Sign in to use this feature.

Years

Between: -

Subjects

remove_circle_outline
remove_circle_outline
remove_circle_outline
remove_circle_outline
remove_circle_outline
remove_circle_outline
remove_circle_outline
remove_circle_outline
remove_circle_outline

Journals

Article Types

Countries / Regions

remove_circle_outline
remove_circle_outline
remove_circle_outline
remove_circle_outline

Search Results (176)

Search Parameters:
Keywords = marine concrete structures

Order results
Result details
Results per page
Select all
Export citation of selected articles as:
28 pages, 8131 KB  
Article
Carbonation Depth, Corrosion Assessment, Repairing, and Strengthening of 49-Year-Old Marine Reinforced Concrete Structures
by Muttaqin Hasan, Syarizal Fonna, Taufiq Saidi, Purwandy Hasibuan, Fachrurrazi Bukhary, Rahmad Dawood, Mahlil and Azzaki Mubarak
Buildings 2025, 15(22), 4088; https://doi.org/10.3390/buildings15224088 (registering DOI) - 13 Nov 2025
Abstract
This study aims to present the results from the assessment of carbonation depth, corrosion, and compressive strength of real marine structures in a 49-year-old gas processing industry. The assessment was achieved through visual observations and non-destructive tests, including rebound hammer test, ultrasonic pulse [...] Read more.
This study aims to present the results from the assessment of carbonation depth, corrosion, and compressive strength of real marine structures in a 49-year-old gas processing industry. The assessment was achieved through visual observations and non-destructive tests, including rebound hammer test, ultrasonic pulse velocity (UPV) test, and potential corrosion mapping, conducted in the field. Several cylindrical samples were also cored to test the concrete compressive strength and carbonation depth. The results were subsequently used to calculate the remaining load-bearing capacity of the structures. The observations and measurements showed that carbonation depth ranged from 0 to 63% of the concrete cover, and potential corrosion was at a low to medium level in areas where corrosion had not occurred, while the actual compressive strength is still above the design strength. Moreover, based on the UPV test, the pulse velocity of the concrete is around 3600 m/s, indicating a good concrete quality. Meanwhile, severe corrosion of reinforcing steel occurred locally and only at certain places, which caused a very significant reduction in the diameter and cracks as well as spalling of the concrete cover. The process further led to a significant reduction in the load-bearing capacity. Therefore, repairing and strengthening of the structures were proposed using epoxy resin with corrosion inhibitor, cementitious, polymer-modified repair mortar containing reactive micro-silica, Carbon Fiber Reinforced Polymer (CFRP) rods, and CFRP sheets. The proposed method can be applied to these structures and also serves as a reference for repairing and strengthening other structures experiencing the same issue. Full article
(This article belongs to the Special Issue Inspection, Maintenance and Retrofitting of Existing Buildings)
Show Figures

Figure 1

14 pages, 1784 KB  
Article
The Moisture Effect on Ultrasonic, Rebound Hardness and Drilling Resistance Data in Non-Destructive Testing of Concrete
by Uldis Lencis, Rauls Klaucans, Aigars Udris, Aleksandrs Korjakins, Xiangming Zhou and Girts Bumanis
Appl. Sci. 2025, 15(22), 11973; https://doi.org/10.3390/app152211973 - 11 Nov 2025
Abstract
As the volume of reinforced concrete structures continues to grow, it is important to determine the quality of concrete in the shortest time possible. Therefore, the development and validation of methods for non-destructive testing (NDT) of concrete structures are becoming increasingly important. However, [...] Read more.
As the volume of reinforced concrete structures continues to grow, it is important to determine the quality of concrete in the shortest time possible. Therefore, the development and validation of methods for non-destructive testing (NDT) of concrete structures are becoming increasingly important. However, some factors may affect the accuracy of the measurement results obtained as concrete is often exposed to a moist environment, e.g., in marine structures. Ignoring these factors may lead to an inaccurate interpretation of measurements. Therefore, in this research, the water saturation factor of concrete was investigated in response to various NDT methods. C25/30 and C40/50 MPa concrete were evaluated using ultrasonic pulse velocity and rebound hardness devices, and for the first time, a drilling resistance (DR) method was systematically adapted and validated for moisture-affected concrete testing. Unlike conventional approaches that only consider surface effects, the DR method introduced here provides in-depth profiling of concrete, revealing variations in resistance with depth and identifying zones influenced by internal moisture distribution. This study demonstrates that the DR method can complement traditional NDT techniques, providing a more reliable evaluation of moisture-induced variations in concrete properties. Moreover, with the novel DR method, changes in the mechanical response with depth have been quantified, offering new insight into internal moisture effects that are not accessible by conventional NDT methods. Full article
(This article belongs to the Special Issue Advances in Structural Health Monitoring in Civil Engineering)
Show Figures

Figure 1

22 pages, 3002 KB  
Article
Chloride Resistance of High-Strength Concrete Subjected to Different Curing Conditions and Chloride Concentrations
by Zhengyu Wu, Dayou Luo, Shuai Li and Zhiguo Li
Infrastructures 2025, 10(11), 300; https://doi.org/10.3390/infrastructures10110300 - 8 Nov 2025
Viewed by 213
Abstract
High-strength concrete (HSC) is widely used in coastal regions, but its durability and structural safety is threatened by chloride ingress in marine environments. This study investigates the effects of different curing methods, normal, steam, and high-temperature autoclave on the chloride resistance of HSC [...] Read more.
High-strength concrete (HSC) is widely used in coastal regions, but its durability and structural safety is threatened by chloride ingress in marine environments. This study investigates the effects of different curing methods, normal, steam, and high-temperature autoclave on the chloride resistance of HSC using the electric flux test. A critical chloride concentration of 4.5% was identified, and accelerated deterioration tests were conducted to evaluate mechanical properties development (compressive strength, elastic modulus, toughness, specific toughness) under the various curing conditions. Additionally, the development of hydration products and microstructural characteristics were analyzed to elucidate the mechanisms underlying the observed differences. The results indicate that steam and autoclave curing enhance cement hydration and the initial mechanical properties of HSC but also increase permeability and susceptibility to chloride ion penetration compared to normal curing. Chloride penetration was found to be most severe at moderate chloride concentrations (~4.5%), while higher concentrations resulted in reduced ion migration. Although intensive curing under elevated temperature and pressure improves early strength and stiffness, it accelerates mechanical degradation under chloride exposure, highlighting a trade-off between short-term performance and long-term durability. Full article
(This article belongs to the Section Infrastructures Materials and Constructions)
Show Figures

Figure 1

24 pages, 4712 KB  
Article
Bond Properties of Steel Bar in Polyoxymethylene-Fiber-Reinforced Coral Aggregate Concrete
by Zhuolin Xie, Lin Chen, Lepeng Huang, Junlong Jin, Jianmin Hua, Pow-Seng Yap and Yi Zhang
Polymers 2025, 17(21), 2954; https://doi.org/10.3390/polym17212954 - 6 Nov 2025
Viewed by 471
Abstract
The rapid expansion of island and reef infrastructure has intensified the demand for sustainable concrete materials, yet the scarcity of conventional aggregates and freshwater severely constrains their supply. More critically, the fundamental bonding mechanism between steel reinforcement and coral aggregate concrete (CAC) remains [...] Read more.
The rapid expansion of island and reef infrastructure has intensified the demand for sustainable concrete materials, yet the scarcity of conventional aggregates and freshwater severely constrains their supply. More critically, the fundamental bonding mechanism between steel reinforcement and coral aggregate concrete (CAC) remains poorly understood due to the highly porous, ion-rich nature of coral aggregates and the complex interfacial reactions at the steel–cement–coral interface. Moreover, the synergistic effect of polyoxymethylene (POM) fibers in modifying this interfacial behavior has not yet been systematically quantified. To fill this research gap, this study develops a C40-grade POM-fiber-reinforced CAC and investigates the composition–property relationship governing its bond performance with steel bars. A comprehensive series of pull-out tests was conducted to examine the effects of POM fiber dosage (0, 0.2%, 0.4%, 0.6%, 0.8%, and 1.0%), protective layer thickness (32, 48, and 67 mm), bar type, and anchorage length (2 d, 3 d, 5 d, and 6 d) on the interfacial bond behavior. Results reveal that a 0.6% POM fiber addition optimally enhanced the peak bond stress and restrained radial cracking, indicating a strong fiber-bridging contribution at the micro-interface. A constitutive bond–slip model incorporating the effects of fiber content and c/d ratio was established and experimentally validated. The findings elucidate the multiscale coupling mechanism among coral aggregate, POM fiber, and steel reinforcement, providing theoretical and practical guidance for the design of durable, low-carbon marine concrete structures. Full article
(This article belongs to the Special Issue Polymers in Civil Engineering)
Show Figures

Figure 1

24 pages, 7320 KB  
Review
Next-Gen Nondestructive Testing for Marine Concrete: AI-Enabled Inspection, Prognostics, and Digital Twins
by Taehwi Lee and Min Ook Kim
J. Mar. Sci. Eng. 2025, 13(11), 2062; https://doi.org/10.3390/jmse13112062 - 29 Oct 2025
Viewed by 558
Abstract
Marine concrete structures are continuously exposed to harsh marine environments—salt, waves, and biological fouling—that accelerate corrosion and cracking, increasing maintenance costs. Traditional Non-Destructive Testing (NDT) techniques often fail to detect early damage due to signal attenuation and noise in underwater conditions. This study [...] Read more.
Marine concrete structures are continuously exposed to harsh marine environments—salt, waves, and biological fouling—that accelerate corrosion and cracking, increasing maintenance costs. Traditional Non-Destructive Testing (NDT) techniques often fail to detect early damage due to signal attenuation and noise in underwater conditions. This study critically reviews recent advances in Artificial Intelligence-integrated NDT (AI-NDT) technologies for marine concrete, focusing on their quantitative performance improvements and practical applicability. To be specific, a systematic comparison of vision-based and signal-based AI-NDT techniques was carried out across reported field cases. It was confirmed that the integration of AI improved detection accuracy by 17–25%, on average, compared with traditional methods. Vision-based AI models such as YOLOX-DG, Cycle GAN, and MSDA increased mean mAP 0.5 by 4%, while signal-based methods using CNN, LSTM, and Random Forest enhanced prediction accuracy by 15–20% in GPR, AE, and ultrasonic data. These results confirm that AI effectively compensates for environmental distortions, corrects noise, and standardizes data interpretation across variable marine conditions. Lastly, the study highlights that AI-enabled NDT not only automates data interpretation but also establishes the foundation for predictive and preventive maintenance frameworks. By linking data acquisition, digital twin-based prediction, and lifecycle monitoring, AI-NDT can transform current reactive maintenance strategies into sustainable, intelligence-driven management for marine infrastructure. Full article
Show Figures

Figure 1

23 pages, 41967 KB  
Article
Enhancing the Chloride Adsorption and Durability of Sulfate-Resistant Cement-Based Materials by Controlling the Calcination Temperature of CaFeAl-LDO
by Lei Yang, Xin Zhao, Shaonan Cai, Minqi Hua, Jijiang Liu, Hui Liu, Junyi Wu, Liming Pang and Xinyu Gui
Materials 2025, 18(21), 4884; https://doi.org/10.3390/ma18214884 - 24 Oct 2025
Viewed by 271
Abstract
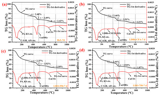
Chloride-ion (Cl)-induced corrosion of steel bars is a major threat to the durability of marine concrete structures. To address this, a type of calcined CaFeAl-layered double oxide (LDO-CFA) with different calcination temperatures was used to enhanced the Cl adsorption, compressive [...] Read more.
Chloride-ion (Cl)-induced corrosion of steel bars is a major threat to the durability of marine concrete structures. To address this, a type of calcined CaFeAl-layered double oxide (LDO-CFA) with different calcination temperatures was used to enhanced the Cl adsorption, compressive strength, and corrosion resistance of sulphate-resistant Portland cement (SRPC)-based materials. Experimental results demonstrated that LDO-CFA exhibited high Cl adsorption capacity in both CPSs and cement-based materials. Specifically, LDO-750-CFA reached 1.98 mmol/g in CPSs—60.1% higher than LDHs-CFA—and followed the Langmuir model, indicating monolayer adsorption. It also reduced the free Cl content of SRPC paste to 0.255–0.293% after 28 days, confirming its sustained adsorption over extended curing. Furthermore, LDO-CFA positively influenced the compressive strength at all curing ages. At an optimal dosage of 0.8 wt.%, LDO-750-CFA paste significantly improved the compressive strength, increasing it by 22.1% at 7 days and 15.6% at 28 days compared to the control. Electrochemical analysis confirmed the superior corrosion resistance of the LDO-750-CFA system. The property enhancement originated from LDO-750-CFA’s synergistic effects, which included pore refinement, increased tortuosity, Cl adsorption by structural memory, a PVP-induced passive film, and PVP-improved dispersion. Overall, this work provides a framework for developing LDO-750-CFA-based composites, paving the way for more durable marine concrete. Full article
Show Figures

Figure 1

26 pages, 7381 KB  
Article
Diffusive–Mechanical Coupled Phase Field for the Failure Analysis of Reinforced Concrete Under Chloride Erosion
by Jingqiu Yang, Quanjun Zhu, Jianyu Ren and Li Guo
Buildings 2025, 15(19), 3580; https://doi.org/10.3390/buildings15193580 - 4 Oct 2025
Viewed by 491
Abstract
The construction of large-scale infrastructure, such as power facilities, requires extensive use of reinforced concrete. The durability degradation of reinforced concrete structures in chloride environments involves multi-physics coupling effects, chloride ion diffusion, rebar corrosion, and concrete damage. Existing models neglect the coupling mechanisms [...] Read more.
The construction of large-scale infrastructure, such as power facilities, requires extensive use of reinforced concrete. The durability degradation of reinforced concrete structures in chloride environments involves multi-physics coupling effects, chloride ion diffusion, rebar corrosion, and concrete damage. Existing models neglect the coupling mechanisms among these processes and the influence of mesoscale structural characteristics. Therefore, this study proposes a diffusive–mechanical coupled phase field by integrating the phase field, chloride ion diffusion, and mechanical equivalence for rebar corrosion, establishing a multi-physics coupling analysis framework at the mesoscale. The model incorporates heterogeneous meso-structure of concrete and constructs a dynamic coupling function between the phase field damage variable and chloride diffusion coefficient, enabling full-process simulation of corrosion-induced cracking under chloride erosion. Numerical results demonstrate that mesoscale heterogeneity significantly affects crack propagation paths, with increased aggregate content delaying the initiation of rebar corrosion. Moreover, the case with corner-positioned rebar exhibits earlier cracking compared to the case with centrally located rebar. Furthermore, larger clear spacing delays delamination failure. Comparisons with the damage mechanics model and experimental data confirm that the proposed model more accurately captures tortuous crack propagation behavior, especially suitable for evaluating the durability of reinforced concrete components in facilities such as transmission tower foundations, substation structures, and marine power facilities. This research provides a highly accurate numerical tool for predicting the service life of reinforced concrete power infrastructure in chloride environments. Full article
(This article belongs to the Section Building Materials, and Repair & Renovation)
Show Figures

Figure 1

20 pages, 6294 KB  
Article
Corrosion Inhibition in Concrete: Synergistic Performance of Hybrid Steel-Polypropylene Fiber Reinforcement Against Marine Salt Spray
by Jianqiao Yu, Jamal A. Abdalla, Rami A. Hawileh, Xiaoyue Zhang and Zhigang Zhang
Polymers 2025, 17(19), 2645; https://doi.org/10.3390/polym17192645 - 30 Sep 2025
Viewed by 447
Abstract
In the marine salt spray environment, steel fiber reinforced concrete (SFRC) structures are often subjected to accelerated durability degradation, primarily due to chloride-induced corrosion. To address this issue, polypropylene (PP) fibers were incorporated to partially replace steel fibers in the formulation of hybrid [...] Read more.
In the marine salt spray environment, steel fiber reinforced concrete (SFRC) structures are often subjected to accelerated durability degradation, primarily due to chloride-induced corrosion. To address this issue, polypropylene (PP) fibers were incorporated to partially replace steel fibers in the formulation of hybrid fiber reinforced concrete (HFRC), thereby enhancing its resistance to chloride corrosion. The results demonstrate that all HFRC mixtures achieved a compressive strength of approximately 65 MPa at 28 d. After 200 d of salt spray exposure, the compressive strength of the HFRC containing PP fibers decreased at a significantly slower rate than that of the control group (M0) incorporating sole steel fibers, with the former still meeting the high-strength concrete standard (>60 MPa). Regardless of the exposure duration to salt spray, the wave velocity of the HF series remained higher than that of M0. This suggests that the PP fibers play a significant role in preserving the matrix’s compactness, effectively mitigating deterioration caused by chloride corrosion. Furthermore, after 200 d of exposure, the peak chloride content, critical corrosion depth, and chloride diffusion coefficient of HF2 were 0.58%, 16 mm, and 1.24 × 10−12 m2/s, respectively, all of which were lower than those of the other specimens. This demonstrates that incorporating 0.3 vol% PP fibers most effectively enhances the chloride corrosion resistance of HFRC. Full article
(This article belongs to the Special Issue Fiber-Reinforced Polymer Composites: Progress and Prospects)
Show Figures

Figure 1

15 pages, 7162 KB  
Article
Investigation of an Accelerated Deterioration Method for Subsea Tunnel RC Linings via Electromigration and Its Associated Test Parameters
by Jiguo Liu, Qinglong Cui, Shengbin Zhang, Xin Li, Longhai Wei, Huimin Gong, Yiguo Xue and Min Han
J. Mar. Sci. Eng. 2025, 13(9), 1799; https://doi.org/10.3390/jmse13091799 - 17 Sep 2025
Viewed by 327
Abstract
Appropriate accelerated deterioration methods are crucial for studying the deterioration behavior of reinforced concrete linings in subsea tunnels. To investigate the deterioration mechanisms of reinforced concrete (RC) structures in marine environments, this study employed the electromigration method to simulate accelerated chloride-induced corrosion of [...] Read more.
Appropriate accelerated deterioration methods are crucial for studying the deterioration behavior of reinforced concrete linings in subsea tunnels. To investigate the deterioration mechanisms of reinforced concrete (RC) structures in marine environments, this study employed the electromigration method to simulate accelerated chloride-induced corrosion of steel reinforcement. The results demonstrate that under a direct current (DC) electric field, chloride ions migrate directionally and accumulate on the side of the steel facing the chloride source, successfully inducing non-uniform corrosion features that closely resemble those in natural environments. The side facing chloride ingress exhibited severe corrosion and significant cross-sectional loss, while the shielded side remained largely intact. The experimental process clearly reveals that the applied electric field does not directly initiate corrosion of the steel reinforcement before chloride ions migrate to its surface. Furthermore, analysis of experimental parameters showed that symmetrical perforations on electrode plates are crucial for a uniform electric field, while perforation ratio and electrode–specimen distance have a minor influence. The average chloride penetration depths corresponding to electrode plate perforation areas of 5.5%, 15%, 25.5%, and 38.1% were measured as 1.63 cm, 1.67 cm, 1.57 cm, and 1.57 cm, respectively. This research confirms electromigration as an efficient and reliable technique for accelerated corrosion testing, providing a significant theoretical basis for assessing and predicting the long-term durability of marine engineering structures. Full article
(This article belongs to the Section Ocean Engineering)
Show Figures

Figure 1

15 pages, 3315 KB  
Article
Feasibility Evaluation of Partially Replacing Ordinary Portland Cement with Ferro-Nickel Slag in Ready-Mixed Concrete for Precast Applications
by Jin-Su Kim, Jun-Pil Hwang, Chang-Hong Lee and Jang-Ho Jay Kim
Materials 2025, 18(18), 4315; https://doi.org/10.3390/ma18184315 - 15 Sep 2025
Viewed by 572
Abstract
The global generation of industrial waste is increasing rapidly, with much of it either landfilled or discharged into marine environments, resulting in severe environmental pollution. To address this issue, extensive research has been conducted on utilizing waste materials as partial replacements for cement. [...] Read more.
The global generation of industrial waste is increasing rapidly, with much of it either landfilled or discharged into marine environments, resulting in severe environmental pollution. To address this issue, extensive research has been conducted on utilizing waste materials as partial replacements for cement. Although concrete incorporating industrial by-products offers environmental advantages—such as reducing pollution and lowering CO2 emissions—its application has been limited by poor early-age performance. In South Korea, the annual production of ferronickel slag (FNS) now exceeds 2,000,000 tons, yet its usage remains minimal. To improve this early-age performance, researchers have applied steam curing (SC), a method widely used in precast concrete, which can enhance the utilization of FNS-containing concrete. Some studies have individually evaluated the mechanical or microstructural properties of SC effects, but the combined effects of FNS and SC replacement in precast concrete have rarely been addressed. This study applied SC, a method widely used in precast concrete production, to improve the performance of FNS concrete and conducted a comprehensive evaluation to promote its practical application. For this purpose, ordinary Portland cement (OPC) was partially replaced with FNS at rates of 10%, 20%, and 30%. To assess the effects, tests were conducted on hydration heat, SEM, and XRD, along with evaluations of compressive and splitting tensile strength. Results identified 20% as the optimal replacement ratio. At this ratio, chloride penetration resistance and freeze–thaw durability were also assessed. Furthermore, FNS concrete was evaluated under both natural curing (NC, 28 days) and SC conditions to simulate precast production. Under NC, mechanical properties declined as the FNS content increased, whereas under SC, the performance of the 20% replacement mixture was comparable to that of the control. In addition, the chloride diffusion coefficient and freeze–thaw resistance were improved by 11% and 2%, respectively, under SC compared to NC. This study evaluated the feasibility of FNS-containing concrete, and further studies should be conducted to investigate the structural performance of FNS-containing reinforced concrete via methods such as flexural, shear, splicing, and debonding experiments. Full article
Show Figures

Figure 1

16 pages, 2421 KB  
Article
High-Performance Mortar with Epoxy-Coated Lightweight Aggregates for Marine Structures
by Jin-Su Kim, Ho-Yeon Lee and Jang-Ho Jay Kim
Materials 2025, 18(18), 4257; https://doi.org/10.3390/ma18184257 - 11 Sep 2025
Viewed by 455
Abstract
Due to the global growth of the construction industry, the use of concrete has increased rapidly. Consequently, the depletion of natural aggregates, which are essential components of concrete, has emerged as a critical issue. Simultaneously, the construction of marine structures has recently increased [...] Read more.
Due to the global growth of the construction industry, the use of concrete has increased rapidly. Consequently, the depletion of natural aggregates, which are essential components of concrete, has emerged as a critical issue. Simultaneously, the construction of marine structures has recently increased due to population growth and climate change. This trend highlights the growing demand for durable and sustainable construction materials in aggressive environments. To address the depletion of natural aggregates, extensive research has focused on artificial lightweight aggregates produced from industrial waste. However, the high porosity and low compressive strength of artificial lightweight aggregates have limited their effectiveness in ensuring the performance of sustainable marine structures. In this study, a high-performance mortar (HPM) incorporating artificial lightweight fine aggregates (ALWFAs) was developed to address the depletion of natural aggregates and to serve as a protective layer material in marine environments. To enhance the physical properties of ALWFAs, the aggregates were coated with epoxy-TiO2 coatings applied to both their internal voids and external surfaces. The effectiveness of this enhancement was assessed by comparing the performance of mortars prepared with uncoated and coated ALWFAs. The HPM was evaluated for its porosity, compressive strength, split tensile strength, and chloride diffusion coefficient. The results showed that increases in the ALWFA replacement ratio led to a general reduction in performance. However, a comparison between uncoated and coated ALWFAs revealed that the coated aggregates led to improvements of up to 4.13%, 49.3%, 28.6%, and 52.0% in porosity, compressive strength, split tensile strength, and chloride diffusion coefficient, respectively. The study results are discussed in detail in the paper. Full article
(This article belongs to the Special Issue Advances in Sustainable Construction Materials, Third Edition)
Show Figures

Figure 1

20 pages, 4631 KB  
Article
Research on Optimizing the Steel Fiber/CSH Interface Performance Based on Ca/Si Ratio
by Yalin Luan, Yongmei Wu, Runan Wang, Dongbo Cai, Lianzhen Zhang and Pengxiang Luan
Materials 2025, 18(17), 4049; https://doi.org/10.3390/ma18174049 - 29 Aug 2025
Viewed by 548
Abstract
Steel fiber reinforced concrete in marine environments often suffers from stress corrosion coupling. Under mechanical loading, the formation of penetrating cracks in the matrix increases susceptibility to seawater penetration and interfacial degradation. Using molecular dynamics simulations, this study investigated the effects of calcium-to-silicon [...] Read more.
Steel fiber reinforced concrete in marine environments often suffers from stress corrosion coupling. Under mechanical loading, the formation of penetrating cracks in the matrix increases susceptibility to seawater penetration and interfacial degradation. Using molecular dynamics simulations, this study investigated the effects of calcium-to-silicon (Ca/Si) ratios on the interfacial bonding and transport properties of a γ-FeOOH/CSH system. The results show that higher Ca/Si ratios strengthen ionic bonding between CSH and γ-FeOOH, thereby improving interfacial adhesion. Additionally, increased Ca/Si ratios significantly slow the transport of water molecules and ions (Na+, Cl, SO42−) within γ-FeOOH/CSH nanopores. It was observed that Cl and SO42− exhibited pronounced filtration effects at Ca/Si = 2.0. These findings suggest that optimizing the Ca/Si ratio in concrete can simultaneously enhance interfacial strength and reduce permeability. This provides an effective strategy for improving the marine erosion resistance of steel fiber reinforced concrete structures. Full article
Show Figures

Figure 1

27 pages, 33038 KB  
Article
Assessment of Durability and Degradation Resistance of Geopolymer Composites in Water Environments
by Kacper Oliwa, Barbara Kozub, Katarzyna Łoś, Piotr Łoś and Kinga Korniejenko
Materials 2025, 18(16), 3892; https://doi.org/10.3390/ma18163892 - 20 Aug 2025
Cited by 1 | Viewed by 826
Abstract
This article presents experimental studies on the characterization of geopolymer composites intended for applications in aquatic environments, with particular emphasis on underwater infrastructure. The motivation for conducting the research was the growing need to develop durable and ecological building materials that will be [...] Read more.
This article presents experimental studies on the characterization of geopolymer composites intended for applications in aquatic environments, with particular emphasis on underwater infrastructure. The motivation for conducting the research was the growing need to develop durable and ecological building materials that will be resistant to long-term exposure to moisture and aggressive chemical agents, typical for the underwater environment, where traditional cement concretes undergo gradual degradation due to long-term water impact, including hydrotechnical and underwater infrastructure. Geopolymer binders were produced based on metakaolin activated by alkaline solutions containing sodium hydroxide. Several series of mixtures with additives such as blast furnace slag, amphibolite and carbon fibers were developed to evaluate the effect of these components on mechanical strength, water absorption and chemical durability. The conducted studies showed that slag additions improved mechanical properties, for the best composition it across 50 MPa. In contrast, the addition of amphibolite had an unfavorable effect, which probably results from introducing inhomogeneity into the material structure. The presence of carbon fibers promoted matrix cohesion, but their uneven distribution could lead to local strength differences. Water absorption tests have shown that geopolymers reach full water saturation within 24 to 48 h, which indicates rapid establishment of capillary equilibrium and limited further water penetration. The conclusions from the work indicate that geopolymer composites with a moderate amount of blast furnace slag and subjected to appropriate curing conditions. High strength, water and chemical resistance make them suitable for, among others, the construction of marine foundations, protection and structural shields of submerged applications. Full article
Show Figures

Figure 1

16 pages, 4907 KB  
Article
Long-Lifetime Ag/AgCl Electrodes Prepared by Pulse Current Electrodeposition for Chloride Monitoring in the Concrete Environment
by Xiangyu Lu, Jing Hu, Xingguo Feng, Qiyan Zhou, Zhanqing Qu, Jisheng Zhang, Ruihu Zhu, Huaqing Zhang and Songgui Chen
Sensors 2025, 25(16), 5032; https://doi.org/10.3390/s25165032 - 13 Aug 2025
Viewed by 609
Abstract
Lifetimes of Ag/AgCl electrodes determine whether it is possible to monitor the concentration of chloride ions in marine concrete structures. A novel manufacturing method, pulse current electrodeposition at a low current density, was proposed to prepare the long-lifetime Ag/AgCl electrode. Influences of electrodeposition [...] Read more.
Lifetimes of Ag/AgCl electrodes determine whether it is possible to monitor the concentration of chloride ions in marine concrete structures. A novel manufacturing method, pulse current electrodeposition at a low current density, was proposed to prepare the long-lifetime Ag/AgCl electrode. Influences of electrodeposition duration were investigated on the Nernst response, exchange current density, and lifetime of Ag/AgCl electrodes, and the properties were also compared to those of the ones electrodeposited by applying constant currents. Ag/AgCl electrodes prepared with the pulse current exhibited a wider potential response, a higher exchange current density, and a longer lifetime than those prepared by the constant current under the same equivalent charge transfer conditions. AgCl film on the electrode prepared with the pulse current displayed a thicker layer, a lower density of micropores, a higher Cl/O ratio, and a lower Ag/Cl ratio than those of its counterpart electrodeposited by applying the constant current. The lifetime of the Ag/AgCl electrode was mainly determined by the thickness of AgCl films in the concrete environment. The lifetimes of the Ag/AgCl electrode, which was prepared with a 0.1 mA cm−2 pulse current for 15 h, were 420 h in pore solution and more than 3500 h in mortar, respectively. In addition, the potential of this Ag/AgCl electrode did not show any significant decrease after 3500 h in the mortar without Cl. The results suggest that pulse current electrodeposition is an effective method to improve the lifetimes of Ag/AgCl electrodes in concrete. Full article
(This article belongs to the Section Electronic Sensors)
Show Figures

Figure 1

15 pages, 2530 KB  
Article
Methods for Accelerating Physical Salt Attack on Cement-Based Materials in Laboratory Testing: Effects of Curing Age and Water-to-Cement Ratio
by Weichen Kang, Shuqin Liu, Ying Chen, Shuren Yang, Zijian Liu, Yaocheng Wang and Hongfang Sun
Buildings 2025, 15(16), 2836; https://doi.org/10.3390/buildings15162836 - 11 Aug 2025
Viewed by 593
Abstract
In marine environments, chloride salt ingress into concrete having a porous structure can lead to physical salt attack (PSA) deterioration. However, the slow deterioration of cement-based materials caused by PSA under current laboratory conditions limits the understanding of the mechanisms of PSA. To [...] Read more.
In marine environments, chloride salt ingress into concrete having a porous structure can lead to physical salt attack (PSA) deterioration. However, the slow deterioration of cement-based materials caused by PSA under current laboratory conditions limits the understanding of the mechanisms of PSA. To improve the efficiency of accelerated testing for PSA in a laboratory, this study investigates the accelerated methods for PSA deterioration of cement-based specimens exposed to NaCl solution by adjusting curing ages and water-to-cement ratios. The results indicate that specimens with shorter curing age exhibit accelerated damage due to insufficient hydration, while specimens with higher water-to-cement ratios experience expedited surface scaling due to increased porosity. Reducing curing age from 28 to 7 days shortened the deterioration time of specimens by 50%. For the 28-day-cured specimens, increasing the w/c ratio from 0.4 to 0.5 accelerated the initial damage by 25%. Despite the variations in the curing age and water-to-cement ratio, the fundamental deterioration mechanism remained consistent across specimens. Notably, deterioration predominantly occurred in regions with relatively reduced external salt crystallization, which can serve as an indicator for predicting potential deterioration locations. The findings provide a theoretical basis for enhancing the efficiency of accelerated PSA testing protocols in a laboratory environment. Full article
Show Figures

Figure 1

Back to TopTop