suncana Sikiric, Lidija Beketic Oreskovic, Ivana Oreskovic, Sanja Strbe, Ana Maria Tubikanec, Mihovil Penavic, Hrvoje Vranes, Ivan Krezic, Mario Kordic, Antun Koprivanac, Tinka Vidovic, Josipa Vlainic, Dinko Stancic Rokotov, Alenka Boban Blagaic, Sven Seiwerth, Anita Skrtic and Predrag Sikiricadd Show full author list remove Hide full author list
Pharmaceuticals 2026, 19(1), 145; https://doi.org/10.3390/ph19010145 - 14 Jan 2026
Abstract
Background/Objectives: This 7-day rat tracheocutaneous fistula study considered the not-studied issues of tracheocutaneous fistula course, wound healing, and fistula in the NO-system relations. Therefore, we focused on fistulas’ severe course, tracheocutaneous fistula → air leak → compensatory diaphragmatic/abdominal “heaving”, NO-system failed relations, and [...] Read more.
Background/Objectives: This 7-day rat tracheocutaneous fistula study considered the not-studied issues of tracheocutaneous fistula course, wound healing, and fistula in the NO-system relations. Therefore, we focused on fistulas’ severe course, tracheocutaneous fistula → air leak → compensatory diaphragmatic/abdominal “heaving”, NO-system failed relations, and therapy resolution. Stable gastric pentadecapeptide BPC 157 was proposed. Methods: Tracheocutaneous fistula rats received daily medication (/kg), alone or combined, BPC 157 therapy (10 µg, 10 ng, in drinking water or intraperitoneally) along with a triple NO-agent approach (L-NAME 5 mg, L-arginine 100 mg, and L-NAME+L-arginine, intraperitoneally). Results: Tracheocutaneous fistulas occurred as specific and NO-system-related as follows: NO system: blockade (L-NAME-aggravation) over-activity (L-arginine-amelioration) or immobilization (L-NAME+L-arginine oppose each other’s effects). Controls presented severe clinical signs of respiratory distress, failed healing, skin and tracheal defects, a not-healed and open, macro/microscopically, and fistulous tract that was well-formed and wide, tracheal shrinking below the fistula, and clinically, open-mouth breathing, “heaving abdomen”, cyanosis (bluish snout, ears, extremities), abundant secretion through the fistula, and weight loss. Fistula tissue NO level decreased, and the malondialdehyde (MDA) level increased. The BPC 157 therapy (both application routes) resulted in rapid recovery. Healing of defects (skin and trachea) and fistula closure, macro/microscopically, corresponded with clinical findings, avoiding observable clinical signs of dyspnea, reducing weight loss, and avoiding any sign of “heaving abdomen”. BPC 157-treated rats displayed regular breathing movements without observable signs of respiratory distress. Finally, when combined, BPC 157 therapy upgrades L-arginine amelioration, abolishes L-NAME-induced worsening, and restores full healing after NO immobilization (L-NAME+L-arginine). BPC 157 counteracted increase in NO level and counteracted increase in MDA level. Conclusions: Thus, first, acting systemically, BPC 157 reverses tracheocutaneous fistula course in rats. It acts through the NO system. Full article
(This article belongs to the Section Biopharmaceuticals)
Show Figures

Figure 1

12 pages, 268 KB  
Article
Evaluation of Lipid and Protein Oxidative Stability of Meat from Growing Rabbits Fed Avocado Waste
by Johana Paola Galeano-Díaz, Juan Edrei Sánchez-Torres, Ignacio Arturo Domínguez-Vara, Ernesto Morales-Almaraz, J. German Rodríguez-Carpena, Fernando Grageola-Nuñez, Miguel Cervantes-Ramírez, Horacio Dávila-Ramos and Gema Nieto-Martínez
Processes 2026, 14(2), 288; https://doi.org/10.3390/pr14020288 - 14 Jan 2026
Abstract
The objective was to evaluate the effect of the inclusion of avocado waste (AW) in the diet of rabbits on lipid composition, color, and lipid and protein oxidative stability in the meat of growing rabbits. For this purpose, 80 male rabbits (New Zealand [...] Read more.
The objective was to evaluate the effect of the inclusion of avocado waste (AW) in the diet of rabbits on lipid composition, color, and lipid and protein oxidative stability in the meat of growing rabbits. For this purpose, 80 male rabbits (New Zealand × California) with an average initial weight of 945 ± 47 g were fed for 28 days, being randomly distributed to one of the four experimental treatments (T) (T1: 0%, T2: 4.32%, T3: 8.39%, and T4: 12.25% of waste avocado inclusion, respectively). A decrease (p < 0.05) in the amount of saturated fatty acids was observed in the meat of rabbits fed 8.39% and 12.25% AW, a lower (p < 0.05) concentration of malondialdehyde (mg MDA/kg) in the meat of rabbits fed the AW, and a lower (p < 0.05) concentration of dinitrophenylhydrazine (DNPH) in the treatments with 4.32 and 8.39% AW. The results suggest that the addition of AW in rabbit diets increases the content of n-3 polyunsaturated fatty acids and protects the meat from the products of lipid and protein oxidation, decreasing discoloration and delaying oxidation, generating a final product with a longer shelf life. Full article
(This article belongs to the Special Issue Research and Optimization of Food Processing Technology)
15 pages, 1289 KB  
Article
Oxidative Stress Biomarkers in Carassius gibelio from Lakes of Varying Ecological Quality
by Dimitra Petrocheilou, Olga Petriki, Martha Kaloyianni and Dimitra C. Bobori
Hydrobiology 2026, 5(1), 4; https://doi.org/10.3390/hydrobiology5010004 - 14 Jan 2026
Abstract
The Water Framework Directive 2000/60/EC requires the assessment of the ecological quality in all surface waters using biological indices, yet the effective application of these indices often demands extensive and long-term monitoring data. Oxidative stress biomarkers offer a promising complementary approach, as they [...] Read more.
The Water Framework Directive 2000/60/EC requires the assessment of the ecological quality in all surface waters using biological indices, yet the effective application of these indices often demands extensive and long-term monitoring data. Oxidative stress biomarkers offer a promising complementary approach, as they can detect early biochemical responses of organisms to environmental degradation. In this study, we evaluated the suitability of two oxidative stress biomarkers—malondialdehyde (MDA) levels and DNA damage—in the gonads of a freshwater fish species, the Prussian carp Carassius gibelio (Bloch, 1782) as indicators of ecological condition in lakes of differing environmental quality. Fish were sampled from four lakes (Doirani, Vegoritida, Volvi, Petron; Northern Greece) representing a gradient of physicochemical and ecological quality. Both MDA concentrations and DNA damage showed significant (p < 0.05) differences among lakes. However, only DNA damage in the gonads was significantly (p < 0.05) associated with lake ecological quality as determined by the Greek Lake Fish Index (GLFI), with higher biomarker responses observed in lakes of poorer status. These findings demonstrate that oxidative stress biomarkers in C. gibelio reflect variations in lake ecological quality and may serve as sensitive, early-warning tools for biomonitoring and pollution assessment in freshwater ecosystems. Full article
Show Figures

Figure 1

33 pages, 4569 KB  
Article
Heterotypic 3D Model of Breast Cancer Based on Tumor, Stromal and Endothelial Cells: Cytokines Interaction in the Tumor Microenvironment
by Anastasia Leonteva, Alina Kazakova, Ekaterina Berezutskaya, Anna Ilyina, David Sergeevichev, Sergey Vladimirov, Maria Bogachek, Igor Vakhrushev, Pavel Makarevich, Vladimir Richter and Anna Nushtaeva
Cells 2026, 15(2), 145; https://doi.org/10.3390/cells15020145 - 14 Jan 2026
Abstract
The recreation of the tumor microenvironment remains a significant challenge in the development of experimental cancer models. The present study constitutes an investigation into the interconnection between tumor, endothelial and stromal cells in heterotypic breast cancer spheroids. The generation of models was achieved [...] Read more.
The recreation of the tumor microenvironment remains a significant challenge in the development of experimental cancer models. The present study constitutes an investigation into the interconnection between tumor, endothelial and stromal cells in heterotypic breast cancer spheroids. The generation of models was achieved through the utilization of MCF7, MDA-MB-231, and SK-BR-3 tumor cell lines, in conjunction with endothelial TIME-RFP cells and either cancer-associated (BrC4f) or normal (BN120f) fibroblasts, within ultra-low attachment plates. It was established that stromal cells, most notably fibroblasts, were conducive to the aggregation of tumor cells into spheroids and the formation of pseudovessels in close proximity to fibroblast bands. In contrast to the more aggressive tumor models MDA-MB-231 and SK-BR-3, microenvironment cells do not influence the migration ability of MCF7 tumor cells. Heterotypic spheroids incorporating CAFs demonstrated a more aggressive and immunosuppressive phenotype. Multiplex immunoassay analysis of cytokines, followed by STRING cluster analysis, was used to identify key processes including angiogenesis, invasion, stem cell maintenance, and immunosuppression. Furthermore, a cluster of cytokines (LIF, SDF-1, HGF, SCGFb) was identified as potentially involved in the regulation of PD-L1 expression by tumor cells. This finding reveals a potential mechanism of immune evasion and suggests new avenues for therapeutic investigation. Full article
(This article belongs to the Special Issue Cell-to-Cell Crosstalk as a Target of Therapies)
Show Figures

Figure 1

13 pages, 606 KB  
Article
Associations of Fecal Microplastics with Oxidative Damage and Cardiopulmonary Function: Evidence from a Pilot Study
by Lili Xiao, Wenfeng Lu, Lan Qiu, Shuguang Wang, Jiayi Li, Jiayi Lai, Zhixuan Ji, Xiaoliang Li and Yun Zhou
Toxics 2026, 14(1), 75; https://doi.org/10.3390/toxics14010075 - 14 Jan 2026
Abstract
The ubiquity of microplastics (MPs) in the environment has raised significant concerns, yet their potential impacts on human health are not fully elucidated. This study aimed to quantify human exposure to MPs in feces and evaluate their associations with oxidative stress and cardiopulmonary [...] Read more.
The ubiquity of microplastics (MPs) in the environment has raised significant concerns, yet their potential impacts on human health are not fully elucidated. This study aimed to quantify human exposure to MPs in feces and evaluate their associations with oxidative stress and cardiopulmonary function. A panel study was conducted in 16 male college students with three-round visits. Fecal MPs were quantified using infrared micro-spectroscopy, and health effects were assessed through urinary biomarkers of oxidative damage (MDA and 8-OHdG) and cardiopulmonary function tests. Associations between MP exposure and health outcomes were analyzed using linear mixed-effect models. We found that fecal MP amount across 48 samples from 16 participants showed high intra-individual variation and poor reproducibility (ICCs < 0.4). MPs in feces were predominantly identified as sheets and fragments in the 100–200 μm size range, with polyamide (PA), polyester, polyethylene (PE), and polypropylene as the primary polymer types. Significant relationships were observed between fecal MP amount and oxidative damage biomarkers. Each one-unit increase in MPs corresponded to a 0.827 increase in MDA (95% CI: 0.116, 1.54) and a 1.11 increase in 8-OHdG (95% CI: 0.235, 1.98), with fibrous shapes and specific polymers (PE and PA) being the primary drivers. No significant associations were found between MP exposure and lung function or blood pressure. These findings indicated that MP exposure was significantly linked to increased oxidative damage, highlighting a pressing public health concern regarding their subclinical biological effects. Full article
(This article belongs to the Special Issue Identification of Emerging Pollutants and Human Exposure)
Show Figures

Graphical abstract

41 pages, 4351 KB  
Review
Autoantibodies as Precision Tools in Connective Tissue Diseases: From Epiphenomenon to Endophenotype
by Muhammad Soyfoo and Julie Sarrand
Antibodies 2026, 15(1), 7; https://doi.org/10.3390/antib15010007 - 13 Jan 2026
Abstract
Autoantibodies have long been regarded as passive reflections of immune dysregulation in connective tissue diseases (CTDs). Recent advances in systems immunology and molecular pathology have fundamentally redefined them as active molecular fingerprints that delineate distinct disease endophenotypes with predictive power for clinical trajectories [...] Read more.
Autoantibodies have long been regarded as passive reflections of immune dysregulation in connective tissue diseases (CTDs). Recent advances in systems immunology and molecular pathology have fundamentally redefined them as active molecular fingerprints that delineate distinct disease endophenotypes with predictive power for clinical trajectories and therapeutic responses. Rather than mere epiphenomena, autoantibodies encode precise information about dominant immune pathways, organ tropism, and pathogenic mechanisms. This review synthesizes emerging evidence that autoantibody repertoires—defined by specificity, structural properties, and functional characteristics—stratify patients beyond traditional clinical taxonomy into discrete pathobiological subsets. Specific signatures such as anti-MDA5 in rapidly progressive interstitial lung disease, anti-RNA polymerase III in scleroderma renal crisis, and anti-Ro52/TRIM21 in systemic overlap syndromes illustrate how serological profiles predict outcomes with remarkable precision. Mechanistically, autoantibody pathogenicity is modulated by immunoglobulin isotype distribution, Fc glycosylation patterns, and tissue-specific receptor expression—variables that determine whether an antibody functions as a biomarker or pathogenic effector. The structural heterogeneity of autoantibodies, shaped by cytokine microenvironments and B-cell subset imprinting, creates a dynamic continuum between pro-inflammatory and regulatory states. The integration of serological, transcriptomic, and imaging data establishes a precision medicine framework: autoantibodies function simultaneously as disease classifiers and therapeutic guides. This endophenotype-driven approach is already influencing trial design and patient stratification in systemic lupus erythematosus, systemic sclerosis, and inflammatory myopathies, and is reshaping both clinical practice and scientific taxonomy in CTDs. Recognizing autoantibodies as endophenotypic determinants aligns disease classification with pathogenic mechanism and supports the transition towards immunologically informed therapeutic strategies. Full article
(This article belongs to the Special Issue Antibody and Autoantibody Specificities in Autoimmunity)
Show Figures

Graphical abstract

9 pages, 825 KB  
Communication
Long-Term Immunogenicity and Protection of a rHVT-H9/Y280 Vaccine Against H9N2 Avian Influenza Virus in Commercial Layers with High Maternal Antibodies
by Sang-Won Kim, Jong-Yeol Park, Ji-Eun Son, Kai-Qiong Zheng, Cheng-Dong Yu, Ki-Woong Kim, Won-Bin Jeon, Yu-Ri Choi, Hyung-Kwan Jang, Bai Wei and Min Kang
Animals 2026, 16(2), 242; https://doi.org/10.3390/ani16020242 - 13 Jan 2026
Viewed by 2
Abstract
The endemicity of H9N2 avian influenza viruses (AIVs), particularly the Y280 lineage, poses persistent challenges to the poultry industry due to the limitations of inactivated vaccines, such as interference by maternally derived antibodies (MDAs) and incomplete suppression of viral replication. This study evaluated [...] Read more.
The endemicity of H9N2 avian influenza viruses (AIVs), particularly the Y280 lineage, poses persistent challenges to the poultry industry due to the limitations of inactivated vaccines, such as interference by maternally derived antibodies (MDAs) and incomplete suppression of viral replication. This study evaluated the immunogenicity and protective efficacy of a novel recombinant turkey herpesvirus vaccine expressing the hemagglutinin gene of H9N2/Y280 (rHVT-H9/Y280) in commercial Hy-Line Brown layers with high-MDA backgrounds. In a comparative challenge study, the rHVT-H9/Y280 vaccine induced complete protection against a homologous Y280 strain challenge at 4 weeks of age, whereas commercial inactivated vaccines failed to completely block replication, showing virus isolation rates of 16.7–25%. Long-term serological monitoring demonstrated that the rHVT-H9/Y280 vaccine elicited a robust humoral response characterized by persistent maintenance of high HI titers (>8.0 log2) up to 39 weeks post-vaccination. These findings confirm that rHVT-H9/Y280 effectively overcomes MDA interference and provides protection by inhibition of viral replication in layer chickens, making it a promising candidate for the effective control of H9N2 AIV in endemic regions. Full article
Show Figures

Figure 1

Back to TopTop