Geopolymerization of Kaolin Clay with Hemp Fibers for Sustainable Soil Stabilization
Abstract
1. Introduction
Research Significance
2. Experimental Program
2.1. Materials
2.1.1. Soil
2.1.2. Geopolymer Components
2.1.3. Hemp Fiber
2.2. Experimental Design
2.3. Preparation of Test Specimens
2.4. Testing Procedure
2.4.1. Unconfined Compressive Strength
2.4.2. Freeze–Thaw
2.4.3. Microstructure Analysis
2.4.4. Carbon Footprint and Sustainability Analyses
3. Results and Discussion
3.1. Unconfined Compressive Strength (UCS) Results
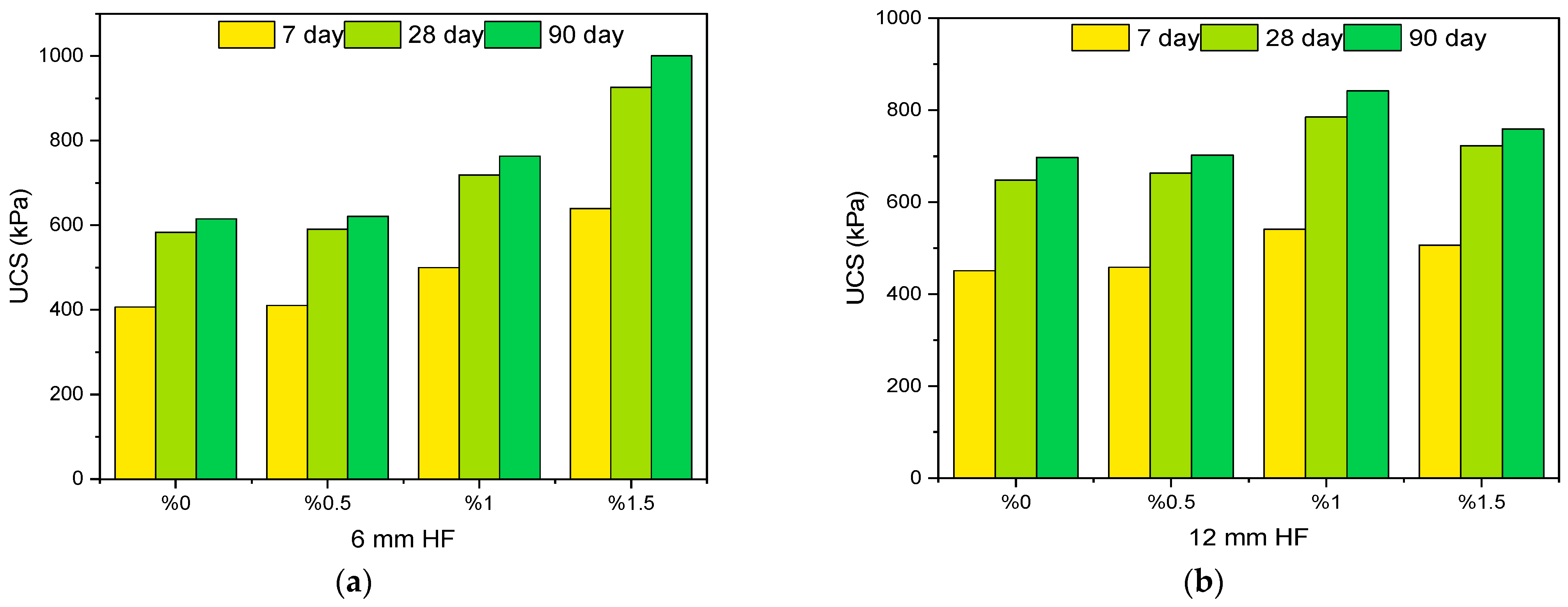
3.1.1. The Effect of Curing Periods on UCS
3.1.2. Effect of Hemp Fiber (HF) on UCS
3.1.3. Effect of Sodium Metasilicate (SMS) on UCS
3.1.4. Effect of Rice Husk Ash (RHA) on UCS
3.1.5. Effect of Optimum Moisture Content (OMC) on UCS
3.1.6. Statistical Analysis of UCS Results According to Parameters
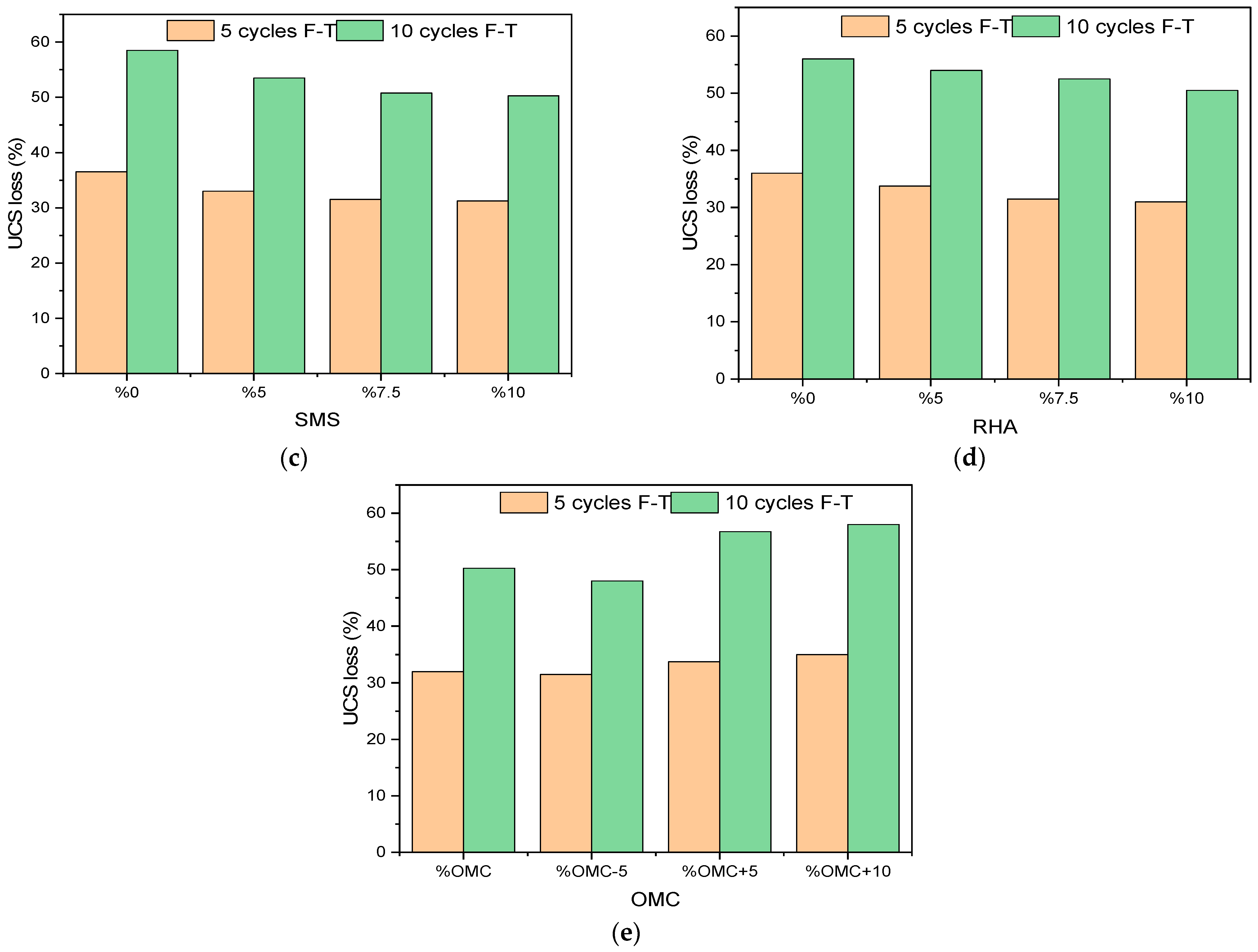
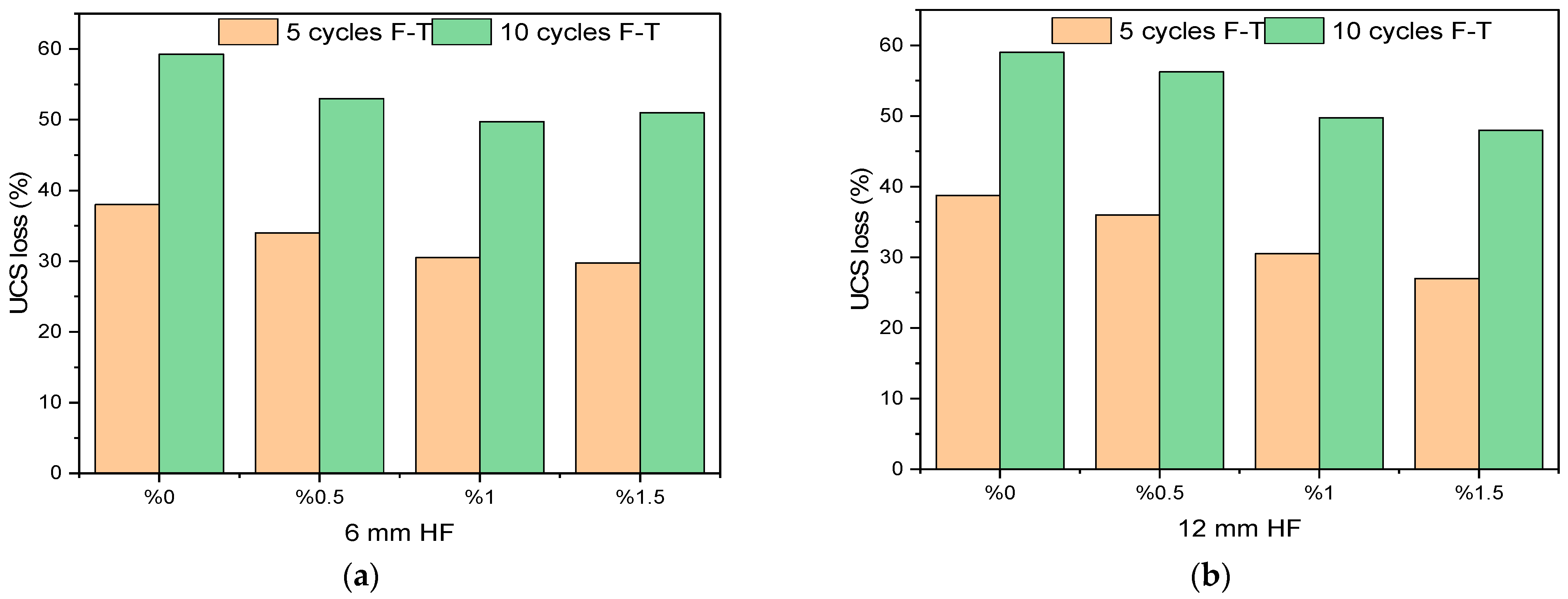
3.2. Freeze–Thaw (F-T) Resistance
3.2.1. Effect of Hemp Fiber (HF) on UCS After F-T Cycles
3.2.2. Effect of Sodium Metasilicate (SMS) on UCS After F-T Cycles
3.2.3. Effect of Rice Husk Ash (RHA) on UCS After F-T Cycles
3.2.4. Effect of Optimum Moisture Content (OMC) on UCS After F-T Cycles
3.2.5. Statistical Analysis for UCS Loss After F-T According to Parameters
3.2.6. Statistical Analysis for Mass Loss After F-T According to Parameters
3.3. Carbon Emission (CO2-e)
3.4. Microstructure Analysis
4. Conclusions
- The mixture with 5% RHA and 10% sodium metasilicate, which had an optimum water content, exhibited the highest unconfined compressive strength (UCS) value of all the mixtures.
- SEM analyses showed that the mixture formed a dense N-A-S-H gel and a compact microstructure, which makes it very strong. Conversely, mixes with diminished strength exhibited restricted binder structure formation and elevated porosity.
- The effects of hemp fiber reinforcement were different depending on the size and ratio of the fibers. Adding 1.5% hemp fibers that were 12 mm long to the mixture with the highest UCS value had a good effect.
- After the freeze–thaw cycles, mixtures without activators mostly lost their structural integrity. On the other hand, systems with RHA and sodium metasilicate kept most of their strength and showed a structure that was more resistant to environmental influences.
- The results show that geopolymer-based soil improvement systems have a lot of potential for engineering performance and environmental sustainability, since they make better use of natural resources and recycle industrial waste.
- This study was performed on a laboratory scale and did not assess varying environmental conditions, long-term durability performance, or behavior in field-scale applications. To immediately incorporate the findings into engineering design, future studies should examine sophisticated field tests and prolonged environmental exposure.
- From a sustainability perspective, this study aligns with several UN Sustainable Development Goals (SDGs), particularly SDG 9 (Industry, Innovation, and Infrastructure), SDG 11 (Sustainable Cities and Communities), and SDG 12 (Responsible Consumption and Production). By utilizing agricultural waste (RHA), a carbon-negative natural fiber (HF), and low-energy geopolymer technology, the proposed stabilization method significantly reduces carbon emissions compared with cement- and lime-based methods. The reduction in CI values further demonstrates the environmental efficiency of the developed system.
Author Contributions
Funding
Institutional Review Board Statement
Data Availability Statement
Conflicts of Interest
References
- Afrin, H. A review on different types soil stabilization techniques. Int. J. Transp. Eng. Technol. 2017, 3, 19–24. [Google Scholar] [CrossRef]
- Firoozi, A.A.; Guney Olgun, C.; Firoozi, A.A.; Baghini, M.S. Fundamentals of soil stabilization. Int. J. Geo-Eng. 2017, 8, 26. [Google Scholar] [CrossRef]
- Barcelo, L.; Kline, J.; Walenta, G.; Gartner, E. Cement and carbon emissions. Mater. Struct. 2014, 47, 1055–1065. [Google Scholar] [CrossRef]
- Xu, Z.; Xie, X.; He, M.; Luo, Z.; Wu, J.; Bin, J.; Yang, L.; Zhang, B. Research Review of Reaction Mechanism and Mechanical Properties of Chemically Solidified Silt. Buildings 2025, 15, 3431. [Google Scholar] [CrossRef]
- Cong, P.; Cheng, Y. Advances in geopolymer materials: A comprehensive review. J. Traffic Transp. Eng. (Engl. Ed.) 2021, 8, 283–314. [Google Scholar] [CrossRef]
- Nodehi, M.; Taghvaee, V.M. Alkali-activated materials and geopolymer: A review of common precursors and activators addressing circular economy. Circ. Econ. Sustain. 2022, 2, 165–196. [Google Scholar] [CrossRef]
- Chen, X.; Sutrisno, A.; Struble, L.J. Effects of calcium on setting mechanism of metakaolin-based geopolymer. J. Am. Ceram. Soc. 2018, 101, 957–968. [Google Scholar] [CrossRef]
- Ma, C.-K.; Awang, A.Z.; Omar, W. Structural and material performance of geopolymer concrete: A review. Constr. Build. Mater. 2018, 186, 90–102. [Google Scholar] [CrossRef]
- Wong, L.S. Durability performance of geopolymer concrete: A review. Polymers 2022, 14, 868. [Google Scholar] [CrossRef] [PubMed]
- Abbas, R.; Khereby, M.A.; Ghorab, H.Y.; Elkhoshkhany, N. Preparation of geopolymer concrete using Egyptian kaolin clay and the study of its environmental effects and economic cost. Clean Technol. Environ. Policy 2020, 22, 669–687. [Google Scholar] [CrossRef]
- Almalkawi, A.T.; Balchandra, A.; Soroushian, P. Potential of using industrial wastes for production of geopolymer binder as green construction materials. Constr. Build. Mater. 2019, 220, 516–524. [Google Scholar] [CrossRef]
- Anburuvel, A. The role of activators in geopolymer-based stabilization for road construction: A state-of-the-art review. Multiscale Multidiscip. Model. Exp. Des. 2023, 6, 41–59. [Google Scholar] [CrossRef]
- Murmu, A.L.; Patel, A. Studies on the properties of fly ash–rice husk ash-based geopolymer for use in black cotton soils. Int. J. Geosynth. Ground Eng. 2020, 6, 38. [Google Scholar] [CrossRef]
- Tesanasin, T.; Suksiripattanapong, C.; Kuasakul, T.; Thongkhwan, T.; Tabyang, W.; Thumrongvut, J.; Keawsawasvong, S. Comparison between cement-rice husk ash and cement-rice husk ash one-part geopolymer for stabilized soft clay as deep mixing material. Transp. Infrastruct. Geotechnol. 2024, 11, 1760–1776. [Google Scholar] [CrossRef]
- Wang, S.; Xue, Q.; Ma, W.; Zhao, K.; Wu, Z. Experimental study on mechanical properties of fiber-reinforced and geopolymer-stabilized clay soil. Constr. Build. Mater. 2021, 272, 121914. [Google Scholar] [CrossRef]
- Medina-Martinez, C.J.; Sandoval-Herazo, L.C.; Zamora-Castro, S.A.; Vivar-Ocampo, R.; Reyes-Gonzalez, D. Natural fibers: An alternative for the reinforcement of expansive soils. Sustainability 2022, 14, 9275. [Google Scholar] [CrossRef]
- Shalchian, M.M.; Arabani, M. A review of soil reinforcement with planetary fibers. J. Soil Sci. Plant Nutr. 2022, 22, 4496–4532. [Google Scholar] [CrossRef]
- Sharma, V.; Vinayak, H.K.; Marwaha, B.M. Enhancing compressive strength of soil using natural fibers. Constr. Build. Mater. 2015, 93, 943–949. [Google Scholar] [CrossRef]
- Barbhuiya, S.; Das, B.B. A comprehensive review on the use of hemp in concrete. Constr. Build. Mater. 2022, 341, 127857. [Google Scholar] [CrossRef]
- Syed, M.; GuhaRay, A.; Goel, D.; Asati, K.; Peng, L. Effect of freeze–thaw cycles on black cotton soil reinforced with coir and hemp fibres in alkali-activated binder. Int. J. Geosynth. Ground Eng. 2020, 6, 19. [Google Scholar] [CrossRef]
- Vafaei, A.; Choobbasti, A.J.; Koutenaei, R.Y.; Vafaei, A.; Afrakoti, M.P.; Kutanaei, S.S. Experimental investigation of the mechanical behavior and engineering properties of sand reinforced with hemp fiber. Arab. J. Geosci. 2022, 15, 1679. [Google Scholar] [CrossRef]
- ASTMD2487-17; Standard Practice for Classification of Soils for Engineering Purposes (Unified Soil Classification System). ASTM International: West Conshohocken, PA, USA, 2025.
- Hossain, S.S.; Roy, P.; Bae, C.-J. Utilization of waste rice husk ash for sustainable geopolymer: A review. Constr. Build. Mater. 2021, 310, 125218. [Google Scholar] [CrossRef]
- Muñoz Pérez, S.P.; Charca Mamani, S.; Villena Zapata, L.I.; Piedra, J.L.L.; Gonzales Ayasta, S.; Rodriguez Lafitte, E.D.; Aparicio Roque, F.G.; Coronado Zuloeta, O. Influence of rice husk ash (RHA) with gypsum and ichu fibers in the processing of geopolymers. Innov. Infrastruct. Solut. 2023, 8, 211. [Google Scholar] [CrossRef]
- Matsimbe, J.; Dinka, M.; Olukanni, D.; Musonda, I. Geopolymer: A systematic review of methodologies. Materials 2022, 15, 6852. [Google Scholar] [CrossRef]
- Yang, J.; Bai, H.; He, X.; Zeng, J.; Su, Y.; Wang, X.; Zhao, H.; Mao, C. Performances and microstructure of one-part fly ash geopolymer activated by calcium carbide slag and sodium metasilicate powder. Constr. Build. Mater. 2023, 367, 130303. [Google Scholar] [CrossRef]
- Bogoeva-Gaceva, G.; Avella, M.; Malinconico, M.; Buzarovska, A.; Grozdanov, A.; Gentile, G.; Errico, M. Natural fiber eco-composites. Polym. Compos. 2007, 28, 98–107. [Google Scholar] [CrossRef]
- Mueller, D.H.; Krobjilowski, A. New discovery in the properties of composites reinforced with natural fibers. J. Ind. Text. 2003, 33, 111–130. [Google Scholar] [CrossRef]
- Basha, E.; Hashim, R.; Mahmud, H.; Muntohar, A. Stabilization of residual soil with rice husk ash and cement. Constr. Build. Mater. 2005, 19, 448–453. [Google Scholar] [CrossRef]
- Alcan, H.G.; Bayrak, B.; Öz, A.; Kavaz, E.; Kaplan, G.; Çelebi, O.; Aydın, A.C. A comprehensive characterization on geopolymer concretes with low content slag and quartz aggregates: The shielding features. Radiat. Eff. Defects Solids 2023, 178, 769–798. [Google Scholar] [CrossRef]
- Patil, A.A.; Chore, H.; Dode, P. Effect of curing condition on strength of geopolymer concrete. Adv. Concr. Constr. 2014, 2, 029. [Google Scholar] [CrossRef]
- Sajan, P.; Jiang, T.; Lau, C.; Tan, G.; Ng, K. Combined effect of curing temperature, curing period and alkaline concentration on the mechanical properties of fly ash-based geopolymer. Clean. Mater. 2021, 1, 100002. [Google Scholar] [CrossRef]
- ASTMD1633-17; Standard Test Methods for Compressive Strength of Molded Soil-Cement Cylinders. ASTM International: West Conshohocken, PA, USA, 2018.
- ASTMD560-03; Standard Test Methods for Freezing and Thawing Compacted Soil-Cement Mixtures. ASTM International: West Conshohocken, PA, USA, 2012.
- Shi, Y.; Long, G.; Ma, C.; Xie, Y.; He, J. Design and preparation of ultra-high performance concrete with low environmental impact. J. Clean. Prod. 2019, 214, 633–643. [Google Scholar] [CrossRef]
- Zhou, D.; Wang, R.; Tyrer, M.; Wong, H.; Cheeseman, C. Sustainable infrastructure development through use of calcined excavated waste clay as a supplementary cementitious material. J. Clean. Prod. 2017, 168, 1180–1192. [Google Scholar] [CrossRef]
- Ozturk, E.; Ince, C.; Derogar, S.; Ball, R. Factors affecting the CO2 emissions, cost efficiency and eco-strength efficiency of concrete containing rice husk ash: A database study. Constr. Build. Mater. 2022, 326, 126905. [Google Scholar] [CrossRef]
- McLellan, B.C.; Williams, R.P.; Lay, J.; Van Riessen, A.; Corder, G.D. Costs and carbon emissions for geopolymer pastes in comparison to ordinary portland cement. J. Clean. Prod. 2011, 19, 1080–1090. [Google Scholar] [CrossRef]
- Scrucca, F.; Ingrao, C.; Maalouf, C.; Moussa, T.; Polidori, G.; Messineo, A.; Arcidiacono, C.; Asdrubali, F. Energy and carbon footprint assessment of production of hemp hurds for application in buildings. Environ. Impact Assess. Rev. 2020, 84, 106417. [Google Scholar] [CrossRef]
- Ma, C.; Zhao, B.; Wang, L.; Long, G.; Xie, Y. Clean and low-alkalinity one-part geopolymeric cement: Effects of sodium sulfate on microstructure and properties. J. Clean. Prod. 2020, 252, 119279. [Google Scholar] [CrossRef]
- Jafari, M.M.; Bagheripour, M.H.; Yaghoubi, E.; Abolghasemi Mahani, A. Impact of Curing Age and Capillary Action on Microstructural and Stress–Strain Response of a Geopolymer-Stabilized Sandy Soil. J. Mater. Civ. Eng. 2025, 37, 04025157. [Google Scholar] [CrossRef]
- Wassie, T.A.; Demir, G.; Köktan, U. Influence of Curing Time and Initial Moisture Content on Metakaolin-Based Geopolymer-Stabilized Soft Soil. Adv. Civ. Eng. 2023, 2023, 6673716. [Google Scholar] [CrossRef]
- Kannan, G.; Sujatha, E.R. Effect of nano additive on mechanical properties of natural fiber reinforced soil. J. Nat. Fibers 2023, 20, 2143980. [Google Scholar] [CrossRef]
- Yixian, W.; Panpan, G.; Shengbiao, S.; Haiping, Y.; Binxiang, Y. Study on strength influence mechanism of fiber-reinforced expansive soil using jute. Geotech. Geol. Eng. 2016, 34, 1079–1088. [Google Scholar] [CrossRef]
- Khalil, H.A.; Hossain, M.S.; Rosamah, E.; Azli, N.; Saddon, N.; Davoudpoura, Y.; Islam, M.N.; Dungani, R. The role of soil properties and it’s interaction towards quality plant fiber: A review. Renew. Sustain. Energy Rev. 2015, 43, 1006–1015. [Google Scholar] [CrossRef]
- Muntohar, A.S.; Widianti, A.; Hartono, E.; Diana, W. Engineering properties of silty soil stabilized with lime and rice husk ash and reinforced with waste plastic fiber. J. Mater. Civ. Eng. 2013, 25, 1260–1270. [Google Scholar] [CrossRef]
- Wei, L.; Chai, S.X.; Zhang, H.Y.; Shi, Q. Mechanical properties of soil reinforced with both lime and four kinds of fiber. Constr. Build. Mater. 2018, 172, 300–308. [Google Scholar] [CrossRef]
- Zhang, H.-Y.; Liu, J.-C.; Wu, B. Mechanical properties and reaction mechanism of one-part geopolymer mortars. Constr. Build. Mater. 2021, 273, 121973. [Google Scholar] [CrossRef]
- Nath, P.; Sarker, P.K. Use of OPC to improve setting and early strength properties of low calcium fly ash geopolymer concrete cured at room temperature. Cem. Concr. Compos. 2015, 55, 205–214. [Google Scholar] [CrossRef]
- Xu, H.; Van Deventer, J. The geopolymerisation of alumino-silicate minerals. Int. J. Miner. Process. 2000, 59, 247–266. [Google Scholar] [CrossRef]
- Youssef, N.; Rabenantoandro, A.Z.; Lafhaj, Z.; Dakhli, Z.; Hage Chehade, F.; Ducoulombier, L. A novel approach of geopolymer formulation based on clay for additive manufacturing. Constr. Robot. 2021, 5, 175–190. [Google Scholar] [CrossRef]
- Ghosh, A.; Subbarao, C. Strength characteristics of class F fly ash modified with lime and gypsum. J. Geotech. Geoenviron. Eng. 2007, 133, 757–766. [Google Scholar] [CrossRef]
- Umar, I.H.; Lin, H.; Ibrahim, A.S. Laboratory testing and analysis of clay soil stabilization using waste marble powder. Appl. Sci. 2023, 13, 9274. [Google Scholar] [CrossRef]
- Yadav, J.S.; Tiwari, S.K. Behaviour of cement stabilized treated coir fibre-reinforced clay-pond ash mixtures. J. Build. Eng. 2016, 8, 131–140. [Google Scholar] [CrossRef]
- Antiohos, S.; Papadakis, V.; Tsimas, S. Rice husk ash (RHA) effectiveness in cement and concrete as a function of reactive silica and fineness. Cem. Concr. Res. 2014, 61, 20–27. [Google Scholar] [CrossRef]
- Khale, D.; Chaudhary, R. Mechanism of geopolymerization and factors influencing its development: A review. J. Mater. Sci. 2007, 42, 729–746. [Google Scholar] [CrossRef]
- Párraga Morales, D.; Rivera, E.O.; Lotero, A.; Moncaleano, C.J.; Consoli, N.C. Potential reuse of Andean highlands Tin tailings in geotechnical works through geopolymer binder stabilization. Geotech. Geol. Eng. 2024, 42, 6071–6093. [Google Scholar] [CrossRef]
- Embong, R.; Kusbiantoro, A.; Shafiq, N.; Nuruddin, M.F. Strength and microstructural properties of fly ash based geopolymer concrete containing high-calcium and water-absorptive aggregate. J. Clean. Prod. 2016, 112, 816–822. [Google Scholar] [CrossRef]
- Abdila, S.R.; Abdullah, M.M.A.B.; Ahmad, R.; Burduhos Nergis, D.D.; Rahim, S.Z.A.; Omar, M.F.; Sandu, A.V.; Vizureanu, P.; Syafwandi. Potential of soil stabilization using ground granulated blast furnace slag (GGBFS) and fly ash via geopolymerization method: A review. Materials 2022, 15, 375. [Google Scholar] [CrossRef] [PubMed]
- Horpibulsuk, S.; Rachan, R.; Raksachon, Y. Role of fly ash on strength and microstructure development in blended cement stabilized silty clay. Soils Found. 2009, 49, 85–98. [Google Scholar] [CrossRef]
- Zhang, D.-W.; Zhao, K.-F.; Xie, F.-z.; Li, H.; Wang, D.-m. Effect of water-binding ability of amorphous gel on the rheology of geopolymer fresh pastes with the different NaOH content at the early age. Constr. Build. Mater. 2020, 261, 120529. [Google Scholar] [CrossRef]
- de Jesús Arrieta Baldovino, J.; dos Santos Izzo, R.L.; Rose, J.L. Effects of freeze–thaw cycles and porosity/cement index on durability, strength and capillary rise of a stabilized silty soil under optimal compaction conditions. Geotech. Geol. Eng. 2021, 39, 481–498. [Google Scholar] [CrossRef]
- Nguyen, T.T.H.; Cui, Y.-J.; Ferber, V.; Herrier, G.; Ozturk, T.; Plier, F.; Puiatti, D.; Salager, S.; Tang, A.M. Effect of freeze-thaw cycles on mechanical strength of lime-treated fine-grained soils. Transp. Geotech. 2019, 21, 100281. [Google Scholar] [CrossRef]
- Farhan, K.Z.; Megat, A.M.J.; Demirboğa, R. Performance of polypropylene fiber reinforced GGBFS-based alkali activated composites under sulfate and freeze–thaw conditions. Mater. Struct. 2023, 56, 44. [Google Scholar] [CrossRef]
- Li, Y.; Zhang, Q.; Wang, R.; Xiong, X.; Li, Y.; Wang, J. Experimental investigation on the dynamic mechanical properties and microstructure deterioration of steel fiber reinforced concrete subjected to freeze–thaw cycles. Buildings 2022, 12, 2170. [Google Scholar] [CrossRef]
- Zhang, P.; Shi, B.; Dai, X.; Chen, C.; Lai, C. A State-of-the-Art Review on the Freeze–Thaw Resistance of Sustainable Geopolymer Gel Composites: Mechanisms, Determinants, and Models. Gels 2025, 11, 537. [Google Scholar] [CrossRef]
- Liu, Y.; Li, H.; Feng, Z.; Ge, L.; Li, R.; Liu, S. Study on the interfacial bonding properties between alkali-treated bamboo fibers and high-performance seawater sea-sand concrete. Constr. Build. Mater. 2024, 426, 136190. [Google Scholar] [CrossRef]
- Boz, A.; Sezer, A. Influence of fiber type and content on freeze-thaw resistance of fiber reinforced lime stabilized clay. Cold Reg. Sci. Technol. 2018, 151, 359–366. [Google Scholar] [CrossRef]
- Kravchenko, E.; Liu, J.; Niu, W.; Zhang, S. Performance of clay soil reinforced with fibers subjected to freeze-thaw cycles. Cold Reg. Sci. Technol. 2018, 153, 18–24. [Google Scholar] [CrossRef]
- Ahıskalı, A.; Bayrak, B.; Toklu, K.; Bayraktar, O.Y.; Kaplan, G.; Aydın, A.C. Characterizing the Chemistry of One-Part Green Geopolymer Foams: The Role of Silica Fume and Fiber Hybridization. ACS Omega 2025, 10, 20193–20212. [Google Scholar] [CrossRef]
- Jamalimoghadam, M.; Bahmyari, H. Freeze–Thaw Characteristics of Slaking Marl Clay Stabilized with a Binder Based on Alkali-Activated Recycled Glass Powder. J. Mater. Civ. Eng. 2023, 35, 04023394. [Google Scholar] [CrossRef]
- Li, B.; Luo, F.; Li, X.; Liu, J. Mechanical properties evolution of clays treated with rice husk ash subjected to freezing-thawing cycles. Case Stud. Constr. Mater. 2024, 20, e02712. [Google Scholar] [CrossRef]
- Olgun, M. The effects and optimization of additives for expansive clays under freeze–thaw conditions. Cold Reg. Sci. Technol. 2013, 93, 36–46. [Google Scholar] [CrossRef]
- Huang, S.; He, Y.; Yu, S.; Cai, C. Experimental investigation and prediction model for UCS loss of unsaturated sandstones under freeze-thaw action. Int. J. Min. Sci. Technol. 2022, 32, 41–49. [Google Scholar] [CrossRef]
- Qiu, E.; He, Q.; Chen, Q.; Sun, X.; Zhang, R.; Qu, M.; Wan, X. Influence of freeze–thaw cycles on mechanical properties of moraine soils. Transp. Geotech. 2023, 42, 101097. [Google Scholar] [CrossRef]
- Tan, J.; Cai, J.; Li, X.; Pan, J.; Li, J. Development of eco-friendly geopolymers with ground mixed recycled aggregates and slag. J. Clean. Prod. 2020, 256, 120369. [Google Scholar] [CrossRef]
- Zannerni, G.M.; Fattah, K.P.; Al-Tamimi, A.K. Ambient-cured geopolymer concrete with single alkali activator. Sustain. Mater. Technol. 2020, 23, e00131. [Google Scholar] [CrossRef]
- Zhang, T.; Yue, X.; Deng, Y.; Zhang, D.; Liu, S. Mechanical behaviour and micro-structure of cement-stabilised marine clay with a metakaolin agent. Constr. Build. Mater. 2014, 73, 51–57. [Google Scholar] [CrossRef]
- Zhu, F.; Li, Z.; Dong, W.; Ou, Y. Geotechnical properties and microstructure of lime-stabilized silt clay. Bull. Eng. Geol. Environ. 2019, 78, 2345–2354. [Google Scholar] [CrossRef]
- Alcan, H.G. Mechanical, Durability, and Environmental Impact Properties of Natural and Recycled Fiber Geopolymer with Zero Waste Approach: Alternative to Traditional Building Materials. Polymers 2025, 17, 2432. [Google Scholar] [CrossRef]
- Odeh, N.A.; Al-Rkaby, A.H. Strength, Durability, and Microstructures characterization of sustainable geopolymer improved clayey soil. Case Stud. Constr. Mater. 2022, 16, e00988. [Google Scholar] [CrossRef]
- Yılmazoglu, M.U. Alkali-Activated Stabilization of Silt Soil Using Garlic Husk Ash: Mechanical, Microstructural, and Durability Performance. Appl. Sci. 2025, 15, 9944. [Google Scholar] [CrossRef]



















| Liquid limit LL (%) | 42.94 |
| Plastic limit PL (%) | 26.40 |
| Plasticity index PI (%) | 16.54 |
| Shrinkage limit (%) | 12.27 |
| Compound | RHA | KC |
|---|---|---|
| CaO | 0.5 | 2.29 |
| SiO2 | 86.2 | 62.02 |
| Al2O3 | 0.6 | 20.34 |
| Fe2O3 | 0.4 | 1.35 |
| MgO | 0.4 | 1.99 |
| Na2O | 0.4 | 0.13 |
| SO3 | 0.3 | 0.23 |
| K2O | 1.9 | 0.17 |
| LOI * | 8.9 | 11.48 |
| Fiber Length (mm) | Density (g/cm3) | Tensile Strength (MPa) | Elongation at Break (%) | Diameter (mm) |
|---|---|---|---|---|
| 6–12 | 1.4 | 270–900 [27] | 1–1.6 [28] | ≅0.2 |
| Level | Parameter | ||||
|---|---|---|---|---|---|
| 6 mm HF (%) | 12 mm HF (%) | RHA (%) | SMS (%) | OMC (%) | |
| 1 | 0 | 0 | 0 | 0 | OMC |
| 2 | 0.5 | 0.5 | 5 | 5 | OMC−5 |
| 3 | 1 | 1 | 7.5 | 7.5 | OMC+5 |
| 4 | 1.5 | 1.5 | 10 | 10 | OMC+10 |
| Mix No | 6 mm HF (%) | 12 mm HF (%) | RHA (%) | SMS (%) | OMC (%) |
|---|---|---|---|---|---|
| 1 | 0 | 0 | 0 | 0 | OMC |
| 2 | 0 | 0.5 | 5 | 5 | OMC−5 |
| 3 | 0 | 1 | 7.5 | 7.5 | OMC+5 |
| 4 | 0 | 1.5 | 10 | 10 | OMC+10 |
| 5 | 0.5 | 0 | 5 | 7.5 | OMC+10 |
| 6 | 0.5 | 0.5 | 0 | 10 | OMC+5 |
| 7 | 0.5 | 1 | 10 | 0 | OMC−5 |
| 8 | 0.5 | 1.5 | 7.5 | 5 | OMC |
| 9 | 1 | 0 | 7.5 | 10 | OMC−5 |
| 10 | 1 | 0.5 | 10 | 7.5 | OMC |
| 11 | 1 | 1 | 0 | 5 | OMC+10 |
| 12 | 1 | 1.5 | 5 | 0 | OMC+5 |
| 13 | 1.5 | 0 | 10 | 5 | OMC+5 |
| 14 | 1.5 | 0.5 | 7.5 | 0 | OMC+10 |
| 15 | 1.5 | 1 | 5 | 10 | OMC |
| 16 | 1.5 | 1.5 | 0 | 7.5 | OMC−5 |
| Material | CO2-e (kg-CO2/kg) | Reference |
|---|---|---|
| KC | 0.07 | [36] |
| RHA | 0.10 | [37] |
| SMS | 0.45 | [38] |
| HF | −1.29 | [39] |
| Water | 0.0003 | [40] |
| Level | 6 mm HF | 12 mm HF | SMS | RHA | OMC |
|---|---|---|---|---|---|
| 1 | 54.31 | 55.11 | 54.02 | 53.77 | 56.09 |
| 2 | 55.19 | 56.10 | 56.87 | 57.21 | 54.37 |
| 3 | 57.07 | 57.37 | 57.53 | 57.57 | 57.46 |
| 4 | 59.17 | 57.15 | 57.31 | 57.18 | 57.81 |
| Delta | 4.85 | 2.26 | 3.51 | 3.80 | 3.44 |
| Rank | 1 | 5 | 3 | 2 | 4 |
| Source | DF | Seq SS | Contribution | Adj SS | Adj MS | F-Value | p-Value |
|---|---|---|---|---|---|---|---|
| SMS | 1 | 118,641 | 15.10% | 118,641 | 118,641 | 10.23 | 0.033 |
| RHA | 1 | 104,313 | 13.28% | 104,313 | 104,313 | 9.00 | 0.040 |
| 6 mm HF | 3 | 308,094 | 39.21% | 308,094 | 102,698 | 8.86 | 0.031 |
| 12 mm HF | 3 | 46,596 | 5.93% | 46,596 | 15,532 | 1.34 | 0.380 |
| OMC | 3 | 161,687 | 20.58% | 161,687 | 53,896 | 4.65 | 0.086 |
| Error | 4 | 46,369 | 5.90% | 46,369 | 11,592 | ||
| Total | 15 | 785,700 | 100.00% |
| 5 F-T | Level | 6 mm HF | 12 mm HF | SMS | RHA | OMC |
| 1 | −31.44 | −31.64 | −30.96 | −30.93 | −29.74 | |
| 2 | −30.50 | −31.06 | −30.16 | −30.46 | −29.82 | |
| 3 | −29.66 | −29.61 | −29.91 | −29.82 | −30.50 | |
| 4 | −29.30 | −28.60 | −29.87 | −29.70 | −30.83 | |
| Delta | 2.14 | 3.04 | 1.09 | 1.23 | 1.10 | |
| Rank | 2 | 1 | 5 | 3 | 4 | |
| 10 F-T | Level | 6 mm HF | 12 mm HF | SMS | RHA | OMC |
| 1 | −35.40 | −35.31 | −35.23 | −34.83 | −33.82 | |
| 2 | −34.34 | −34.95 | −34.47 | −34.58 | −33.57 | |
| 3 | −33.90 | −33.85 | −34.03 | −34.32 | −35.06 | |
| 4 | −34.05 | −33.59 | −33.97 | −33.97 | −35.25 | |
| Delta | 1.51 | 1.71 | 1.26 | 0.87 | 1.69 | |
| Rank | 3 | 1 | 4 | 5 | 2 |
| 5 F-T | Source | DF | Seq SS | Contribution | Adj SS | Adj MS | F-Value | p-Value |
| SMS | 1 | 66.516 | 9.88% | 66.516 | 66.516 | 46.33 | 0.002 | |
| RHA | 1 | 61.116 | 9.08% | 61.116 | 61.116 | 42.57 | 0.003 | |
| 6 mm HF | 3 | 171.188 | 25.44% | 171.188 | 57.063 | 39.75 | 0.002 | |
| 12 mm HF | 3 | 337.188 | 50.11% | 337.188 | 112.396 | 78.29 | 0.001 | |
| OMC | 3 | 31.187 | 4.63% | 31.187 | 10.396 | 7.24 | 0.043 | |
| Error | 4 | 5.743 | 0.85% | 5.743 | 1.436 | |||
| Total | 15 | 672.938 | 100.00% | |||||
| 10 F-T | Source | DF | Seq SS | Contribution | Adj SS | Adj MS | F-Value | p-Value |
| SMS | 1 | 165.03 | 15.52% | 165.029 | 165.029 | 78.99 | 0.001 | |
| RHA | 1 | 63.11 | 5.94% | 63.114 | 63.114 | 30.21 | 0.005 | |
| 6 mm HF | 3 | 213.50 | 20.08% | 213.500 | 71.167 | 34.06 | 0.003 | |
| 12 mm HF | 3 | 327.50 | 30.81% | 327.500 | 109.167 | 52.25 | 0.001 | |
| OMC | 3 | 285.50 | 26.86% | 285.500 | 95.167 | 45.55 | 0.002 | |
| Error | 4 | 8.36 | 0.79% | 8.357 | 2.089 | |||
| Total | 15 | 1063.00 | 100.00% |
| 5 F-T | Level | 6 mm HF | 12 mm HF | SMS | RHA | OMC |
| 1 | −13.689 | −12.200 | −12.121 | −12.049 | −9.033 | |
| 2 | −10.429 | −10.183 | −10.434 | −10.820 | −9.687 | |
| 3 | −9.718 | −10.730 | −10.104 | −9.960 | −12.393 | |
| 4 | −9.200 | −9.923 | −10.378 | −10.207 | −11.923 | |
| Delta | 4.489 | 2.277 | 2.017 | 2.090 | 3.360 | |
| Rank | 1 | 3 | 5 | 4 | 2 | |
| 10 F-T | Level | 6 mm HF | 12 mm HF | SMS | RHA | OMC |
| 1 | −26.91 | −24.43 | −23.86 | −24.88 | −21.69 | |
| 2 | −22.12 | −22.95 | −23.22 | −22.67 | −21.20 | |
| 3 | −21.20 | −21.97 | −22.06 | −22.02 | −23.69 | |
| 4 | −20.60 | −21.48 | −21.68 | −21.26 | −24.25 | |
| Delta | 6.31 | 2.95 | 2.18 | 3.62 | 3.05 | |
| Rank | 1 | 4 | 5 | 2 | 3 |
| 5 F-T | Source | DF | Seq SS | Contribution | Adj SS | Adj MS | F-Value | p-Value |
| SMS | 1 | 1.6907 | 8.72% | 1.6907 | 1.6907 | 8.87 | 0.041 | |
| RHA | 1 | 1.5404 | 7.95% | 1.5404 | 1.5404 | 8.08 | 0.047 | |
| 6 mm HF | 3 | 9.3837 | 48.41% | 9.3837 | 3.1279 | 16.40 | 0.010 | |
| 12 mm HF | 3 | 2.4530 | 12.66% | 2.4530 | 0.8177 | 4.29 | 0.097 | |
| OMC | 3 | 3.5528 | 18.33% | 3.5528 | 1.1843 | 6.21 | 0.055 | |
| Error | 4 | 0.7628 | 3.94% | 0.7628 | 0.1907 | |||
| Total | 15 | 19.3834 | 100.00% | |||||
| 10 F-T | Source | DF | Seq SS | Contribution | Adj SS | Adj MS | F-Value | p-Value |
| SMS | 1 | 70.468 | 10.09% | 70.468 | 70.468 | 36.18 | 0.004 | |
| RHA | 1 | 110.761 | 15.87% | 110.761 | 110.761 | 56.86 | 0.002 | |
| 6 mm HF | 3 | 371.127 | 53.16% | 371.127 | 123.709 | 63.51 | 0.001 | |
| 12 mm HF | 3 | 99.481 | 14.25% | 99.481 | 33.160 | 17.02 | 0.010 | |
| OMC | 3 | 38.482 | 5.51% | 38.482 | 12.827 | 6.59 | 0.050 | |
| Error | 4 | 7.791 | 1.12% | 7.791 | 1.948 | |||
| Total | 15 | 698.110 | 100.00% |
Disclaimer/Publisher’s Note: The statements, opinions and data contained in all publications are solely those of the individual author(s) and contributor(s) and not of MDPI and/or the editor(s). MDPI and/or the editor(s) disclaim responsibility for any injury to people or property resulting from any ideas, methods, instructions or products referred to in the content. |
© 2025 by the authors. Licensee MDPI, Basel, Switzerland. This article is an open access article distributed under the terms and conditions of the Creative Commons Attribution (CC BY) license (https://creativecommons.org/licenses/by/4.0/).
Share and Cite
Aksu Alcan, B.; Kara, H.O.; Yılmazoğlu, M.U. Geopolymerization of Kaolin Clay with Hemp Fibers for Sustainable Soil Stabilization. Polymers 2025, 17, 3216. https://doi.org/10.3390/polym17233216
Aksu Alcan B, Kara HO, Yılmazoğlu MU. Geopolymerization of Kaolin Clay with Hemp Fibers for Sustainable Soil Stabilization. Polymers. 2025; 17(23):3216. https://doi.org/10.3390/polym17233216
Chicago/Turabian StyleAksu Alcan, Bilge, Halil Oğuzhan Kara, and Mehmet Uğur Yılmazoğlu. 2025. "Geopolymerization of Kaolin Clay with Hemp Fibers for Sustainable Soil Stabilization" Polymers 17, no. 23: 3216. https://doi.org/10.3390/polym17233216
APA StyleAksu Alcan, B., Kara, H. O., & Yılmazoğlu, M. U. (2025). Geopolymerization of Kaolin Clay with Hemp Fibers for Sustainable Soil Stabilization. Polymers, 17(23), 3216. https://doi.org/10.3390/polym17233216

