Corrosion Inhibition in Concrete: Synergistic Performance of Hybrid Steel-Polypropylene Fiber Reinforcement Against Marine Salt Spray
Abstract
1. Introduction
2. Experimental Programs
2.1. Materials and Specimen Preparations
2.2. Testing Procedures
3. Results and Discussion
3.1. Compressive Strength and Mass Loss
3.2. Ultrasonic Wave Test Results of HFRC
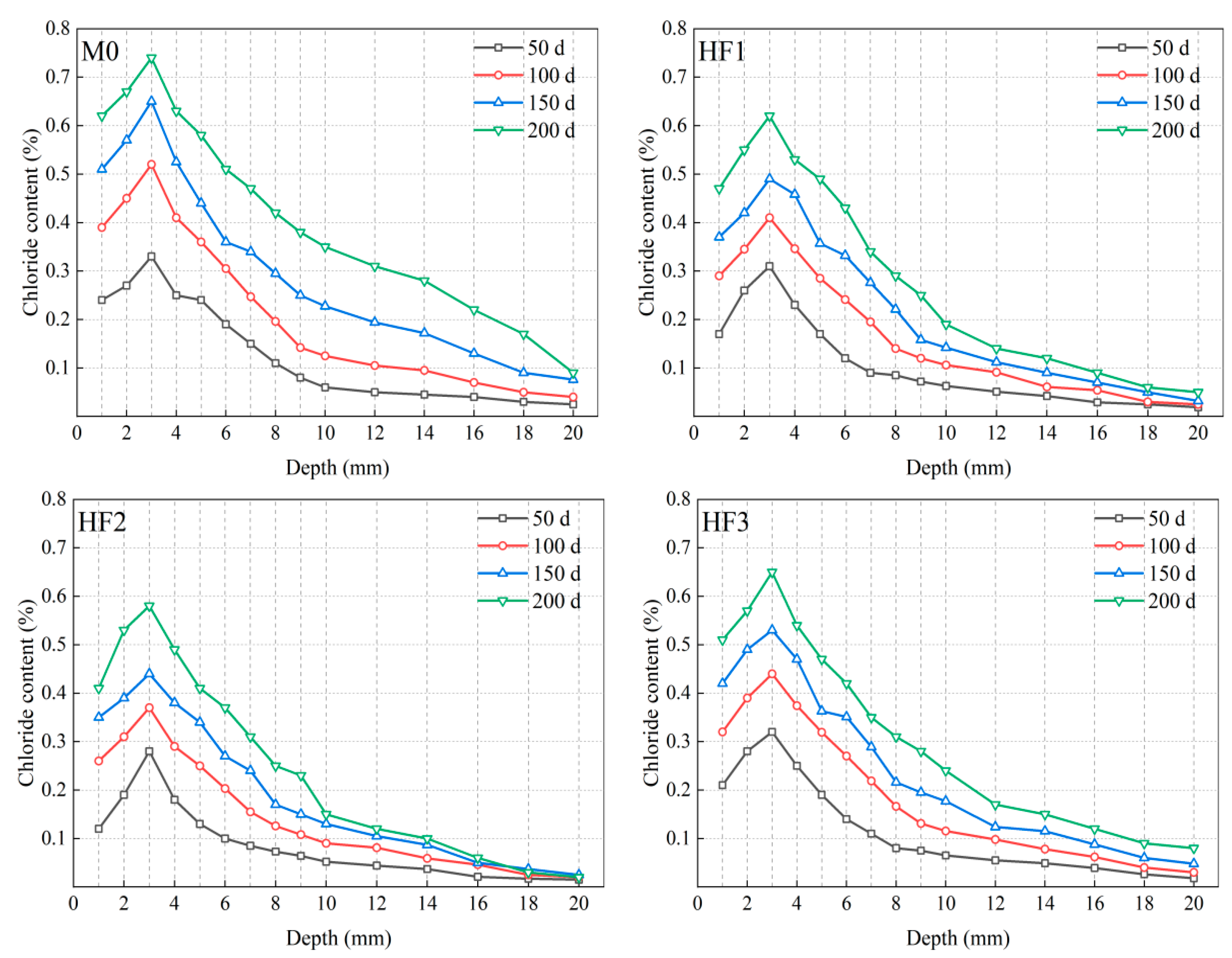
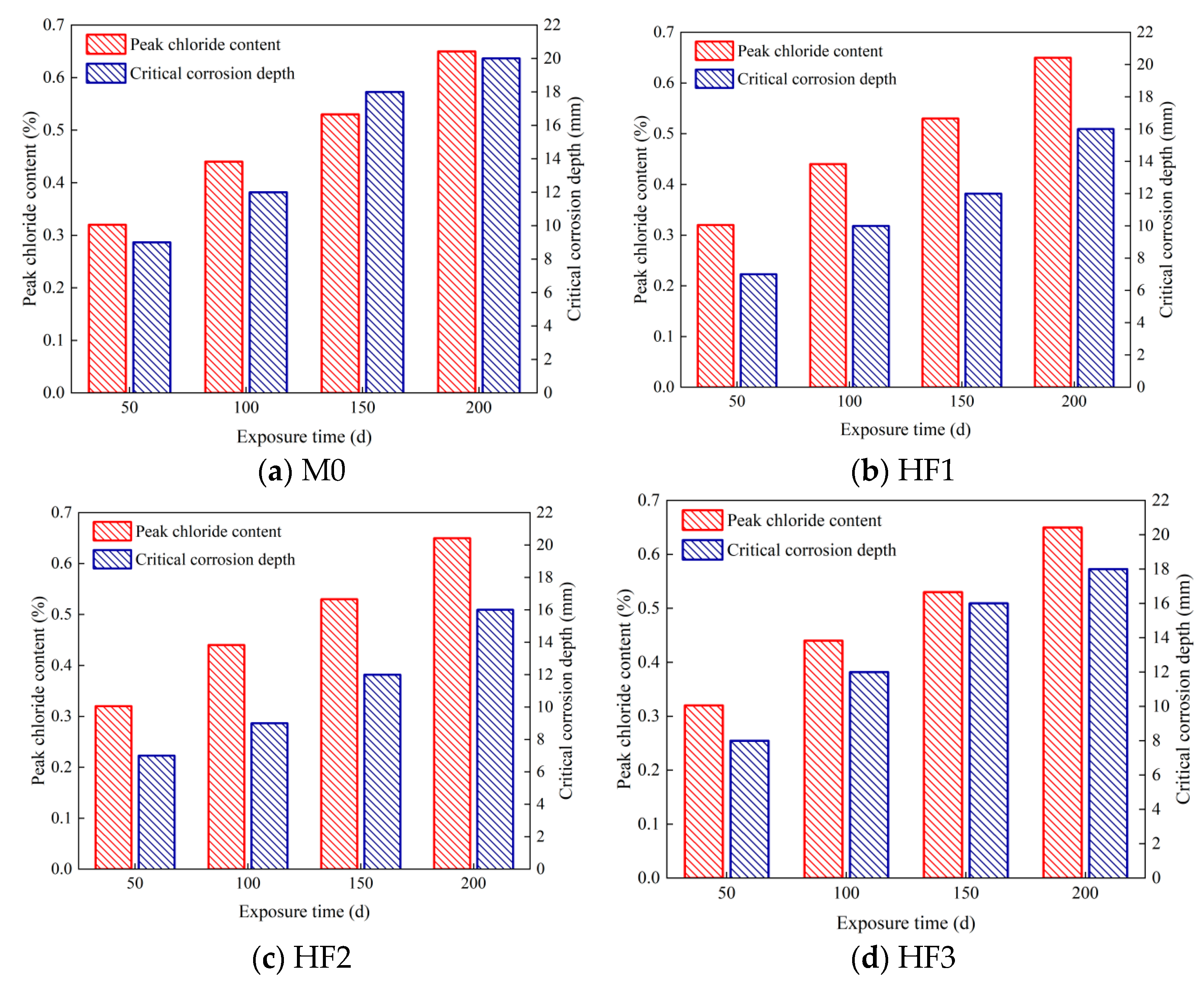
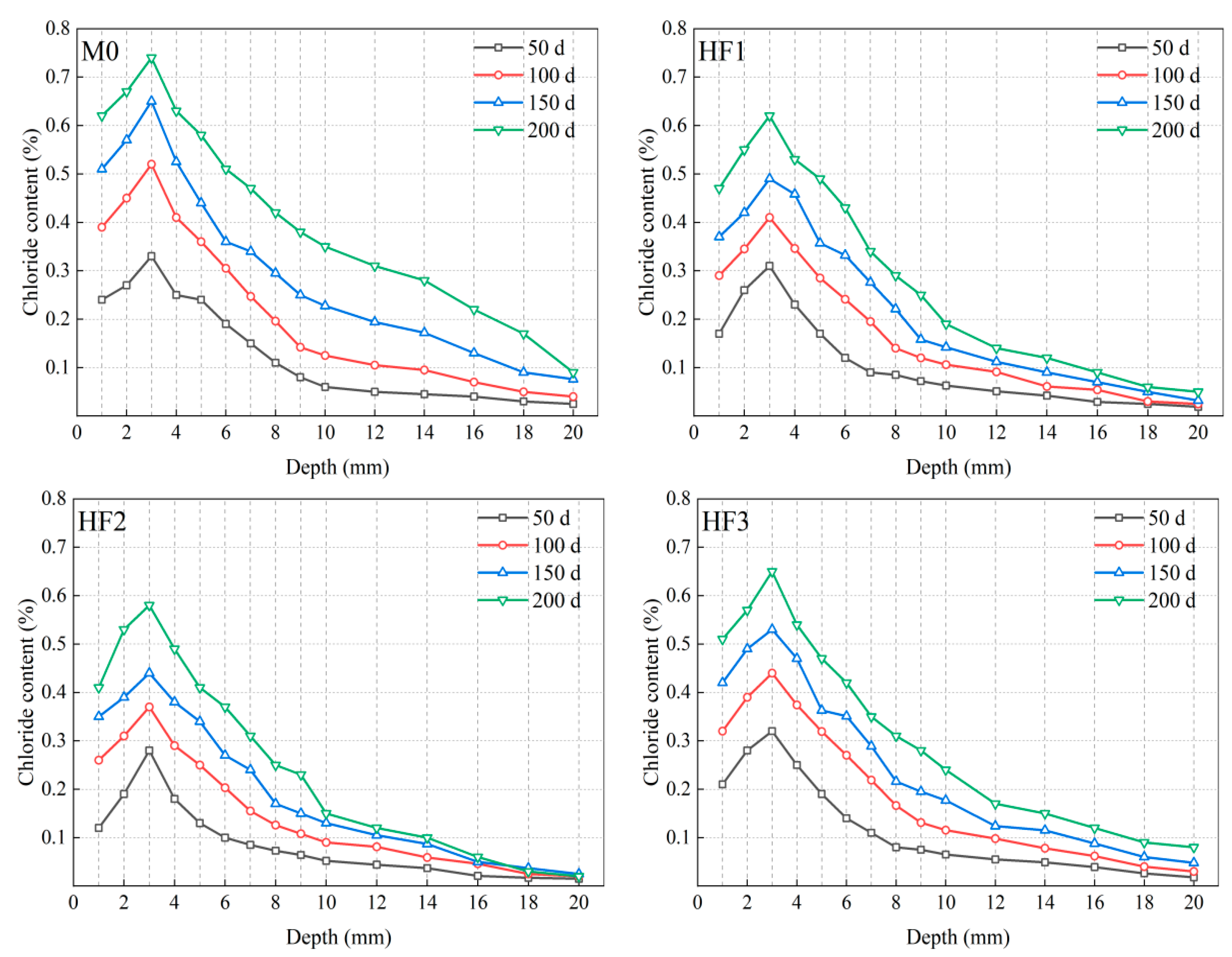
3.3. Chloride Content Test Results of HFRC Mixtures
4. Conclusions
Author Contributions
Funding
Institutional Review Board Statement
Data Availability Statement
Acknowledgments
Conflicts of Interest
References
- Zhang, S.; Han, B.; Xie, H.; An, M.; Lyu, S. Brittleness of concrete under different curing conditions. Materials 2021, 14, 7865. [Google Scholar] [CrossRef] [PubMed]
- Gettu, R.; Garcia-Álvarez, V.; Aguado, A. Effect of aging on the fracture characteristics and brittleness of high-strength concrete. Cem. Concr. Res. 1998, 28, 349–355. [Google Scholar] [CrossRef]
- Tasdemir, C.; Tasdemir, M.; Lydon, F.; Barr, B. Effects of silica fume and aggregate size on the brittleness of concrete. Cem. Concr. Res. 1996, 26, 63–68. [Google Scholar] [CrossRef]
- Shen, Q.; Zhang, Z.; Zhang, X.; Abdalla, J.; Hawileh, R. Incorporating expanded verminculites into high strength ECC: Improving its tensile properties and autogenous self-healing behavior. Constr. Build. Mater. 2025, 492, 142906. [Google Scholar] [CrossRef]
- Shen, Q.; Lu, C.; Zhang, Z.; Abdalla, J.; Hawileh, R. Incorporating nanomaterials into high strength ECC: Boosting self-healing and mechanical properties for marine infrastructure. Case Stud. Constr. Mater. 2025, 23, e05208. [Google Scholar] [CrossRef]
- Wang, C.; Xiao, J.; Liu, W.; Ma, Z. Unloading and reloading stress-strain relationship of recycled aggregate concrete reinforced with steel/polypropylene fibers under uniaxial low-cycle loadings. Cem. Concr. Compos. 2022, 131, 104597. [Google Scholar] [CrossRef]
- Lu, C.; Shen, Q.; Zhang, Z.; Zhang, X.; Hawileh, R.A. Synergistic effect of waste steel slag powder and fly ash in sustainable high strength engineered cementitious composites: From microstructure to macro-performance. J. Build. Eng. 2025, 113, 114039. [Google Scholar] [CrossRef]
- Lorente, S.; Carmona, S.; Molins, C. Use of fiber orientation factor to determine residual strength of steel fiber reinforced concrete. Constr. Build. Mater. 2022, 360, 128878. [Google Scholar] [CrossRef]
- Xiang, D.; Liu, S.; Li, Y.; Liu, Y. Improvement of flexural and cyclic performance of bridge deck slabs by utilizing steel fiber reinforced concrete (SFRC). Constr. Build. Mater. 2022, 329, 127184. [Google Scholar] [CrossRef]
- Zhang, Z.; He, J.; Li, Z.; Shi, X. Mechanical and self-healing properties of a high-volume fly ash ultrahigh-performance concrete incorporating microcapsules. J. Mater. Civ. Eng. 2025; in press. [Google Scholar]
- Zhang, M.; Lv, Z.; Cui, J.; Tian, Z.; Li, Z. Durability of marine concretes with nanoparticles under combined action of bending load and salt spray erosion. Adv. Mater. Sci. Eng. 2022, 2022, 1968770. [Google Scholar] [CrossRef]
- Su, L.; Niu, D.; Huang, D.; Luo, Y.; Qiao, H.; Zhang, Y. Chloride diffusion behavior and microstructure of basalt-polypropylene hybrid fiber reinforced concrete in salt spray environment. Constr. Build. Mater. 2022, 324, 126716. [Google Scholar] [CrossRef]
- Huang, D.; Niu, D.; Su, L.; Liu, Y.; Guo, B.; Xia, Q.; Peng, G. Diffusion behavior of chloride in coral aggregate concrete in marine salt-spray environment. Constr. Build. Mater. 2022, 316, 125878. [Google Scholar] [CrossRef]
- Balouch, S.; Forth, J.; Granju, J. Surface corrosion of steel fibre reinforced concrete. Cem. Concr. Res. 2010, 40, 410–414. [Google Scholar] [CrossRef]
- Hwang, J.; Jung, M.; Kim, M.; Ann, K. Corrosion risk of steel fibre in concrete. Constr. Build. Mater. 2015, 101, 239–245. [Google Scholar] [CrossRef]
- Pyo, S.; Koh, T.; Tafesse, M.; Kim, H. Chloride-induced corrosion of steel fiber near the surface of ultra-high performance concrete and its effect on flexural behavior with various thickness. Constr. Build. Mater. 2019, 224, 206–213. [Google Scholar] [CrossRef]
- Chen, X.; Quan, C.; Jiao, C. Experimental study of chloride resistance of polypropylene fiber reinforced concrete with fly ash and modeling. Materials 2021, 14, 4417. [Google Scholar] [CrossRef]
- Afroughsabet, V.; Biolzi, L.; Monteiro, P. The effect of steel and polypropylene fibers on the chloride diffusivity and drying shrinkage of high-strength concrete. Compos. Part B Eng. 2018, 139, 84–96. [Google Scholar] [CrossRef]
- Moradi, M.; Rezaei, M. Electrochemical noise analysis to evaluate the localized anti-corrosion properties of PP/graphene oxide nanocomposite coatings. J. Electroanal. Chem. 2022, 921, 116665. [Google Scholar] [CrossRef]
- Singh, N.; Rai, B. Assessment of synergetic effect on microscopic and mechanical properties of steel-polypropylene hybrid fiber reinforced concrete. Struct. Concr. 2021, 22, 516–534. [Google Scholar] [CrossRef]
- Zhang, Q.; Lei, S.; Li, J.; Yu, B. A hybrid method for bond-slip behavior of reinforcement rebar in steel-polypropylene hybrid fiber reinforced concrete structures in marine environments. Ocean Eng. 2024, 300, 117437. [Google Scholar] [CrossRef]
- Chen, G.; Lv, M.; Zhu, H.; Zhan, Z.; Su, Q. Flexural behaviour of concrete beams repaired by hybrid fibre reinforced cementitious composites (HFRCCs) and subjected to simulated seawater dry-wet cycles. Constr. Build. Mater. 2025, 480, 141543. [Google Scholar] [CrossRef]
- Lu, S.; Liu, J.; Tian, Z.; Lu, Y.; Liang, G.; Zhang, L.; Bian, H. Deterioration mechanisms and strength prediction of hybrid fiber-reinforced concrete under coupled sulfate attack and dry-wet cycles. Constr. Build. Mater. 2025, 493, 143243. [Google Scholar] [CrossRef]
- Zhang, Z.; Abdalla, J.A.; Yu, J.; Chen, Y.; Hawileh, R.A.; Mahmoudi, F. Use of polypropylene fibers to mitigate spalling in high strength PE-ECC under elevated temperature. Case Stud. Constr. Mater. 2025, 22, e04381. [Google Scholar] [CrossRef]
- Das, A.; Xiao, J. Upcycling waste glass bottles as a binder within engineered cementitious composites (ECCs): Experimental investigation and environmental impact assessment. Clean. Mater. 2025, 16, 100311. [Google Scholar] [CrossRef]
- Birol, T.; Avcıalp, A. Impact of Macro-Polypropylene Fiber on the Mechanical Properties of Ultra-High-Performance Concrete. Polymers 2025, 17, 1232. [Google Scholar] [CrossRef] [PubMed]
- Liu, X.; Wu, T.; Yang, X.; Wei, H. Properties of self-compacting lightweight concrete reinforced with steel and polypropylene fibers. Constr. Build. Mater. 2019, 226, 388–398. [Google Scholar] [CrossRef]
- Yu, J.; Yi, Z.; Zhang, Z.; Liu, D.; Ran, J. The Effects of Hybrid Steel/Basalt Fibers on the Durability of Concrete Pavement against Freeze–Thaw Cycles. Materials 2023, 16, 7137. [Google Scholar] [CrossRef]
- Ibrahim, Y.; Hasan, A.; Maroof, N. Effects of Polypropylene Fiber Content on Strength and Workability Properties of Concrete. Polytech. J. 2019, 9, 3. [Google Scholar] [CrossRef]
- ASTM B117-19; Standard Practice for Operating Salt Spray (Fog) Apparatus. ASTM International: West Conshohocken, PA, USA, 2019.
- GB/T 50081-2019; Standard for Test Methods of Physical and Mechanical Properties of Concrete. China Construction Industry Press: Beijing, China, 2019.
- ASTM D4404-18; Standard Test Method for Determination of Pore Volume and Pore Volume Distribution of Soil and Rock by Mercury Intrusion Porosimetry. ASTM International: West Conshohocken, PA, USA, 1994.
- CECS 02:2005; Technical Specification for Concrete Ultrasonic Pulse Velocity Testing. China Engineering Construction Standardization Association: Beijing, China, 2005.
- Zhang, Z.; Liu, J.; Li, J.; Qin, F.; Di, J. Micromechanics-based analysis of PVA-ECC after thermal exposure. Arch. Civ. Mech. Eng. 2023, 23, 213. [Google Scholar] [CrossRef]
- Yu, J.; Qiao, H.; Zhu, F.; Wang, X. Research on Damage and Deterioration of Fiber Concrete under Acid Rain Environment Based on GM(1,1)-Markov. Materials 2021, 14, 6326. [Google Scholar] [CrossRef]
- GB/T 50476-2019; Standard for Design of Concrete Structure Durability. China Construction Industry Press: Beijing, China, 2019.
- Melchers, R.; Chaves, I. Role of chlorides in corrosion of reinforcing steel in concrete. Corros. Mater. Degrad. 2025, 6, 41. [Google Scholar] [CrossRef]
- Mohammed, T.; Hamada, H. Relationship between free chloride and total chloride contents in concrete. Cem. Concr. Res. 2003, 33, 1487–1490. [Google Scholar] [CrossRef]
- Shi, X.; Xie, N.; Fortune, K.; Gong, J. Durability of steel reinforced concrete in chloride environments: An overview. Constr. Build. Mater. 2012, 30, 125–138. [Google Scholar] [CrossRef]
- Lv, L.; Wang, J.; Xiao, R.; Fang, M.; Tan, Y. Influence of steel fiber corrosion on tensile properties and cracking mechanism of ultra-high performance concrete in an electrochemical corrosion environment. Constr. Build. Mater. 2021, 278, 122338. [Google Scholar] [CrossRef]
- Liu, D.; Yu, J.; Qin, F.; Zhang, K.; Zhang, Z. Mechanical performance of high-strength engineering cementitious composites (ECC) with hybridizing PE and steel fibers. Case Stud. Constr. Mater. 2023, 18, e01961. [Google Scholar] [CrossRef]
- Mehta, P.; Monterio, P. Concrete, Microstructure, Properties and Materials; McGraw-Hill: London, UK, 2006. [Google Scholar]
- Huang, G.; Su, L.; Xue, C.; Zhang, Y.; Qiao, H.; Luo, J.; Wang, C.; Zhou, J. Study on the deterioration mechanism and sulfate ion diffusion behavior in hybrid basalt-polypropylene fiber-reinforced concrete subjected to sulfate drying-wetting cycles. J. Build. Eng. 2025, 104, 112390. [Google Scholar] [CrossRef]
- Yu, J.; Zhang, Z.; Chen, Y.; Abdalla, J.A.; Zhang, X. Eco-efficient high-strength engineered cementitious composites: Mechanical and self-healing behaviors influenced by fly ash content and particle size. J. Build. Eng. 2025, 113, 114110. [Google Scholar] [CrossRef]
- Jiang, W.; Zhu, H.; Haruna, S.; Zhao, B.; Shao, J.; Yu, Y. Effect of crumb rubber powder on mechanical properties and pore structure of polyurethane-based polymer mortar for repair. Construct. Build. Mater. 2021, 309, 125169. [Google Scholar] [CrossRef]
- Midgley, H.; Illston, J. The penetration of chlorides into hardened cement pastes. Cem. Concr. Res. 1984, 14, 546–558. [Google Scholar] [CrossRef]
- Zheng, H.; Mooney, M.; Tunstall, L. Pressure-driven chloride ion penetration in uncracked and cracked steel fiber reinforced concrete tunnel lining. Constr. Build. Mater. 2025, 470, 140616. [Google Scholar] [CrossRef]
- Zhou, M.; He, X.; Wang, H.; Wu, C.; He, J.; Wei, B. Mechanical properties and microstructure of ITZs in steel and polypropylene hybrid fiber-reinforced concrete. Constr. Build. Mater. 2024, 415, 135119. [Google Scholar] [CrossRef]
- Al-Sodani, K.A.A. Effect of exposure temperatures on chloride penetration resistance of concrete incorporating polypropylene fibers, silica fume and metakaolin. Constr. Build. Mater. 2022, 346, 128445. [Google Scholar] [CrossRef]
- Andrade, C. Calculation of chloride diffusion coefficients in concrete from ionic migration measurements. Cem. Concr. Res. 1993, 23, 724–742. [Google Scholar] [CrossRef]
- ACI 318-08; Building Code Requirements for Structural Concrete (ACI 318-08) and Commentary. American Concrete Institute: Farmington Hills, MI, USA, 2008.
- Ipavec, A.; Vuk, T.; Gabrovšek, R.; Kaučič, V. Chloride binding into hydrated blended cements: The influence of limestone and alkalinity. Cem. Concr. Res. 2013, 48, 74–85. [Google Scholar] [CrossRef]
- Thomas, M. Chloride thresholds in marine concrete. Cem. Concr. Res. 1996, 26, 513–519. [Google Scholar] [CrossRef]
- Wu, L.; Li, W.; Yu, X. Time-dependent chloride penetration in concrete in marine environments. Constr. Build. Mater. 2017, 152, 406–413. [Google Scholar] [CrossRef]
- Li, D.; Niu, D.; Fu, Q.; Luo, D. Fractal characteristics of pore structure of hybrid Basalt–Polypropylene fibre-reinforced concrete. Cem. Concr. Compos. 2020, 109, 103555. [Google Scholar] [CrossRef]
- Cheewaket, T.; Jaturapitakkul, C.; Chalee, W. Initial corrosion presented by chloride threshold penetration of concrete up to 10 years—Results under marine site. Constr. Build. Mater. 2012, 37, 693–698. [Google Scholar] [CrossRef]
- Frederiksen, J.; Mejlbro, L.; Nilsson, L. Fick’s 2nd Law—Complete Solutions for Chloride Ingress into Concrete; Lund Institute of Technology, Lund University—Division of Buildings Materials: Lund, Sweden, 2008. [Google Scholar]
- Abbas, S.; Soliman, A.; Nehdi, M. Chloride ion penetration in reinforced concrete and steel fiber-reinforced concrete precast tunnel lining segments. ACI Mater. J. 2014, 111, 613–622. [Google Scholar]
- Liang, N.; Geng, S.; Mao, J.; Liu, X.; Zhou, X. Investigation on cracking resistance mechanism of basalt-polypropylene fiber reinforced concrete based on SEM test. Constr. Build. Mater. 2024, 411, 134102. [Google Scholar] [CrossRef]
- Wang, Z.; Huang, W.; Zhao, J.; Kong, L.; Jiang, S.; Xia, S.; Ren, D.; Tian, G. The performance evaluation of crack resistance in cement stabilized macadam base reinforced with polypropylene fibers based on DIC technology. Int. J. Pavement Res. Technol. 2024. [Google Scholar] [CrossRef]
















| SiO2 | Al2O3 | CaO | Fe2O3 | MgO | MnO | K2O | TiO2 | |
|---|---|---|---|---|---|---|---|---|
| C | 28.5% | 11.5% | 48.9% | 4.9% | 3.0% | 0.4% | 1.6% | 1.2% |
| FA | 48.8% | 29.9% | 9.4% | 6.9% | 1.9% | 0.2% | 1.5% | 1.4% |
| SF | >85% | -- | -- | -- | -- | -- | -- | -- |
| Length (mm) | Diameter (mm) | Elastic Modulus (GPa) | Tensile Strength (MPa) | Density (kg/m3) | Elongation | |
|---|---|---|---|---|---|---|
| Steel fiber | 40 | 0.30 | 200 | 1270 | 7800 | 5% |
| PP fiber | 12 | 0.03 | 4.8 | 500 | 910 | 17% |
| C | FA | SF | CA | SS | W | SP | Volume Fraction | ||
|---|---|---|---|---|---|---|---|---|---|
| Steel Fiber | PP Fiber | ||||||||
| M0 | 400 | 100 | 635 | 1165 | 27 | 169 | 4 | 2.0% | 0 |
| HF1 | 400 | 100 | 635 | 1165 | 27 | 169 | 4 | 1.9% | 0.1% |
| HF2 | 400 | 100 | 635 | 1165 | 27 | 169 | 4 | 1.7% | 0.3% |
| HF3 | 400 | 100 | 635 | 1165 | 27 | 169 | 4 | 1.5% | 0.5% |
| Mixture | Exposure Time (d) | Peak Chloride Content (%) | Critical Corrosion Depth (mm) |
|---|---|---|---|
| M0 | 50 | 0.33 | 9 |
| 100 | 0.52 | 12 | |
| 150 | 0.65 | 18 | |
| 200 | 0.74 | 20 | |
| HF1 | 50 | 0.31 | 7 |
| 100 | 0.41 | 10 | |
| 150 | 0.49 | 12 | |
| 200 | 0.62 | 16 | |
| HF2 | 50 | 0.28 | 7 |
| 100 | 0.37 | 9 | |
| 150 | 0.44 | 12 | |
| 200 | 0.58 | 16 | |
| HF3 | 50 | 0.32 | 8 |
| 100 | 0.44 | 12 | |
| 150 | 0.53 | 16 | |
| 200 | 0.65 | 18 |
Disclaimer/Publisher’s Note: The statements, opinions and data contained in all publications are solely those of the individual author(s) and contributor(s) and not of MDPI and/or the editor(s). MDPI and/or the editor(s) disclaim responsibility for any injury to people or property resulting from any ideas, methods, instructions or products referred to in the content. |
© 2025 by the authors. Licensee MDPI, Basel, Switzerland. This article is an open access article distributed under the terms and conditions of the Creative Commons Attribution (CC BY) license (https://creativecommons.org/licenses/by/4.0/).
Share and Cite
Yu, J.; Abdalla, J.A.; Hawileh, R.A.; Zhang, X.; Zhang, Z. Corrosion Inhibition in Concrete: Synergistic Performance of Hybrid Steel-Polypropylene Fiber Reinforcement Against Marine Salt Spray. Polymers 2025, 17, 2645. https://doi.org/10.3390/polym17192645
Yu J, Abdalla JA, Hawileh RA, Zhang X, Zhang Z. Corrosion Inhibition in Concrete: Synergistic Performance of Hybrid Steel-Polypropylene Fiber Reinforcement Against Marine Salt Spray. Polymers. 2025; 17(19):2645. https://doi.org/10.3390/polym17192645
Chicago/Turabian StyleYu, Jianqiao, Jamal A. Abdalla, Rami A. Hawileh, Xiaoyue Zhang, and Zhigang Zhang. 2025. "Corrosion Inhibition in Concrete: Synergistic Performance of Hybrid Steel-Polypropylene Fiber Reinforcement Against Marine Salt Spray" Polymers 17, no. 19: 2645. https://doi.org/10.3390/polym17192645
APA StyleYu, J., Abdalla, J. A., Hawileh, R. A., Zhang, X., & Zhang, Z. (2025). Corrosion Inhibition in Concrete: Synergistic Performance of Hybrid Steel-Polypropylene Fiber Reinforcement Against Marine Salt Spray. Polymers, 17(19), 2645. https://doi.org/10.3390/polym17192645

