Sign in to use this feature.

Years

Between: -

Subjects

remove_circle_outline
remove_circle_outline
remove_circle_outline
remove_circle_outline
remove_circle_outline
remove_circle_outline
remove_circle_outline
remove_circle_outline
remove_circle_outline

Journals

remove_circle_outline
remove_circle_outline
remove_circle_outline
remove_circle_outline
remove_circle_outline
remove_circle_outline
remove_circle_outline
remove_circle_outline
remove_circle_outline
remove_circle_outline
remove_circle_outline
remove_circle_outline

Article Types

Countries / Regions

remove_circle_outline
remove_circle_outline
remove_circle_outline
remove_circle_outline
remove_circle_outline
remove_circle_outline

Search Results (2,847)

Search Parameters:
Keywords = matrix compressibility

Order results
Result details
Results per page
Select all
Export citation of selected articles as:
35 pages, 13571 KB  
Article
A Unified Three-Dimensional Micromechanical Framework for Coupled Inelasticity and Damage Evolution in Diverse Composite Materials
by Suhib Abu-Qbeitah, Jacob Aboudi and Rami Haj-Ali
J. Compos. Sci. 2025, 9(12), 677; https://doi.org/10.3390/jcs9120677 (registering DOI) - 5 Dec 2025
Abstract
This study introduces a comprehensive three-dimensional micromechanical framework to capture the nonlinear mechanical behavior of diverse composite materials, including coupled elastic degradation, inelastic strain evolution, and phenomenological failure in their constituents. The primary objective is to integrate a generalized elastic degradation–inelasticity (EDI) model [...] Read more.
This study introduces a comprehensive three-dimensional micromechanical framework to capture the nonlinear mechanical behavior of diverse composite materials, including coupled elastic degradation, inelastic strain evolution, and phenomenological failure in their constituents. The primary objective is to integrate a generalized elastic degradation–inelasticity (EDI) model into the parametric high-fidelity generalized method of cells (PHFGMC) micromechanical approach, enabling accurate prediction of nonlinear responses and failure mechanisms in multi-phase composites. To achieve this, a unified three-dimensional orthotropic EDI modeling formulation is developed and implemented in the PHFGMC. Grounded in continuum mechanics, the EDI employs scalar field variables to quantify material damage and defines an energy potential function. Thermodynamic forces are specified along three principal directions, decomposed into tensile and compressive components, with shear failure accounted for across the respective planes. Inelastic strain evolution is modeled using incremental anisotropic plasticity theory, coupling damage and inelasticity to maintain generality and flexibility for diverse phase behaviors. The proposed model offers a general, unified framework for modeling damage and inelasticity, which can be calibrated to operate in either coupled or decoupled modes. The PHFGMC micromechanics framework then derives the overall (macroscopic) nonlinear and damage responses of the multi-phase composite. A failure criterion can be applied for ultimate strength evaluation, and a crack-band type theory can be used for post-ultimate degradation. The method is applicable to different types of composites, including polymer matrix composites (PMCs) and ceramic matrix composites (CMCs). Applications demonstrate predictions of monotonic and cyclic loading responses for PMCs and CMCs, incorporating inelasticity and coupled damage mechanisms (such as crack closure and tension–compression asymmetry). The proposed framework is validated through comparisons with experimental and numerical results from the literature. Full article
(This article belongs to the Topic Numerical Simulation of Composite Material Performance)
19 pages, 4580 KB  
Article
Synergistic Influence of Multi-Walled Carbon Nanotubes and Nanosilica Powder on Mechanical Performance of Mortar with Demolished Concrete Waste Aggregate and Polypropylene Fibers Addition Using Taguchi Design of Experiment
by Daniel Lepadatu, Loredana Emanuela Judele, Dana Roxana Bucur, Isabela Maria Simion, Ioana Sorina Entuc, Eduard Proaspat, Razvan Ionut Teodorescu, Abdessamad Kobi and Santiago Garcia-Granda
Materials 2025, 18(24), 5485; https://doi.org/10.3390/ma18245485 - 5 Dec 2025
Abstract
This study investigates the synergistic influence of multi-walled carbon nanotubes (MWC-NTs), nanosilica powder (NSP), and polypropylene fiber waste (PFW) on the mechanical performance of mortar incorporating demolished concrete waste aggregates (DCWA). The replacement of natural aggregates with DCWA typically results in strength reductions [...] Read more.
This study investigates the synergistic influence of multi-walled carbon nanotubes (MWC-NTs), nanosilica powder (NSP), and polypropylene fiber waste (PFW) on the mechanical performance of mortar incorporating demolished concrete waste aggregates (DCWA). The replacement of natural aggregates with DCWA typically results in strength reductions and weak interfacial transition zones; therefore, the combined use of nanomaterials and microfibers is proposed as a mitigation strategy. A Taguchi Design of Experiments (DOE) approach was employed to optimize mix parameters, including MWCNT dosage, NSP content, PFW volume fraction, and DCWA replacement level. Mortar mixtures were prepared with MWCNTs (0–0.1% by binder weight), NSP (0–2% by binder weight), PFW (0–0.3% by volume), and DCWA (0–20% replacement of fine sand). Mechanical performance was assessed through compressive and flexural strength tests. A combined statistical approach using the Pareto chart and ANOVA identified the most influential parameters and their respective contributions to the response variable. The innovative aspect of this research lies in the synergistic integration of MWCNTs, NSP, demolished concrete waste, and polypropylene fiber waste within the mortar matrix, with the incorporation of nanomaterials specifically intended to compensate for the strength reduction typically induced by the use of demolition concrete waste aggregates. Although a potential nano-scale synergy between MWCNTs and NSP was initially considered, the experimental results indicated that the most relevant synergistic effects occurred among broader mix parameters rather than specifically between the two nanomaterials. Even so, when assessed individually, both nanomaterials contributed to improving the mechanical characteristics of the mortar—particularly nanosilica, which demonstrated a more pronounced effect—yet these individual enhancements did not translate into a distinct synergistic interaction between MWCNTs and NSP. The Taguchi DOE proved to be an efficient tool for multiple factor analysis, enabling reliable identification of the most influential parameters with a minimum number of tests. Its application facilitated the development of mortar mixtures that effectively integrate demolition waste while achieving enhanced mechanical performance through nano- and micro-scale reinforcement. Full article
Show Figures

Figure 1

15 pages, 3193 KB  
Article
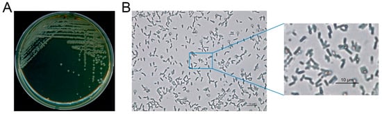
Mechanical and Self-Healing Performance of Cement Composites Containing Bacteria Extracted from Waste Concrete
by Se-Jin Choi, Jeong-Yeon Park, Jung-Mi Kim, Ha-Yeon Song and Jae-In Lee
Materials 2025, 18(24), 5483; https://doi.org/10.3390/ma18245483 - 5 Dec 2025
Abstract
Cracks can reduce the durability of concrete structures. To mitigate the damage caused, self-healing technologies using bacteria and cement-based materials can be utilized. For self-healing, bacteria contained within the matrix are advantageous because they can heal cracks upon introducing oxygen and water under [...] Read more.
Cracks can reduce the durability of concrete structures. To mitigate the damage caused, self-healing technologies using bacteria and cement-based materials can be utilized. For self-healing, bacteria contained within the matrix are advantageous because they can heal cracks upon introducing oxygen and water under favorable conditions. To our knowledge, this is the first study showing that Lysinibacillus fusiformis isolated from waste concrete induces calcite precipitation in a cement-based material. Replacing 5–20% of the mixing water with the bacterial solution increased mortar flow, and the initial compressive strength increased with the bacterial content. After long-term aging, the compressive strength of the sample with 20% bacterial solution was ~45.6 MPa, the highest among all samples. In terms of durability, the bacterial solution reduced the carbonation depth compared with that of a control sample without added bacteria, and the 20% sample showed 53% higher carbonation resistance than the control. In terms of the self-healing performance, the bacteria-loaded samples showed higher compressive strength recovery rates than the control sample, with the 20% sample showing the highest rate of approximately 131%. Therefore, L. fusiformis derived from waste concrete is a promising candidate bacterium for enhancing the durability and self-healing efficiency of cement composites. Full article
(This article belongs to the Section Construction and Building Materials)
Show Figures

Graphical abstract

10 pages, 1674 KB  
Article
Sintering of Aluminum Powder at Its 2/3 Tm via Sonication Assisted Mixing and Liquid Metal Sintering Method
by Jun Peng, Tao Wang and Shuai Zhang
Crystals 2025, 15(12), 1038; https://doi.org/10.3390/cryst15121038 - 4 Dec 2025
Abstract
Powder metallurgy is an ideal technique for manufacturing metal matrix composites, owing to its capacity for near-net shape production and minimal material waste. However, a characteristic feature of the aluminum green compacts during the sintering process is the presence of natural oxide films [...] Read more.
Powder metallurgy is an ideal technique for manufacturing metal matrix composites, owing to its capacity for near-net shape production and minimal material waste. However, a characteristic feature of the aluminum green compacts during the sintering process is the presence of natural oxide films on the surfaces of aluminum powders, which limits the application of aluminum powder metallurgy technology. To address this, we propose a sonication-assisted mixing and liquid metal sintering strategy by which aluminum powder can be easily sintered at the temperature as low as 623 K, two-thirds of the melting point of aluminum. The present investigation demonstrates that the molten gallium enhances metallurgical bonding between the aluminum particles by acting as a “bridge” between adjacent aluminum particles and disrupting the oxide film inevitably existing on the outermost layer of aluminum powder. According to the performance analysis results, when the sintering temperature is as low as two-thirds of the melting point of aluminum, the compressive strength of the Al-5Ga sample increases by 62.5% compared with that of pure aluminum. This innovation will help powder metallurgy researchers to pursue sintering at low-temperature and has a sweeping impact on a wide range of powder metallurgy applications. Full article
(This article belongs to the Section Crystalline Metals and Alloys)
Show Figures

Figure 1

22 pages, 11863 KB  
Article
Observations from Processing Thick Continuous Fiber Polyphenylene Sulfide (PPS) Laminates with and Without Carbon Black
by Benjamin N. Dwyer, David F. Erb, William B. Yori, Danny H. Pham, Scott M. Nelson, Quest O. Teichman, Jonathan R. Roy, Robert J. Hart and Andrew Q. Smail
J. Compos. Sci. 2025, 9(12), 669; https://doi.org/10.3390/jcs9120669 (registering DOI) - 3 Dec 2025
Abstract
During the manufacturing and development of a proof-of-concept prototype of a continuous fiber polyphenylene sulfide (PPS) composite vehicle component, unexpected results were observed in thick laminates of an E-glass-fiber-reinforced PPS matrix, which utilized carbon black as a colorant (GF/PPS+CB). Extensive interlaminar macrocracking, transverse [...] Read more.
During the manufacturing and development of a proof-of-concept prototype of a continuous fiber polyphenylene sulfide (PPS) composite vehicle component, unexpected results were observed in thick laminates of an E-glass-fiber-reinforced PPS matrix, which utilized carbon black as a colorant (GF/PPS+CB). Extensive interlaminar macrocracking, transverse intralaminar microcracking, and micro-/macrovoids were observed in GF/PPS+CB laminates after compression forming. When processed under identical conditions, no micro-/macrocracking or voids were present in GF/PPS laminates and carbon fiber/PPS laminates without carbon black colorant. These observations prompted further investigation into the influence of processing conditions, presence of colorant, mold design (open and closed molds), and geometry (flat and curved) on the development of matrix defects in thick continuous fiber-reinforced PPS laminates. Full article
(This article belongs to the Special Issue Advances in Continuous Fiber Reinforced Thermoplastic Composites)
30 pages, 6939 KB  
Article
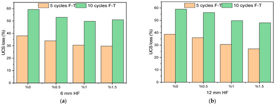
Geopolymerization of Kaolin Clay with Hemp Fibers for Sustainable Soil Stabilization
by Bilge Aksu Alcan, Halil Oğuzhan Kara and Mehmet Uğur Yılmazoğlu
Polymers 2025, 17(23), 3216; https://doi.org/10.3390/polym17233216 - 2 Dec 2025
Viewed by 88
Abstract
In this study, the aim was to improve the mechanical and durability properties of kaolin clay (KC)-based soil by stabilizing it with geopolymer and natural fiber. In the production of the geopolymer, rice husk ash (RHA) was used as a binder, sodium metasilicate [...] Read more.
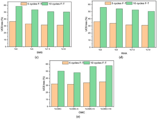
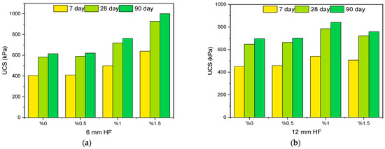
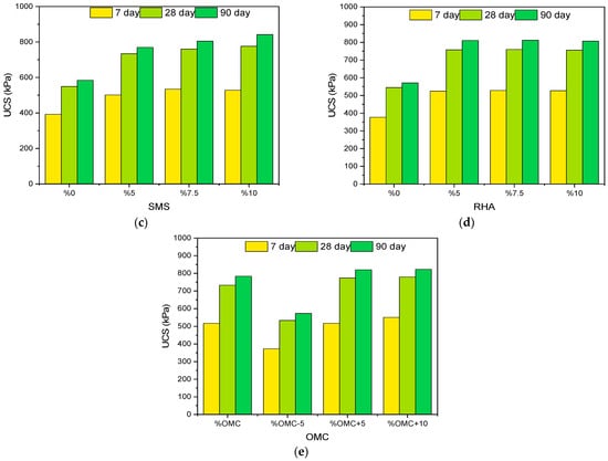
In this study, the aim was to improve the mechanical and durability properties of kaolin clay (KC)-based soil by stabilizing it with geopolymer and natural fiber. In the production of the geopolymer, rice husk ash (RHA) was used as a binder, sodium metasilicate (SMS) as an activator, and another hemp fiber (HF)was used for soil stabilization. Within the scope of the presented study, RHA and SMS were used at three different rates (5%, 7.5%, and 10%), while HF was used in six different volumes (0.5%, 1%, 1.5%, 2%, 2.5%, and 3%) and two different lengths (6 and 12 mm). The study also examined how much water was in the combinations, which was measured at the optimum level and at −5, +5, and +10 compared to the optimum level. The unconfined compressive strength (UCS) was used to check the mechanical qualities of the test specimens and 5- and 10-cycle freeze–thaw (F-T) tests to check the durability properties. The test results indicated that the mixed formulation with 5% RHA, 10% SMS, 2.5% HF, and the optimum water content resulted in the best results for both the UCS and F-T tests. The SEM investigation for this mix found that the microstructural properties for the specimen were directly related to the dense gel phases and the strong fiber–matrix bonding. According to the carbon emissions (CO2-e) and carbon index (CI) analysis from the mix component analyses, it was found that the HF-strengthened geopolymer is a sustainable solution for soil stabilization. The optimum mixture achieved a UCS of 1202 kPa (4.5 times higher than untreated soil), while the strength losses after 10 freeze–thaw cycles were reduced to below 10% in optimized compositions. The carbon index (CI) decreased by up to 65%, demonstrating the strong sustainability benefits of the proposed system. The novelty of this study lies in the combined use of hemp fiber (HF) and rice husk ash (RHA)–sodium metasilicate (SMS)-based geopolymer for kaolin clay stabilization, which has not been comprehensively investigated in previous research. Unlike traditional studies focusing on either geopolymer or natural fiber reinforcement alone, this work simultaneously evaluates the mechanical performance, freeze–thaw durability, microstructural evolution, and carbon footprint to develop a fully sustainable soil improvement framework. Full article
Show Figures

Graphical abstract

13 pages, 2658 KB  
Article
Development of Biodegradable Bioplastic from Banana Pseudostem Cellulose
by David A. Servellón, Fabrizzio R. Pérez, Enrique Posada-Granados, Marlon Enrique López and Marvin J. Núñez
J 2025, 8(4), 46; https://doi.org/10.3390/j8040046 - 2 Dec 2025
Viewed by 95
Abstract
Banana pseudostem is an abundant lignocellulosic residue with potential for value-added applications. This study evaluated five banana varieties to determine their suitability for bioplastic production, with Williams showing the highest cellulose yield (26.99% ± 0.23). Cellulose extracted from this variety was combined with [...] Read more.
Banana pseudostem is an abundant lignocellulosic residue with potential for value-added applications. This study evaluated five banana varieties to determine their suitability for bioplastic production, with Williams showing the highest cellulose yield (26.99% ± 0.23). Cellulose extracted from this variety was combined with corn-starch (1:1 w/w) to synthesize a bioplastic through gelatinization and lyophilization. FTIR confirmed effective removal of lignin and hemicellulose from the pseudostem and evidenced new hydrogen-bond interactions between cellulose and starch through O–H band shifts (3335 → 3282 cm−1). SEM revealed a porous laminar morphology with cellulose particles (40–52 µm) embedded within the starch matrix. DSC analysis showed that the bioplastic exhibits an intermediate thermal profile between its components, while mechanical compression increased the endothermic transition temperature (from 69 °C to 85 °C) and reduced molecular mobility. Tensile testing demonstrated that compression markedly improved mechanical performance, increasing tensile strength from 0.094 MPa to 0.69 MPa and density from 110 to 638.7 kg/m3. These findings indicate that cellulose–starch bioplastics derived from banana pseudostem possess favorable structural, thermal, and mechanical characteristics for short-use applications. The approach also contributes to the valorization of agricultural waste through biodegradable material development. Full article
Show Figures

Figure 1

28 pages, 3966 KB  
Article
Impact of Varied Recycled Aggregate Inclusions on Mechanical Properties and Damage Evolution Based on Multiphase Inclusion Theory
by Yongsheng Ma, Tiefeng Chen, Xiaojian Gao, Congkai Jin and Qiong Liu
Materials 2025, 18(23), 5430; https://doi.org/10.3390/ma18235430 - 2 Dec 2025
Viewed by 90
Abstract
This research investigates stress concentration in model recycled concrete using Multiphase Inclusion Theory (MIT). Natural stone, ceramic tiles, glass, red brick, waste concrete, and aerated brick were selected as inclusions in the model recycled concrete matrix. The influence of these inclusions on stress [...] Read more.
This research investigates stress concentration in model recycled concrete using Multiphase Inclusion Theory (MIT). Natural stone, ceramic tiles, glass, red brick, waste concrete, and aerated brick were selected as inclusions in the model recycled concrete matrix. The influence of these inclusions on stress distribution was thoroughly analyzed through theoretical, experimental, and numerical approaches. The results demonstrate that inclusions with varying elastic moduli and Poisson’s ratios induce substantial variations in stress concentration within the matrix. Low-modulus inclusions like aerated brick cause substantial stress concentration, leading to localized failure, whereas high-modulus materials like natural stone and ceramic tile distribute stress more effectively, mitigating concentration effects. Inclusions like red brick and waste concrete, with elastic moduli similar to the matrix, provide better stress compatibility, resulting in a more balanced stress distribution. This study confirms that MIT is a reliable predictor of stress concentration phenomena in materials with high elastic moduli under compression experiments, with theoretical results closely corresponding to experimental and Finite Element Method (FEM) simulations. This validated reliability supports the advanced design and optimization of composite materials in various engineering applications. Full article
Show Figures

Figure 1

22 pages, 7849 KB  
Article
Possibilities for the Utilization of Recycled Aggregate from Railway Ballast
by Martin Halík, Tomáš Dvorský, Vojtěch Václavík, Tomáš Široký, Adriana Eštoková, Viola Hospodárová, Waldemar Kępys and Martin Jaš
Buildings 2025, 15(23), 4361; https://doi.org/10.3390/buildings15234361 - 2 Dec 2025
Viewed by 130
Abstract
This article deals with the possibility of using a recycled aggregate from railway ballast and platforms for the production of cement composites with a full or partial replacement of natural aggregates. This study evaluates the physical and mechanical properties of fresh and hardened [...] Read more.
This article deals with the possibility of using a recycled aggregate from railway ballast and platforms for the production of cement composites with a full or partial replacement of natural aggregates. This study evaluates the physical and mechanical properties of fresh and hardened concrete, as well as its resistance to water pressure, microstructure, and environmental safety. Four concrete recipes using an aggregate at the end of its life cycle from railway ballast (0/25 mm) and from the layers under the asphalt covering of the platforms (0/32 mm) were designed, with a 100% replacement for 0/25, 55% replacement (coarse fraction) for 0/32, and 45% sand for 0/4. The results have shown a significant influence of the type of aggregate on the strength, bulk density, and watertightness of the concrete. At 28 days, the compressive strengths of mixes R250, R400, R250N, and R400N were approximately 8, 20, 30, and 35 MPa, respectively, while after 90 days they increased to 10, 22, 37, and 45 MPa. The corresponding fresh concrete bulk densities ranged from about 1.95 to 2.27 g/cm3, and the water penetration depths ranged between 16 mm (best) and 27 mm (worst) among the mixes. Analyses of aqueous leachates have confirmed that the cement matrix effectively stabilizes the contaminants contained in the recycled aggregate and that the resulting products comply with the legislative limits. This study shows that an aggregate at the end of its life cycle from railway ballast and platforms can be effectively used to produce sustainable cement composites (concrete) with suitable mechanical properties and minimal environmental risks. Full article
Show Figures

Figure 1

16 pages, 7923 KB  
Article
Modification of Polypropylene Fibers with Sodium Silicate: Enhancement of Pozzolanic Properties in Cement-Based Systems
by Yahya Kaya, Petek Balcı, Süleyman Özen, Ali Mardani and Ali Kara
Polymers 2025, 17(23), 3206; https://doi.org/10.3390/polym17233206 - 1 Dec 2025
Viewed by 145
Abstract
This study investigates the effect of sodium-silicate-based chemical surface modification of polypropylene (PP) fibers on the mechanical and fresh-state properties of cementitious composites. The proposed method introduces silanol and siloxane groups onto the PP surface through a radical-assisted chlorination route, aiming to enhance [...] Read more.
This study investigates the effect of sodium-silicate-based chemical surface modification of polypropylene (PP) fibers on the mechanical and fresh-state properties of cementitious composites. The proposed method introduces silanol and siloxane groups onto the PP surface through a radical-assisted chlorination route, aiming to enhance fiber–matrix interfacial bonding. Modified fibers increased the polycarboxylate ether (PCE) demand by 100% compared to the control mixture, while unmodified PP fibers caused a 58% increase at equivalent workability. The incorporation of PP fibers resulted in limited changes in compressive strength (1-7%), whereas silicate-modified fibers led to notable late-age flexural strength gains of 10% (28 days) and 17% (56 days). Scanning Electron Microscopy-Energy Dispersive X-ray Spectroscopy (SEM-EDX) and Fourier Transform Infrared Spectroscopy (FTIR) analyses confirmed successful surface functionalization, while the heterogeneous silicate deposition still contributed positively to interfacial transition zone (ITZ) performance. Overall, sodium-silicate-modified PP fibers improve flexural behavior and interfacial bonding in cement-based systems, offering a promising approach for enhanced mechanical performance and sustainability. Full article
Show Figures

Graphical abstract

18 pages, 5133 KB  
Article
Mechanical and Mechanism Study on Enzyme-Enhanced Reactive Magnesia-Solidified Gravelly Soil
by Cheng Peng, Yang Wang, Bo Deng and Dongxing Wang
CivilEng 2025, 6(4), 63; https://doi.org/10.3390/civileng6040063 - 30 Nov 2025
Viewed by 70
Abstract
This study presents an environmentally friendly alternative to conventional energy-intensive methods for soil improvement by investigating an enzyme-induced active magnesium oxide carbonation (EIMC) technique for the stabilization of gravelly soil. The solidification efficacy and strengthening mechanism of EIMC-treated soil were systematically investigated through [...] Read more.
This study presents an environmentally friendly alternative to conventional energy-intensive methods for soil improvement by investigating an enzyme-induced active magnesium oxide carbonation (EIMC) technique for the stabilization of gravelly soil. The solidification efficacy and strengthening mechanism of EIMC-treated soil were systematically investigated through a combination of mechanical property tests and microstructural analyses. Results indicate that key mechanical properties—including compressive strength, shear strength, and elastic modulus—were directly proportional to the magnesium oxide (MgO) content. Notably, an 8% MgO content resulted in a 113-fold increase in unconfined compressive strength (UCS) compared to the untreated soil. The strength development stabilized after a five-day curing period. While higher MgO content yielded greater absolute strength, the efficiency of strength gain per unit of MgO peaked at a 4% dosage. Consequently, considering both performance and efficiency, an MgO content of 4% and a curing period of 5 days are recommended as the optimal parameters. The EIMC treatment substantially improved the soil’s mechanical properties, inducing a transition in the failure mode from plastic to brittle, with this brittleness becoming more pronounced at higher MgO concentrations. Furthermore, the treatment enhanced the soil’s water stability. Microstructural analysis revealed that the formation of hydrated magnesium carbonates filled voids, cemented particles, and created a dense structural matrix. This densification of the internal structure underpinned the observed mechanical improvements. These findings validate EIMC as a feasible and effective eco-friendly technique for gravelly soil stabilization. Full article
(This article belongs to the Section Geotechnical, Geological and Environmental Engineering)
Show Figures

Figure 1

20 pages, 13011 KB  
Article
Fabrication and Thermomechanical Processing of a Microalloyed Steel Containing In Situ TiB2 Particles for Automotive Applications
by Sulayman Khan, Yunus Azakli, William Pulfrey, Oliver Naeth, Ralf Rablbauer, Martin Jackson and Eric J. Palmiere
Metals 2025, 15(12), 1322; https://doi.org/10.3390/met15121322 - 30 Nov 2025
Viewed by 174
Abstract
A microalloyed (MA) steel, combined with titanium diboride (TiB2), was utilised to create a unique steel matrix composite (SMC), enhancing the modulus of the MA steel while also improving its strength. Through thermomechanical processing stages, including hot rolling and plane-strain compression [...] Read more.
A microalloyed (MA) steel, combined with titanium diboride (TiB2), was utilised to create a unique steel matrix composite (SMC), enhancing the modulus of the MA steel while also improving its strength. Through thermomechanical processing stages, including hot rolling and plane-strain compression (PSC) testing, followed by various final cooling methods, a cooling rate of 0.1 °C/s was identified as the most effective for achieving a ferrite–pearlite microstructure, which is suitable for toughness and ductility. With TiB2 reinforcement successfully incorporated via Fe-Ti and Fe-B additions during vacuum induction melting (VIM), it was observed that the TiB2 particles were homogeneously dispersed in both 5% and 7.5% nominal volume fraction additions, exhibiting faceted and hexagonal morphology. TiB2 was found to exert a grain-pinning effect on recrystallised austenite at 1050 °C, as evidenced by the retention of grain orientation from hot rolling, in contrast to the MA steel deformed without the composite reinforcement. Increasing the volume fraction of TiB2 improved the stiffness and strength of both composite alloys, verified through mechanical testing. Full article
Show Figures

Figure 1

36 pages, 16052 KB  
Article
An Experimental Study on the Mechanical Properties and ANN-Based Prediction of a Tensile Constitutive Model of ECCs
by Qi Zhao, Zhangfeng Yang, Xiaofeng Zhang, Zhenmeng Xia, Kai Xiong and Jin Yan
Polymers 2025, 17(23), 3183; https://doi.org/10.3390/polym17233183 - 29 Nov 2025
Viewed by 283
Abstract
Traditional concrete materials have limitations in terms of load-bearing capacity and ductile failure. In contrast, Engineered Cementitious Composites (ECCs), with their superior strain-hardening behavior and multiple cracking characteristics, have attracted widespread attention in the field of high-performance materials. In this study, ECC specimens [...] Read more.
Traditional concrete materials have limitations in terms of load-bearing capacity and ductile failure. In contrast, Engineered Cementitious Composites (ECCs), with their superior strain-hardening behavior and multiple cracking characteristics, have attracted widespread attention in the field of high-performance materials. In this study, ECC specimens incorporating different types of fibers (polyethylene (PE) fibers, polyvinyl alcohol (PVA) fibers) at varying contents were tested to systematically analyze their influence on mechanical properties. Compressive, flexural, and uniaxial tensile strength tests were conducted to evaluate the mechanical performance of ECCs. In addition, scanning electron microscopy (SEM) was employed to examine the fracture surfaces of the fibers, providing deeper insights into the interfacial behavior and fracture morphology of the different fiber-reinforced systems. Fracture surface analysis reveals that the interfacial bonding characteristics between different fibers and the matrix significantly influence fracture behavior. Moreover, as the tensile performance of ECCs is influenced by the interaction of multiple factors, traditional constitutive models exhibit limitations in accurately predicting its complex nonlinear behavior. To address this limitation, an Artificial Neural Network (ANN) approach was adopted to develop a predictive model based on bilinear stress–strain relationships. The model was constructed using ten key input parameters, including matrix composition and fiber properties, and was able to accurately predict the first cracking strain, first cracking stress, ultimate strain, and ultimate stress of ECCs. Sensitivity analysis revealed that fiber tensile strength and fiber content were the most significant factors influencing the tensile behavior. The predicted tensile curves showed strong consistency with the experimental results, thereby confirming the reliability and applicability of the proposed ANN-based model. Full article
(This article belongs to the Section Polymer Composites and Nanocomposites)
Show Figures

Figure 1

19 pages, 4640 KB  
Article
Mechanical Performance of Wool-Reinforced Epoxy Composites: Tensile, Flexural, Compressive, and Impact Analysis
by Carlos Ruiz-Díaz, Guillermo Guerrero-Vacas and Óscar Rodríguez-Alabanda
Materials 2025, 18(23), 5391; https://doi.org/10.3390/ma18235391 - 29 Nov 2025
Viewed by 132
Abstract
This study situates washed sheep-wool fibres as a sustainable reinforcement candidate for epoxy matrices and evaluates their mechanical response under tensile, flexural, compressive, and Charpy impact loading. The objective of this work is to assess whether short, washed sheep-wool fibres can function as [...] Read more.
This study situates washed sheep-wool fibres as a sustainable reinforcement candidate for epoxy matrices and evaluates their mechanical response under tensile, flexural, compressive, and Charpy impact loading. The objective of this work is to assess whether short, washed sheep-wool fibres can function as a sustainable reinforcement for epoxy matrices, and to identify optimal fibre length–content windows that improve mechanical behaviour for engineering applications. Moulded–machined specimens were produced with fibre lengths of 3, 6, and 10 mm and contents of 1.0–5.0 wt.%, depending on the test; neat epoxy served as the reference. In tension, selected formulations—particularly 10 mm/1.5 wt.%—showed simultaneous increases in ultimate stress and modulus relative to the neat resin, corresponding to gains of about 10% in ultimate tensile stress and 50% in tensile modulus, at the expense of ductility. In flexure, the modulus decreases by roughly 15–35% compared with the matrix, whereas configurations with 3–6 mm at 2.5–5 wt.% raise the fracture stress by about 35–45% and improve post-peak resistance. In compression, reinforcement markedly elevates yield stress, with increases of up to about 160% at 3 mm/2 wt.%, while the ultimate strain decreases moderately. In Charpy impact, all reinforced materials underperform the resin, with absorbed energy reduced by roughly 75–93% depending on fibre length and content, with 3 mm/1 wt.% being the least affected. A two-factor analysis of variance (ANOVA) indicates that fibre length primarily governs tensile and compressive behaviour, while fibre content dominates flexural and impact responses. Overall, the findings support wool fibres as a viable reinforcement when length and content are optimized, pointing to their use in non-structural to semi-structural industrial components such as interior panels, housings, casings, protective covers, and other parts where moderate tensile/compressive performance is sufficient and material sustainability is prioritised. Full article
(This article belongs to the Special Issue Advances in Polymer Blends and Composites—Second Edition)
Show Figures

Graphical abstract

22 pages, 6651 KB  
Article
Influence of Moisture on Mechanical Properties and Energy Dissipation Characteristics of Coal–Rock Combined Body
by Yukuan Fan, Qiang Xu, Ze Xia and Chuangkai Zheng
Appl. Sci. 2025, 15(23), 12672; https://doi.org/10.3390/app152312672 - 29 Nov 2025
Viewed by 81
Abstract
Focusing on underground reservoir coal pillar dams subjected to long-term water immersion, this study employed a self-developed non-destructive water saturation apparatus to prepare monolithic and composite coal–rock specimens with varying moisture conditions. Through uniaxial compression tests combined with acoustic emission (AE) monitoring technology, [...] Read more.
Focusing on underground reservoir coal pillar dams subjected to long-term water immersion, this study employed a self-developed non-destructive water saturation apparatus to prepare monolithic and composite coal–rock specimens with varying moisture conditions. Through uniaxial compression tests combined with acoustic emission (AE) monitoring technology, the mechanical failure characteristics and energy dissipation behavior of these specimens were systematically investigated. The results indicated that both the UCS and elastic modulus (E) of the single-rock specimens decreased with increasing water content. Conversely, the mechanical properties of the composite specimens were significantly influenced by the properties and water saturation state of the rock components within the composite. When the rocks within the composite specimens share identical moisture conditions, higher rock strength correlates with greater specimen strength and strain. Under identical lithological conditions, the peak stress (σc), peak strain (εc), and elastic modulus (E) of the composite specimens decreased with increasing rock moisture content, which exhibited reductions of 45%, 21.8%, and 13.5% in σc, εc, and E, respectively, under saturated conditions. Acoustic emission (AE) monitoring data revealed that AE events in coal–rock composite specimens under uniaxial loading exhibited distinct spatial distribution patterns. Furthermore, as the rock moisture content increased, the ultimate failure mode of the composite specimen progressively shifted from shear failure within the coal matrix toward tensile failure of the composite as a whole. An analysis of the energy characteristics of coal–rock composite specimens under uniaxial compression revealed that rock properties and moisture content significantly influence energy absorption and conversion during loading. With increasing rock moisture content, the total energy, elastic strain energy, and dissipated energy at the peak load exhibited decreasing trends, reflecting the weakening effect of water on energy dissipation in coal–rock composites. This study systematically investigated the instability mechanisms of coal–rock composites from three perspectives—mechanical properties, failure modes, and energy dissipation—thereby providing valuable insights for evaluating the long-term stability of underground reservoir coal pillar dams subjected to prolonged water immersion. Full article
Show Figures

Figure 1

Back to TopTop