Sign in to use this feature.

Years

Between: -

Subjects

remove_circle_outline
remove_circle_outline
remove_circle_outline
remove_circle_outline
remove_circle_outline
remove_circle_outline
remove_circle_outline
remove_circle_outline
remove_circle_outline

Journals

remove_circle_outline
remove_circle_outline
remove_circle_outline
remove_circle_outline
remove_circle_outline
remove_circle_outline
remove_circle_outline
remove_circle_outline
remove_circle_outline

Article Types

Countries / Regions

remove_circle_outline
remove_circle_outline
remove_circle_outline
remove_circle_outline
remove_circle_outline

Search Results (1,171)

Search Parameters:
Keywords = materials joining

Order results
Result details
Results per page
Select all
Export citation of selected articles as:
22 pages, 11007 KB  
Article
Microstructure and Mechanical Properties of 7072 Aluminum Alloy Joints Brazed Using (Ni, Y)–Modified Al–Si–Cu–Zn Filler Alloys
by Wei Guo, Ruihua Zhang, Zhen Xue, Hui Wang and Xinyu Zhang
Materials 2026, 19(1), 138; https://doi.org/10.3390/ma19010138 - 31 Dec 2025
Abstract
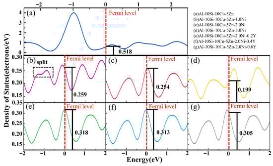
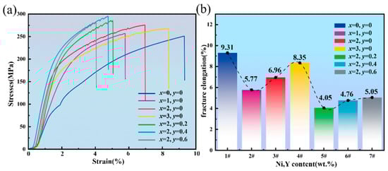
Aluminum–based brazing alloys have been developed for joining 7072 high–strength aluminum alloys. However, challenges related to their high melting points and joint softening still require further exploration. This study employs a combination of first–principles calculations and experimental techniques to examine the microstructure and [...] Read more.
Aluminum–based brazing alloys have been developed for joining 7072 high–strength aluminum alloys. However, challenges related to their high melting points and joint softening still require further exploration. This study employs a combination of first–principles calculations and experimental techniques to examine the microstructure and mechanical properties of 7072 aluminum alloy joints brazed with (Ni, Y)–modified Al–Si–Cu–Zn filler alloys. Through the virtual crystal approximation (VCA) method, it was observed that the Al–10Si–10Cu–5Zn–xNi–yY (x = 0, 1.0, 2.0, 3.0, y = 0.2, 0.4, 0.6) filler alloy exhibits excellent mechanical stability, combining both high strength and reasonable ductility. Seven brazed joint samples with varying Ni and Y contents were fabricated using melting brazing and analyzed. The findings showed that Ni reduces the liquidus temperature of the filler, narrowing the melting range. This facilitates the conversion of the brittle Al2Cu phase into a more ductile Al2(Cu,Ni) phase, thus enhancing joint strength. Y acts as a heterogeneous nucleation site, promoting local undercooling, increasing the nucleation rate, and refining the microstructure. When the Ni content was 2.0 wt.% and the Y content was 0.4 wt.%, the tensile strength of the brazed joint reached a peak value of 295.1 MPa. Computational predictions align with the experimental results, confirming that first–principles calculations are a reliable method for predicting the properties of aluminum alloy brazing materials. Full article
Show Figures

Figure 1

20 pages, 3844 KB  
Review
Design Strategies for Welding-Based Additive Manufacturing: A Review of Topology and Lattice Optimisation Approaches
by Ainara Cervera, Virginia Uralde, Juan Manuel Sustacha and Fernando Veiga
Appl. Sci. 2026, 16(1), 417; https://doi.org/10.3390/app16010417 - 30 Dec 2025
Abstract
Topology optimisation and lattice design constitute key enablers in the transition towards high-performance and resource-efficient engineering, particularly within the framework of additive manufacturing and welding-based deposition processes. The increasing integration of arc-based technologies, such as Wire Arc Additive Manufacturing, has strengthened the relevance [...] Read more.
Topology optimisation and lattice design constitute key enablers in the transition towards high-performance and resource-efficient engineering, particularly within the framework of additive manufacturing and welding-based deposition processes. The increasing integration of arc-based technologies, such as Wire Arc Additive Manufacturing, has strengthened the relevance of these methodologies by enabling the fabrication of large-scale, structurally efficient components with controlled material distribution and mechanical performance. These design strategies provide unique opportunities to achieve lightweight structures, functionally graded behaviour, and tailored properties beyond the limitations imposed by conventional manufacturing and joining techniques. The growing demand for functionally efficient components in sectors such as aerospace, biomedical, and automotive engineering continues to drive the adoption of these approaches, where both material efficiency and structural integrity under welding-induced thermal effects are critical. This chapter introduces the fundamentals of topology optimisation and functionally graded lattice architectures, describes their integration into advanced design and manufacturing workflows, including welding-based additive processes, and presents selected case studies that demonstrate their practical impact. Finally, emerging strategies based on generative design and artificial intelligence are discussed as key drivers for the automated and process-aware optimisation of future additively manufactured and welded structures. Full article
(This article belongs to the Section Applied Industrial Technologies)
Show Figures

Figure 1

116 pages, 1470 KB  
Review
Joining Technologies and Extended Producer Responsibility: A Review on Sustainability and End-of-Life Management of Metal Structures
by Mariasofia Parisi and Guido Di Bella
Metals 2026, 16(1), 49; https://doi.org/10.3390/met16010049 - 30 Dec 2025
Abstract
Joining technologies play a decisive role in the sustainability, circularity, and end-of-life performance of metal structures. Despite the increasing emphasis on low-impact manufacturing and Extended Producer Responsibility (EPR), the connection between joining methods and producers’ environmental obligations remains underexplored. This review provides a [...] Read more.
Joining technologies play a decisive role in the sustainability, circularity, and end-of-life performance of metal structures. Despite the increasing emphasis on low-impact manufacturing and Extended Producer Responsibility (EPR), the connection between joining methods and producers’ environmental obligations remains underexplored. This review provides a comprehensive assessment of conventional and emerging techniques, including fusion welding, solid-state welding, mechanical fastening, adhesive bonding, and hybrid and AM-assisted processes, examining how each technology influences material efficiency, durability, repairability, disassembly, and recyclability. Particular attention is devoted to the effects of joint characteristics on life-cycle impacts, waste generation, and the technical and economic feasibility of high-quality material recovery, using recent LCA evidence and industrial case studies from automotive, shipbuilding, aerospace, and consumer products. Building on this analysis, the review proposes qualitative checklists and semi-quantitative scoring schemes to compare joining options under EPR-relevant criteria and to identify best- and worst-case design scenarios. Finally, promising research directions are outlined, including reversible and debond-on-demand solutions, low-energy solid-state routes, joining strategies for multi-material yet recyclable structures, and the integration of digital twins and LCA-informed design tools, offering a roadmap for metal structures that align technical performance with EPR-driven end-of-life management. Full article
(This article belongs to the Section Welding and Joining)
Show Figures

Figure 1

9 pages, 1830 KB  
Proceeding Paper
Adopting Multi-Material Wire DED-LB in Naval Industry: A Case Study in Stainless Steel and Nickel-Based Alloys
by Konstantinos Tzimanis, Nikolas Gavalas, Nikolas Porevopoulos and Panagiotis Stavropoulos
Eng. Proc. 2025, 119(1), 37; https://doi.org/10.3390/engproc2025119037 - 23 Dec 2025
Viewed by 121
Abstract
Multi-material Directed Energy Deposition (DED) Additive Manufacturing (AM) processes enable the integration of different material properties into a single structure, addressing the requirements of various applications and working environments. Laser-based Directed Energy Deposition (DED-LB) has been employed in the past for surface coatings [...] Read more.
Multi-material Directed Energy Deposition (DED) Additive Manufacturing (AM) processes enable the integration of different material properties into a single structure, addressing the requirements of various applications and working environments. Laser-based Directed Energy Deposition (DED-LB) has been employed in the past for surface coatings as well as for the repair and repurposing of high-value industrial components, with the goal of extending product lifetime without relying on expensive and time-consuming manufacturing from scratch. While powder DED-LB has traditionally been used for multi-material AM, the more resource-efficient and cost-effective wire DED-LB process is now being explored as a solution for creating hybrid materials. This work focuses on the critical aspects of implementing multi-material DED-LB, specifically defining an optimal operating process window that ensures the best quality and performance of the final parts. By investigating the possibility of combining stainless steel and nickel-based alloys, this study seeks to unlock new possibilities for the repair and optimization of naval components, ultimately improving operational efficiency and reducing downtime for critical naval equipment. The analysis of the experimental results has revealed strong compatibility of stainless steel 316 with Inconel 718 and stainless steel 17-4PH, while the gray cast iron forms acceptable fusion only with stainless steel 17-4PH. Finally, during the experimental phase, substrate pre-heating and process monitoring with thermocouples will be employed to manage and assess heat distribution in the working area, ensuring defect-free material joining. Full article
Show Figures

Figure 1

25 pages, 54359 KB  
Article
Optimizing Mechanical Structures Through Butt Joining of Dissimilar Materials for Lightweight Components
by Jarosław Szusta, Łukasz Derpeński, Özler Karakaş and Nail Tüzün
Materials 2026, 19(1), 18; https://doi.org/10.3390/ma19010018 - 20 Dec 2025
Viewed by 312
Abstract
The joining of dissimilar steels is crucial for designing lightweight, high-performance structures but poses significant challenges due to uneven material properties. This study optimizes the butt-welding process for a dissimilar pair of S355J2 and Strenx 700E steels. Cold Metal Transfer welding was employed, [...] Read more.
The joining of dissimilar steels is crucial for designing lightweight, high-performance structures but poses significant challenges due to uneven material properties. This study optimizes the butt-welding process for a dissimilar pair of S355J2 and Strenx 700E steels. Cold Metal Transfer welding was employed, and the effects of surface preparation, linear energy, and joint gap on joint integrity were systematically investigated via tensile testing, digital image correlation, fractography, and microhardness analysis. The results demonstrate that mechanical surface cleaning combined with a low linear energy of 0.334 kJ/mm and a 0.5 mm gap yields optimal performance. This parameter set produced a joint with a tensile strength of 616 MPa, representing a 32% increase compared to uncleaned samples, and promoted uniform plastic deformation across the joint. Microstructural analysis confirmed a narrower heat-affected zone and the absence of significant softening in the high-strength steel. Full article
(This article belongs to the Section Manufacturing Processes and Systems)
Show Figures

Figure 1

27 pages, 11334 KB  
Article
Study of Bushing Formation in the Process of Joining Thin-Walled Metals and Fiber-Reinforced Composites Using Thermal Drilling
by Anna Guzanová, Dagmar Draganovská, Milan Fiľo and Teodor Tóth
Crystals 2026, 16(1), 2; https://doi.org/10.3390/cryst16010002 - 19 Dec 2025
Viewed by 122
Abstract
This study addresses the issue of adapting the thermal drilling process for joining dissimilar thin-walled materials—sheets made of non-ferrous metal alloys and polymer composites with a thermoplastic matrix reinforced with glass and carbon fibers—without the use of connecting elements and without disrupting the [...] Read more.
This study addresses the issue of adapting the thermal drilling process for joining dissimilar thin-walled materials—sheets made of non-ferrous metal alloys and polymer composites with a thermoplastic matrix reinforced with glass and carbon fibers—without the use of connecting elements and without disrupting the continuity of the reinforcing fibers. An extensive metallographic study was conducted on bushings formed in thin metal sheets made of EN AW 6082 T6 aluminum alloy and AZ91 magnesium alloy obtained during separate drilling procedures. Experiments were also performed where the metal sheet and composite material overlapped, using both direct and sequential drilling above the melting point of the polymer matrix, applying various process parameters. The dimensions of the resulting bushings and the suitability of their profile for joining with composites were evaluated. The results suggest the possibility of joining metals and fiber composites through thermal drilling, and suitable joining process parameters and conditions are specified. To limit composite delamination, it is advisable to make a hem flange on the reverse side of the joints. CT scans confirmed the deflection of fibers around the hole in the composite without compromising their integrity. The load-bearing capacity of the joints and the possibility of creating hybrid mechanical–adhesive joints between these materials are the subject of Part Two of this study. Full article
(This article belongs to the Special Issue Exploring New Materials for the Transition to Sustainable Energy)
Show Figures

Figure 1

25 pages, 12574 KB  
Article
Features of the Structural Design of Welded Joints of Superelastic Nitinol Wires
by Viktor Kvasnytskyi, Anastasiia Zvorykina, Leonid Zvorykin, Constantine Zvorykin and Yevgenia Chvertko
Materials 2026, 19(1), 7; https://doi.org/10.3390/ma19010007 - 19 Dec 2025
Viewed by 202
Abstract
The object of the study is a permanent joint of thin wires made of nitinol alloy. The problem of ensuring the formation of a joint of wires made of nitinol alloy was solved based on minimising changes in the structure of the welded [...] Read more.
The object of the study is a permanent joint of thin wires made of nitinol alloy. The problem of ensuring the formation of a joint of wires made of nitinol alloy was solved based on minimising changes in the structure of the welded joint material relative to the materials being joined. The properties of the welded joint material of the nitinol were studied using scanning electron microscopy and micro-X-ray spectral analysis. The studied permanent joint was obtained by TIG, microplasma (PAW) and capacitor discharge (CDW) welding. It was found that TIG welding can ensure the proximity of the microstructures of the wire and welded joint materials under conditions of sufficient protection in an argon atmosphere. Such TiNi welded joints have a welded joint material that retains its superelastic properties (within the limits of the shape memory effect). Capacitor discharge welding allows the joint to be brought closer to the required level of microstructure of the weld material. The results of mechanical tests demonstrated the limited capabilities of joints made of thin nitinol wires. At the same time, the appearance of only newly formed TiNi + TiNi3 eutectics in the weld material and a sufficient level of restoration of the welded joint shape give reason to consider capacitor discharge welding promising for joining thin nitinol wires. PAW leads to the formation of a significant amount of oxides in the weld and an increase in the number of Ti2Ni inclusions, which leads to brittle fracture of the welded joint even at low degrees of deformation. The results of the study can be used, in particular, for the manufacture of nitinol wire joints in medical devices. Full article
(This article belongs to the Section Metals and Alloys)
Show Figures

Figure 1

15 pages, 7033 KB  
Article
Effects of Multi-Pass Butt-Upset Cold Welding on Mechanical Performance of Cu-Mg Alloys
by Yuan Yuan, Yong Pang, Zhu Xiao, Shifang Li and Zejun Wang
Materials 2025, 18(24), 5641; https://doi.org/10.3390/ma18245641 - 15 Dec 2025
Viewed by 189
Abstract
Joining high-strength, cold-drawn Cu-Mg alloy conductors is a critical challenge for ensuring the reliability of high-speed railway catenary systems. This study investigates the evolution of mechanical properties and microstructure in Cu-0.43 wt% Mg alloy wires joined by multi-pass butt-upset cold welding without special [...] Read more.
Joining high-strength, cold-drawn Cu-Mg alloy conductors is a critical challenge for ensuring the reliability of high-speed railway catenary systems. This study investigates the evolution of mechanical properties and microstructure in Cu-0.43 wt% Mg alloy wires joined by multi-pass butt-upset cold welding without special surface preparation. High-integrity joints were achieved, exhibiting a peak tensile strength of 624 MPa (~96% of the base material’s strength). After four upsetting processes, the tensile strength of the weld can reach 90% of the original strength, and the gains from subsequent upsetting processes are negligible. Microstructural analysis revealed the joining process is governed by localized severe shear deformation, which forges a distinct gradient microstructure. This includes a transition zone of fine, equiaxed-like grains formed by dynamic recrystallization/recovery, and a central zone featuring a nano-laminar structure, high dislocation density, and deformation twins. A multi-stage dynamic bonding mechanism is proposed. It progresses from initial contact via thin film theory to bond consolidation through a “mechanical self-cleaning” process, where extensive radial plastic flow effectively expels surface contaminants. This work clarifies the fundamental bonding principles for pre-strained, high-strength alloys under multi-pass cold welding, providing a scientific basis to optimize this heat-free joining technology for industrial applications. Full article
(This article belongs to the Section Metals and Alloys)
Show Figures

Graphical abstract

15 pages, 7975 KB  
Article
Effect of Electrochemical Hydrogen Degradation on the Bond Microstructure of Explosively Welded Joints
by Michał Gloc, Piotr Maj and Sylwia Przybysz-Gloc
Appl. Sci. 2025, 15(24), 13139; https://doi.org/10.3390/app152413139 - 14 Dec 2025
Viewed by 189
Abstract
This study investigates hydrogen embrittlement mechanisms at the interfaces of explosively welded joints between 304L austenitic stainless steel and carbon/low-alloy steels (St41k, 15HM), focusing on the unique properties of local melting zones (LMZs) formed during joining. Advanced microstructural characterization, including scanning electron microscopy [...] Read more.
This study investigates hydrogen embrittlement mechanisms at the interfaces of explosively welded joints between 304L austenitic stainless steel and carbon/low-alloy steels (St41k, 15HM), focusing on the unique properties of local melting zones (LMZs) formed during joining. Advanced microstructural characterization, including scanning electron microscopy (SEM), energy-dispersive X-ray spectroscopy (EDS), and microhardness testing, was combined with controlled electrochemical hydrogen charging. Results demonstrate that while base materials suffered substantial hydrogen-induced degradation—blistering in carbon steels and microcracking in stainless steel—the LMZ exhibited exceptional resistance to hydrogen damage. Compositional analyses revealed that the LMZ possessed intermediate chromium (4.8–8.8 wt.%) and nickel (1.7–3.6 wt.%) contents, reflecting mixing from both plates, and significantly higher microhardness compared to adjacent zones. The superior hydrogen resistance of the LMZ is attributed to their refined microstructure, increased density of hydrogen trapping sites, and non-equilibrium phase composition resulting from rapid solidification. These findings indicate that tailoring the process of the LMZ in clad steel joints can be an effective strategy to mitigate hydrogen embrittlement risks in critical hydrogen infrastructure. Full article
(This article belongs to the Special Issue Electrochemistry and Corrosion of Materials)
Show Figures

Figure 1

22 pages, 12895 KB  
Article
The Role of Rotational Tool Speed in the Joint Performance of AA2024-T4 Friction Stir Spot Welds at a Short 3-Second Dwell Time
by Yousef G. Y. Elshaghoul, Mahmoud F. Y. Shalaby, Mohamed M. El-Sayed Seleman, Ahmed Elkelity, Hagar A. Reyad and Sabbah Ataya
Crystals 2025, 15(12), 1054; https://doi.org/10.3390/cryst15121054 - 12 Dec 2025
Viewed by 268
Abstract
This study explores Friction Stir Spot Welding (FSSW), a well-established solid-state joining technique, for high-strength aluminum alloys like AA2024-T4, which present significant challenges for conventional welding techniques. This research focuses on the impact of relatively low rotational speeds, specifically within a range of [...] Read more.
This study explores Friction Stir Spot Welding (FSSW), a well-established solid-state joining technique, for high-strength aluminum alloys like AA2024-T4, which present significant challenges for conventional welding techniques. This research focuses on the impact of relatively low rotational speeds, specifically within a range of 700 to 1300 rpm, on the mechanical and microstructural properties of the welded joints. By employing a short dwell time of 3 s, this study aims to enhance productivity in the automotive and aerospace industries. The experimental work evaluated the joints’ thermal cycles, macrostructure, microstructure, hardness and load-carrying capacity. Results indicated a linear relationship between rotational speed and heat input. Although all welds exhibited a significant grain size reduction in the stir zone (SZ) compared to the base material (29.7 ± 6.1 μm), the SZ grain size increased with rotational speed, ranging from 4.7 ± 1.4 to 8.3 ± 1.3 μm. This study identified 900 rpm as the optimal parameter, achieving the highest load-carrying capacity (7.35 ± 0.4 kN) and a high SZ hardness (99 ± 1.5 HV). These findings confirm that joint strength is a balance between grain refinement and thermal softening. The presence of precipitates and the fractography of the tensile–shear tested specimens were also investigated and discussed. Full article
(This article belongs to the Special Issue Development of Light Alloys and Their Applications)
Show Figures

Figure 1

14 pages, 3197 KB  
Article
Morphology of Fumes from Hybrid Laser–Arc Welding of X5CrNi18-10 Stainless Steel
by Janusz Adamiec, Joanna Wyciślik-Sośnierz, Jolanta Matusiak, Michał Urbańczyk, Marcin Lemanowicz, Robert Kusiorowski and Anna Gerle
Materials 2025, 18(24), 5534; https://doi.org/10.3390/ma18245534 - 9 Dec 2025
Viewed by 306
Abstract
Stainless steels are widely used across many industrial sectors, including the fabrication of welded structures. The most common methods for joining these materials are arc welding processes. Increasing demands for higher weld quality and process efficiency have led to a growing adoption of [...] Read more.
Stainless steels are widely used across many industrial sectors, including the fabrication of welded structures. The most common methods for joining these materials are arc welding processes. Increasing demands for higher weld quality and process efficiency have led to a growing adoption of laser-based technologies in industry. One of the most frequently applied techniques is hybrid laser–arc welding (HLAW), which combines two heat sources—the laser beam and the electric arc—acting simultaneously. For new, innovative joining technologies, a critical factor in their implementation is their impact on the environment and human health. This article presents the results of a study on the morphology of fumes emitted during the HLAW of X5CrNi18-10 (1.4301) stainless steel. Laser diffraction and scanning electron microscopy were used to characterize the fume morphology. The International Agency for Research on Cancer has classified welding fumes as a carcinogenic agent to humans. The results revealed that more than 20% of particles generated during hybrid welding belong to the most hazardous fraction, as they can penetrate beyond the laryngeal region. These particles exhibit a homogeneous elemental distribution, with the chromium content standing at approximately 20% and nickel nearly 10%. Full article
(This article belongs to the Special Issue Fusion Bonding/Welding of Metal and Non-Metallic Materials)
Show Figures

Figure 1

17 pages, 15458 KB  
Article
Dissimilar Welded Joints and Sustainable Materials for Ship Structures
by Giuseppe Brando, Fabio Distefano, Francesca Di Carolo, Vincenzo Crupi, Gabriella Epasto and Umberto Galietti
J. Mar. Sci. Eng. 2025, 13(12), 2296; https://doi.org/10.3390/jmse13122296 - 3 Dec 2025
Viewed by 290
Abstract
Shipbuilding and offshore structures employ a wide range of metallic materials, from standard and high-strength steels to non-ferrous aluminium and titanium alloys. While welding remains the dominant joining method, the reliable joining of dissimilar metals still presents significant challenges. The explosion welding (EXW) [...] Read more.
Shipbuilding and offshore structures employ a wide range of metallic materials, from standard and high-strength steels to non-ferrous aluminium and titanium alloys. While welding remains the dominant joining method, the reliable joining of dissimilar metals still presents significant challenges. The explosion welding (EXW) technique has been increasingly adopted over traditional methods for joining dissimilar metallic materials, due to the advantage of avoiding constraints related to metallurgical incompatibility. The EXW is a solid-state joining process in which an explosive detonation provides the energy required to drive two metal surfaces into high-velocity collision, producing a metallurgical bond. This process results in partial melting at the wavy interface and the formation of intermetallic properties, which can lead to cracking when exposed to dynamic loading. A well-established application in shipbuilding is the connection of an aluminium superstructure to steel decks. This study evaluates the mechanical behaviour of aluminium–steel explosion-welded joints for ship structures. The examined joints comprise ASTM A516 Gr55 structural steel, clad by explosion welding with AA5086 aluminium alloy using an intermediate layer of AA1050 commercially pure aluminium. Tensile tests were carried out using full-field techniques, such as digital image correlation (DIC) and infrared thermography (IRT). Full article
Show Figures

Figure 1

12 pages, 2635 KB  
Article
Influence of Die Geometry on Electromagnetic Riveting of Ti-6Al-4V: An Explicit Finite Element Analysis
by Diego F. Epuñán Urra and Víctor Tuninetti
Aerospace 2025, 12(12), 1054; https://doi.org/10.3390/aerospace12121054 - 27 Nov 2025
Viewed by 389
Abstract
Electromagnetic riveting (EMR) is a high-speed solid-state joining technique with growing relevance in aerospace manufacturing, particularly for titanium alloys such as Ti-6Al-4V. Although the mechanical behavior of EMR joints has been previously studied, the specific influence of die geometry on rivet deformation and [...] Read more.
Electromagnetic riveting (EMR) is a high-speed solid-state joining technique with growing relevance in aerospace manufacturing, particularly for titanium alloys such as Ti-6Al-4V. Although the mechanical behavior of EMR joints has been previously studied, the specific influence of die geometry on rivet deformation and joint integrity remains insufficiently understood. In this work, an explicit finite element analysis was conducted using ANSYS Explicit Dynamics to assess the effect of three die geometries (90°, 70°, and 45°) on the mechanical and thermal response of Ti-6Al-4V rivets and plates. The Johnson–Cook constitutive model was employed to capture high strain-rate deformation behavior. Key process metrics, including radial expansion, Von Mises stress, plastic work, and adiabatic temperature rise, were analyzed for each configuration. The results show that sharper die angles (90°) promote greater rivet expansion but also induce higher stress concentrations in the plates, while shallower dies (45°) produce smoother stress distributions with reduced deformation. All configurations demonstrated significant adiabatic temperature rise (approximately 250 °C) in the high-deformation zones. This indicates that thermal softening contributes to the material flow, although the process remains below the phase transformation temperature of Ti-6Al-4V. Overall, the findings highlight that die geometry critically affects stress localization and rivet interlocking, providing guidance for optimizing EMR tooling design to enhance reliability in high-performance aerospace structures. Full article
Show Figures

Figure 1

22 pages, 9034 KB  
Article
Laser Beam Welding of IN625 Alloy with Equiaxed Grains: Influence of Process Parameters
by Giuliano Angella, Fabio Bergamini, Francesco Cognini, Alessandra Fava, Paolo Ferro, Alessandra Palombi, Maria Richetta and Alessandra Varone
Metals 2025, 15(12), 1296; https://doi.org/10.3390/met15121296 - 25 Nov 2025
Viewed by 439
Abstract
Ni-based superalloys, known for their excellent mechanical strength and corrosion resistance at high temperature, are widely used in aeronautic, aerospace, and energy industries. Since both the materials and manufacturing processes required to produce high-performance components made of these alloys are expensive, the welding [...] Read more.
Ni-based superalloys, known for their excellent mechanical strength and corrosion resistance at high temperature, are widely used in aeronautic, aerospace, and energy industries. Since both the materials and manufacturing processes required to produce high-performance components made of these alloys are expensive, the welding repair of damaged components plays a crucial role in industrial applications. High energy density welding techniques, such as laser beam welding (LBW) and electron beam welding (EBW), are the most promising to achieve high-quality welds. Nevertheless, welding processes significantly affect the microstructure and mechanical properties of both the melted zone (MZ) and the heat-affected zone (HAZ). This may result in alloying element segregation, precipitation of undesired secondary phases, and the presence of residual stresses that can lead to crack formation. Therefore, a comprehensive investigation of the effects of process parameters on weld seam properties is essential to maintain high performance standards. In this work, LBW was employed to join 2.5 mm thick plates of equiaxed IN625 superalloy. The seams were produced by varying three parameters: the two characteristic parameters of LBW, i.e., laser power (P = 1700, 2000, 2300 W) and welding speed (v = 15, 20, 25 mm/s), alongside power modulation (Γ = Pmin/Pmax = 0.6, 0.8, 1). The scope of this work is to evaluate the effect of the combined variation of all these welding parameters on the final characteristics of welded seams. The resulting microstructures were characterized by using digital radiography, Light Microscopy (LM), Scanning Electron Microscopy (SEM), and X-ray Diffraction (XRD). Vickers microhardness measurements were performed across the weld seams to evaluate the mechanical properties in the MZ and HAZ. The optimal set of welding parameters, producing defect-free seams without cracks and pores, was identified as P = 2000 W, v = 25 mm/s, and Γ = 0.6. Full article
(This article belongs to the Special Issue Weldability and Reparability of Nickel-Base Alloys)
Show Figures

Graphical abstract

59 pages, 55684 KB  
Article
New Discoveries Supporting the Exceptional Species Diversity of Opostegidae in Central America and the Caribbean, Alerting on Misidentified Barcodes
by Jonas R. Stonis, Andrius Remeikis and Svetlana Orlovskytė
Insects 2025, 16(11), 1170; https://doi.org/10.3390/insects16111170 - 17 Nov 2025
Viewed by 1187
Abstract
The aim of this study was to supplement current knowledge on the species diversity of Opostegidae in Central America and the Caribbean and to compare this diversity with that of other regions. We examined historical material and conducted fieldwork in Honduras during 2023–2025, [...] Read more.
The aim of this study was to supplement current knowledge on the species diversity of Opostegidae in Central America and the Caribbean and to compare this diversity with that of other regions. We examined historical material and conducted fieldwork in Honduras during 2023–2025, a true tabula rasa in terms of Opostegidae diversity. Collected specimens were dissected, with genitalia photographed and analyzed. Molecular divergence was assessed using Neighbor-Joining and Maximum Likelihood methods, as well as Bayesian inference; creation of a mitotype network (TCS algorithm) and species delimitation (bPTP method) were also performed. The study of historical material revealed that Pseudopostega saltatrix (Walsingham) is not conspecific with taxa previously published under the same name, resulting in the description of one new Pseudopostega species. Fieldwork in Honduras yielded 11 additional Pseudopostega species—all new national records, six of which are new to science. The paper introduces 33 new molecular sequences, bringing the total to 114 mtDNA COI-5′ sequences currently deposited in the National Genomics Data Center (China). With these discoveries, the number of Opostegidae in Central America and the Caribbean rises to 63 species, representing 30.9% of the global fauna. The Neotropical realm (103 spp.) exhibits markedly higher Opostegidae diversity than other biogeographical regions, underscoring its importance as a center of diversification. Our analysis also revealed an alarmingly high proportion of doubtful molecular barcodes—nearly one-third (27%) appear erroneous due to species misidentification in Neotropical Opostegidae. Full article
(This article belongs to the Section Insect Systematics, Phylogeny and Evolution)
Show Figures

Figure 1

Back to TopTop