SMA Simulator: An Efficient Tool for Simulating the Partial Nonlinear Loading Cycles of Shape Memory Alloy Wire Actuators
Abstract
1. Introduction
2. Materials and Methods
2.1. Theoretical Background
2.2. SMA Simulator MATLAB Application
3. Results
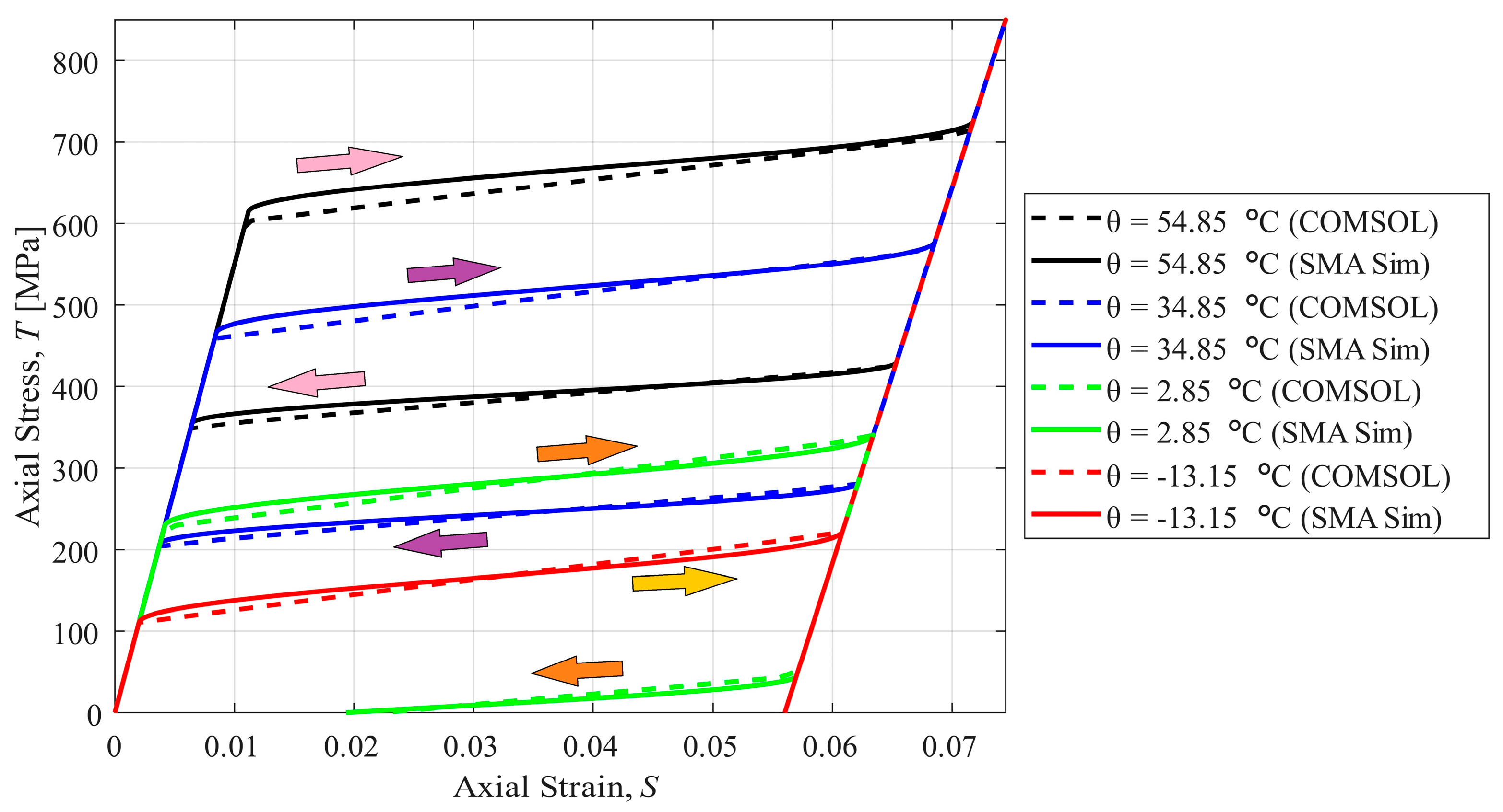
3.1. Tool Validation
3.2. Example Simulations
4. Discussion and Conclusions
Supplementary Materials
Funding
Data Availability Statement
Acknowledgments
Conflicts of Interest
Nomenclature
| Roman Symbols | |||
| Symbol | Description | Unit | |
| Cross-sectional area of SMA wire | m2 | ||
| Convective surface area of SMA wire | m2 | ||
| Austenite start temperature | °C | ||
| Austenite finish temperature | °C | ||
| Effective austenite start temperature | °C | ||
| Effective austenite finish temperature | °C | ||
| Austenite transformation constant | Pa | ||
| Martensite transformation constant | Pa | ||
| Specific heat capacity | J·kg−1·°C−1 | ||
| D | SMA wire diameter | m | |
| Convective heat transfer coefficient | J·m−2·°C−1·s−1 | ||
| Electric current intensity | A | ||
| Martensite start temperature | °C | ||
| Martensite finish temperature | °C | ||
| Effective martensite start temperature | °C | ||
| Effective martensite finish temperature | °C | ||
| R | Electrical resistance per unit length | Ω·m−1 | |
| Resistivity | Electrical resistivity of SMA material | Ω·m | |
| Strain | — | ||
| Initial strain | — | ||
| Maximum recoverable strain | — | ||
| Time | s | ||
| Time required to reach desired temperature | s | ||
| Thermal time constant | s | ||
| T | Applied stress | Pa | |
| Initial stress | Pa | ||
| Young’s modulus of SMA | Pa | ||
| Young’s modulus of austenite | Pa | ||
| Young’s modulus of martensite | Pa | ||
| Greek Symbols | |||
| Symbol | Description | Unit | |
| Austenite phase transformation parameter (π/(Af − As)) | °C−1 | ||
| Martensite phase transformation parameter (π/(Ms − Mf)) | °C−1 | ||
| Material density | kg·m−3 | ||
| Wire temperature | °C | ||
| Wire temperature as a function of time | °C | ||
| Initial temperature | °C | ||
| Ambient temperature | °C | ||
| Steady-state temperature | °C | ||
| Desired temperature | °C | ||
| Martensitic volume fraction | — | ||
| Initial martensitic fraction | — | ||
References
- Mohd Jani, J.; Leary, M.; Subic, A.; Gibson, M.A. A Review of Shape Memory Alloy Research, Applications and Opportunities. Mater. Des. (1980–2015) 2014, 56, 1078–1113. [Google Scholar] [CrossRef]
- Barbarino, S.; Saavedra Flores, E.I.; Ajaj, R.M.; Dayyani, I.; Friswell, M.I. A Review on Shape Memory Alloys with Applications to Morphing Aircraft. Smart Mater. Struct. 2014, 23, 063001. [Google Scholar] [CrossRef]
- Naresh, C.; Bose, P.S.C.; Rao, C.S.P. Shape Memory Alloys: A State of Art Review. IOP Conf. Ser. Mater. Sci. Eng. 2016, 149, 012054. [Google Scholar] [CrossRef]
- Shape Memory Alloys: Modeling and Engineering Applications; Springer: Boston, MA, USA, 2008.
- Holman, H.; Kavarana, M.N.; Rajab, T.K. Smart Materials in Cardiovascular Implants: Shape Memory Alloys and Shape Memory Polymers. Artif. Organs 2021, 45, 454–463. [Google Scholar] [CrossRef] [PubMed]
- Morgan, N.B. Medical Shape Memory Alloy Applications—The Market and Its Products. Mater. Sci. Eng. A 2004, 378, 16–23. [Google Scholar] [CrossRef]
- Fernandes, D.J.; Peres, R.V.; Mendes, A.M.; Elias, C.N. Understanding the Shape-Memory Alloys Used in Orthodontics. ISRN Dent. 2011, 2011, 132408. [Google Scholar] [CrossRef]
- Miličić Lazić, M.; Popović Bajić, M.; Đorđević, I.; Živković, M.; Lazić, V.; Jokanović, V.; Nasov, I.; Živković, S. A Brief Overview and Application of Nickel-Titanium Shape Memory Alloy in Dentistry. In Titanium-Based Alloys—Characteristics and Applications; Vizureanu, P., Simona Baltatu, M., Eds.; IntechOpen: London, UK, 2024. [Google Scholar]
- Bishay, P.L.; Fontana, J.; Raquipiso, B.; Rodriguez, J.; Borreta, M.J.; Enos, B.; Gay, T.; Mauricio, K. Development of a Biomimetic Transradial Prosthetic Arm with Shape Memory Alloy Muscle Wires. Eng. Res. Express 2020, 2, 035041. [Google Scholar] [CrossRef]
- Bishay, P.; Aguilar, C.; Amirbekyan, A.; Vartanian, K.; Arjon-Ramirez, M.; Pucio, D. Design of a Lightweight Shape Memory Alloy Stroke-Amplification and Locking System in a Transradial Prosthetic Arm. In Proceedings of the ASME 2021 Conference on Smart Materials, Adaptive Structures and Intelligent Systems; American Society of Mechanical Engineers: New York, NY, USA, 2021; p. V001T05A015. [Google Scholar]
- Petrini, L.; Migliavacca, F. Biomedical Applications of Shape Memory Alloys. J. Metall. 2011, 2011, 501483. [Google Scholar] [CrossRef]
- Srivastava, R.; Alsamhi, S.H.; Murray, N.; Devine, D. Shape Memory Alloy-Based Wearables: A Review, and Conceptual Frameworks on HCI and HRI in Industry 4.0. Sensors 2022, 22, 6802. [Google Scholar] [CrossRef]
- Xu, L.; Zhu, M.; Zhao, J.; Chen, M.; Shi, M. The Utilization of Shape Memory Alloy as a Reinforcing Material in Building Structures: A Review. Materials 2024, 17, 2634. [Google Scholar] [CrossRef]
- Romančík, J.; Miková, Ľ.; Šarga, P.; Kelemenová, T.; Kelemen, M. Shape Memory Alloy Actuators in Robotics. Actuators 2026, 15, 162. [Google Scholar] [CrossRef]
- Hartl, D.J.; Lagoudas, D.C. Aerospace Applications of Shape Memory Alloys. Proc. Inst. Mech. Eng. Part G J. Aerosp. Eng. 2007, 221, 535–552. [Google Scholar] [CrossRef]
- Sellitto, A.; Riccio, A. Overview and Future Advanced Engineering Applications for Morphing Surfaces by Shape Memory Alloy Materials. Materials 2019, 12, 708. [Google Scholar] [CrossRef]
- Costanza, G.; Tata, M.E. Shape Memory Alloys for Aerospace, Recent Developments, and New Applications: A Short Review. Materials 2020, 13, 1856. [Google Scholar] [CrossRef] [PubMed]
- Padilla, A.; Bishay, P.L.; Pishvar, M. Active Composite Plates with Embedded Shape-Memory Alloy Wires for Vibration Damping. Actuators 2026, 15, 148. [Google Scholar] [CrossRef]
- Chen, K.C.; Crone, W.C.; Voss, E.J. Shape Memory Alloys for Classroom Demonstrations, Laboratories, and Student Projects. MRS Proc. 2004, 827, 391–396. [Google Scholar] [CrossRef]
- Song, G.; Bannerot, R. Development Of An Interactive Shape Memory Alloy Demonstration For Smart Materials Curricula. In Proceedings of the 2007 Annual Conference & Exposition Proceedings; ASEE Conferences: Honolulu, HI, USA, 2007; pp. 12.525.1–12.525.10. [Google Scholar]
- Amariei, D.; Frunzaverde, D.; Vela, I.; Gillich, G.R. Educational Stand Using Shape Memory Alloys to Enhance Teaching of Smart Materials. Procedia-Soc. Behav. Sci. 2010, 2, 5104–5108. [Google Scholar] [CrossRef][Green Version]
- Qi, J.; Buechley, L. Animating Paper Using Shape Memory Alloys. In Proceedings of the SIGCHI Conference on Human Factors in Computing Systems; ACM: Austin, TX, USA, 2012; pp. 749–752. [Google Scholar]
- Hefzy, M.; Elahinia, M.; Jahadakbar, A.; Arn, B.; Nematollahi, M. Demonstration of Shape Memory and Super-Elastic Effects of Nitinol Alloys. In Proceedings of the 2020 ASEE Virtual Annual Conference Content Access Proceedings; ASEE Conferences: Charlotte, NC, USA, 2020; p. 34379. [Google Scholar]
- Wang, N.; Weng, J.; Chen, X.; Song, G.; Parsaei, H. Development of a Remote Shape Memory Alloy Experiment for Engineering Education. Eng. Educ. Lett. 2014, 2015, 108867119. [Google Scholar] [CrossRef]
- Tarng, W.; Chen, C.-J.; Lee, C.-Y.; Lin, C.-M.; Lin, Y.-J. Application of Virtual Reality for Learning the Material Properties of Shape Memory Alloys. Appl. Sci. 2019, 9, 580. [Google Scholar] [CrossRef]
- Santi, R.; Papile, F.; Marinelli, A.; De Liguori, M.; Campus, G.; Del Curto, B.; Zurlo, F. Sma-Tech Epiphanies: An Educational Activity to Design for Technological Innovation with Shape Memory Alloys. In Proceedings of the 14th International Technology, Education and Development Conference, Valencia, Spain, 2–4 March 2020; pp. 6407–6415. [Google Scholar]
- Tan, F.L.; Fok, S.C. Development of a Computer-aided Educational Tool Incorporating MATLAB for Engineering Measurements. Comput. Appl. Eng. 2009, 17, 206–213. [Google Scholar] [CrossRef]
- Ramirez-Cortes, J.M.; Alarcon-Aquino, V.; Gomez-Gil, P.; Diaz-Mendez, A.; Ibarra-Bonilla, M.; García-Enriquez, I. Interactive Educational Tool for Compensators Design in MATLAB® Using Frequency Response Analysis. Comput. Appl. Eng. 2014, 22, 699–707. [Google Scholar] [CrossRef]
- Katsanos, E.I.; Taskari, O.N.; Sextos, A.G. A Matlab-based Educational Tool for the Seismic Design of Flexibly Supported RC Buildings. Comput. Appl. Eng. 2014, 22, 442–451. [Google Scholar] [CrossRef]
- Panagiotopoulos, C.G.; Manolis, G.D. A Web-based Educational Software for Structural Dynamics. Comput. Appl. Eng. 2016, 24, 599–614. [Google Scholar] [CrossRef]
- Türkkan, Y.A.; Eryılmaz Türkkan, G.; Yılmaz, H. A Visual Application for Teaching Pipe Flow Optimization in Engineering Curricula. Comput. Appl. Eng. 2020, 28, 154–159. [Google Scholar] [CrossRef]
- Bishay, P.L. Teaching the Finite Element Method Fundamentals to Undergraduate Students through Truss Builder and Truss Analyzer Computational Tools and Student-generated Assignments Mini-projects. Comput. Appl. Eng. Educ. 2020, 28, 1007–1027. [Google Scholar] [CrossRef]
- Bishay, P.L. Teaching Design of Composite Structures through Composite Analysis and Design Apps (CADA) and Design Challenges. Comput. Appl. Eng. 2022, 30, 1036–1059. [Google Scholar] [CrossRef]
- Wheeler, R.W.; Benafan, O.; Calkins, F.T.; Gao, X.; Ghanbari, Z.; Hommer, G.; Lagoudas, D.; Martin, D.; Nicholson, D.E.; Petersen, A.; et al. Engineering Design Tools for Shape Memory Alloy Actuators: CASMART Collaborative Best Practices and Case Studies. J. Intell. Mater. Syst. Struct. 2019, 30, 2808–2830. [Google Scholar] [CrossRef]
- Walgren, P.; Mingear, J.; Hartl, D. SMA-REACT: An Open-Source Toolkit for Shape Memory Alloy Data Visualization and Constitutive Model Calibration. Shap. Mem. Superelast. 2025. [Google Scholar] [CrossRef]
- Kuner, M.C.; Karakalas, A.A.; Lagoudas, D.C. ASMADA—A Tool for Automatic Analysis of Shape Memory Alloy Thermal Cycling Data under Constant Stress. Smart Mater. Struct. 2021, 30, 125003. [Google Scholar] [CrossRef]
- Caltagirone, P.E.; Benafan, O. Shape Memory Materials Analysis and Research Tool (SM2ART): Finding Data Anomalies and Trends. Shap. Mem. Superelasticity 2023, 9, 558–584. [Google Scholar] [CrossRef]
- Leo, D.J. Engineering Analysis of Smart Material Systems, 1st ed.; Wiley: Hoboken, NJ, USA, 2007. [Google Scholar]
- Auricchio, F.; Bonetti, E.; Scalet, G.; Ubertini, F. Theoretical and Numerical Modeling of Shape Memory Alloys Accounting for Multiple Phase Transformations and Martensite Reorientation. Int. J. Plast. 2014, 59, 30–54. [Google Scholar] [CrossRef]
- Cisse, C.; Zaki, W.; Ben Zineb, T. A Review of Constitutive Models and Modeling Techniques for Shape Memory Alloys. Int. J. Plast. 2016, 76, 244–284. [Google Scholar] [CrossRef]
- Uniaxial Loading of a Shape Memory Alloy. COMSOL Multiphysics Tutorial. Available online: https://www.comsol.com/model/download/1562741/models.nsm.uniaxial_loading_of_shape_memory_alloy.pdf (accessed on 10 January 2026).















| Material | [°C] | [°C] | [°C] | [°C] | [MPa/°C] | [MPa/°C] | [MPa] | [MPa] |
| Nitinol 1 | 5 | 23 | 29 | 51 | 11.3 | 4.5 | 13,000 | 32,500 |
| Nitinol 2 | 10 | 17 | 31 | 44 | 7 | 11 | 20,000 | 62,000 |
| Material | [kg/m3] | [J/(m2·s·°C)] | [J/(kg·°C)] | Resistivity [μΩ·cm] | ||||
| Nitinol 1 | 0.07 | 6450 | 150 | 1308 | 76 | |||
| Nitinol 2 | 0.06 | 6450 | 140 | 1046 | 66 | |||
Disclaimer/Publisher’s Note: The statements, opinions and data contained in all publications are solely those of the individual author(s) and contributor(s) and not of MDPI and/or the editor(s). MDPI and/or the editor(s) disclaim responsibility for any injury to people or property resulting from any ideas, methods, instructions or products referred to in the content. |
© 2026 by the author. Licensee MDPI, Basel, Switzerland. This article is an open access article distributed under the terms and conditions of the Creative Commons Attribution (CC BY) license.
Share and Cite
Bishay, P.L. SMA Simulator: An Efficient Tool for Simulating the Partial Nonlinear Loading Cycles of Shape Memory Alloy Wire Actuators. Actuators 2026, 15, 183. https://doi.org/10.3390/act15040183
Bishay PL. SMA Simulator: An Efficient Tool for Simulating the Partial Nonlinear Loading Cycles of Shape Memory Alloy Wire Actuators. Actuators. 2026; 15(4):183. https://doi.org/10.3390/act15040183
Chicago/Turabian StyleBishay, Peter L. 2026. "SMA Simulator: An Efficient Tool for Simulating the Partial Nonlinear Loading Cycles of Shape Memory Alloy Wire Actuators" Actuators 15, no. 4: 183. https://doi.org/10.3390/act15040183
APA StyleBishay, P. L. (2026). SMA Simulator: An Efficient Tool for Simulating the Partial Nonlinear Loading Cycles of Shape Memory Alloy Wire Actuators. Actuators, 15(4), 183. https://doi.org/10.3390/act15040183

