Sign in to use this feature.

Years

Between: -

Subjects

remove_circle_outline
remove_circle_outline
remove_circle_outline
remove_circle_outline
remove_circle_outline
remove_circle_outline
remove_circle_outline
remove_circle_outline
remove_circle_outline

Journals

remove_circle_outline
remove_circle_outline
remove_circle_outline
remove_circle_outline

Article Types

Countries / Regions

remove_circle_outline
remove_circle_outline
remove_circle_outline
remove_circle_outline
remove_circle_outline

Search Results (950)

Search Parameters:
Keywords = lower canopy

Order results
Result details
Results per page
Select all
Export citation of selected articles as:
30 pages, 8582 KB  
Article
Machine Learning Approaches for Assessing Avocado Alternate Bearing Using Sentinel-2 and Climate Variables—A Case Study in Limpopo, South Africa
by Muhammad Moshiur Rahman, Andrew Robson and Theo Bekker
Remote Sens. 2025, 17(24), 3935; https://doi.org/10.3390/rs17243935 - 5 Dec 2025
Abstract
Alternate (irregular) bearing, characterized by large fluctuations in fruit yield between consecutive years, remains a major constraint to sustainable avocado (Persea americana) production. This study aimed to assess the potential of satellite remote sensing and climatic variables to characterize and predict [...] Read more.
Alternate (irregular) bearing, characterized by large fluctuations in fruit yield between consecutive years, remains a major constraint to sustainable avocado (Persea americana) production. This study aimed to assess the potential of satellite remote sensing and climatic variables to characterize and predict alternate bearing patterns in commercial orchards in Tzaneen, Limpopo Province, South Africa. Historical yield data (2018–2024) from 46 “Hass” avocado blocks were analyzed alongside Sentinel-2 derived vegetation indices (NDVI, GNDVI, NDRE, CIG, CIRE, EVI2, LSWI) and flowering indices (WYI, NDYI, MTYI). To align temporal scales, all VIs and FIs were aggregated into eight quarterly averages from the two years preceding each yield year and spatially averaged across each orchard block. Climatic predictors including maximum temperature (Tmax), minimum temperature (Tmin), vapor pressure deficit (VPD), and precipitation were screened against historical yields to identify critical periods, with June–October emerging as the most influential months, and these variables were aggregated accordingly to match annual alternate bearing patterns. Five machine learning (ML) algorithms—Random Forest, XGBoost, CATBoost, LightGBM, and TabPFN—were trained and tested using a Leave-One-Year-Out (LOYO) approach. Results showed that VPD, Tmin, and Tmax during the flowering period (July–September) were the most influential variables affecting subsequent yields. TabPFN achieved the highest predictive accuracy (Accuracy = 0.88; AUC = 0.95) and strongest temporal generalization. Spectral gradients between flowering and early fruit drop were lower during “on” years, reflecting stable canopy vigor. This combined use of remote sensing and climatic variables in a ML framework represents a novel approach, and the findings demonstrate that integrating remote sensing and climatic indicators enables early discrimination of “on” and “off” years, supporting proactive orchard management and improved yield stability. Full article
Show Figures

Figure 1

24 pages, 5841 KB  
Article
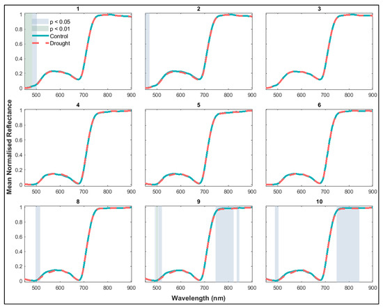
Probing Early and Long-Term Drought Responses in Kauri Using Canopy Hyperspectral Imaging
by Mark Jayson B. Felix, Russell Main, Michael S. Watt and Taoho Patuawa
Remote Sens. 2025, 17(23), 3914; https://doi.org/10.3390/rs17233914 - 3 Dec 2025
Viewed by 266
Abstract
Global increases in drought frequency and severity pose growing risks to forest resilience, particularly for long-lived endemic tree species such as kauri (Agathis australis). Building on prior leaf-level work, this study assessed the utility of multitemporal canopy-scale hyperspectral imaging to characterise [...] Read more.
Global increases in drought frequency and severity pose growing risks to forest resilience, particularly for long-lived endemic tree species such as kauri (Agathis australis). Building on prior leaf-level work, this study assessed the utility of multitemporal canopy-scale hyperspectral imaging to characterise water stress in both controlled nursery and field conditions. Two complementary experiments were undertaken: (i) a 10-week controlled-environment experiment comparing drought and control groups, and (ii) a field-based assessment of juvenile kauri trees across multiple time points with contrasting soil volumetric water content. In the controlled-environment experiment, drought-treated seedlings exhibited delayed physiological responses, with reductions in stomatal conductance and assimilation emerging only after three weeks. In contrast, time-series analysis of narrow band hyperspectral indices (NBHIs) revealed detectable stress signatures within one week after drought initiation, with early sensitivity driven by structural and pigment-related indices. As stress progressed, pigment-specific indices became the dominant predictors. These findings were consistent with the field-based experiment. Variation in leaf equivalent water thickness (EWT) was strongly explained by pigment-sensitive indices, including Pigment Specific Simple Ratio Carotenoid (PSSRc) and Carotenoid Reflectance indices (CRI700 and CRI550), which together accounted for ca. 87% of the variance. Structural indices such as the Normalised Difference Vegetation Index (NDVI) also ranked among the top 20 predictors, but had comparatively lower explanatory power (<75%). Overall, the two experiments show that canopy-based hyperspectral imaging provides early, sensitive, and consistent detection of water stress in kauri. The findings highlight a scalable approach for monitoring drought impacts on kauri and offer a foundation for developing operational forest health tools under increasing climate pressure. Full article
(This article belongs to the Collection Feature Papers for Section Environmental Remote Sensing)
Show Figures

Figure 1

14 pages, 2034 KB  
Article
Assessment of the Crown Condition of Oak (Quercus) in Poland—Analysis of Defoliation Trends and Regeneration in the Years 2015–2024
by Grzegorz Zajączkowski, Piotr Budniak, Piotr Mroczek, Wojciech Gil and Pawel Przybylski
Forests 2025, 16(12), 1807; https://doi.org/10.3390/f16121807 - 2 Dec 2025
Viewed by 106
Abstract
Long-term monitoring of tree crown condition is essential for assessing forest resilience under increasing climatic variability. This study presents a comprehensive evaluation of oak (Quercus spp.) defoliation trends in Poland from 2015 to 2024, based on national forest health monitoring data. Mean [...] Read more.
Long-term monitoring of tree crown condition is essential for assessing forest resilience under increasing climatic variability. This study presents a comprehensive evaluation of oak (Quercus spp.) defoliation trends in Poland from 2015 to 2024, based on national forest health monitoring data. Mean defoliation remained relatively stable until 2018, followed by a significant increase in 2019 (+5.1 percentage points; p < 0.001), coinciding with a major drought event across Central Europe. In subsequent years, defoliation gradually decreased and stabilised, indicating partial canopy recovery. Segmented regression and spline models revealed a consistent breakpoint in 2019 across all age classes, with the most severe crown damage recorded in stands older than 100 years. Younger stands showed lower defoliation levels and higher regenerative capacity. A nonlinear relationship between defoliation and growing-season precipitation was also identified, showing that when rainfall fell below 40 mm, canopy loss exceeded 30%. The results confirm that oak defoliation reflects both short-term climatic stress and long-term structural changes. Integrating monitoring data with climatic analyses and statistical modelling improves the detection of stress-related drivers and the assessment of recovery processes. The combined use of these approaches supports adaptive forest management strategies, including the promotion of mixed-species and multi-aged stands, improvement of soil nutrient conditions, and targeted monitoring of drought-sensitive age classes, thereby enhancing the resilience of oak ecosystems to climate change. Full article
(This article belongs to the Special Issue Drought Tolerance in ​Trees: Growth and Physiology)
Show Figures

Figure 1

20 pages, 7466 KB  
Article
Regulatory Roles of Seedling Shading and Strip Planting on Soybean Branching and Yield in Relay Intercropping Systems
by Xiaopei Tang, Sisi Qin, Yao Zhao, Mei Xu, Huanbo Li, Yunhai Ai, Yi Wang and Weiguo Liu
Agronomy 2025, 15(12), 2756; https://doi.org/10.3390/agronomy15122756 - 29 Nov 2025
Viewed by 153
Abstract
The coordinated development of stems and branches, together with optimal strip spacing, is crucial for improving soybean yield in the soybean–maize relay strip intercropping system. Shading during the seedling stage often causes excessive stem elongation and reduced branching; however, the physiological mechanisms underlying [...] Read more.
The coordinated development of stems and branches, together with optimal strip spacing, is crucial for improving soybean yield in the soybean–maize relay strip intercropping system. Shading during the seedling stage often causes excessive stem elongation and reduced branching; however, the physiological mechanisms underlying stem–branch responses to changing light environments remain unclear. This study aimed to clarify how early-stage shading and subsequent light recovery regulate stem and branch development through changes in canopy light environment, phytohormones, and the expression of related genes. Shade-tolerant Nandou12 and shade-sensitive Nannong99-6 were used as experimental soybean cultivars. Six treatments were implemented: a non-shaded control with uniform strip spacing (T0: 40 cm); seedling shading (40% PAR-transmission nets for 35 days after emergence) combined with variable strip spacing (T1: 40 cm; T2: 70 cm; T3: 100 cm; T4: 130 cm; T5: 160 cm). Canopy light environment, main stem and branch traits, photosynthetic characteristics, phytohormones, related gene expression, and yield components were measured. The results indicated that shade at the seedling stage significantly upregulated auxin (IAA) biosynthesis gene GmYUCC and downregulated phytochrome gene GmPhyB in the main stem tips, corresponding to increased IAA and cytokinins (CKs). In branch tips, shading significantly downregulated GmYUCC and GmPhyB while upregulated GmMAX3B, which is consistent with reduced levels of IAA, CKs, and brassinosteroid (BR), and increased strigolactones (SLs). After light recovery, GmPhyB and GmYUCC were upregulated whereas GmMAX3B was downregulated, accompanied by higher IAA, GA, CKs, and BRs, lower SLs, and improved chlorophyll content, Rubisco content, photosynthesis, and the accumulation of soluble sugar and starch in branches. Nandou12 achieved up to 10% higher yield under shading, and a 100 cm strip spacing maintained 74–111% yield of the non-shaded soybean. These findings demonstrate that cultivars with strong shade tolerance and high branching potential, combined with a 100-cm strip spacing, effectively sustain yield in relay-intercropped soybean by enabling favorable physiological responses to early shading and subsequent light recovery. Full article
(This article belongs to the Section Innovative Cropping Systems)
Show Figures

Figure 1

27 pages, 4692 KB  
Article
Spray Deposition, Drift and Equipment Contamination for Drone and Conventional Orchard Spraying Under European Conditions
by Artur Godyń, Waldemar Świechowski, Grzegorz Doruchowski, Ryszard Hołownicki, Andrzej Bartosik and Konrad Sas
Agriculture 2025, 15(23), 2467; https://doi.org/10.3390/agriculture15232467 - 28 Nov 2025
Viewed by 273
Abstract
In Europe, there is a growing interest in crop spraying using unmanned aerial vehicles (UAVs, drones), although current legislation imposes significant limitations on this technique. Spraying of orchard crops with drones remains particularly challenging due to the risks of spray drift and insufficient [...] Read more.
In Europe, there is a growing interest in crop spraying using unmanned aerial vehicles (UAVs, drones), although current legislation imposes significant limitations on this technique. Spraying of orchard crops with drones remains particularly challenging due to the risks of spray drift and insufficient deposition uniformity. This study evaluated spray deposition within tree canopies (in two application terms), airborne and sediment drift losses, and contamination of the spraying equipment. The performance of a medium-sized drone (ABZ Innovation L10, maximum take-off weight 29 kg) was compared at flight speeds of 1.8, 2.7, and 3.6 m·s−1 with that of a conventional orchard sprayer (Munckhof axial sprayer with column attachment, operating at 1.7 m·s−1). A fluorescent tracer (BF7G, 1200 g·ha−1) was used in all trials, with spray volume rates of 27 or 40 L·ha−1 for the drone and 400 L·ha−1 for the sprayer. In most cases, deposition within the tree canopy was significantly lower for the drone. Poor uniformity of spray distribution was observed, especially between the upper and lower surfaces of collector plates with attached filter papers and between the top and bottom canopy zones. Airborne drift increased significantly with higher drone flight speeds, while sediment drift decreased. At 1.8 m·s−1, both drift types were comparable to those from the conventional sprayer. Drone surface contamination was several times lower than that of the ground sprayer, even when accounting for differences in equipment surface area. Full article
(This article belongs to the Section Agricultural Technology)
Show Figures

Figure 1

19 pages, 2350 KB  
Article
A Study on the Assembly Mechanisms of Shrub Communities in Coniferous and Broadleaved Forests—A Case Study of Jiangxi, China
by Yuxi Xue, Xiaoyue Guo, Wei Huang, Xiaohui Zhang, Yuxin Zhang, Yongxin Zhong, Xia Lin, Qi Zhang, Qitao Su and Yian Xiao
Biology 2025, 14(12), 1683; https://doi.org/10.3390/biology14121683 - 26 Nov 2025
Viewed by 194
Abstract
The ecological strategies of understory shrubs are critical for maintaining the structure and function of forest understory vegetation. Understanding the assembly mechanisms of these shrub communities is a central issue in modern ecology. To address this, our study was conducted in the typical [...] Read more.
The ecological strategies of understory shrubs are critical for maintaining the structure and function of forest understory vegetation. Understanding the assembly mechanisms of these shrub communities is a central issue in modern ecology. To address this, our study was conducted in the typical red soil regions of Jiangxi, China, focusing on secondary forests (including both broadleaved and coniferous types) of similar stand age. We aimed to assess the effects of various environmental factors—such as soil pH, total nitrogen content, bulk density, and understory temperature—along with tree-layer characteristics—including canopy closure, tree species richness, and diameter at breast height (DBH)—on the species composition, functional traits, and phylogenetic structure of the shrub layer. Results showed: One-way ANOVA revealed significant differences in functional traits between the two forest types. Specifically, leaf thickness, specific leaf area, and chlorophyll content were significantly higher in the coniferous forest, whereas leaf dry matter content was significantly lower compared to the broadleaved forest (p < 0.05). These results suggest that understory shrubs in the coniferous forest primarily adopt a resource-conservative strategy, while those in the broadleaved forest exhibit a resource-acquisitive strategy. Phylogenetic analysis further revealed that the phylogenetic diversity (PD) of coniferous forests was significantly lower than that of broadleaved forests (p < 0.05). The phylogenetic structure in coniferous forests showed a more clustered pattern (NTI > 0, NRI > 0), suggesting stronger environmental filtering. Diversity index analysis showed that the Chao1 index indicated a richer potential species pool in broadleaved forests (p < 0.05), while species distribution was more even in coniferous forests (p < 0.05). Random Forest model analysis identified the diameter at breast height (DBH) of trees as the most critical negative driver, while soil pH was the primary positive driver. Redundancy Analysis (RDA) confirmed that the community structure in coniferous forests was mainly driven by biotic competition pressure represented by DBH, whereas the structure in broadleaved forests was more closely associated with abiotic factors like soil total nitrogen and pH (R2 = 0.29, p < 0.05). These environmental drivers, through strong environmental filtering, collectively resulted in a phylogenetically clustered pattern of shrub communities in both forest types. This study demonstrates that the assembly of understory shrub communities is a complex, multi-level process co-regulated by multiple factors, shaped by both the biotic pressure from the overstory structure and abiotic filtering from the soil environment. This finding deepens our understanding of the rules governing community assembly in forest ecosystems. Full article
(This article belongs to the Section Ecology)
Show Figures

Figure 1

24 pages, 1933 KB  
Article
Aerial Spray Application of Plant Protection Products for Grapevine Downy Mildew Control: Efficacy and Canopy Deposit Evaluation in Semi-Field Trials
by Margherita Furiosi, Sara Triachini, Gian Maria Beone, Maria Chiara Fontanella, Sonia Gaaied, Ghada Arbi, Anastasia Lomadze, Marco Grella, Eric Mozzanini, Emilio Dicembrini, Luca Languasco, Monica Fittipaldi Broussard, Luca Nassi, Tito Caffi and Nicoleta Alina Suciu
Agronomy 2025, 15(12), 2703; https://doi.org/10.3390/agronomy15122703 - 24 Nov 2025
Viewed by 306
Abstract
A growing interest in aerial drone applications has led to the European regulatory proposal 2022/0196/COD, which considers aerial spraying in steep-slope vineyards safer for human health and the environment. Nevertheless, disease control in perennial crops by aerial applications remains under-investigated. This study aims [...] Read more.
A growing interest in aerial drone applications has led to the European regulatory proposal 2022/0196/COD, which considers aerial spraying in steep-slope vineyards safer for human health and the environment. Nevertheless, disease control in perennial crops by aerial applications remains under-investigated. This study aims to identify suitable Plant Protection Products (PPPs) for aerial application in vineyards and analytical methods to quantify PPP deposits. A standardized protocol for controlling grapevine downy mildew was developed, testing Metalaxyl-M and copper-based fungicides’ efficacy and foliar depositions. As Italian law prohibits aerial application, an Unmanned Aerial Spray System (UASS) constrained to the ground simulated aerial spray. Leaves were sampled on predetermined days after treatment application for both fungicides’ efficacy evaluation and deposit quantification. Metalaxyl-M applied from UASS showed an efficacy comparable to ground sprays at pre- and post-flowering (≈70%), while copper efficacy from UASS was lower (≈47–63%) at each stage. Aerial sprayings resulted in higher deposits in the upper canopy, potentially explaining the lower efficacy of copper fungicides, while Metalaxyl-M’s systemicity partially compensated for the uneven vertical distribution, improving disease control. This study established a methodology for aerial PPP testing in vineyards, further studies are needed to confirm these findings across different years and locations. Full article
(This article belongs to the Section Precision and Digital Agriculture)
Show Figures

Figure 1

18 pages, 980 KB  
Article
Canopy-Level Regulation of Within-Boll Cotton Yield and Fiber Quality Under Staged Saline Water Supplemental Irrigation in Xinjiang
by Na Zhang, Yachen Yang, Wenxiu Xu, Penghao Zhong, Liang Wang, Rensong Guo, Tao Lin, Liwen Tian and Jianping Cui
Agronomy 2025, 15(11), 2662; https://doi.org/10.3390/agronomy15112662 - 20 Nov 2025
Viewed by 313
Abstract
Freshwater scarcity severely limits sustainable cotton production in arid regions. This study aimed to establish the optimal salinity threshold for staged saline water supplemental irrigation (SWSI) and elucidate its canopy-level mechanisms in optimizing within-boll yield components and fiber quality. A two-year field trial [...] Read more.
Freshwater scarcity severely limits sustainable cotton production in arid regions. This study aimed to establish the optimal salinity threshold for staged saline water supplemental irrigation (SWSI) and elucidate its canopy-level mechanisms in optimizing within-boll yield components and fiber quality. A two-year field trial (2023–2024) was conducted in Awati County, Xinjiang, using mulched drip irrigation at five SWSI levels (3.5–9.5 g L−1) and a freshwater control (CK). Compared with CK, 3.5 g L−1 treatment significantly increased lint yield by 31.4%, boll number per plant by 22.45%, and fibers per seed by 6.01–10.59%, while fiber length and strength rose by 6.98–10.38% and 2.69–6.00%, respectively. When salinity reached 8.0 g L−1, yield declined by 8.5%, and a salinity of 9.5 g L−1 reduced yield by 24.52%. Spatially, mid-fruiting branches (nodes 4–6) remained stable, maintaining high lint mass per seed even under high salinity, whereas upper branches (≥node 7) were most sensitive; at 9.5 g L−1, the boll number (0.36) was 56.6% lower than at 3.5 g L−1 (0.83), and the Q-score decreased by 6.7%. These results demonstrate that SWSI with ≤5.0 g L−1 salinity (optimum 3.5 g L−1) simultaneously enhances lint yield and fiber quality, providing a practical strategy for efficient saline water use in arid cotton regions. Full article
Show Figures

Figure 1

16 pages, 7374 KB  
Article
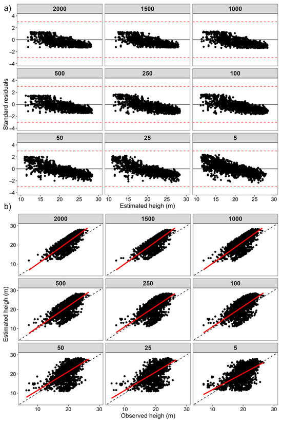
Optimizing UAV-LiDAR Point Density for Eucalyptus Height Estimation in Agroforestry
by Ernandes Macedo da Cunha Neto, Emmanoella Guaraná, Marks Melo Moura, Hudson Franklin Pessoa Veras, Angélica Maria Almeyda Zambrano, Eben North Broadbent, Emanuel Maia, Allan Libanio Pelissari, Luciano Rodrigo Lanssanova, Carlos Roberto Sanquetta and Ana Paula Dalla Corte
Forests 2025, 16(11), 1747; https://doi.org/10.3390/f16111747 - 19 Nov 2025
Viewed by 389
Abstract
The demand for forest materials necessitates advancements in forest management and inventory practices. We explore the integration of Unmanned Aerial Vehicles (UAVs) equipped with LiDAR sensors as a cost-effective alternative for precise forest monitoring. It evaluates the impact of varying point cloud densities [...] Read more.
The demand for forest materials necessitates advancements in forest management and inventory practices. We explore the integration of Unmanned Aerial Vehicles (UAVs) equipped with LiDAR sensors as a cost-effective alternative for precise forest monitoring. It evaluates the impact of varying point cloud densities on the accuracy of individual tree height estimation in Eucalyptus benthamii within Crop–Livestock–Forestry systems (15.9 ha and 357 individuals·ha−1). We use a DJI M600 Pro UAV with a Velodyne 32c Ultra Puck LiDAR sensor at the Center for Technological Innovation in Agriculture (NITA) in Brazil. The resulting point clouds were processed to generate Digital Terrain Models and Canopy Height Models at densities ranging from 5 to 2000 points per square meter (pts·m−2). Statistical analyses, including Pearson correlation, root mean square error, and bias, were conducted to compare UAV-LiDAR-derived heights with field measurements. We found that reduced point densities, particularly around 100 pts·m−2, maintained high accuracy in height estimation (RMSE = 17.129%, BIAS = −7.889%), with more than 90% in trees’ detection. UAV-LiDAR systems with optimized point cloud densities offer a viable solution for forest monitoring. 100 pts·m−2 is an optimal density, promoting faster data collection, lower battery consumption, and reduced computational costs on trees’ height estimates. Full article
Show Figures

Figure 1

26 pages, 1595 KB  
Article
Early Vegetative Response and Fruit Quality Modulation by Fruit Thinning and Weed-Control Mesh in Citrus sinensis CV. ‘Navelina’
by Carlos Giménez-Valero, Dámaris Núñez-Gómez, Pilar Legua, Juan José Martínez-Nicolás, Vicente Lidón Noguera and Pablo Melgarejo
Horticulturae 2025, 11(11), 1387; https://doi.org/10.3390/horticulturae11111387 - 18 Nov 2025
Viewed by 373
Abstract
Cultivation practices such as fruit thinning and soil management with ground covers are commonly applied in Citrus orchards, yet their physiological impact on young trees remains poorly documented. This study evaluated the effects of manual fruit thinning and weed-control mesh on vegetative growth, [...] Read more.
Cultivation practices such as fruit thinning and soil management with ground covers are commonly applied in Citrus orchards, yet their physiological impact on young trees remains poorly documented. This study evaluated the effects of manual fruit thinning and weed-control mesh on vegetative growth, fruit development, and leaf mineral composition of Citrus sinensis L. Osbeck cv. ‘Navelina’ grafted on Citrus macrophylla. A six-month field experiment was conducted in southeastern Spain under semi-arid Mediterranean conditions using six treatments that combined different soil coverage and subsurface drainage systems. After physiological fruit drop, trees were standardized to ten fruits per plant. Vegetative parameters (canopy and trunk dimensions), fruit growth (size, juice content), and foliar nutrient concentrations were monitored. Trees with ground cover showed significantly greater canopy expansion and juice yield compared to uncovered controls. A negative correlation between fruit number and canopy-to-fruit volume ratio highlighted the trade-off between vegetative vigor and fruit load. Foliar analysis revealed lower micronutrient concentrations (Fe, Mn, B, Zn) in uncovered trees, suggesting reduced nutritional status. These findings demonstrate that combining early thinning with weed-control mesh promotes vegetative vigor, improves juice yield, and enhances nutrient uptake, providing practical insights for optimizing orchard establishment and early Citrus productivity in water-limited environments. Full article
Show Figures

Graphical abstract

21 pages, 8278 KB  
Article
Numerical Study on the Aerodynamic and Structural Response Characteristics of a High-Altitude Wind-Capturing Umbrella
by Jian Jiang, Jiaqi Wang, Yan Wang, Chang Cai and Tengyuan Wang
Appl. Sci. 2025, 15(22), 12161; https://doi.org/10.3390/app152212161 - 16 Nov 2025
Viewed by 362
Abstract
As global demand for renewable energy continues to grow, high-altitude wind energy, characterized by high speed, wide distribution, and strong stability, has emerged as a promising alternative to low-altitude wind energy. Airborne Wind Energy systems (AWEs) are key to harnessing high-altitude wind, and [...] Read more.
As global demand for renewable energy continues to grow, high-altitude wind energy, characterized by high speed, wide distribution, and strong stability, has emerged as a promising alternative to low-altitude wind energy. Airborne Wind Energy systems (AWEs) are key to harnessing high-altitude wind, and Ground-Generator (Ground-Gen) AWEs are favored for their lower costs and simpler deployment. This study focuses on the umbrella–ladder-type Ground-Gen AWEs, aiming to address the research gap by exploring the influence of canopy permeability on the aerodynamic and structural response characteristics of flexible wind-capturing umbrellas. A single-umbrella model of the high-altitude wind-capturing umbrella was established, and bidirectional fluid–structure interaction (FSI) numerical simulations were conducted using the Arbitrary Lagrangian–Eulerian (ALE) method. Simulations were performed under a 30° angle of attack with two canopy thicknesses (5 × 10−5 m and 1 × 10−4 m) and varying permeability (adjusted via viscosity coefficient a and inertial coefficient b). Results showed that higher permeability (smaller a and b) hindered upper canopy inflation, while lower permeability promoted full inflation and more uniform stress distribution. The max/min in-plane shear stress for the model with the lowest permeability (Model F) was approximately 85% lower than that of the model with the highest permeability (Model A). The tension coefficient increased with decreasing permeability. Full inflation resulted in a slightly higher axial load in the upper suspension lines due to the lift force, with a difference of up to 92.3% during slight collapse. This difference becomes significantly more pronounced during severe collapse. Asymmetric flow fields at a 30° attack angle generated a lift force, resulting in higher tension coefficients than those at a 0° attack angle. These findings provide valuable references for the design and optimization of high-altitude wind-capturing umbrellas. Full article
(This article belongs to the Section Aerospace Science and Engineering)
Show Figures

Figure 1

20 pages, 5309 KB  
Article
Seed Priming as a Tool for Optimizing Sugar Beet Canopy Traits, Root Yield and Technological Sugar Yield
by Beata Michalska-Klimczak, Zdzisław Wyszyński, Vladimír Pačuta, Marek Rašovský, Jan Buczek and Chrystian Chomontowski
Agriculture 2025, 15(22), 2366; https://doi.org/10.3390/agriculture15222366 - 14 Nov 2025
Viewed by 302
Abstract
Seed priming is a proven method for enhancing early plant development and stress resilience, yet its field-level effects on sugar beet performance remain underexplored. This study evaluated the impact of seed priming on emergence dynamics, canopy traits, root yield, and sugar productivity over [...] Read more.
Seed priming is a proven method for enhancing early plant development and stress resilience, yet its field-level effects on sugar beet performance remain underexplored. This study evaluated the impact of seed priming on emergence dynamics, canopy traits, root yield, and sugar productivity over three growing seasons with variable weather conditions in central Poland. We found that primed seeds consistently improved emergence uniformity, plant spacing, and early growth, resulting in a more regular canopy structure and greater biomass accumulation. Sugar beet root yield increased by 6.2–7.7%, primarily due to higher average root mass, while final plant density remained unaffected. Although sucrose content was not significantly altered, sugar beet roots from primed seeds exhibited lower concentrations of molasses-forming substances (Na+, K+, and α-amino nitrogen). As a result, biological and technological sugar yields increased by 5.9% and 6.1%, respectively. Our results illustrate how seed priming enhances both agronomic performance and processing quality of sugar beet under field conditions, offering a low-cost strategy for stabilizing yield in temperate environments. Full article
(This article belongs to the Section Crop Production)
Show Figures

Figure 1

12 pages, 1352 KB  
Article
Urban Tree Canopy, Asthma Prevalence, and Health Equity in Los Angeles: A Geospatial Analysis with Implications for Urban Forestry
by Pranav Aiyer, Aiza Mominkhawaja, Salim Surani and Hari M Shankar
Urban Sci. 2025, 9(11), 476; https://doi.org/10.3390/urbansci9110476 - 14 Nov 2025
Viewed by 315
Abstract
In this cross-sectional, ecological study of Los Angeles County ZIP codes, we evaluated the association between tree canopy coverage and asthma prevalence. Urban tree canopy has been promoted as a way to improve air quality and mitigate urban heat, but its relationship with [...] Read more.
In this cross-sectional, ecological study of Los Angeles County ZIP codes, we evaluated the association between tree canopy coverage and asthma prevalence. Urban tree canopy has been promoted as a way to improve air quality and mitigate urban heat, but its relationship with asthma is not well established. Previous studies have shown mixed results, and little is known about whether associations differ between children and adults or across communities with varying demographic compositions. This study evaluated the association between tree canopy coverage and asthma prevalence across Los Angeles County ZIP codes. Data from 75 ZIP codes with complete information on canopy cover and asthma prevalence were analyzed using correlation, t-tests, and regression models adjusting for population density and minority population composition. Greater canopy coverage was associated with lower pediatric asthma prevalence (β = −0.625, p < 0.001); pediatric rates were 12.7% in low-canopy ZIP codes compared with 10.5% in high-canopy ZIP codes (t = 6.07, p < 0.001). This inverse relationship was stronger in ZIP codes with higher minority populations (interaction β = –0.0145, p = 0.006). In contrast, canopy coverage showed a weak but statistically significant positive association with adult asthma prevalence (β = 0.33, p < 0.001). These findings suggest that urban tree canopy may play a role in reducing pediatric asthma disparities, underscoring the potential of equitable urban forestry strategies as part of public health planning. Full article
Show Figures

Figure 1

17 pages, 1454 KB  
Article
Functional Trait Variability of Salicornia europaea L. Across Inland Saline Habitats: Integrating Shoot and Root Morphometrics with Soil Salinity and Trophic Status
by Agnieszka Piernik, Nour Elhouda Gargouri, Piotr Hulisz, Ahmad Rajabi Dehnavi and Stefany Cárdenas Pérez
Plants 2025, 14(21), 3383; https://doi.org/10.3390/plants14213383 - 5 Nov 2025
Viewed by 388
Abstract
Salicornia europaea is an extremely salt-tolerant annual halophyte. It occurs in coastal and inland saline habitats and is increasingly cultivated for food, nutraceuticals, and environmental remediation. This study examined whether inland populations from contrasting saline sites exhibit heritable differences in shoot and root [...] Read more.
Salicornia europaea is an extremely salt-tolerant annual halophyte. It occurs in coastal and inland saline habitats and is increasingly cultivated for food, nutraceuticals, and environmental remediation. This study examined whether inland populations from contrasting saline sites exhibit heritable differences in shoot and root morphology. Seeds from four isolated sites (Ciechocinek, Inowrocław, Salzgraben, and Soltauquelle) were grown at 0, 200, 400, and 1000 mM NaCl, and morphometric traits were quantified from digital images. Corresponding soil samples were also analyzed. A strong relationship was found between population origin and responses to salt stress. Optimal growth generally occurred at 200–400 mM NaCl. Shoot canopy area consistently best discriminated among populations. Inowrocław and Salzgraben performed best under extreme salinity (1000 mM), whereas Ciechocinek showed the weakest growth. Root analyses revealed a shift from radial expansion at moderate salinity to elongation at higher levels, with Salzgraben and Soltauquelle maintaining the longest roots. Soil analyses indicated substantial site differences: Ciechocinek had the highest salinity, resulting in the smallest trait development, Inowrocław was rich in Ca2+ and organic matter, while the German sites had lower salinity but higher pH and bicarbonates. These findings demonstrate population-specific adaptive strategies and soil-legacy effects, supporting targeted ecotype selection for saline agriculture and phytoremediation. Full article
(This article belongs to the Special Issue Chemical Properties of Soils and its Impact on Plant Growth)
Show Figures

Figure 1

25 pages, 3703 KB  
Article
Effect of Individual Selection Silvicultural Treatment on the Vertical Structure of a Pine-Oak Forest in Northern Mexico
by Joel Rascón-Solano, Samuel Alberto García-García, Rufino Sandoval-García, Eduardo Alanís-Rodríguez, Sandra Pérez-Álvarez, Patricia Uranga-Valencia, Oscar Aguirre-Calderón, Gerónimo Quiñonez-Barraza, Juan Abel Nájera-Luna, Benedicto Vargas-Larreta and Francisco Hernández
Ecologies 2025, 6(4), 74; https://doi.org/10.3390/ecologies6040074 - 5 Nov 2025
Viewed by 516
Abstract
Understanding the structural dynamics of temperate forests is essential for their sustainable management. This study assessed the vertical structure of a mixed temperate forest in the Sierra Madre Occidental, Mexico, under an individual selection cutting regime implemented in 2012 and 2022. Nine Permanent [...] Read more.
Understanding the structural dynamics of temperate forests is essential for their sustainable management. This study assessed the vertical structure of a mixed temperate forest in the Sierra Madre Occidental, Mexico, under an individual selection cutting regime implemented in 2012 and 2022. Nine Permanent Silvicultural Research Sites were established, and measurements were carried out in 2012, 2022, and 2023 to record tree species, height, and crown cover. The analyses describe dendrometric variables, structural verticality indices and the Pretzsch index; regression models were fitted and Kruskal–Wallis tests performed. The results revealed a multistratified forest: Pinus durangensis dominates the upper canopy, while broadleaved species concentrate in the lower layers, enriching the understorey. Following silvicultural interventions, structural reorganisation was evident, with an increase in emergent individuals in the canopy and stability in crown-cover frequencies. A slight increase in pine and oak cover was detected, together with the presence of new tree species characteristic of the region. Taken together, the findings indicate that planned individual-selection cutting can maintain the stand’s original vertical structure and the functionality of the mixed temperate forest in northern Mexico, providing an analytical approach applicable to other comparable forest regions. Full article
Show Figures

Graphical abstract

Back to TopTop