Highlights
What are the main findings?
- A combination of structural and pigment-related narrow band hyperspectral indices (NBHIs), analysed across multiple time points, enabled earlier detection of water stress in kauri seedlings compared to conventional physiological measures.
- Pigment-related indices robustly predicted variation in equivalent water thickness (EWT), accounting for up to 87% of observed variance in field-based juvenile kauri trees.
What are the implications of the main findings?
- Demonstrated the consistency and efficacy of canopy hyperspectral imaging to characterise water stress in kauri.
- Offers scalable pathways for broader forest health monitoring of indigenous species such as kauri and drought-sensitive forest species.
Abstract
Global increases in drought frequency and severity pose growing risks to forest resilience, particularly for long-lived endemic tree species such as kauri (Agathis australis). Building on prior leaf-level work, this study assessed the utility of multitemporal canopy-scale hyperspectral imaging to characterise water stress in both controlled nursery and field conditions. Two complementary experiments were undertaken: (i) a 10-week controlled-environment experiment comparing drought and control groups, and (ii) a field-based assessment of juvenile kauri trees across multiple time points with contrasting soil volumetric water content. In the controlled-environment experiment, drought-treated seedlings exhibited delayed physiological responses, with reductions in stomatal conductance and assimilation emerging only after three weeks. In contrast, time-series analysis of narrow band hyperspectral indices (NBHIs) revealed detectable stress signatures within one week after drought initiation, with early sensitivity driven by structural and pigment-related indices. As stress progressed, pigment-specific indices became the dominant predictors. These findings were consistent with the field-based experiment. Variation in leaf equivalent water thickness (EWT) was strongly explained by pigment-sensitive indices, including Pigment Specific Simple Ratio Carotenoid (PSSRc) and Carotenoid Reflectance indices (CRI700 and CRI550), which together accounted for ca. 87% of the variance. Structural indices such as the Normalised Difference Vegetation Index (NDVI) also ranked among the top 20 predictors, but had comparatively lower explanatory power (<75%). Overall, the two experiments show that canopy-based hyperspectral imaging provides early, sensitive, and consistent detection of water stress in kauri. The findings highlight a scalable approach for monitoring drought impacts on kauri and offer a foundation for developing operational forest health tools under increasing climate pressure.
1. Introduction
Kauri (Agathis australis) is an iconic conifer endemic to New Zealand’s northern North Island, where it plays a significant ecological, cultural, and carbon-regulatory role. As one of the largest and longest-living tree species globally, kauri supports a rich biodiversity and is revered as a taonga (treasure) species by Māori, with its wood and resin used in cultural practices for centuries [1,2,3]. These trees also function as significant carbon sinks, contributing to climate regulation and forest ecosystem stability [2].
The resilience of kauri is increasingly challenged by climate-induced stressors, particularly drought. Rising temperatures and altered precipitation regimes are expected to increase the frequency and severity of drought events, potentially compromising kauri health and accelerating vulnerability to disease and decline [4,5,6,7,8]. Detecting early signs of drought stress, before irreversible damage occurs, is thus critical for managing and preserving this iconic species.
Physiological studies have highlighted the capacity of kauri to employ drought avoidance strategies [1,7,9,10], particularly through tight stomatal regulation and efficient internal water storage. Under a combination of drought and heat stress, juvenile kauri was found to maintain low stomatal conductance, suggesting conservative water use and potential buffering against short-term climatic extremes [9]. Similarly, Cranston (2010) [10] observed that juvenile kauri reduced sap flow and stem water content in response to declining soil moisture, despite minimal changes in gas exchange, indicating a reliance on internal reserves to maintain canopy function. Together, these findings suggest that kauri trees may initially mask water stress through internal regulation, underscoring the need for remote sensing approaches that can detect subtle physiological changes before visual symptoms emerge.
Recent advances in canopy-level remote sensing have demonstrated the utility of integrating high-resolution optical and structural data for detecting stress in kauri canopies. Meiforth et al. (2020) [11,12] employed a combination of WorldView-2 satellite imagery, airborne LiDAR and airborne AISA hyperspectral imagery to assess canopy disease stress signals across large areas of kauri forest in the Waitākere Ranges. Their studies revealed that combining structural metrics with spectral indices, particularly those sensitive to pigment changes in the red-edge, green, and blue regions, enabled accurate classification of stress symptoms. Importantly, they also showed that a reduced set of six hyperspectral bands could enable large-scale stress detection using multispectral sensors, making the approach scalable and cost-effective. While both studies focused on identifying symptoms of kauri dieback disease, the methodologies offer clear potential for broader applications, including the early detection of water stress, an increasingly important goal for forest monitoring and management under changing climatic conditions.
Hyperspectral remote sensing offers a promising, non-invasive method for detecting subtle physiological stress responses. By capturing reflectance across narrow, contiguous spectral bands, hyperspectral imagery can reveal changes in leaf pigments, photosynthetic activity, and water status that often precede visual symptoms [11,12,13,14]. When coupled with radiative transfer model (RTM) inversion techniques, these data can also be used to retrieve plant functional traits (PTs), such as chlorophyll content and canopy structure, which are tightly linked to stress physiology [15,16,17,18,19].
Our previous study was the first to apply hyperspectral sensing and radiative transfer modelling to detect pre-physiological drought stress in kauri at the leaf-level under controlled conditions [20]. Over a ten-week period, significant reductions in stomatal conductance and assimilation rates were observed in droughted seedlings within the first 2–4 weeks, while changes in equivalent water thickness (EWT) were more gradual. Despite this lag, several narrow-band hyperspectral indices (NBHIs), and, in particular, water and photochemical indices, showed significant divergence from control plants within the first week after water was withheld. Multitemporal classification models that averaged these indices over a moving window achieved good-to-outstanding performance from weeks 2 to 10, underscoring the importance of temporal information for early stress detection. These findings suggest that repeated measurements of hyperspectral features sensitive to pigment dynamics and water content may offer strong potential for pre-visual detection of drought stress in kauri, and merit further investigation at the canopy scale.
Despite substantial advances in plant drought physiology and remote sensing, several key gaps remain for kauri. Most existing work has characterised drought responses either at the leaf or seedling scale [20] or at coarse landscape scales [11,12], with limited focus on how canopy-level spectral signatures track the progression from early, reversible physiological stress to longer-term structural adjustment. In particular, the relative performance of pigment- and structure-sensitive indices, and the extent to which visible-to-red-edge (VNIR) signals alone can capture variation in canopy water status, are still poorly quantified for this species, limiting the design of operational monitoring systems.
Beyond addressing these gaps, the present study offers several novel contributions. First, to our knowledge, this is the first work to jointly analyse controlled-environment hyperspectral time-series and canopy-level UAV hyperspectral data for kauri, linking short-term physiological responses with longer-term structural adjustments under drought. Second, we examine the efficacy of pigment- and structure-sensitive indices derived solely from VNIR wavelengths for predicting canopy EWT in juvenile plantation-grown kauri, offering a practical pathway for implementing drought surveillance with currently available UAV and airborne sensors. The objectives were to assess whether early stress signals observed at the leaf level can be generalised to the canopy scale by (i) incorporating laboratory-based canopy-level hyperspectral imagery captured in parallel with the original leaf-level measurements from plants grown under controlled conditions, and (ii) extending the analysis to UAV-acquired hyperspectral imagery collected over 13-year-old, field-standing juvenile kauri trees across multiple time points with contrasting soil volumetric water content. Together, these analyses contribute to an operationally relevant framework for early water stress detection in kauri and provide insights into how well laboratory and field-based remote sensing can be bridged for forest health monitoring.
2. Materials and Methods
2.1. Controlled-Environment Experimental Design
The controlled-environment experiment was conducted from June to September 2023 in a polyhouse nursery facility in Rotorua, located in the central North Island of New Zealand. One hundred kauri seedlings provided by Te Roroa (the customary authority of Waipoua Forest) that were planted in 10 L pots, and filled with standard nursery potting mix, were randomly assigned to either a well-watered control group (n = 50) or a drought treatment group (n = 50). Watering for the drought treatment group was withheld following baseline measurements in Week 1, while control plants were watered the day prior to measurement.
Environmental conditions within the polyhouse were monitored using a CR1000X data logger (Campbell Scientific, Logan, UT, USA), with air temperature and relative humidity recorded every minute throughout the trial. The mean temperature was 20.2 °C with a standard deviation (SD) of 3.9 °C, and the mean relative humidity was 49.2% with SD of 9.1%.
To ensure consistency and attempt to capture peak physiological activity, all measurements were taken between 8:00 a.m. and 12:00 p.m. Each measurement day included 50 plants, with 25 from each treatment group, measured across two days per week (Monday and Thursday). Canopy-level hyperspectral imagery, physiological measurements, and destructive sampling were performed as outlined below.
2.1.1. Physiological and Biophysical Measurements
Stomatal Conductance and Assimilation
Stomatal conductance (gs) and photosynthetic assimilation rates (A) were measured for all plants using a GFS-3000 portable gas exchange system (M-Series, Heinz Walz GmbH, Effeltrich, Germany) (Figure 1). The system maintains controlled levels of carbon dioxide using a CO2 cartridge, allowing for accurate assessment of gas exchange. Five measurements, on juvenile leaves, were taken from the upper canopy of each plant, following a pre-illumination period of 120 s, under an ambient carbon dioxide concentration of 400 ppm.
Figure 1.
(a) Experimental setup for the hyperspectral imaging of kauri seedlings under a controlled-environment, (b) false-colour image derived from canopy-level acquisition, (c) leaf-level hyperspectral data collection, and (d) gas exchange measurement using the GFS-3000 system.
Leaf Water Content
Leaf water content was assessed through destructive sampling of 10 plants per measurement day (5 per treatment), with three leaves collected from each plant. Fresh leaves were weighed (FW), leaf area (LA) was recorded, and samples were oven-dried at 70 °C until constant weight to obtain dry weight (DW). These values were used to calculate equivalent water thickness (EWT) using the following equation:
Volumetric Water Content
Volumetric water content (VWC) was assessed in all 50 plants per measurement day. Prior to the trial, pots were weighed with dry soil, then saturated and weighed again after reaching field capacity. These baseline weights were used to estimate the VWC during the trial by daily pot weighing.
2.1.2. Hyperspectral Measurements
Canopy-Level Hyperspectral Imaging
After leaf-level physiological measurements, the canopy-level hyperspectral images were captured for all 50 plants, on each measurement day, using a Headwall Photonics VNIR (400–1000 nm) line-scanning hyperspectral camera (Headwall Photonics Inc., Bolton, MA, USA) fitted with a fixed focal length lens capable of close-range imaging. Mounted on an A-frame at a height of 2.25 m, the 12 mm lens configuration provided a 48° field of view, resulting in a cross-track swath width of ~2 m at the imaging height (Figure 1a). Imaging was conducted in a darkened room at the nursery using six ASD full-spectrum lamps (Malvern Panalytical technologies, Worcestershire, UK) to simulate natural sunlight. Plants were placed on a conveyor belt that moved them beneath the stationary sensor. A narrow Spectralon white reference strip (99% reflectance) (Spectralon, North Hutton, NH, USA) was fixed in the field of view for radiometric calibration, while spatial targets and checkerboards (Figure 1b) were used to assist geometric registration and frame timing.
2.2. Experimental Design for the Juvenile Kauri Field Trial
The juvenile kauri stand, established in 2010, is located ~1.05 km northeast of the same nursery facility (−38.157988°, 176.269128°). The trial plot consists of 48 juvenile kauri trees with a mean tree height of ~7.9 m. Along with UAV image acquisition, physiological and biophysical measurements were obtained from selected kauri trees in the field. These measurements were conducted on 9 March 2023, 1 March 2024, and 29 March 2025. It should be noted that UAV imagery data were not collected during the first year of observation.
2.2.1. UAV-Based Hyperspectral Data Acquisition
Hyperspectral imagery was collected over the kauri field trial using a Headwall Photonics visible to near-infrared (VNIR) hyperspectral sensor (Headwall Photonics Inc., Bolton, MA, USA) mounted on a Freefly Alta X (Freefly Systems Inc., Woodinville, WA, USA) unmanned aerial vehicle (UAV) (Figure 2). The sensor was equipped with a 12 mm focal length lens providing a 22.3° field of view and recorded 273 contiguous narrow spectral bands across the 400 to 1000 nm range, with a spectral resolution of 6 nm. Flight paths were pre-planned using the UgCS mission planning software, with flights being conducted around solar noon to ensure consistent illumination conditions and sensor settings configured through the HyperSpec® III version 3.2.0 (Headwall Photonics, Inc., Bolton, MA, USA) control software. Data were acquired at 125 frames per second with an 8 ms integration time. The flight altitude was maintained at 100 m above ground level and the platform was flown at 7.5 m/s to achieve a spatial resolution of approximately 6 cm with 40% image overlap. A three-grey-level Headwall reflectance calibration tarp (3 × 3 m) was deployed within the scene, and its 56% reflectance panel was used for radiometric calibration.
Figure 2.
False-colour composite derived from hyperspectral imagery of the kauri stand, with red polygons delineating the individual tree canopies included in this study (left) and Headwall hyperspectral sensor mounted on the Freefly Alta-X drone during field data acquisition, with juvenile kauri trees visible in the immediate background (right).
A network of five ground control points was established across the trial area to improve the accuracy of the orthorectification process. Each ground control point consisted of a 1 m square plastic target with high-contrast black and white quadrants which was surveyed using a Trimble Geo7X receiver connected to a Trimble Zephyr Model 2 external antenna (Trimble Inc., Sunnyvale, CA, USA). Each point was fixed for a minimum of five minutes to average approximately 300 observations, with resulting root mean square errors expected to fall between 5 and 15 cm.
2.2.2. Field-Based Physiological and Biophysical Measurements
Soil Volumetric Water Content
Soil samples were collected from the north-facing and south-facing canopy edges of selected trees using a soil auger to a depth of 30 cm. Samples were transferred to containers of known volume without compaction. Fresh weight was measured immediately, and samples were oven-dried at 105 °C for at least three days or until constant weight was achieved. Gravimetric water content (GWC) was calculated using:
where Wwet is the fresh soil weight and Wdry is the oven-dried weight. Volumetric water content (VWC) was estimated by multiplying GWC by bulk density (BD), calculated as the dry weight divided by the volume of the sample container:
GWC = (Wwet − Wdry)/Wdry
VWC = GWC × BD
Leaf Equivalent Water Thickness
To evaluate leaf water status, two branches were collected from the upper third of each selected tree, one each from the north- and south-facing aspects. From each branch, five of the youngest fully expanded leaves were sampled.
Leaf area (LA) was determined by photographing the leaves against a white background alongside a ruler and processing the image in ImageJ software (version 1.54d). Fresh weight was recorded immediately after imaging. Leaves were then dried at 70 °C until they reached a stable dry weight. Finally, EWT was calculated using Equation (1).
2.3. Data Processing and Analysis
2.3.1. Processing and Analysis of Hyperspectral Data
Hyperspectral image processing for both juvenile kauri and seedlings was conducted using the SpectralView® version 3.2.0 (Headwall Photonics, Inc.) software. Raw digital number values were first converted to radiance using manufacturer-provided gain and offset values, as well as dark current recordings. Radiance was subsequently converted to reflectance by scaling against the reflectance calibration panel placed in the field of view. For laboratory-based hyperspectral measurements, the orthorectification process was not applied, as geospatial correction was unnecessary for this controlled setting. In contrast, field-collected data underwent full orthorectification using post-processed real-time kinematic (RTK) positioning data combined with a LiDAR-derived digital elevation model (DEM). The final georeferencing was performed in the New Zealand Transverse Mercator 2000 (NZTM2000) projection.
Spectral profiles were extracted at the level of individual seedlings and trees. For field-based measurements, and in order to minimise the influence of shadows and background soil signals, the canopy spectra were extracted using LiDAR-derived crown polygons. Following methods described in [21], these were generated by identifying tree centres from a smoothed, pit-free CHM using a local-maxima approach, followed by watershed-based crown segmentation. Pixels affected by shadow were excluded by thresholding at the NIR band (~800 nm) before computing mean reflectance. In laboratory-based measurements, vegetation pixels were identified using a spectral angle mapper classifier, and mean reflectance was subsequently calculated. To mitigate spectral artefacts, a 5 × 5 moving average filter was applied, followed by a modified min–max normalisation scheme [22]. Unlike the conventional approach [22,23] that relies on absolute minima and maxima, this method employs the 2nd and 98th percentiles as scaling limits. Such percentile-based normalisation has proven robust against noise and outliers while preserving the underlying spectral variability [22].
The resulting canopy spectral reflectance of individual trees and seedlings were then used to calculate a suite of narrow band hyperspectral indices (NBHIs) with known sensitivity to physiological traits, including indices related to pigment content, leaf and canopy structure, and energy dissipation pathways. More than 55 indices were evaluated across these functional categories. In the analysis, Welch’s t-tests were applied to the NBHIs across multiple timeframes to identify the most informative and relevant indices.
2.3.2. Approach for Classifying Control and Drought Treatments
Classification of kauri seedlings into control and drought treatments was performed using a linear Support Vector Machine (SVM). Linear SVM seeks to determine an optimal hyperplane that maximises the margin between two classes. Given a training dataset (, ) where , denotes the feature vector and , represents the class label, the SVM solves the following optimisation problem:
subject to the constraints:
where is the weight vector, is the bias term, are slack variables that allow for misclassifications, and is a regularisation parameter controlling the balance between maximising the margin and minimising classification errors.
This formulation enables linear SVM to remain both robust and interpretable in high-dimensional feature spaces. In this regard, the linear Support Vector Machine (SVM) approach was chosen for its suitability in scenarios where the number of features is comparable to, or exceeds, the number of samples, offering computational efficiency and a reduced risk of overfitting compared to nonlinear kernels [24,25].
Two classification models were developed for laboratory-based measurements: a single-date (SiD) and a time-series (TS) model. In the SiD model, classification was performed independently for each week across the 10-week experimental period. In the TS model, data were aggregated across cumulative timeframes, beginning with week 1 and progressively incorporating subsequent weeks (e.g., weeks 1–2, weeks 1–3, …, weeks 1–10). For the TS model, three temporal descriptors, median, standard deviation, and slope, were computed for each NBHI thereby capturing the temporal dynamics of drought responses.
For both models, recursive feature elimination (RFE) was employed in conjunction with linear SVM. This step iteratively removed less important features based on the absolute value of the weight vector to enhance feature selection. Prior to RFE, less important correlated features (R > 0.90) were excluded to mitigate feature redundancy. To ensure robust and unbiased evaluation, a 10-fold cross-validation procedure was employed and repeated 9 times, each with a different train/test split. This repeated cross-validation strategy minimised variance associated with any single data split and provided a more reliable estimate of model generalisability. The accuracy metrics across the 10 iterations were averaged and reported to provide a robust representation of the model’s performance.
In addition to the confusion matrix, model performance was evaluated using precision, recall, and F1-score. These metrics were defined as:
where TP are true positives, FP are false positives and FN are false negatives.
3. Results
3.1. Kauri Seedlings Under Controlled-Environment
3.1.1. Variation in Seedling Physiology
Soil volumetric water content (VWC) showed a pronounced divergence between treatments throughout the experiment after week 1 (Figure 3a). Within the control group the soil VWC remained relatively stable over the experiment duration, with median values fluctuating between 35 and 40%. In contrast, VWC in the drought treatment exhibited a sustained decline from week 1, reaching values below 19% by week 10. Although there were no significant treatment differences in VWC at the point of droughting in week 1, treatment differences were highly significant (p < 0.001) from weeks 2 to 10. In contrast, EWT exhibited comparatively modest differences between treatments (Figure 3b) with control and drought groups exhibiting overlapping distributions throughout the experimental period. However, it is notable that the drought group tended to maintain slightly lower median values from week 6 onwards.
Figure 3.
Temporal variation in (a) soil volumetric water content (VWC), (b) equivalent water thickness (EWT), (c) stomatal conductance (gs), and (d) assimilation rate (A) by treatments from week 1 to week 10 (replotted from Felix et al., 2025 [20]). Boxplots that are shaded with blue, green, and yellow denote statistically significant differences of p < 0.05, p < 0.01, and p < 0.001, respectively. Whiskers indicate ± 1.5 × the interquartile range.
In contrast to the rapid decline in VWC, reductions in physiological traits were expressed more gradually in the drought group. Stomatal conductance (gs) and assimilation rate (A) in droughted seedlings tracked closely with control values during the early phase of the experiment, with no significant differences detected until week 4 (Figure 3c,d). Beyond this point, a consistent divergence emerged, reflecting a progressive impairment of gas exchange processes under water stress. These differences reached a maximum in week 9 when the control group exhibited values of gs and A that were, respectively, 76.3% and 71.5% higher than those of the drought-treated seedlings.
3.1.2. Variation in Seedling Canopy Spectra and Derived NBHIs
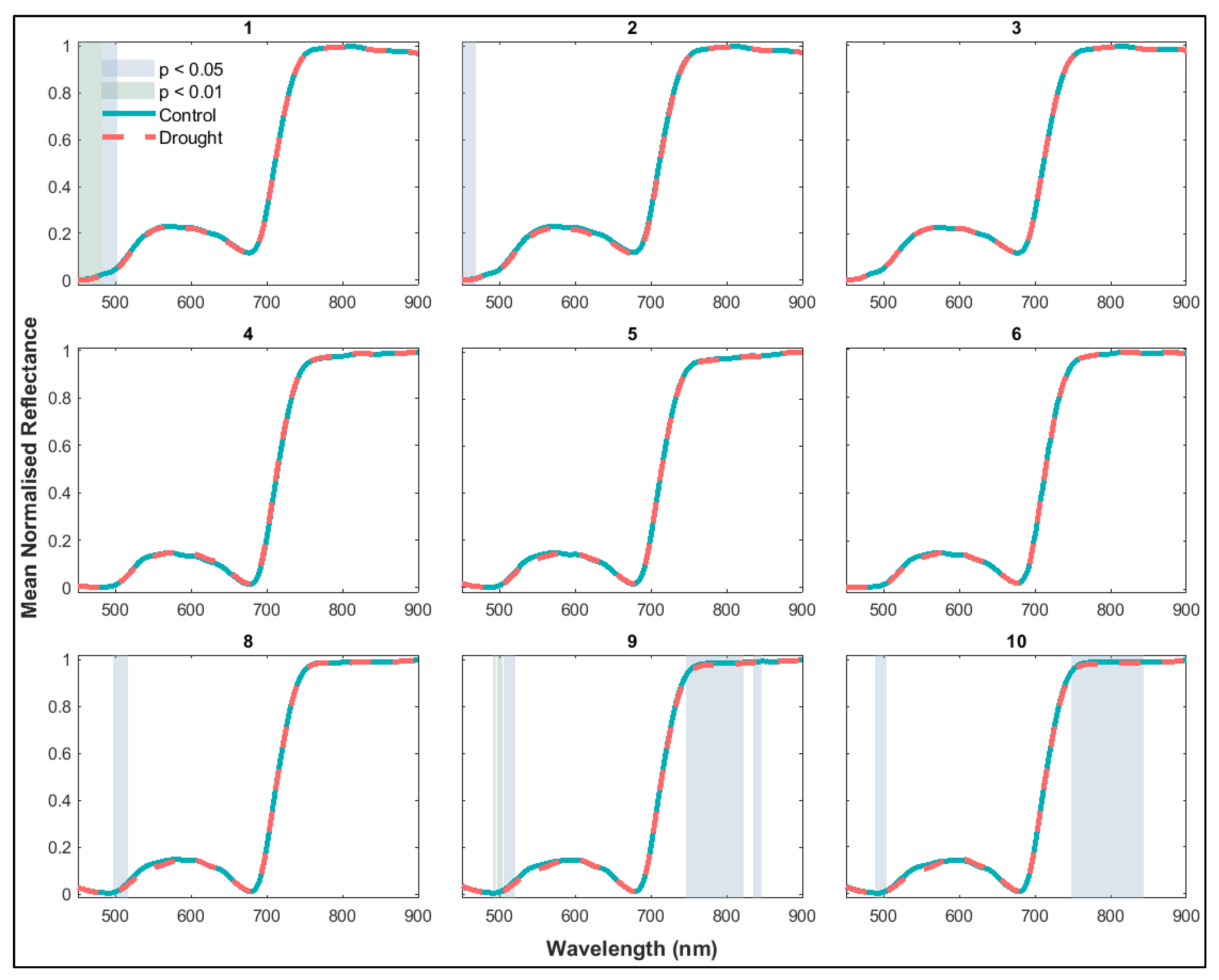
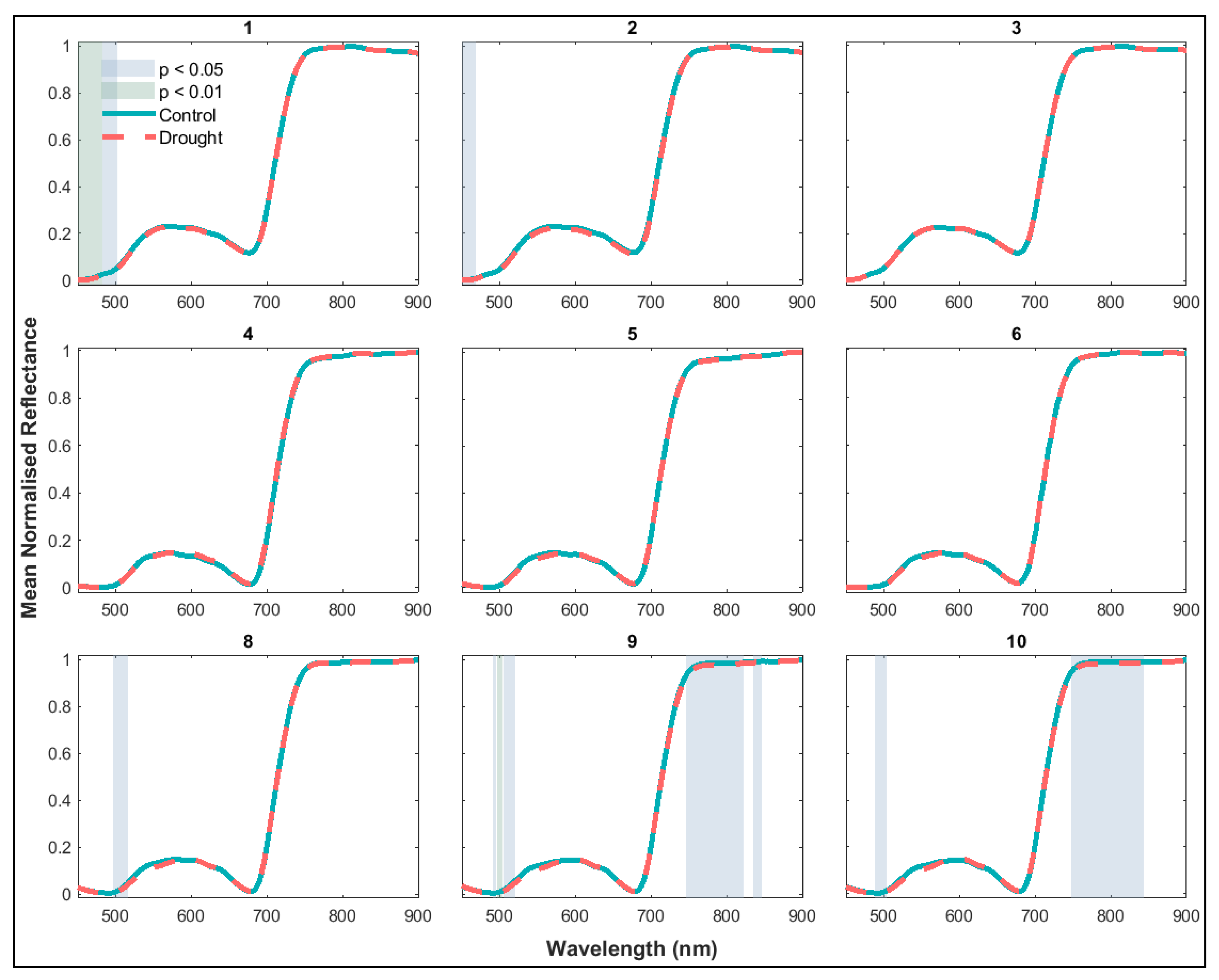
Despite the overall similarity in spectral curves between the control and drought groups (Figure 4), subtle but distinct differences emerged over time. Differences between treatment groups in the ~495–505 nm range became more apparent and consistent from week 8 onwards. By weeks 9 and 10, additional significant differences were observed in the NIR range (~748–843 nm), across which the droughted seedlings consistently showed slightly lower reflectance. While significant differences in the blue region (~440–490 nm) were observed during weeks 1 and 2, these early spectral differences diminished as the experiment progressed, and no consistent separation was observed at these wavelengths in later weeks.
Figure 4.
Spectral variation between treatments over the course of the 10-week experiment. Mean normalised reflectance at wavelengths with significant differences of p < 0.05 and p < 0.01 are shaded, respectively, using blue and green. The spectral profile for week 7 closely resembled that of week 6 and is therefore omitted for conciseness.
The t-test analyses for the NBHIs revealed similar temporal trend wherein the highest ranked NBHI, namely PRI570, consistently showed significant differences from week 8 onwards (Table 1). Structural indices such as TVI and EVI, also demonstrated moderate discriminatory ability with decreasing p values from week 6 onwards which became statistically significant in weeks 9 and 10. Other indices, such as PRIm2, MTVI1 and MCARI1, showed a similar temporal trend which became statistically significant in week 10.
Table 1.
Result of t-test analyses between drought and control treatments for the 20 most important narrowband hyperspectral indices (NBHIs) across measurement weeks. Indices are ranked (rightmost column) based on the mean p values from weeks 1–10. The blue shading indicates statistically significant differences at p < 0.05. Lower p values indicate stronger group separation.
3.1.3. Classification of Control and Drought Kauri Seedlings
The SVM classification results for discriminating control and drought-treated seedlings exhibited clear differences in performance between the single-date (SiD) and time-series (TS) modelling approaches (Table 2). SiD models showed considerable temporal variability, with F1 scores ranging from 0.39 to 0.66 across weeks 1–9 and no instance of good classification performance (F1 > 0.7) until week 10. In contrast, the TS models delivered consistently superior accuracy from the earliest measurement intervals, with a minimum F1 score of 0.75 using only the first two weeks of spectral indices. Precision values for TS models ranged from 0.71 to 0.87, recall from 0.78 to 0.91, and F1 scores from 0.75 to 0.88, culminating in peak performance when the full 10-week series was used (F1 = 0.88). Earlier cumulative sequences (e.g., weeks 1–9) also achieved comparably high accuracy (F1 = 0.84), underscoring the value of temporal aggregation. Notably, the TS approach enabled pre-physiological detection of water stress in kauri seedlings, wherein spectral signatures associated with water deficit were detectable in weeks 1–2, approximately two weeks before drought symptoms were expressed in physiological measurements of gs and A. This result shows that time-resolved spectral dynamics act as a highly sensitive early-warning indicator, revealing stress signals well before physiological symptoms emerge. Consequently, leveraging time-series hyperspectral information markedly improves classification robustness and enables significantly earlier stress detection than SiD models.
Table 2.
Confusion matrix and classification results for both single-date (SiD) and time-series (TS) analyses, using the SVM model, for control versus drought treatments. The confusion matrix includes the following abbreviations: true positive (TP), false positive (FP), false negative (FN), and true negative (TN). Classification performance was assessed using precision (Prec.), recall (Rec.), and the F1 score. Blue shading indicates good performance (0.7 < F1 ≤ 0.8), and green indicates excellent performance (0.8 < F1 ≤ 0.9). For each time point, the five most important variables are presented and ranked by their contribution from highest to lowest.
The five most important variables showed distinct patterns across weeks (Table 2). Within the SiD models, indices related to pigment content and photochemical efficiency dominated the top variables except in week 2 wherein LIC7, an RGB-type index, emerged as the top predictor. It is noteworthy that variants of PRI were in the top five predictors across almost all weeks. However, within the TS models, a wider variety of variables were important across the duration of the experiment. Structural and pigment indices, EVI and MCARI, emerged as the most important predictors in the early stages, whereas pigment indices, such as PRIn and PRI570 dominated the latter stage of the experiment. Notably, MCARI, PRI variants, and LIC indices were repeatedly identified as important predictors. Importantly, PRI570 and its variants emerged as highly ranked variables in both SiD and TS models, particularly during later weeks.
3.2. Field-Based Juvenile Kauri Trees
3.2.1. Variation in Juvenile Kauri Physiology
Measurements of leaf EWT and soil VWC in juvenile kauri trees, conducted during early autumn (March) of each year, showed a decline from 2023 to 2025 (Figure 5). In 2023 and 2024, the soil VWC ranged from ~0.3–0.6 and the majority of the trees had EWT values above 0.03 g/cm2. However, a sharp decline in both EWT and VWC and was observed in 2025, with median values of 0.022 g/cm2 and 0.092, respectively, which aligns with the substantially reduced rainfall received in the lead up to the 2025 measurements (Figure A1). While the differences in values, both for EWT and VWC between 2023 and 2024, were not statistically significant, there were highly significant differences (p < 0.001) between 2024 and 2025, for both variables.
Figure 5.
Variation in (left) equivalent water thickness (EWT) and (right) soil volumetric water content (VWC) of juvenile kauri trees, measured during March 2023, 2024, and 2025. Boxplots indicate the median (horizontal line), interquartile range (boxes), and whiskers represent variability outside the upper and lower quartiles.
3.2.2. Variation in Juvenile Kauri Spectra and Derived NBHIs
Similarly to tree physiology, the mean normalised canopy spectra of juvenile kauri trees between 2024 and 2025 exhibited significant differences (Figure 6). Canopy spectral reflectance in 2024 was generally lower than in 2025 across the visible domain, with the most pronounced differences occurring in the red absorption region (~640–680 nm). In contrast, reflectance in the red-edge region (~716–771 nm) was higher in 2024 compared to 2025. A similar spectral behaviour was observed in kauri seedlings, where the drought group exhibited significantly reduced reflectance in the red-edge to near-infrared range (~748–843 nm). Standard deviation shading indicated relatively stable canopy-level variability between years, suggesting that the interannual differences are systematic rather than random.
Figure 6.
Spectral variation between juvenile kauri trees measured in 2024 and 2025. Mean normalised reflectance and standard deviation across wavelengths are shown with significant differences of p < 0.05, p < 0.01, and p < 0.001 highlighted, respectively, using blue, green, and yellow.
The correlation analysis between equivalent water thickness (EWT) and NBHIs (Figure 7) revealed apparent differences in predictive performance across index categories. Pigment indices consistently outperformed the other two groups, with PSSRc (R2 = 0.879, p < 10−15), CRI700 (R2 = 0.876, p < 10−15), and CRI550 (R2 = 0.876, p < 10−15), all exhibiting the three strongest relationships with EWT. Several other pigment-based indices (e.g., RNIR_CRI and PRI variants) were also strongly correlated to EWT with R2 values above 0.70. These results suggest that pigment indices, particularly those derived from chlorophyll, xanthophyll, and carotenoid absorption bands, are highly effective in capturing water status variability in juvenile kauri across the EWT range.
Figure 7.
Correlation plots between equivalent water thickness (EWT) and the 20 NBHIs with the highest R2. Measurements were made during March 2024 (teal circles) and March 2025 (red circles). The plots are arranged in descending order of R2, from top left to bottom right. The displayed fitted lines are linear.
RGB indices showed strong associations with EWT, with the top two predictors RARS (R2 = 0.863, p < 10−14) and LIC6 (R2 = 0.832, p < 10−13) performing at a level comparable to pigment indices, but most others (e.g., RGI and other LIC variants) falling below R2 = 0.75. Structural indices exhibited comparatively weaker associations with EWT, with the best-performing metric, NDVI, explaining less than 75% of the variance, while all remaining structural indices (e.g., OSAVI) fell below an R2 of 0.70.
4. Discussion
This study highlights the utility of remotely sensed data for predicting both short- (stomatal conductance) and long term (equivalent water thickness) drought responses in kauri. In the controlled-environment experiment, short and medium-term, multitemporal analyses of NBHIs effectively detected water stress before stomatal regulation which is a dynamic and highly responsive physiological process that provides an immediate proxy for water stress [9,10,26]. At field scale, and over longer timescales, several NBHIs provided robust predictions of EWT, a trait that reflects the cumulative effects of drought on plant water storage and leaf structural integrity [27,28,29]. Together, these results highlight the capability of canopy-based remote sensing approaches to resolve both transient physiological adjustments and more sustained shifts in kauri water status, offering a scalable framework for monitoring forest health in the face of intensifying drought occurrences associated with the changing climate.
Results in this study show a similar range of stomatal conductance (gs) values to previous studies [9,10]. Consistent with previous research, water-stressed kauri seedlings demonstrated a drought-avoidance strategy via stomatal regulation [1,7,9,10] as evidenced in the significant decline in gs of the drought group from week 4 onwards while maintaining stable leaf water content throughout the duration of the experiment. Although kauri is known to exhibit the most vulnerable xylem among New Zealand’s indigenous conifers, including species such as rimu (Dacrydium cupressinum), and kahikatea (Dacrycarpus dacrydioides) [30], its drought resilience is supported by high leaf turgor loss point (TLP), efficient stomatal regulation, and the ability to shed leaves under stress [31,32]. As a consequence of stomatal closure, transpiration is significantly reduced, which helps stabilise leaf water content over extended periods. This was evident in the current study, wherein no significant differences in EWT were observed between control and drought treatments. A similar drought-avoidance strategy is employed by the exotic species radiata pine (Pinus radiata D. Don) [33].
Remote sensing indicators in the controlled-environment experiment were more sensitive to initial impacts of drought than physiological measurements. These findings are consistent with the previously published leaf-level study, which showed that models created using 1–2 week old data achieved good classification performance [20]. This finding is consistent with the use of hyperspectral indices for pre-visual detection of a number of stresses [14,15,16,20,25]. Similarly to the leaf level study, models created using multitemporal datasets were more accurate than those using single-date data. This is likely due to the data aggregation which improved confidence around temporal and treatment related trends.
Within the juvenile kauri field trial, strong inter-annual contrasts in soil and canopy water status provided a robust test of relationships between hyperspectral indices and EWT. Through leveraging contrasting inter-annual VWC conditions, which included particularly dry conditions during 2025 (Figure A1), hyperspectral indices were able to describe variation in EWT between years accurately. Given the markedly lower rainfall during 2025, the observed reductions in EWT compared to the previous year were to be expected. The values of VWC noted in 2025 were close to the permanent wilting point and occurred after a prolonged drought period (Figure A1).
Pigment indices were the most useful for characterising variation in EWT, with the strongest relationships found for carotenoid and chlorophyll indices, which is consistent with their physiological role. As soil water deficits develop, stomatal closure constrains CO2 supply while incident radiation remains high, increasing excitation pressure on photosystem II. Plants respond by up-regulating non-photochemical quenching via the xanthophyll cycle, which dynamically interconverts violaxanthin, antheraxanthin, and zeaxanthin and alters reflectance in the green and red-edge regions which is captured by PRI- and carotenoid-based indices [17,34]. With sustained stress, chlorophyll degradation accelerates while carotenoid pools are relatively preserved or even enhanced. Consistent with this research, these changes drive a reduction in the chlorophyll:carotenoid ratio [17] and produce characteristic increases in green reflectance and red-edge displacements toward longer wavelengths. Because these pigment-level adjustments operate on timescales of days to weeks, they are detected earlier and more sensitively than structural changes in leaf area and canopy density explaining why pigment indices outperform structural indices for early drought detection. The value of greenness and pigment indices for predicting leaf water content has been demonstrated across a wide range of plant species [35,36], and a practical advantage is that many of these indices can be derived from multispectral sensors, broadening their operational utility.
PRI-based indices, which capture changes in xanthophyll concentration, were less important than chlorophyll- and carotenoid-sensitive indices in the field trial but gained importance over the medium term in the controlled-environment experiment. Numerous studies have highlighted the value of the PRI for assessing light use efficiency [37,38] and tracking photosynthetic responses under diverse stressors such as nutrient limitation [13], and herbicide injury [39]. The mechanistic basis for this link lies in sensitivity of PRI to changes in non-photochemical quenching, and specifically the energy dissipation controlled by the xanthophyll cycle, which directly reflects variation in photosynthetic functioning [40]. As water availability is a key regulator of photosynthesis, moderate to strong correlations have been found between PRI and mid-day needle potential [41], leaf water content and EWT [42] in forest species. Our findings are consistent with these previous studies, demonstrating that PRI is a reliable indicator of both moderate water stress, which constrains physiological performance, and prolonged water stress, which results in leaf water loss in kauri.
Unlike our previous leaf-level analysis [20], the present study was constrained by the lack of SWIR measurements. From a physiological perspective, SWIR bands are unlikely to provide an advantage for detecting the very early onset of water stress, as the pigment changes linked to photosynthetic function occur in the VNIR range [17,37,43]. However, numerous studies have shown that foliage water content and EWT often correlate more strongly with indices derived from the SWIR region [43,44,45], given the presence of well-defined water absorption features in this region [45,46,47,48,49,50]. At the same time, VNIR greenness indices have also demonstrated comparable or superior accuracy in predicting leaf water content in several studies [36,51,52,53]. Consistent with this, our results showed strong correlations between VNIR indices and EWT, in line with earlier research showing that leaf water status can be reliably estimated from VNIR reflectance.
Together, the two sets of results demonstrate the efficacy and consistency of canopy-based hyperspectral imaging for quantifying short-to-long-term water stress in kauri, offering potentially scalable approaches for indigenous forest health monitoring. This provides confidence in the development of operational tools and strategies in support of kauri management and conservation amid intensifying climate pressures.
An important limitation of our study design was that the controlled-environment experiment was conducted on potted kauri seedlings, whereas the field trial focused on 13-year-old juvenile plantation trees. These ontogenetic stages differ in crown architecture, root systems, hydraulic buffering and absolute reflectance levels, and we do not assume that their physiological or spectral properties are directly equivalent. Consequently, the seedling experiment was used to establish mechanistic links between changes in water status, gas exchange and hyperspectral indices under tightly controlled drought trajectories, while the juvenile stand provided a test of whether pigment- and structure-sensitive indices derived from the VNIR region can explain spatial variation in canopy EWT under operational field conditions. Our interpretation therefore emphasises relative patterns and index–EWT relationships are unlikely to be the same across life stages.
Because the juvenile field trial comprises a single 48-tree stand of 13-year-old plantation kauri, the field-based results should be regarded as a case study that is representative of intensively managed juvenile trees rather than the full demographic and environmental range of the species. Future work should extend UAV-based hyper-spectral monitoring to larger samples of kauri across multiple stands, age classes, and environmental settings to test the robustness and generality of our predictions of drought stress.
To extend our findings to broader surveillance across a greater diversity of stand types, future work will focus on integrating higher-altitude platforms. Previous studies [11,12] underscore the value of manned fixed-wing platforms in extending the reach of hyperspectral monitoring for species classification and disease stress detection in kauri. These aircraft offer several advantages, particularly in terms of flight endurance, spatial coverage, and payload capacity, making them ideal for intermediate-scale surveys between UAVs and satellites. Satellite-based hyperspectral systems, such as the Environmental Mapping and Analysis Program (ENMAP) and PRecursore IperSpettrale della Missione Applicativa (PRISMA) [53,54,55], have also shown promise for regional scale assessment of drought and other stresses, especially in homogeneous and closed-canopy forests. Ongoing efforts should assess their performance in more complex kauri forest landscapes and explore how multi-platform approaches can support operational drought resilience strategies.
5. Conclusions
This study demonstrated the utility of canopy-level hyperspectral remote sensing to characterise both short-term physiological responses and longer-term structural adjustments of kauri under drought stress. The controlled-environment experiment revealed that hyperspectral indices averaged over a moving window provided earlier and more reliable indicators of water stress than traditional physiological measurements. These results reinforce the potential of remote sensing as an operational early-warning tool. Over extended drought periods, indices sensitive to pigment content, particularly chlorophyll- and carotenoid-based NBHIs, proved to be robust predictors of EWT variation in juvenile kauri trees, highlighting the tight coupling between pigment dynamics, photosynthetic regulation, and progressive water loss. While the absence of shortwave infrared (SWIR) data represents a limitation, strong correlations between VNIR indices and EWT support growing evidence that leaf water status can be effectively estimated from visible-to-red-edge reflectance alone.
From an operational management perspective, these results indicate that a compact set of pigment- and structure-sensitive indices derived from UAV or higher-altitude hyperspectral and multispectral platforms can underpin canopy health surveillance for kauri. Time-series maps of drought stress could be integrated into existing kauri health and biosecurity programmes to prioritise follow-up assessments in areas showing early or intensifying canopy stress and to support targeted monitoring of high-value stands. Such information can also inform longer-term spatial planning about where to establish or retain kauri under a warming, drying climate.
Looking forward, scaling these approaches from experimental plots to forested landscapes will be crucial. To overcome current limitations and extend our findings to broader surveillance across a greater diversity of stand types, future work will focus on integrating higher-altitude platforms. Fixed-wing airborne platforms offer an intermediate solution between UAVs and satellites, with the endurance and spatial reach necessary for operational forest surveys. Current hyperspectral satellite missions such as EnMAP and PRISMA provide opportunities for regional scale assessment and monitoring. Integrating these multi-platform strategies provides a scalable framework for continuous monitoring of kauri and other forest ecosystems under intensifying drought regimes.
Author Contributions
Conceptualization, M.J.B.F., R.M. and M.S.W.; methodology, M.J.B.F., R.M., and M.S.W.; software, M.J.B.F. and R.M.; formal analysis, M.J.B.F., R.M. and M.S.W.; investigation, M.J.B.F., R.M., M.S.W. and T.P.; resources, R.M. and T.P.; data curation, M.J.B.F. and R.M.; writing—original draft preparation, M.J.B.F., R.M. and M.S.W.; writing—review and editing, M.J.B.F., R.M., M.S.W. and T.P.; visualization, M.J.B.F., R.M. and M.S.W.; supervision, R.M. and M.S.W.; project administration, R.M.; funding acquisition, R.M. and M.S.W. All authors have read and agreed to the published version of the manuscript.
Funding
This project was funded through Scion SSIF funding and the Ministry of Business, Innovation and Employment (MBIE) program, grant number C04X2101 (Seeing the forest for the trees: transforming tree phenotyping for future forests).
Data Availability Statement
The data presented in this study are not available without prior consent from the mana whenua (customary authority) that the kauri seedlings originated from. Reasonable requests submitted to the corresponding author will be conveyed to the appropriate parties.
Acknowledgments
Scion’s standard practice is to source indigenous trees and materials with full knowledge and permission of mana whenua (the iwi/tribe or hapū-/sub-tribe who have customary authority over land) to carry out the science research. In this case, a Memorandum of Understanding was agreed with Te Roroa, which underpinned the use of the kauri seedlings from their Waipoua Forest that they generously donated. We thank Scion’s nursery staff and Te Ao Māori Research Group, specifically Taiāwhio Bryers, who oversaw that the trees were cared for in an appropriate manner according to tikanga Māori (Māori customary practice). All appropriate cultural procedures were adhered to. We are grateful to Anita Wylie, Matt Dunn, and Scion nursery staff for maintaining the plants before and after the experiment. We thank Sadeepa Jayathunga for assistance with LiDAR processing routines, and greatly appreciate the work carried out by Mohammad-Mahdi Arpanaei, Peter Massam, Warren Yorston, Dalila Pasquini, Honey-Jane Estarija, and David Cajes in the larger experimental design, setup and/or data collection processes.
Conflicts of Interest
The authors declare no conflicts of interest.
Appendix A
Figure A1.
Bar plot showing the 4-month cumulative rainfall recorded within the study area prior to field measurements.
Figure A1.
Bar plot showing the 4-month cumulative rainfall recorded within the study area prior to field measurements.

Table A1.
List of narrow band hyperspectral indices (NBHIs) and their formulations used in the study.
Table A1.
List of narrow band hyperspectral indices (NBHIs) and their formulations used in the study.
| Indices | Index Code | Equation | Reference |
|---|---|---|---|
| Structural indices | |||
| Enhanced Vegetation Index | EVI | [56] | |
| Modified Simple Ratio | MSR | [57] | |
| Modified Triangular Veg. Index 1 | MTVI1 | [58] | |
| Normalized Difference Veg. Index | NDVI | [59] | |
| Optimized Soil-Adjusted Veg. Index | OSAVI | [60] | |
| Renormalized Difference Veg. Index | RDVI | [61] | |
| Simple Ratio | SR | [62] | |
| Triangular Vegetation Index | TVI | [63] | |
| Pigment indices | |||
| Carter Index | CAR | [64] | |
| Chlorophyll Index Red Edge | CI | [65] | |
| Carotenoid Reflectance Indices | CRI550 | [66,67] | |
| Carotenoid Reflectance Indices | CRI550_515 | [67] | |
| Carotenoid Reflectance Indices | CRI700 | [66,67] | |
| Carotenoid Reflectance Indices | CRI700_515 | [67] | |
| Reflectance band ratio indices | DCab | [68] | |
| Reflectance band ratio indices | DNIRCab | [68] | |
| Gitelson & Merzlyak index 1 | GM1 | [69] | |
| Gitelson & Merzlyak index 2 | GM2 | [69] | |
| Pigment Specific Normalized Difference c | PSNDc | [70] | |
| Plant Senescence Reflectance Index | PSRI | [71] | |
| Pigment Specific Simple Ratio Chlorophyll a | PSSRa | [70] | |
| Pigment Specific Simple Ratio Chlorophyll b | PSSRb | [70] | |
| Pigment Specific Simple Ratio Carotenoids c | PSSRc | [70] | |
| Carotenoid Reflectance Index | RNIR_CRI550 | [66,67] | |
| Carotenoid Reflectance Index | RNIR_CRI700 | [66,67] | |
| Structure-Intensive Pigment Index | SIPI | [72] | |
| Modified Chlorophyll Abs. Index | MCARI | [73] | |
| Modified Chlorophyll Abs. Index 1 | MCARI1 | [74] | |
| Transformed Chlorophyll Absorption in Reflectance Index | TCARI | [75] | |
| Transformed Chlorophyll Absorption in Reflectance Index/Optimized Soil-Adjusted Vegetation Index | TCARI_OSAVI | [75] | |
| Vogelmann indices | VOG | [76] | |
| Vogelmann indices | VOG2 | [76] | |
| Vogelmann indices | VOG3 | [76] | |
| Normalized Pigments Index | NPCI | [72] | |
| Reflectance Curvature Index | CUR | [77] | |
| Carotenoid/Chlorophyll Ratio Index | PRICI | [78] | |
| Photochemical Refl. Index (515) | PRI515 | [79] | |
| Photochemical Refl. Index (570) | PRI570 | [43] | |
| Photochemical Refl. Index (512) | PRIm1 | [79] | |
| Photochemical Refl. Index (600) | PRIm2 | [43] | |
| Photochemical Refl. Index (670) | PRIm3 | [43] | |
| Photochemical Refl. Index (670 and 570) | PRIm4 | [79] | |
| Normalized Photoch. Refl. Index | PRIn | [80] | |
| Healthy-index | HI | [81] | |
| R/G/B indices | |||
| Blue Index | B | [82] | |
| Blue/green index | BGI | [83] | |
| Blue/red index | BRI | [15] | |
| Greenness Index | G | [82] | |
| Lichtenthaler Index 1 | LIC1 | [84] | |
| Lichtenthaler Index 2 | LIC2 | [84] | |
| Lichtenthaler Index 3 | LIC3 | [84] | |
| Lichtenthaler Index 4 | LIC4 | [84] | |
| Lichtenthaler Index 5 | LIC5 | [84] | |
| Lichtenthaler Index 6 | LIC6 | [84] | |
| Lichtenthaler Index 7 | LIC7 | [84] | |
| Redness Index | R | [85] | |
| Ratio Analysis of Reflectance Spectra | RARS | [86] | |
| Red/green indices | RGI | [82] | |
References
- Steward, G.A.; Beveridge, A.E. A review of New Zealand kauri (Agathis australis (D. Don) Lindl.): Its ecology, history, growth and potential for management for timber. N. Z. J. For. Sci. 2010, 40, 33–59. [Google Scholar]
- Wardle, D.A. Communities and Ecosystems: Linking the Aboveground and Belowground Components; Princeton University Press: Princeton, NJ, USA, 2002. [Google Scholar]
- Craig, R.; Taonui, R.; Wild, S. The concept of taonga in Māori culture: Insights for accounting. Account. Audit. Account. J. 2012, 25, 1025–1047. [Google Scholar] [CrossRef]
- McDowell, N.; Pockman, W.T.; Allen, C.D.; Breshears, D.D.; Cobb, N.; Kolb, T.; Plaut, J.; Sperry, J.; West, A.; Williams, D.G.; et al. Mechanisms of plant survival and mortality during drought: Why do some plants survive while others succumb to drought? New Phytol. 2008, 178, 719–739. [Google Scholar] [CrossRef] [PubMed]
- Beever, R.E.; Waipara, N.W.; Ramsfield, T.D.; Dick, M.A.; Horner, I.J. Kauri (Agathis australis) under threat from Phytophthora? Phytophthoras For. Nat. Ecosyst. 2009, 74, 74–85. [Google Scholar]
- Allen, C.D.; Macalady, A.K.; Chenchouni, H.; Bachelet, D.; McDowell, N.; Vennetier, M.; Kitzberger, T.; Rigling, A.; Breshears, D.D.; Hogg, E.T.; et al. A global overview of drought and heat-induced tree mortality reveals emerging climate change risks for forests. For. Ecol. Manag. 2010, 259, 660–684. [Google Scholar] [CrossRef]
- Jactel, H.; Petit, J.; Desprez-Loustau, M.L.; Delzon, S.; Piou, D.; Battisti, A.; Koricheva, J. Drought effects on damage by forest insects and pathogens: A meta-analysis. Glob. Change Biol. 2012, 18, 267–276. [Google Scholar]
- Seidl, R.; Schelhaas, M.J.; Lexer, M.J. Unraveling the drivers of intensifying forest disturbance regimes in Europe. Glob. Change Biol. 2011, 17, 2842–2852. [Google Scholar]
- Rhodes, G.G. Physiological Responses of Three Native Plants to Drought and Heatwave. Master’s Thesis, The University of Auckland, Auckland, New Zealand, 2024. [Google Scholar]
- Cranston, B. Water-Use Patterns in New Zealand Kauri (Agathis Australis) Canopy and Stems Under Artificial Droughts. Ph.D. Thesis, The University of Auckland, Auckland, New Zealand, 2022. [Google Scholar]
- Meiforth, J.J.; Buddenbaum, H.; Hill, J.; Shepherd, J. Monitoring of canopy stress symptoms in New Zealand kauri trees analysed with AISA hyperspectral data. Remote Sens. 2020, 12, 926. [Google Scholar] [CrossRef]
- Meiforth, J.J.; Buddenbaum, H.; Hill, J.; Shepherd, J.D.; Dymond, J.R. Stress detection in New Zealand kauri canopies with WorldView-2 satellite and LiDAR data. Remote Sens. 2020, 12, 1906. [Google Scholar] [CrossRef]
- Watt, M.S.; Buddenbaum, H.; Leonardo, E.M.C.; Estarija, H.J.; Bown, H.E.; Gomez-Gallego, M.; Hartley, R.J.L.; Pearse, G.D.; Massam, P.; Wright, L.; et al. Monitoring biochemical limitations to photosynthesis in N- and P-limited radiata pine using plant functional traits quantified from hyperspectral imagery. Remote Sens. Environ. 2020, 248, 112003. [Google Scholar] [CrossRef]
- Watt, M.S.; Bartlett, M.; Soewarto, J.; de Silva, D.; Estarija, H.J.C.; Massam, P.; Cajes, D.; Yorston, W.; Graevskaya, E.; Dobbie, K. Previsual and early detection of myrtle rust on rose apple using indices derived from thermal imagery and visible-to-short-infrared spectroscopy. Phytopathology 2023, 113, 1405–1416. [Google Scholar] [CrossRef] [PubMed]
- Zarco-Tejada, P.J.; Gonzalez-Dugo, V.; Berni, J.A.J. Fluorescence, temperature and narrow-band indices acquired from a UAV platform for water stress detection using a micro-hyperspectral imager and a thermal camera. Remote Sens. Environ. 2012, 117, 322–337. [Google Scholar] [CrossRef]
- Hernández-Clemente, R.; Hornero, A.; Mottus, M.; Peñuelas, J.; González-Dugo, V.; Jiménez, J.C.; Suárez, L.; Alonso, L.; Zarco-Tejada, P.J. Early diagnosis of vegetation health from high-resolution hyperspectral and thermal imagery: Lessons learned from empirical relationships and radiative transfer modelling. Curr. For. Rep. 2019, 5, 169–183. [Google Scholar] [CrossRef]
- Sims, D.A.; Gamon, J.A. Relationships between leaf pigment content and spectral reflectance across a wide range of species, leaf structures and developmental stages. Remote Sens. Environ. 2002, 81, 337–354. [Google Scholar] [CrossRef]
- Okyere, F.G.; Cudjoe, D.K.; Virlet, N.; Castle, M.; Riche, A.B.; Greche, L.; Mohareb, F.; Simms, D.; Mhada, M.; Hawkesford, M.J. Hyperspectral imaging for phenotyping plant drought stress and nitrogen interactions using multivariate modeling and machine learning techniques in wheat. Remote Sens. 2024, 16, 3446. [Google Scholar] [CrossRef]
- Homolová, L.; Malenovský, Z.; Clevers, J.G.P.W.; García-Santos, G.; Schaepman, M.E. Review of optical-based remote sensing for plant trait mapping. Ecol. Complex. 2013, 15, 1–16. [Google Scholar] [CrossRef]
- Felix, M.J.B.; Main, R.; Watt, M.S.; Arpanaei, M.-M.; Patuawa, T. Early detection of water stress in kauri seedlings using multitemporal hyperspectral indices and inverted plant traits. Remote Sens. 2025, 17, 463. [Google Scholar] [CrossRef]
- Watt, M.S.; Jayathunga, S.; Hartley, R.J.L.; Pearse, G.D.; Massam, P.D.; Cajes, D.; Steer, B.S.C.; Estarija, H.J.C. Use of a ConsumerGrade UAV Laser Scanner to Identify Trees and Estimate Key Tree Attributes across a Point Density Range. Forests 2024, 15, 899. [Google Scholar] [CrossRef]
- Mazdeyasna, S.; Arefin, M.S.; Fales, A.; Leavesley, S.J.; Pfefer, T.J.; Wang, Q. Evaluating normalization methods for robust spectral performance assessments of hyperspectral imaging cameras. Biosensors 2025, 15, 20. [Google Scholar] [CrossRef] [PubMed]
- Cao, F.; Yang, Z.; Ren, J.; Jiang, M.; Ling, W.-K. Does normalization methods play a role for hyperspectral image classification? arXiv 2017, arXiv:1710.02939. [Google Scholar] [CrossRef]
- Vapnik, V.N. The Nature of Statistical Learning Theory; Springer: New York, NY, USA, 1999; ISBN 978-0-387-98780-4. [Google Scholar]
- Main, R.; Felix, M.J.B.; Watt, M.S.; Hartley, R.J.L. Early detection of herbicide-induced tree stress using UAV-based multispectral and hyperspectral imagery. Forests 2025, 16, 1240. [Google Scholar] [CrossRef]
- Brodribb, T.J.; McAdam, S.A.M.; Jordan, G.J.; Martins, S.C.V. Conifer species adapt to low-rainfall climates by following one of two divergent pathways. Proc. Natl. Acad. Sci. USA 2014, 111, 14489–14493. [Google Scholar] [CrossRef]
- Blackman, C.J.; Brodribb, T.J. Two measures of leaf capacitance: Insights into the water transport pathway and hydraulic conductance in leaves. Funct. Plant Biol. 2011, 38, 118–126. [Google Scholar] [CrossRef]
- Meinzer, F.C.; Johnson, D.M.; Lachenbruch, B.; McCulloh, K.A.; Woodruff, D.R. Xylem hydraulic safety margins in woody plants: Coordination of stomatal control of xylem tension with hydraulic capacitance. Funct. Ecol. 2009, 23, 922–930. [Google Scholar] [CrossRef]
- Lawson, T.; Blatt, M.R. Stomatal size, speed, and responsiveness impact on photosynthesis and water use efficiency. Plant Physiol. 2014, 164, 1556–1570. [Google Scholar] [CrossRef]
- Laughlin, D.C.; Delzon, S.; Clearwater, M.J.; Bellingham, P.J.; McGlone, M.S.; Richardson, S.J. Climatic limits of temperate rainforest tree species are explained by xylem embolism resistance among angiosperms but not among conifers. New Phytol. 2020, 226, 727–740. [Google Scholar] [CrossRef]
- Macinnis-Ng, C.; Schwendenmann, L. Litterfall, carbon and nitrogen cycling in a southern hemisphere conifer forest dominated by kauri (Agathis australis) during drought. Plant Ecol. 2015, 216, 247–262. [Google Scholar] [CrossRef]
- Macinnis-Ng, C.; Wyse, S.; Veale, A.; Schwendenmann, L.; Clearwater, M. Sap flow of the southern conifer, Agathis australis during wet and dry summers. Trees 2016, 30, 19–33. [Google Scholar] [CrossRef]
- Watt, M.S.; Whitehead, D.; Richardson, B.; Mason, E.G.; Leckie, A.C. Modelling the influence of weed competition on the growth of young Pinus radiata at a dryland site. For. Ecol. Manag. 2003, 178, 271–286. [Google Scholar] [CrossRef]
- Peñuelas, J.; Filella, I. Visible and near-infrared reflectance techniques for diagnosing plant physiological status. Trends Plant Sci. 1998, 3, 151–156. [Google Scholar] [CrossRef]
- García, M.; Chuvieco, E.; Nieto, H.; Aguado, I. Combining AVHRR and meteorological data for estimating live fuel moisture content. Remote Sens. Environ. 2008, 112, 3618–3627. [Google Scholar] [CrossRef]
- Peterson, S.H.; Roberts, D.A.; Dennison, P.E. Mapping live fuel moisture with MODIS data: A multiple regression approach. Remote Sens. Environ. 2008, 112, 4272–4284. [Google Scholar] [CrossRef]
- Garbulsky, M.F.; Peñuelas, J.; Gamon, J.; Inoue, Y.; Filella, I. The photochemical reflectance index (PRI) and the remote sensing of leaf, canopy and ecosystem radiation use efficiencies: A review and meta-analysis. Remote Sens. Environ. 2011, 115, 281–297. [Google Scholar] [CrossRef]
- Peñuelas, J.; Garbulsky, M.F.; Filella, I. Photochemical reflectance index (PRI) and remote sensing of plant CO2 uptake. New Phytol. 2011, 191, 596–599. [Google Scholar] [CrossRef]
- Scholten, R.C.; Hill, J.; Werner, W.; Buddenbaum, H.; Dash, J.P.; Gomez Gallego, M.; Rolando, C.A.; Pearse, G.D.; Hartley, R.; Estarija, H.J.; et al. Hyperspectral VNIR-spectroscopy and imagery as a tool for monitoring herbicide damage in wilding conifers. Biol. Invasions 2019, 21, 3395–3413. [Google Scholar] [CrossRef]
- Gamon, J.; Serrano, L.; Surfus, J.S. The photochemical reflectance index: An optical indicator of photosynthetic radiation use efficiency across species, functional types, and nutrient levels. Oecologia 1997, 112, 492–501. [Google Scholar] [CrossRef]
- Ripullone, F.; Rivelli, A.R.; Baraldi, R.; Guarini, R.; Guerrieri, R.; Magnani, F.; Peñuelas, J.; Raddi, S.; Borghetti, M. Effectiveness of the photochemical reflectance index to track photosynthetic activity over a range of forest tree species and plant water statuses. Funct. Plant Biol. 2011, 38, 177–187. [Google Scholar] [CrossRef]
- Watt, M.S.; Leonardo, E.M.C.; Estarija, H.J.; Massam, P.; de Silva, D.; O’Neill, R.; Lane, D.; McDougal, R.; Buddenbaum, H.; Zarco-Tejada, P.J. Long-term effects of water stress on hyperspectral remote sensing indicators in young radiata pine. For. Ecol. Manag. 2021, 502, 119707. [Google Scholar] [CrossRef]
- Gamon, J.A.; Peñuelas, J.; Field, C.B. A narrow-waveband spectral index that tracks diurnal changes in photosynthetic efficiency. Remote Sens. Environ. 1992, 41, 35–44. [Google Scholar] [CrossRef]
- Villacrés, J.; Fuentes, A.; Reszka, P.; Cheein, F.A. Retrieval of vegetation indices related to leaf water content from a single index: A case study of Eucalyptus globulus (Labill.) and Pinus radiata (D. Don.). Plants 2021, 10, 697. [Google Scholar] [CrossRef]
- Danson, F.M.; Bowyer, P. Estimating live fuel moisture content from remotely sensed reflectance. Remote Sens. Environ. 2004, 92, 309–321. [Google Scholar] [CrossRef]
- Knipling, E.B. Physical and physiological basis for the reflectance of visible and near-infrared radiation from vegetation. Remote Sens. Environ. 1970, 1, 155–159. [Google Scholar] [CrossRef]
- Thomas, J.R.; Namken, L.N.; Oerther, G.F.; Brown, R.G. Estimating leaf water content by reflectance measurements. Agron. J. 1971, 63, 845–847. [Google Scholar] [CrossRef]
- Tucker, C.J. Remote sensing of leaf water content in the near infrared. Remote Sens. Environ. 1980, 10, 23–32. [Google Scholar] [CrossRef]
- Fourty, T.; Baret, F. Vegetation water and dry matter contents estimated from top-of-the-atmosphere reflectance data: A simulation study. Remote Sens. Environ. 1997, 61, 34–45. [Google Scholar]
- Datt, B. Remote sensing of water content in Eucalyptus leaves. Aust. J. Bot. 1999, 47, 909–923. [Google Scholar] [CrossRef]
- Fan, L.; Wigneron, J.-P.; Xiao, Q.; Al-Yaari, A.; Wen, J.; Martin-StPaul, N.; Dupuy, J.-L.; Pimont, F.; Al Bitar, A.; Fernandez-Moran, R. Evaluation of microwave remote sensing for monitoring live fuel moisture content in the Mediterranean region. Remote Sens. Environ. 2018, 205, 210–223. [Google Scholar] [CrossRef]
- Tanase, M.A.; Nova, J.P.G.; Marino, E.; Aponte, C.; Tomé, J.L.; Yáñez, L.; Madrigal, J.; Guijarro, M.; Hernando, C. Characterizing live fuel moisture content from active and passive sensors in a Mediterranean environment. Forests 2022, 13, 1846. [Google Scholar] [CrossRef]
- Dotzler, S.; Hill, J.; Buddenbaum, H.; Stoffels, J. The potential of EnMAP and Sentinel-2 data for detecting drought stress phenomena in deciduous forest communities. Remote Sens. 2015, 7, 14227–14258. [Google Scholar] [CrossRef]
- Verrelst, J.; Rivera-Caicedo, J.P.; Reyes-Muñoz, P.; Morata, M.; Amin, E.; Tagliabue, G.; Panigada, C.; Hank, T.; Berger, K. Mapping landscape canopy nitrogen content from space using PRISMA data. ISPRS J. Photogramm. Remote Sens. 2021, 178, 382–395. [Google Scholar] [CrossRef]
- Einzmann, K.; Atzberger, C.; Pinnel, N.; Glas, C.; Böck, S.; Seitz, R.; Immitzer, M. Early detection of spruce vitality loss with hyperspectral data: Results of an experimental study in Bavaria, Germany. Remote Sens. Environ. 2021, 266, 112676. [Google Scholar] [CrossRef]
- Liu, J.; Huete, A.R. A feedback based modification of the NDVI to minimize canopy background and atmospheric noise. IEEE Trans. Geosci. Remote Sens. 1995, 33, 457–465. [Google Scholar] [CrossRef]
- Chen, J.M. Evaluation of vegetation indices and a modified simple ratio for boreal applications. Can. J. Remote Sens. 1996, 22, 229–242. [Google Scholar] [CrossRef]
- Haboudane, D.; Miller, J.R.; Pattey, E.; Zarco-Tejada, P.J.; Strachan, I.B. Hyperspectral vegetation indices and novel algorithms for predicting green LAI of crop canopies: Modeling and validation in the context of precision agriculture. Remote Sens. Environ. 2004, 90, 337–352. [Google Scholar] [CrossRef]
- Rouse, J.W.; Haas, R.H.; Schell, J.A.; Deering, D.W. Monitoring vegetation systems in the Great Plains with ERTS. In Proceedings of the Third Earth Resources Technology Satellite-1 Symposium, Washington, DC, USA, 10–14 December 1973; NASA: Washington, DC, USA, 1974; Volume 1, pp. 309–317. [Google Scholar]
- Rondeaux, G.; Steven, M.; Baret, F. Optimization of soil-adjusted vegetation indices. Remote Sens. Environ. 1996, 55, 95–107. [Google Scholar] [CrossRef]
- Roujean, J.-L.; Bréon, F.-M. Estimating PAR absorbed by vegetation from bidirectional reflectance measurements. Remote Sens. Environ. 1995, 51, 375–384. [Google Scholar] [CrossRef]
- Jordan, C.F. Derivation of leaf-area index from quality of light on the forest floor. Ecology 1969, 50, 663–666. [Google Scholar] [CrossRef]
- Broge, N.H.; Leblanc, E. Comparing prediction power and stability of broadband and hyperspectral vegetation indices for estimation of green leaf area index and canopy chlorophyll density. Remote Sens. Environ. 2001, 76, 156–172. [Google Scholar] [CrossRef]
- Carter, G.A.; Cibula, W.G.; Dell, T.R. Spectral reflectance characteristics and digital imagery of a pine needle blight in the Southeastern United States. Can. J. For. Res. 1996, 26, 402–407. [Google Scholar] [CrossRef]
- Zarco-Tejada, P.J.; Miller, J.R.; Noland, T.L.; Mohammed, G.H.; Sampson, P.H. Scaling-up and model inversion methods with narrowband optical indices for chlorophyll content estimation in closed forest canopies with hyperspectral data. IEEE Trans. Geosci. Remote Sens. 2001, 39, 1491–1507. [Google Scholar] [CrossRef]
- Gitelson, A.A.; Gritz, Y.; Merzlyak, M.N. Relationships between leaf chlorophyll content and spectral reflectance and algorithms for non-destructive chlorophyll assessment in higher plant leaves. J. Plant Physiol. 2003, 160, 271–282. [Google Scholar] [CrossRef]
- Gitelson, A.A.; Keydan, G.P.; Merzlyak, M.N. Three-band model for noninvasive estimation of chlorophyll, carotenoids, and anthocyanin contents in higher plant leaves. Geophys. Res. Lett. 2006, 33, L11402. [Google Scholar] [CrossRef]
- Datt, B. Remote sensing of chlorophyll a, chlorophyll b, chlorophyll A+B, and total carotenoid content in Eucalyptus leaves. Remote Sens. Environ. 1998, 66, 111–121. [Google Scholar] [CrossRef]
- Gitelson, A.A.; Merzlyak, M.N. Remote estimation of chlorophyll content in higher plant leaves. Int. J. Remote Sens. 1997, 18, 2691–2697. [Google Scholar] [CrossRef]
- Blackburn, G.A. Spectral indices for estimating photosynthetic pigment concentrations: A test using senescent tree leaves. Int. J. Remote Sens. 1998, 19, 657–675. [Google Scholar] [CrossRef]
- Merzlyak, M.N.; Gitelson, A.A.; Chivkunova, O.B.; Rakitin, V.Y. Non-destructive optical detection of pigment changes during leaf senescence and fruit ripening. Physiol. Plant. 1999, 106, 135–141. [Google Scholar] [CrossRef]
- Peñuelas, J.; Baret, F.; Filella, I. Semi-empirical indices to assess carotenoids/chlorophyll a ratio from leaf spectral reflectance. Photosynthetica 1995, 31, 221–230. [Google Scholar]
- Daughtry, C.S.T.; Walthall, C.L.; Kim, M.S.; de Colstoun, E.B.; McMurtrey, J.E. Estimating corn leaf chlorophyll concentration from leaf and canopy reflectance. Remote Sens. Environ. 2000, 74, 229–239. [Google Scholar] [CrossRef]
- Wu, C.; Niu, Z.; Tang, Q.; Huang, W. Estimating chlorophyll content from hyperspectral vegetation indices: Modeling and validation. Agric. For. Meteorol. 2008, 148, 1230–1241. [Google Scholar] [CrossRef]
- Haboudane, D.; Miller, J.R.; Tremblay, N.; Zarco-Tejada, P.J.; Dextraze, L. Integrated narrow-band vegetation indices for prediction of crop chlorophyll content for application to precision agriculture. Remote Sens. Environ. 2002, 81, 416–426. [Google Scholar] [CrossRef]
- Vogelmann, J.E.; Rock, B.N.; Moss, D.M. Red edge spectral measurements from sugar maple leaves. Int. J. Remote Sens. 1993, 14, 1563–1575. [Google Scholar] [CrossRef]
- Zarco-Tejada, P.J.; Miller, J.R.; Mohammed, G.H.; Noland, T.L. Chlorophyll fluorescence effects on vegetation apparent reflectance: I. Leaf-level measurements and model simulation. Remote Sens. Environ. 2000, 74, 582–595. [Google Scholar] [CrossRef]
- Garrity, S.R.; Eitel, J.U.H.; Vierling, L.A. Disentangling the relationships between plant pigments and the photochemical reflectance index reveals a new approach for remote estimation of carotenoid content. Remote Sens. Environ. 2011, 115, 628–635. [Google Scholar] [CrossRef]
- Hernández-Clemente, R.; Navarro-Cerrillo, R.M.; Suárez, L.; Morales, F.; Zarco-Tejada, P.J. Assessing structural effects on PRI for stress detection in conifer forests. Remote Sens. Environ. 2011, 115, 2360–2375. [Google Scholar] [CrossRef]
- Zarco-Tejada, P.J.; Morales, A.; Testi, L.; Villalobos, F.J. Spatio-temporal patterns of chlorophyll fluorescence and physiological and structural indices acquired from hyperspectral imagery as compared with carbon fluxes measured with eddy covariance. Remote Sens. Environ. 2013, 133, 102–115. [Google Scholar] [CrossRef]
- Mahlein, A.-K.; Rumpf, T.; Welke, P.; Dehne, H.-W.; Plümer, L.; Steiner, U.; Oerke, E.-C. Development of spectral indices for detecting and identifying plant diseases. Remote Sens. Environ. 2013, 128, 21–30. [Google Scholar] [CrossRef]
- Calderón, R.; Navas-Cortés, J.A.; Lucena, C.; Zarco-Tejada, P.J. High-resolution airborne hyperspectral and thermal imagery for early detection of Verticillium wilt of olive using fluorescence, temperature and narrow-band spectral indices. Remote Sens. Environ. 2013, 139, 231–245. [Google Scholar] [CrossRef]
- Zarco-Tejada, P.J.; Berjón, A.; Lopez-Lozano, R.; Miller, J.R.; Martín, P.; Cachorro, V.; González, M.R.; de Frutos, A. Assessing vineyard condition with hyperspectral indices: Leaf and canopy reflectance simulation in a row-structured discontinuous canopy. Remote Sens. Environ. 2005, 99, 271–287. [Google Scholar] [CrossRef]
- Lichtenthaler, H.K. Vegetation stress: An introduction to the stress concept in plants. J. Plant Physiol. 1996, 148, 4–14. [Google Scholar] [CrossRef]
- Gitelson, A.A.; Yacobi, Y.Z.; Schalles, J.F.; Rundquist, D.C.; Han, L.; Stark, R.; Etzion, D. Remote estimation of phytoplankton density in productive waters. Adv. Limnol. 2000, 55, 121–136. [Google Scholar]
- Chappelle, E.W.; Kim, M.S.; McMurtrey, J.E. Ratio analysis of reflectance spectra (RARS): An algorithm for the remote estimation of the concentrations of chlorophyll A, chlorophyll B, and carotenoids in soybean leaves. Remote Sens. Environ. 1992, 39, 239–247. [Google Scholar] [CrossRef]
Disclaimer/Publisher’s Note: The statements, opinions and data contained in all publications are solely those of the individual author(s) and contributor(s) and not of MDPI and/or the editor(s). MDPI and/or the editor(s) disclaim responsibility for any injury to people or property resulting from any ideas, methods, instructions or products referred to in the content. |
© 2025 by the authors. Licensee MDPI, Basel, Switzerland. This article is an open access article distributed under the terms and conditions of the Creative Commons Attribution (CC BY) license (https://creativecommons.org/licenses/by/4.0/).






