Sign in to use this feature.

Years

Between: -

Subjects

remove_circle_outline
remove_circle_outline
remove_circle_outline
remove_circle_outline
remove_circle_outline
remove_circle_outline
remove_circle_outline
remove_circle_outline
remove_circle_outline

Journals

remove_circle_outline
remove_circle_outline
remove_circle_outline
remove_circle_outline
remove_circle_outline
remove_circle_outline
remove_circle_outline
remove_circle_outline
remove_circle_outline
remove_circle_outline
remove_circle_outline
remove_circle_outline
remove_circle_outline

Article Types

Countries / Regions

remove_circle_outline
remove_circle_outline
remove_circle_outline
remove_circle_outline
remove_circle_outline
remove_circle_outline

Search Results (964)

Search Parameters:
Keywords = material nonlinear behavior

Order results
Result details
Results per page
Select all
Export citation of selected articles as:
27 pages, 8381 KB  
Article
Pushover Behavior of Unreinforced Masonry Walls Based on Multiple Modeling Methods: Damage Mechanism and Failure Mode
by Yonggang Liu, Hua Guo, Wenlong Wei, Shuo Chen, Yan Liu and Junlin Wang
Buildings 2026, 16(7), 1439; https://doi.org/10.3390/buildings16071439 - 5 Apr 2026
Viewed by 106
Abstract
As the most prevalent type of existing building in China, masonry structures are susceptible to cracking due to the low tensile strength of the masonry material. In the event of a sudden, strong earthquake, they are highly prone to brittle collapse, leaving occupants [...] Read more.
As the most prevalent type of existing building in China, masonry structures are susceptible to cracking due to the low tensile strength of the masonry material. In the event of a sudden, strong earthquake, they are highly prone to brittle collapse, leaving occupants little time and space to escape. Based on this, combining the advantages of the elastoplastic mechanical theory and the nonlinear finite element (FE) method, this study adopts different modeling methods: integral modeling (IM), contact element discrete modeling (CEDM), spring element discrete modeling (SEDM), and co-node discrete modeling (CNDM). FE models of unreinforced masonry walls (UMWs) are established, respectively, and a monotonic pushover mechanical performance analysis is carried out. The accuracy of the adopted modeling methods is verified against existing test results for UMW specimens. Through parametric analysis of aspect ratios (0.5, 0.75, 1.0, and 1.25), axial compression ratios (0.1, 0.3, 0.5, 0.7, and 0.8), and mortar strengths (M5, M7.5, and M10), the characteristic mechanical performance factors of UMWs are determined. A novel strength index is proposed to discriminate between failure modes and elucidate the damage mechanism of UMWs. The results indicate that the ultimate load and its corresponding displacement change systematically with variations in aspect ratios, axial compression ratios, and mortar strengths. Furthermore, integrating stress cloud maps with the proposed strength index provides a quantitative basis for discriminating between flexural and shear failure modes in UMWs. All four modeling methods can, to varying degrees, capture the pushover behavior of UMWs, and quantifiable selection schemes are provided to balance analysis accuracy and computational cost. The analytical methods and findings presented in this work can be applied to performance assessment, seismic design, and engineering practice of UMWs. Full article
(This article belongs to the Section Building Structures)
Show Figures

Figure 1

14 pages, 2360 KB  
Article
Using Electrostatic Mapping to Understand PANI-MWCNTs’ NH3 Sensing
by Alessia Famengo, Carmen Marinela Mihailescu, Mihaela Savin, Alexandru Grigoroiu, Carmen Moldovan and Maria Losurdo
Sensors 2026, 26(7), 2169; https://doi.org/10.3390/s26072169 - 31 Mar 2026
Viewed by 240
Abstract
This study investigates the electrostatic and electrochemical behavior of polyaniline (PANI) and its composite with amine-functionalized multi-walled carbon nanotubes (PANI/MWCNT–NH2) to elucidate the mechanisms governing ammonia (NH3) sensing. High-resolution atomic force microscopy (AFM) coupled with electrostatic force microscopy (EFM) [...] Read more.
This study investigates the electrostatic and electrochemical behavior of polyaniline (PANI) and its composite with amine-functionalized multi-walled carbon nanotubes (PANI/MWCNT–NH2) to elucidate the mechanisms governing ammonia (NH3) sensing. High-resolution atomic force microscopy (AFM) coupled with electrostatic force microscopy (EFM) demonstrates that pristine PANI forms granular macroaggregates with localized charge distribution, whereas MWCNT incorporation promotes worm-like percolative networks that enhance charge delocalization and conductivity. Electrochemical characterization by cyclic voltammetry (CV) and electrochemical impedance spectroscopy (EIS) corroborates these nanoscale observations, revealing significantly improved interfacial electron transfer kinetics in the composite. Upon exposure to NH3, pristine PANI undergoes rapid de-doping and nonlinear signal suppression, while the composite exhibits a more progressive electrochemical modulation. Overall, the results demonstrate that NH3 sensing in PANI-based films is governed not solely by electroactive material content but by the interplay between nanoscale morphology, electrostatic heterogeneity, and charge transport topology. The nanotube-mediated formation of delocalized and percolative conductive pathways provides structural and electrochemical robustness, enabling tunable, high-sensitivity operation suitable for next-generation, low-power ammonia sensing platforms. Full article
(This article belongs to the Section Chemical Sensors)
Show Figures

Figure 1

19 pages, 6836 KB  
Article
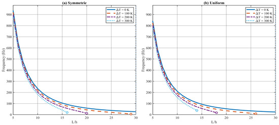
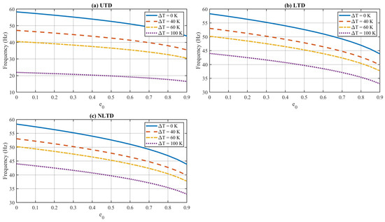
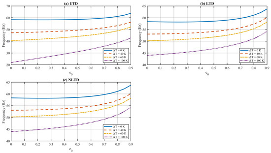
Thermoelastic Vibration of Functionally Graded Porous Euler–Bernoulli Beams Using the Differential Transformation Method
by Selin Kaptan and İbrahim Özkol
Appl. Sci. 2026, 16(7), 3271; https://doi.org/10.3390/app16073271 - 27 Mar 2026
Viewed by 211
Abstract
Functionally graded porous beams are increasingly used in lightweight engineering structures, where thermal effects and material inhomogeneity significantly influence vibration behavior. In this study, the thermoelastic free vibration of functionally graded porous Euler–Bernoulli beams with temperature-dependent material properties is investigated by considering uniform [...] Read more.
Functionally graded porous beams are increasingly used in lightweight engineering structures, where thermal effects and material inhomogeneity significantly influence vibration behavior. In this study, the thermoelastic free vibration of functionally graded porous Euler–Bernoulli beams with temperature-dependent material properties is investigated by considering uniform and symmetric porosity distributions, together with uniform, linear, and nonlinear temperature fields. The governing equations are derived based on classical Euler–Bernoulli beam theory and solved using the Differential Transformation Method, while the accuracy of the semi-analytical formulation is verified through a Hermite-based finite element model. The results show that increasing temperature reduces the bending stiffness due to thermal axial forces and leads to a rapid decrease in natural frequency as the critical buckling temperature is approached. Increasing porosity generally decreases the natural frequency, although a slight increase may occur in symmetric distributions because of the accompanying reduction in mass density. The present study provides a computational framework for the thermo-vibration analysis of functionally graded porous beams in lightweight structural applications. Full article
(This article belongs to the Section Acoustics and Vibrations)
Show Figures

Figure 1

23 pages, 3050 KB  
Article
Micromechanical Prediction of Elastic Properties of Unidirectional Glass and Carbon Fiber-Reinforced Epoxy Composites Using the Halpin–Tsai Model
by Sahnoun Zengah, Rabeh Slimani, Abdelghani Baltach, Ali Taghezout, Ali Benhamena, Dursun Murat Sekban, Ecren Uzun Yaylacı and Murat Yaylacı
Polymers 2026, 18(7), 822; https://doi.org/10.3390/polym18070822 - 27 Mar 2026
Viewed by 381
Abstract
This study presents a calibrated analytical micromechanical framework for predicting the linear elastic behavior of unidirectional glass fiber/epoxy and carbon fiber/epoxy composites over a wide range of fiber volume fractions. The approach combines the classical rule of mixtures for the longitudinal Young’s modulus [...] Read more.
This study presents a calibrated analytical micromechanical framework for predicting the linear elastic behavior of unidirectional glass fiber/epoxy and carbon fiber/epoxy composites over a wide range of fiber volume fractions. The approach combines the classical rule of mixtures for the longitudinal Young’s modulus with the semi empirical Halpin–Tsai equations to estimate the transverse Young’s modulus and the in-plane shear modulus. The framework is specifically formulated to support durability-oriented composite design through rapid and physically consistent estimation of elastic properties governing load transfer and stress distribution. Material parameters, including fiber and matrix Young’s moduli (Ef, Em), shear moduli (Gf, Gm), Poisson’s ratios (νf, νm), and fiber volume fraction (Vf up to 0.80), are taken from established material property databases and implemented within a literature-informed modeling scheme. To preserve physical realism at high fiber contents, a shear correction factor is introduced for Vf > 0.50 to account for microstructural interaction and fiber clustering effects. The predicted effective elastic constants (E1, E2, G12, ν12) exhibit consistent and physically meaningful trends across the full fiber volume fraction range. The model predictions were evaluated against trends widely reported in the composite micromechanics literature, and the results showed overall agreement in the nonlinear reduction in stiffness gains at elevated fiber volume fractions. Comparative results indicate that carbon fiber/epoxy composites achieve up to approximately 30% higher stiffness than glass fiber/epoxy systems at equivalent fiber contents, reflecting the influence of stiffness contrast on composite response. The analysis further indicates that stiffness saturation begins approximately in the Vf = 0.60–0.70 range, where the incremental gains in E2 and G12 become noticeably smaller for both composite systems. This behavior provides design-relevant guidance by showing that, beyond this range, further increases in fiber content may offer limited stiffness improvement relative to the associated manufacturing complexity. Overall, the calibrated Halpin–Tsai methodology offers a practical and computationally efficient tool for preliminary evaluation and design-stage optimization of the elastic performance of high-performance composite structures. Full article
(This article belongs to the Section Polymer Composites and Nanocomposites)
Show Figures

Figure 1

19 pages, 8732 KB  
Technical Note
SMA Simulator: An Efficient Tool for Simulating the Partial Nonlinear Loading Cycles of Shape Memory Alloy Wire Actuators
by Peter L. Bishay
Actuators 2026, 15(4), 183; https://doi.org/10.3390/act15040183 - 26 Mar 2026
Viewed by 321
Abstract
The behavior of shape memory alloy (SMA) materials is more complex than linear isotropic metals because of their nonlinear thermomechanical coupling. When an SMA material is mechanically stressed or joule-heated, phase transformation happens in the material, and accordingly some material properties dramatically change. [...] Read more.
The behavior of shape memory alloy (SMA) materials is more complex than linear isotropic metals because of their nonlinear thermomechanical coupling. When an SMA material is mechanically stressed or joule-heated, phase transformation happens in the material, and accordingly some material properties dramatically change. In any loading or unloading scenario, the initial state of the material should be known because it significantly affects its behavior. Stress and strain alone are not enough to describe such materials. Temperature and martensitic fraction are also required to simulate SMA materials accurately. This paper presents a MATLAB application, called “SMA Simulator,” that was developed to simulate the nonlinear behavior of SMA wires under mechanical or thermal loads. This tool is very effective in helping users understand the shape memory and pseudoelastic effects in such smart materials, as it allows for plotting the loading path in the 3D stress–strain–temperature space while monitoring the evolution of the martensitic fraction. Any load–unload scenario can be studied, including multiple consecutive partial loading cycles. Since the application is not based on any numerical method that would require extensive meshing, the computational time is minimal, allowing users to perform more simulations and acquire results instantaneously. Full article
Show Figures

Figure 1

21 pages, 4613 KB  
Article
Linear and Nonlinear Performance Evaluation of Composite Space Truss Decks in Cable-Stayed Bridges: Suez Canal Bridge Case Study
by Hesham Fawzy Shaaban, Ayman El-Zohairy and Mohamed Atabi
Infrastructures 2026, 11(4), 112; https://doi.org/10.3390/infrastructures11040112 - 25 Mar 2026
Viewed by 287
Abstract
This study investigates the structural performance of a novel composite space truss deck system as an alternative to the conventional steel box girder in cable-stayed bridges. Using the Suez Canal Bridge as a benchmark, comprehensive linear and nonlinear finite element analyses were performed [...] Read more.
This study investigates the structural performance of a novel composite space truss deck system as an alternative to the conventional steel box girder in cable-stayed bridges. Using the Suez Canal Bridge as a benchmark, comprehensive linear and nonlinear finite element analyses were performed to evaluate the global behavior of both deck configurations under dead, live, wind, and temperature loads. The proposed system consists of a three-dimensional square-on-square truss acting compositely with a 25 cm reinforced concrete slab, designed to optimize stiffness and material efficiency. The results revealed that the composite space truss deck achieved a 5–7% reduction in mid-span deflection under live loading and a 6% increase in torsional rigidity compared with the steel box girder, while maintaining comparable self-weight (490 kg/m2 versus 480 kg/m2). The influence of geometric nonlinearity was moderate, 6.56% for the space truss and 1.64% for the box girder, whereas temperature variations of ±30 °C induced up to a 25.3% change in mid-span deflection, highlighting the space truss’s higher thermal sensitivity. Parametric analyses demonstrated that increasing the truss depth from 2.5 m to 4.0 m enhanced global stiffness by 15%, and using lightweight concrete reduced mid-span deflection by 30%. Overall, the composite space truss system offers superior stiffness-to-weight efficiency, substantial steel savings (two-thirds less), and competitive construction economy, establishing it as a promising solution for medium- and long-span cable-stayed bridges. Full article
(This article belongs to the Special Issue Sustainable Bridge Engineering)
Show Figures

Figure 1

23 pages, 4097 KB  
Article
Real-Time Damage Detection and Electromechanical Response of Steel Fiber-Reinforced Self-Sensing Concrete Under Compressive and Tensile Loading
by Ahmed S. Eisa, Ahmad A. Attia, Jozef Selín and Pavol Purcz
Buildings 2026, 16(7), 1283; https://doi.org/10.3390/buildings16071283 - 24 Mar 2026
Viewed by 283
Abstract
The integration of real-time monitoring capabilities into concrete materials offers significant potential for improving the safety and durability of building infrastructure. This study investigates the real-time electromechanical behavior of steel fiber-reinforced self-sensing concrete under compressive and splitting tensile loading. Eighteen cubes (150 × [...] Read more.
The integration of real-time monitoring capabilities into concrete materials offers significant potential for improving the safety and durability of building infrastructure. This study investigates the real-time electromechanical behavior of steel fiber-reinforced self-sensing concrete under compressive and splitting tensile loading. Eighteen cubes (150 × 150 × 150 mm) and eighteen cylinders (150 × 300 mm) containing 0.5%, 1.5%, and 3% steel fiber volume fractions were tested. Electrical resistance was continuously recorded at one-second intervals using an Arduino–ESP32-based system, enabling in situ tracking of damage evolution. The conductive steel fiber network functioned as an intrinsic sensing phase, where load-induced microstructural changes altered electrical pathways. Resistance variations consistently preceded visible cracking, with pronounced nonlinear increases observed at 65–80% of peak load, indicating micro-crack initiation. Distinct electromechanical stages were identified, including elastic stability, compaction-induced resistance reduction near yield, and rapid resistance growth during crack propagation. Higher fiber contents improved both mechanical performance and sensing sensitivity through enhanced crack-bridging and conductive network stability. Although curing age influenced baseline resistance, reliable real-time damage detection was achieved across all specimens. The findings demonstrate the feasibility of steel fiber-reinforced concrete as a cost-effective, distributed monitoring material for early damage detection in building structures. Full article
(This article belongs to the Special Issue Advances in Natural Building and Construction Materials (2nd Edition))
Show Figures

Figure 1

21 pages, 4493 KB  
Article
Direct Shear Rheological Tests on Clays and Model Analysis
by Yingguang Fang, Kang Gao, Zhenfeng Ou and Renguo Gu
Buildings 2026, 16(6), 1246; https://doi.org/10.3390/buildings16061246 - 21 Mar 2026
Viewed by 199
Abstract
This study aims to investigate the influence of clay mineral content on the rheological properties and long-term deformation stability of clays, and to establish a unified model capable of quantitatively describing the nonlinear rheological behavior of clays with different mineral compositions. Direct shear [...] Read more.
This study aims to investigate the influence of clay mineral content on the rheological properties and long-term deformation stability of clays, and to establish a unified model capable of quantitatively describing the nonlinear rheological behavior of clays with different mineral compositions. Direct shear rheological tests were conducted on specimens prepared with different mixing ratios of bentonite, kaolin, and quartz. Combined with micro-mechanism analysis, the controlling factors of clay rheological behavior were explored. The experimental results show that the creep stress threshold, elastic viscosity, and average plastic viscosity decrease significantly with increasing clay mineral content. The rheological deformation exhibits distinct nonlinear characteristics, and clay mineral content plays a controlling role in the rheological behavior. Based on experimental and mechanistic analysis, a unified rheological model was established, which reflects the material origin of rheology and captures nonlinear rheological characteristics. This model can predict the entire time-history mechanical behavior of clays with different mineral compositions across the three stages of instantaneous deformation, decay rheology, and steady-state rheology under different shear stress levels using a single set of parameters. Validation was performed through direct shear rheological tests under 50 working conditions for five types of clay specimens, demonstrating good consistency between the model calculations and experimental results. The unified rheological model reveals the material origin and physical essence of clay rheology, demonstrates high universality, and advances the understanding of the influence of mineral composition on rheology from the current phenomenological qualitative description to quantitative calculation for the first time, significantly enhancing its engineering application value. This provides a more reliable tool for predicting long-term deformation and assessing the stability of clay foundations. Full article
(This article belongs to the Section Building Structures)
Show Figures

Figure 1

15 pages, 1844 KB  
Review
Transverse Mechanical Response of Carbon Nanotube Yarns: An Experimental Study Using Atomic Force Microscopy and Raman Spectroscopy
by Iriana Garcia Guerra, Deissy. J. Feria, Gustavo M. A. Alves, Jandro L. Abot, Inés Pereyra and Marcelo N. P. Carreño
C 2026, 12(1), 27; https://doi.org/10.3390/c12010027 - 20 Mar 2026
Viewed by 399
Abstract
Carbon nanotube yarns (CNTYs) have received more consideration recently due to their excellent specific mechanical, electrical and thermal properties, making them promising materials for different applications. Until now, the axial properties of the yarn have been thoroughly investigated; however, the transverse or radial [...] Read more.
Carbon nanotube yarns (CNTYs) have received more consideration recently due to their excellent specific mechanical, electrical and thermal properties, making them promising materials for different applications. Until now, the axial properties of the yarn have been thoroughly investigated; however, the transverse or radial properties, orthogonal to the fiber axis, remain relatively unknown due to the challenges associated with their measurement. In this study, the transverse or radial response of the CNTY including its elastic modulus was determined using Atomic Force Microscopy (AFM) and Raman Spectroscopy. Determining transverse properties in fibrous materials presents challenges owing to their geometry, inherent anisotropy, whereby mechanical characteristics exhibit directional disparities; i.e., the properties in the transverse direction may be several orders of magnitude smaller than those in the axial direction. To overcome these difficulties, AFM was utilized to perform nanoindentation experiments, where a tipless flexible cantilever probe was used to apply a controlled force to the CNTY surface. The resulting indentation depth was then analyzed to determine the transversal elastic modulus. Preliminary findings indicate that the transverse elastic modulus of the CNTYs ranges from 10–54 kPa for strain levels below 3%. Complementary Raman spectroscopy provided insight into the bulk-scale mechanical behavior of CNTYs. Incremental compressive loading between microscope slides induced nonlinear upshifts in the 2D Raman band (from ~2686.6 to 2691.4 cm−1), indicating nanoscale tube realignment, inter-tube densification, and compaction. From lateral diameter measurements under load, a stress–strain curve was constructed, revealing three distinct regimes: one with an initial elastic modulus of 3.12 MPa (0.3–11.2% strain), another one with an elastic modulus increasing to 8.46 MPa (11.2–14.4%), and finally one with an elastic modulus peaking at 16.86 MPa beyond 14.4% strain. Together, these methods delineate the hierarchical and anisotropic nature of CNTYs, validating the importance of multiscale mechanical characterization for their deployment in piezoresistive sensors and multifunctional composites. This study establishes a robust framework for quantifying the transverse mechanical response of CNTYs. Full article
(This article belongs to the Collection Novel Applications of Carbon Nanotube-Based Materials)
Show Figures

Figure 1

18 pages, 4206 KB  
Article
Aggregated vs. Isolated Seismic Response of a Historic Masonry Compound Before and After Integrated Retrofit Interventions
by Giovanna Longobardi and Antonio Formisano
Buildings 2026, 16(6), 1208; https://doi.org/10.3390/buildings16061208 - 18 Mar 2026
Viewed by 180
Abstract
The evaluation of the seismic behavior of masonry aggregates, which characterize Italian historic centres, is a challenging and widely debated topic in the field of structural engineering. These constructions, composed of several adjacent structural units, tend to exhibit both global and local damage [...] Read more.
The evaluation of the seismic behavior of masonry aggregates, which characterize Italian historic centres, is a challenging and widely debated topic in the field of structural engineering. These constructions, composed of several adjacent structural units, tend to exhibit both global and local damage when subjected to horizontal seismic actions—loads that were not considered at the time of their original construction. Developed over centuries of unplanned urban growth, they are based on empirical construction rules and locally sourced materials. Due to their poor thermal properties, these buildings are also affected by significant heat losses, resulting in reduced indoor comfort. In this context, the present study aims to evaluate the seismic performance of a masonry aggregate and two of its constituent structural units located in Visso, in the province of Macerata, an area severely affected by the 2016 Central Italy seismic sequence, both before and after the application of an innovative integrated retrofitting solution. The proposed strengthening system combines aluminium alloy exoskeleton with insulating sandwich panels, simultaneously addressing seismic vulnerability and energy inefficiency. The assessment is carried out through numerical analyses, including nonlinear static and dynamic approaches, to achieve a comprehensive understanding of the structural response. Moreover, a comparative analysis between the masonry aggregate and the two individual structural units, modelled as isolated buildings, is performed to investigate the influence of structural interaction among adjacent units. The results demonstrate the effectiveness of the proposed retrofitting strategy, highlighting a significant improvement in global stability. Furthermore, the comparison confirms the critical role of inter-unit interaction and underscores the necessity of modelling historic masonry aggregates rather than isolated buildings to obtain a more realistic seismic performance evaluation. Full article
Show Figures

Figure 1

35 pages, 10688 KB  
Article
A G-Code-Driven Modeling and Thermo-Mechanical Coupling Analysis Method for the FDM Process of Complex Lightweight Structures
by Dinghe Li, Yiheng Dun, Zhuoran Yang, Rui Zhou and Yuxia Chen
Materials 2026, 19(6), 1200; https://doi.org/10.3390/ma19061200 - 18 Mar 2026
Viewed by 263
Abstract
Accurate prediction of thermo-mechanical behavior in Fused Deposition Modeling (FDM) is often limited by mismatches between idealized Computer-Aided Design (CAD) geometry and path-dependent material deposition. This paper presents a G-code-driven, filament-level modeling and process-simulation workflow for complex geometries and infill strategies, especially toolpaths [...] Read more.
Accurate prediction of thermo-mechanical behavior in Fused Deposition Modeling (FDM) is often limited by mismatches between idealized Computer-Aided Design (CAD) geometry and path-dependent material deposition. This paper presents a G-code-driven, filament-level modeling and process-simulation workflow for complex geometries and infill strategies, especially toolpaths with in-plane inclinations. Extrusion segments are parsed from slicing G-code to obtain endpoints and process parameters, and each filament is reconstructed as a path-aligned rectangular bead using a dedicated local coordinate system. Progressive deposition is simulated in ANSYS Parametric Design Language (APDL) via an element birth–death method, enhanced by a centroid-based element selection strategy that reduces dependence on strictly aligned hexahedral partitions and improves robustness for complex meshes. A nonlinear transient thermal analysis is performed, and temperatures are mapped to the structural model through an indirect thermo-mechanical coupling scheme to predict warpage and residual stresses. Case studies on square plates with triangular and hexagonal infills (with/without sidewalls and a bottom base) show that the high-temperature zone follows newly deposited paths with peak temperatures near 220 °C, while displacement and von Mises stress accumulate and are strongly affected by infill topology and boundary conditions. Full article
(This article belongs to the Section Manufacturing Processes and Systems)
Show Figures

Graphical abstract

14 pages, 2274 KB  
Article
Ruthenium Materials: Synthesis, Characterization, Optical, Antioxidant, and Anticancer Applications
by Sampath Krishnan, Anusha Karunakaran, Nagoor Meeran Mohamed Ibrahim, Sampath Gayathri, Jong Hun Han and Paulraj Arunkumar
Processes 2026, 14(6), 947; https://doi.org/10.3390/pr14060947 - 16 Mar 2026
Viewed by 340
Abstract
The technological promise of nonlinear optical (NLO) compounds has stimulated intense interest in optoelectronic devices, data storage, photonics, and anticancer therapy. Thiosemicarbazone ruthenium materials are of growing interest because of their tunable ligand framework and coordination sphere, allowing fine control over geometry, electronics, [...] Read more.
The technological promise of nonlinear optical (NLO) compounds has stimulated intense interest in optoelectronic devices, data storage, photonics, and anticancer therapy. Thiosemicarbazone ruthenium materials are of growing interest because of their tunable ligand framework and coordination sphere, allowing fine control over geometry, electronics, and functional properties. Here, we report an N-substituted salicylaldehyde thiosemicarbazone ligand and a series of octahedral Ru(III) complexes bearing triphenylphosphine or triphenylarsine and halide (Cl, Br) co-ligands. The complexes were characterized by elemental analysis, FT-IR, UV–Vis, EPR, mass spectrometry, and magnetic susceptibility measurements, which together confirm NS-chelation to a low-spin Ru(III) center in a distorted octahedral environment. Their photophysical and NLO responses were assessed by UV–Vis spectroscopy and powder second-harmonic generation measurements (Kurtz–Perry method), revealing promising NLO behavior. In parallel, antioxidant activity and in vitro anticancer effects against HeLa cells were evaluated by 2,2-diphenyl-1-picrylhydrazyl (DPPH) radical-scavenging and 3-(4,5-dimethylthiazol-2-yl)-2,5-diphenyltetrazolium bromide (MTT) cytotoxicity assays. These results provide insight into ligand-controlled structure–activity relationships, in which the halide (Cl/Br) and ancillary triarylphosphine co-ligands regulate electronic interactions and lipophilicity and ultimately increase biological performance, underscoring the dual materials and medicinal potential of these Ru(III) complexes. Full article
(This article belongs to the Section Materials Processes)
Show Figures

Graphical abstract

22 pages, 4057 KB  
Article
A Fractional Calculus-Based Constitutive Model for the Coupled Stress Relaxation of Soil Anchors in Saturated Clay and Parameter Sensitivity Analysis
by Taiyu Liu, Dongyu Luo, Guanxixi Jiang and Cheng Sun
Appl. Sci. 2026, 16(6), 2845; https://doi.org/10.3390/app16062845 - 16 Mar 2026
Viewed by 227
Abstract
The long-term prestress relaxation of soil anchors embedded in saturated clay is a critical issue affecting the safety of geotechnical structures such as slopes and foundation pits. Traditional integer-order constitutive models are often unable to accurately describe the nonlinear and time-dependent relaxation behavior [...] Read more.
The long-term prestress relaxation of soil anchors embedded in saturated clay is a critical issue affecting the safety of geotechnical structures such as slopes and foundation pits. Traditional integer-order constitutive models are often unable to accurately describe the nonlinear and time-dependent relaxation behavior observed in such anchorage systems. Based on fractional calculus theory, this study establishes a constitutive model for the coupled stress relaxation behavior of soil anchors and saturated clay. The Riemann–Liouville fractional derivative and the two-parameter Mittag-Leffler function are introduced to represent the material memory effect and continuous relaxation characteristics. To achieve reliable parameter identification, a hybrid optimization strategy combining the Adaptive Hybrid Differential Evolution (AHDE) algorithm and the Levenberg–Marquardt (L-M) method is proposed. The proposed model and identification approach are validated using field monitoring data from soil anchors in a slope engineering project at the Guangxi Friendship Pass Port. The results show that the proposed model can accurately reproduce the entire stress relaxation process, with a coefficient of determination of R2 = 0.9517. Parameter sensitivity analysis further clarifies the influence of key parameters, including the fractional order and viscosity coefficient. The proposed approach provides a systematic theoretical framework and practical reference for the analysis and prediction of long-term prestress relaxation in soil anchorage systems. Full article
(This article belongs to the Section Civil Engineering)
Show Figures

Figure 1

21 pages, 6169 KB  
Article
A Design Method for Hydraulic Oscillator Excitation Parameters Considering Drilling Conditions and Formation Characteristics
by Xin He, Gonghui Liu, Tian Chen, Jun Li, Wei Wang, Shichang Li and Lincong Wang
Appl. Sci. 2026, 16(6), 2705; https://doi.org/10.3390/app16062705 - 12 Mar 2026
Viewed by 235
Abstract
Horizontal well drilling is the mainstream technology for developing deep oil and gas resources. Engineering practice has demonstrated that hydraulic oscillators can solve the problem of the backing pressure of pipe strings and improve drilling efficiency. However, the design of excitation parameters for [...] Read more.
Horizontal well drilling is the mainstream technology for developing deep oil and gas resources. Engineering practice has demonstrated that hydraulic oscillators can solve the problem of the backing pressure of pipe strings and improve drilling efficiency. However, the design of excitation parameters for hydraulic oscillators is currently largely based on idealized friction models and does not fully consider the nonlinear characteristics of friction between the drill string and the formation, resulting in a lack of quantitative basis for parameter selection under different operating conditions. A series of laboratory friction tests was conducted to systematically characterize the dependence of interfacial friction behavior on sliding velocity across different combinations of drill string materials, drilling fluid systems, and rock lithologies. Based on the experimentally determined velocity–friction relationships, a drill string dynamic model incorporating a hydraulic oscillator was developed in which nonlinear frictional effects at the interface were explicitly represented. Using this modeling framework, parametric simulations were carried out to examine how variations in excitation amplitude and excitation frequency influence drag reduction performance under diverse operating conditions. The simulation results indicate that the contribution of drill string material to overall drag reduction effectiveness is comparatively limited, whereas drilling fluid type plays a dominant regulatory role. Oil-based drilling fluids significantly enhance drag reduction performance relative to water-based systems and exhibit greater responsiveness to adjustments in excitation parameters. Rock lithology exerts a pronounced influence on the effectiveness of drag reduction. When water-based drilling fluids are used, the overall performance ranks from highest to lowest as limestone, shale, and sandstone. In contrast, under oil-based drilling fluid conditions, the relative ordering shifts to shale, followed by sandstone, and then limestone. Excitation amplitude is the dominant parameter in enhancing drag reduction capability, and in most cases, its incremental effect exceeds that of excitation frequency; however, under certain specific operating conditions, increasing the excitation frequency can provide additional drag reduction benefits. Based on the above findings, a hydraulic oscillator excitation parameter design method was proposed that matches drilling conditions and formation characteristics by distinguishing between different drilling fluid environments and lithologies, with amplitude as the primary control parameter and frequency as a supplementary parameter. This method provides a theoretical foundation for the design of output parameters of hydraulic oscillators operating under diverse working conditions. Full article
(This article belongs to the Special Issue Development of Intelligent Software in Geotechnical Engineering)
Show Figures

Figure 1

27 pages, 4842 KB  
Article
A Physically Based 1D Finite Element Framework for Long-Term Flexural Response of Reinforced Concrete Beams
by Bassel Bakleh, George Wardeh, Hala Hasan, Ali Jahami and Antonio Formisano
CivilEng 2026, 7(1), 15; https://doi.org/10.3390/civileng7010015 - 10 Mar 2026
Viewed by 370
Abstract
The long-term behavior of reinforced concrete (RC) structures under sustained loading is strongly affected by creep and cracking, particularly under service conditions where tension stiffening and curvature changes are significant. This study investigates the flexural response of cracked RC beams through combined numerical [...] Read more.
The long-term behavior of reinforced concrete (RC) structures under sustained loading is strongly affected by creep and cracking, particularly under service conditions where tension stiffening and curvature changes are significant. This study investigates the flexural response of cracked RC beams through combined numerical and experimental analyses. A new 1D finite element model is proposed, integrating nonlinear material behavior, damage mechanics, and time-dependent effects, including creep in both compression and tension. The model relies on a layered fiber section approach and uses a Newton–Raphson iterative procedure to solve equilibrium, allowing accurate prediction of strain, curvature, and internal force evolution over time. The model shows excellent agreement with experimental observations and ABAQUS simulations, accurately capturing deflection trends and crack development. Its performance is further validated using a database of 55 RC beams, including specimens with recycled aggregates and fiber reinforcement. Across this dataset, 84.5% of predicted deflections fall within ±1 mm of measured values, with an R2 of 0.960, demonstrating strong reliability. A Sobol-based sensitivity analysis identifies load ratio as the most influential parameter on long-term deflection, followed by concrete strength and humidity. Overall, the model offers an efficient and robust tool for long-term deflection prediction, bridging simplified design rules and complex 3D simulations. Full article
(This article belongs to the Section Mathematical Models for Civil Engineering)
Show Figures

Figure 1

Back to TopTop