Topic Editors

Biodiversity Conservation Laboratory, Department of Environment, University of the Aegean, 81132 Mytilene, Greece
Biodiversity Conservation Laboratory, Department of Environment, University of the Aegean, 81132 Mytilene, Greece
Dr. Anastasia Christopoulou
Biodiversity Conservation Laboratory, Department of Environment, University of the Aegean, 81132 Mytilene, Greece
Biodiversity Conservation Laboratory, Department of Environment, University of the Aegean, 81132 Mytilene, Greece
Laboratory of Marine and Terrestrial Animal Diversity, Department of Zoology, School of Biology, Aristotle University of Thessaloniki, Thessaloniki, Greece
Department of Zoology, School of Biology, Aristotle University of Thessaloniki, 54124 Thessaloniki, Greece

Conservation at the Crossroads: Forest Ecology, Wildlife Dynamics, and Emerging Challenges for Ecosystem Resilience

Abstract submission deadline
closed (31 December 2025)
Manuscript submission deadline
31 July 2026
Viewed by
18099

Topic Information

Dear Colleagues,

Forests are at a critical crossroad, increasingly threatened by multiple stressors acting simultaneously that not only affect species distributions and population dynamics but also disrupt essential ecological processes such as trophic interactions, habitat connectivity, and resource availability. Many forested landscapes are approaching ecological thresholds beyond which recovery may be uncertain. Concurrently, wildlife populations that depend on forest ecosystems are experiencing range shifts, genetic isolation, and disrupted trophic interactions, leading to cascading effects on biodiversity and ecological stability. The decline in keystone species and apex predators can lead to cascading effects, destabilizing ecosystem function and threatening biodiversity. The urgency of addressing these issues is underscored by the need for adaptive management strategies that are responsive to real-time changes in ecosystems.

As we confront these mounting challenges, conservation strategies must evolve from traditional static models to adaptive, integrated conservation approaches that consider the dynamic and complex interactions between forest ecology, wildlife dynamics, and emerging environmental stressors to develop science-based strategies that enhance ecosystem resilience. A crucial component of this shift is the implementation of long-term ecological monitoring, advanced analytical tools, and predictive modeling to ensure the resilience of forest ecosystems and wildlife populations. Traditional methods such as field surveys, dendrochronology, and ecological assessments provide foundational data on species dynamics and forest health, offering critical baselines for understanding resilience and guiding future management strategies. These time-tested techniques, when combined with modern monitoring technologies such as remote sensing, machine learning, and species distribution modeling, enhance our ability to track ecosystem changes, assess species responses, and inform conservation decision-making. Additionally, fostering habitat connectivity, mitigating human–wildlife conflict, and adopting adaptive management approaches are crucial for sustaining biodiversity and promoting ecosystem recovery amidst accelerating environmental stressors.

This Topic seeks to advance interdisciplinary research that addresses contemporary threats to forest ecosystems and their wildlife. We welcome studies that explore species–habitat relationships, ecosystem responses to environmental stressors, the role of keystone and threatened species, and methodological advancements in conservation science. Submissions may include original research articles, reviews, short communications, and case studies that contribute to a deeper understanding of ecosystem resilience and adaptive conservation solutions. By fostering cross-disciplinary collaboration and data-driven conservation strategies, this Topic aims to develop science-based interventions that sustain forest biodiversity and ecosystem function in the face of unprecedented global change.

Dr. Yiannis G. Zevgolis
Dr. Triantaphyllos Akriotis
Dr. Anastasia Christopoulou
Prof. Dr. Panayiotis G. Dimitrakopoulos
Dr. Dimitra-Lida Rammou
Prof. Dr. Dionisios Youlatos
Topic Editors

Keywords

  • forest ecosystem resilience
  • wildlife dynamics
  • emerging threats to forest biodiversity
  • ecological connectivity; trophic interactions
  • species distribution and habitat modeling
  • anthropogenic stressors and environmental change
  • human–wildlife conflict
  • conservation strategies
  • advanced monitoring tools

Participating Journals

Journal Name Impact Factor CiteScore Launched Year First Decision (median) APC
Animals
animals
2.7 5.2 2011 17.1 Days CHF 2400 Submit
Biology
biology
3.5 7.4 2012 16.8 Days CHF 2700 Submit
Conservation
conservation
1.9 3.2 2021 23.1 Days CHF 1200 Submit
Diversity
diversity
2.1 4.0 2009 16.6 Days CHF 2100 Submit
Ecologies
ecologies
1.9 3.0 2020 23 Days CHF 1200 Submit
Forests
forests
2.5 4.6 2010 16.8 Days CHF 2600 Submit
Land
land
3.2 5.9 2012 17.5 Days CHF 2600 Submit

Preprints.org is a multidisciplinary platform offering a preprint service designed to facilitate the early sharing of your research. It supports and empowers your research journey from the very beginning.

MDPI Topics is collaborating with Preprints.org and has established a direct connection between MDPI journals and the platform. Authors are encouraged to take advantage of this opportunity by posting their preprints at Preprints.org prior to publication:

  1. Share your research immediately: disseminate your ideas prior to publication and establish priority for your work.
  2. Safeguard your intellectual contribution: Protect your ideas with a time-stamped preprint that serves as proof of your research timeline.
  3. Boost visibility and impact: Increase the reach and influence of your research by making it accessible to a global audience.
  4. Gain early feedback: Receive valuable input and insights from peers before submitting to a journal.
  5. Ensure broad indexing: Web of Science (Preprint Citation Index), Google Scholar, Crossref, SHARE, PrePubMed, Scilit and Europe PMC.

Published Papers (13 papers)

Order results
Result details
Journals
Select all
Export citation of selected articles as:
34 pages, 5083 KB  
Article
Urban Trade of Non-Timber Forest Products (NTFPs) in Kolwezi, DR Congo: Diversity, Livelihoods, and Sustainability Changes
by John Kikuni Tchowa, Médard Mpanda Mukenza, Dieu-donné N’tambwe Nghonda, François Malaisse, Jean-François Bastin, Yannick Useni Sikuzani, Kouagou Raoul Sambieni, Audry Tshibangu Kazadi, Apollinaire Biloso Moyene and Jan Bogaert
Conservation 2026, 6(2), 48; https://doi.org/10.3390/conservation6020048 - 16 Apr 2026
Viewed by 659
Abstract
The urban trade in non-timber forest products (NTFPs) plays a key role in sustaining livelihoods in the Global South, while also suggesting potential pressure on resource supply systems. This study provides an integrated analysis of NTFP diversity, market structure, economic importance, and perceived [...] Read more.
The urban trade in non-timber forest products (NTFPs) plays a key role in sustaining livelihoods in the Global South, while also suggesting potential pressure on resource supply systems. This study provides an integrated analysis of NTFP diversity, market structure, economic importance, and perceived drivers of resource decline in Kolwezi, a rapidly expanding mining city where such dynamics remain poorly documented. Data were collected through surveys conducted with 35 sellers across two major urban markets and 384 consumers from different neighbourhoods and analysed using descriptive and inferential statistics to examine patterns, associations, and socio-demographic influences. A total of 65 NTFP species were recorded, including 49 plant, 14 animal, and 2 fungal species, reflecting strong dependence on Miombo ecosystems. Medicinal (59.3%) and food uses dominate, with multifunctional species such as Bobgunnia madagascariensis (Desv.) J.H.Kirkbr. & Wiersama, Canarium schweinfurthii Engl., Terminalia mollis M.A.Lawson, Gardenia ternifolia subsp. jovis-tonantis (Welw.) Verdc., and Albizia antunesiana Harms, playing a central role in both household use and market supply. The trade is largely female-dominated (79.1%) and constitutes a major component of the informal urban economy, with monthly incomes ranging from USD 9 to 429.3, primarily driven by sales volume rather than unit price. However, the sector is constrained by structural and logistical limitations, including remoteness of supply areas, seasonality, and limited value addition. The perceived declining availability of high-use-value species, attributed by respondents to deforestation, mining expansion, and overexploitation, highlights perceived sustainability concerns. These pressures are perceived differently across socio-demographic groups, indicating heterogeneous understandings of environmental change. Overall, the results indicate a perceived mismatch between rising urban demand and declining resource availability, which may reflect an emerging socio-ecological imbalance between urban demand and perceived resource availability. Addressing these challenges requires integrated strategies that combine the domestication of priority species, the development of processing chains, improved infrastructure, and strengthened governance mechanisms. Such approaches are essential to reconcile livelihood support with the sustainable management of NTFPs in rapidly transforming urban landscapes. Full article
Show Figures

Figure 1

16 pages, 4906 KB  
Article
Non-Human Primates in Gabon: Occurrence Hotspots, Habitat Dynamics, Protected-Area Performance, and Conservation Challenges
by Mohamed Hassani Mohamed-Djawad, Barthelemy Ngoubangoye, Papa Ibnou Ndiaye, Krista Mapagha-Boundoukou, Neil Michel Longo-Pendy, Serge Ely Dibakou, Jean Nzue-Nguema, Désiré Otsaghe-Ekore, Stephan Ntie, Afred Ngomanda, Patrice Makouloutou-Nzassi, Mohamed Thani Ibouroi and Larson Boundenga
Biology 2026, 15(5), 405; https://doi.org/10.3390/biology15050405 - 28 Feb 2026
Viewed by 601
Abstract
Gabon harbors one of Africa’s richest assemblages of non-human primates (NHPs), yet integrated national-scale evidence on their conservation status remains limited. To inform conservation strategies, we conducted the first nationwide assessment integrating habitat dynamics, the geographic distribution of species, and the effectiveness of [...] Read more.
Gabon harbors one of Africa’s richest assemblages of non-human primates (NHPs), yet integrated national-scale evidence on their conservation status remains limited. To inform conservation strategies, we conducted the first nationwide assessment integrating habitat dynamics, the geographic distribution of species, and the effectiveness of the protected-area network in the country. We harmonized 300 m land-cover maps (ESA CCI 1992; Copernicus 2022), compiled 481 georeferenced occurrences, and identified concentration areas using kernel density estimation and Getis–Ord Gi* analysis. We quantified land-cover transitions with a per-pixel transition matrix and assessed protected-area capture using Monte Carlo randomization. Ten fully protected species are confirmed, including Gorilla gorilla and Pan troglodytes. Occurrences concentrate mainly in the Ogooué-Ivindo and Haut-Ogooué Provinces; ~10% of the national territory lies above the 90th kernel density percentile (≈26,700 km2), and 1.5% of cells qualify as hotspots at the 99% threshold. Primate records are strongly associated with evergreen broadleaved forests (87.9% of points), which remained persistent from 1992 to 2022 (forest-to-forest = 223,476 km2; 98.13%) with a net decline (−2571.66 km2; −1.19%). Gross losses (4046.58 km2) were mainly attributable to agricultural conversion (68.63%; χ2 = 31,525; p < 0.001). Over 90% of records fall in areas stable across 1992–2022. Protected areas (PAs) captured more occurrences (observed 40.1% vs. expected 18.47%; p < 0.001), yet gaps remain for some taxa (e.g., Allochorocebus solatus, 86% outside PAs). Overall, Gabon retains an extensive core of suitable habitat, but targeted action outside PAs and maintenance of landscape connectivity are needed to secure populations where agricultural expansion and fragmentation are intensifying. Full article
Show Figures

Graphical abstract

20 pages, 1929 KB  
Article
Assessment of Diversity and Evenness of Herbaceous Vegetation and Natural Regeneration Communities in the Plaiul Fagului Reserve
by Petru Cuza, Tatiana Sîrbu and Pavel Pînzaru
Ecologies 2026, 7(1), 18; https://doi.org/10.3390/ecologies7010018 - 5 Feb 2026
Viewed by 908
Abstract
Environmental changes and anthropogenic pressures significantly influence both the tree layer and natural regeneration within forest ecosystems. Protected areas represent essential territories for the maintenance and conservation of species within forest communities. In this context, the present study aims to develop a methodological [...] Read more.
Environmental changes and anthropogenic pressures significantly influence both the tree layer and natural regeneration within forest ecosystems. Protected areas represent essential territories for the maintenance and conservation of species within forest communities. In this context, the present study aims to develop a methodological framework for the integrated application of diversity, evenness, and dominance indices in the study of forest plant communities. Analyses were conducted at both α- and β-diversity levels, providing a methodological basis for characterizing local diversity and community differentiation. Species diversity was estimated using the Shannon–Wiener (H′) and Simpson (D) indices, while evenness and dominance were assessed using the Pielou (J′) and Berger–Parker (d) indices. Differences among communities were quantified using the Bray–Curtis dissimilarity index and its components, turnover and nestedness, and structural convergence of forest communities was analyzed through the ICF. The results indicate that α-diversity, estimated by H′, ranges from low to moderate, suggesting a relatively uniform distribution of species abundance. In certain microhabitats, processes of diversification and oligodominance are observed. At the β-diversity level, the analyzed communities are characterized by high dissimilarity, mainly driven by species turnover and, to a lesser extent, by nestedness associated with species loss. The ICF highlights that these forest communities exhibit relatively high structural uniformity, characteristic of mature stands in ecological equilibrium. Full article
Show Figures

Figure 1

20 pages, 1397 KB  
Article
Capybaras (Hydrochoerus hydrochaeris) in the City: Understanding Urban Coexistence, Management Strategies and the Animal Welfare Implications
by Katia M. Nunes Sayn, Maria José Hötzel and Selene S. C. Nogueira
Animals 2026, 16(1), 113; https://doi.org/10.3390/ani16010113 - 31 Dec 2025
Viewed by 2004
Abstract
In Brazil, the presence of capybaras (Hydrochoerus hydrochaeris) in urban environments has raised concerns due to ecological, sanitary and coexistence challenges. This study investigates the growing presence of capybaras on Santa Catarina Island, Brazil, exploring their integration into urban areas. We [...] Read more.
In Brazil, the presence of capybaras (Hydrochoerus hydrochaeris) in urban environments has raised concerns due to ecological, sanitary and coexistence challenges. This study investigates the growing presence of capybaras on Santa Catarina Island, Brazil, exploring their integration into urban areas. We interviewed 1505 residents of the Island to understand capybara distribution, public perceptions and associated risks. Beliefs about management strategies were also assessed. The findings reveal that capybaras are present in all neighborhoods of Florianópolis, the sole city in the Island. Participants expressed positive views of capybaras, describing them as “beautiful” and “cute” and showing concerns for their well-being in urban environments. Despite these positive perceptions, participants demonstrated limited knowledge about capybara biology (88%) and potential problems, such as disease transmission (37%), traffic accidents (10%), pet conflicts (56%) and garden damage (42%). Most respondents agreed with the statements: “Capybaras are part of nature and should be left undisturbed, even in urban areas” (70%) and “It is important for people to see capybaras in the city, as long as their population is not causing problems” (82%). After risk awareness, more participants rated these issues as highly relevant: disease transmission (97%), destruction of urban gardens (77%), pet incidents (92%) and traffic accidents (98%). This led to greater acceptance of population control, though elimination remained unpopular. Sociodemographic factors influenced opinions. Addressing knowledge gaps can foster ethical, supported management strategies. This case places Florianópolis within a broader South American phenomenon of urban capybara conflicts, highlighting the global challenge of managing human–wildlife interactions in cities. Full article
Show Figures

Figure 1

19 pages, 2205 KB  
Article
Phytosociology of Ecological Transition Ecosystems in Anauá National Forest, Roraima State, Brazil
by Tiago Monteiro Condé, Niro Higuchi, Adriano José Nogueira Lima, Moacir Alberto Assis Campos, Joaquim Dos Santos, Bruno Oliva Gimenez, Fabiano Emmert and Vilany Matilla Colares Carneiro
Ecologies 2026, 7(1), 2; https://doi.org/10.3390/ecologies7010002 - 25 Dec 2025
Viewed by 1080
Abstract
The northern Brazilian Amazon has ecological transition ecosystems with high diversity and endemism of tree species and few botanical collections. We evaluated the phytosociology between Dense Ombrophilous Forest (Ds) and Forested Campinarana (Ld) within Anauá National Forest in Roraima, Brazil. A total of [...] Read more.
The northern Brazilian Amazon has ecological transition ecosystems with high diversity and endemism of tree species and few botanical collections. We evaluated the phytosociology between Dense Ombrophilous Forest (Ds) and Forested Campinarana (Ld) within Anauá National Forest in Roraima, Brazil. A total of 14,730 trees with a DBH ≥ 10 cm were inventoried across 30 hectares (ha), distributed among 55 botanical families, 183 genera, 386 species, and 123 undetermined trees. Ten hyperdominant tree families accounted for 69% of the sampled trees and 65% of the stored forest carbon (102.9 ± 5.0 Mg ha−1), like Arecaceae (2555 trees), Fabaceae (1738 trees), and Sapotaceae (1311 trees). Ten hyperdominant species accounted for 32% of the sampled individuals and 32% of the stored forest carbon (46.3 ± 3.8 Mg ha−1), like Euterpe precatoria (1151 trees), Pouteria macrophylla (561 trees) and Inga alba (574 trees). Anauá National Forest has great potential for sustainable multiple-use forest management through forest concessions; however, tree mortality due to natural causes and anthropogenic actions (deforestation, illegal selective logging, and forest fires) was considered high (7%) for tropical forests in the Amazon. Full article
Show Figures

Graphical abstract

52 pages, 9766 KB  
Article
Vegetation Phenological Responses to Multi-Factor Climate Forcing on the Tibetan Plateau: Nonlinear and Spatially Heterogeneous Mechanisms
by Liuxing Xu, Ruicheng Xu and Wenfu Peng
Land 2025, 14(11), 2238; https://doi.org/10.3390/land14112238 - 12 Nov 2025
Cited by 1 | Viewed by 1377
Abstract
The Tibetan Plateau is a globally critical climate-sensitive and ecologically fragile region. Vegetation phenology serves as a key indicator of ecosystem responses to climate change and simultaneously influences regional carbon cycling, water regulation, and ecological security. However, systematic quantitative assessments of phenological responses [...] Read more.
The Tibetan Plateau is a globally critical climate-sensitive and ecologically fragile region. Vegetation phenology serves as a key indicator of ecosystem responses to climate change and simultaneously influences regional carbon cycling, water regulation, and ecological security. However, systematic quantitative assessments of phenological responses under the combined effects of multiple climate factors remain limited. This study integrates multi-source remote sensing data (MODIS MCD12Q2) and ERA5-Land meteorological data from 2001 to 2023, leveraging the Google Earth Engine (GEE) cloud platform to extract key phenological metrics, including the start (SOS) and end (EOS) of the growing season, and growing season length (GSL). Sen’s slope estimation, Mann–Kendall trend tests, and partial correlation analyses were applied to quantify the independent effects and spatial heterogeneity of temperature, precipitation, solar radiation, and evapotranspiration (ET) on GSL. Results indicate that: (1) GSL on the Tibetan Plateau has significantly increased, averaging 0.24 days per year (Sen’s slope +0.183 days/yr, Z = 3.21, p < 0.001; linear regression +0.253 days/yr, decadal trend 2.53 days, p = 0.0007), primarily driven by earlier spring onset (SOS: Sen’s slope −0.183 days/yr, Z = −3.85, p < 0.001), while autumn dormancy (EOS) showed limited delay (Sen’s slope +0.051 days/yr, Z = 0.78, p = 0.435). (2) GSL changes exhibit pronounced spatial heterogeneity and ecosystem-specific responses: southeastern warm–wet regions display the strongest responses, with temperature as the dominant driver (mean partial correlation coefficient 0.62); in high–cold arid regions, warming substantially extends GSL (Z = 3.8, p < 0.001), whereas in warm–wet regions, growth may be constrained by water stress (Z = −2.3, p < 0.05). Grasslands (Z = 3.6, p < 0.001) and urban areas (Z = 3.2, p < 0.01) show the largest GSL extension, while evergreen forests and wetlands remain relatively stable, reflecting both the “climate sentinel” role of sensitive ecosystems and the carbon sequestration value of stable ecosystems. (3) Multi-factor interactions are complex and nonlinear; temperature, precipitation, radiation, and ET interact significantly, and extreme climate events may induce lagged effects, with clear thresholds and spatial dependence. (4) The use of GEE enables large-scale, multi-year, pixel-level GSL analysis, providing high-precision evidence for phenological quantification and critical parameters for carbon cycle modeling, ecosystem service assessment, and adaptive management. Overall, this study systematically reveals the lengthening and asymmetric patterns of GSL on the Tibetan Plateau, elucidates diverse land cover and climate responses, advances understanding of high-altitude ecosystem adaptability and climate resilience, and provides scientific guidance for regional ecological protection, sustainable management, and future phenology prediction. Full article
Show Figures

Graphical abstract

25 pages, 3703 KB  
Article
Effect of Individual Selection Silvicultural Treatment on the Vertical Structure of a Pine-Oak Forest in Northern Mexico
by Joel Rascón-Solano, Samuel Alberto García-García, Rufino Sandoval-García, Eduardo Alanís-Rodríguez, Sandra Pérez-Álvarez, Patricia Uranga-Valencia, Oscar Aguirre-Calderón, Gerónimo Quiñonez-Barraza, Juan Abel Nájera-Luna, Benedicto Vargas-Larreta and Francisco Hernández
Ecologies 2025, 6(4), 74; https://doi.org/10.3390/ecologies6040074 - 5 Nov 2025
Viewed by 1452
Abstract
Understanding the structural dynamics of temperate forests is essential for their sustainable management. This study assessed the vertical structure of a mixed temperate forest in the Sierra Madre Occidental, Mexico, under an individual selection cutting regime implemented in 2012 and 2022. Nine Permanent [...] Read more.
Understanding the structural dynamics of temperate forests is essential for their sustainable management. This study assessed the vertical structure of a mixed temperate forest in the Sierra Madre Occidental, Mexico, under an individual selection cutting regime implemented in 2012 and 2022. Nine Permanent Silvicultural Research Sites were established, and measurements were carried out in 2012, 2022, and 2023 to record tree species, height, and crown cover. The analyses describe dendrometric variables, structural verticality indices and the Pretzsch index; regression models were fitted and Kruskal–Wallis tests performed. The results revealed a multistratified forest: Pinus durangensis dominates the upper canopy, while broadleaved species concentrate in the lower layers, enriching the understorey. Following silvicultural interventions, structural reorganisation was evident, with an increase in emergent individuals in the canopy and stability in crown-cover frequencies. A slight increase in pine and oak cover was detected, together with the presence of new tree species characteristic of the region. Taken together, the findings indicate that planned individual-selection cutting can maintain the stand’s original vertical structure and the functionality of the mixed temperate forest in northern Mexico, providing an analytical approach applicable to other comparable forest regions. Full article
Show Figures

Graphical abstract

26 pages, 1443 KB  
Article
Perception of Stakeholder Groups on Ailanthus altissima in Hungary
by András Demeter, Dénes Saláta, Szilárd Czóbel, Péter Csépányi, Tibor Limp and Eszter Tormáné Kovács
Land 2025, 14(11), 2133; https://doi.org/10.3390/land14112133 - 26 Oct 2025
Viewed by 725
Abstract
In order to tackle the problems caused by invasive alien plant species, it is important to know what the main groups that have the largest influence on the spreading of the species, know and think about them. Nation-wide questionnaire surveys were carried out [...] Read more.
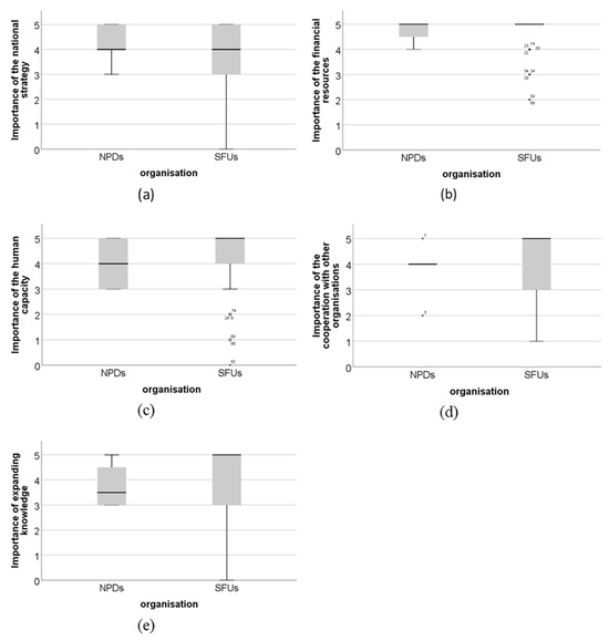
In order to tackle the problems caused by invasive alien plant species, it is important to know what the main groups that have the largest influence on the spreading of the species, know and think about them. Nation-wide questionnaire surveys were carried out in Hungary between 2016 and 2019 among three important stakeholder groups (local governments, national park directorates (NPDs), and state forestry units (SFUs)) of tree of heaven (Ailanthus altissima). The aim of the surveys was to reveal the perception of the three groups about Ailanthus altissima, their experiences with eradication, and other needs for its successful management of the species. Besides basic statistical methods, the chi2 test, Fisher’s exact test, Cramer’s V value, and Mann–Whitney U test were conducted to compare groups and reveal relationships between different variables. 221 local governments, 10 NPDs, and 110 SFUs filled in the questionnaire. The response rate was quite low for local governments (8.8%) and high for NPDs (100%) and SFUs (97.5%). Our findings show that the species was recognised by only 59% of respondents representing local governments. Further results are presented regardingthis subsample.The negative impacts of Ailanthus altissima were perceived in all three groups at a higher rate (over 95% in all three groups) than positive impacts (local governments: 63%, NPDs: 10%, SFUs: 35%). The two groups managing forest areas (NPDs and SFUs) ranked the problems caused by the species high (the median was −4 for both groups on a −5–+5 scale). Ailanthus altissima was present in the areas of at least 80 percent in each examined group. In areas where the species was present, eradication was applied in a significantly higher percent of NPDs (86%) and SFUs (88%) than regarding local governments (36%), and the same tendency was found for using mechanical and chemical methods (p < 0.05). The two groups managing forest areas also applied biological methods, although at a lower rate (NPDs: 10%, SFUs: 14%). The unit costs and area of eradication varied between NPDs and SFUs, but the difference was not significant between the two groups (p = 0.073 and 0.213, respectively). NPDs used more external funding for eradication than local governments and state forestry units, mostly co-financed by European Union funds (e.g., LIFE and European Regional Development Fund). Information was required by a large percentage of respondents from local governments (75% of those who recognised the species). The need for cooperation between stakeholder groups was indicated by 78% of local governments recognising the species, and was ranked high by the two expert groups as well (medians were 4 for NPDs and 5 for SFUs on a 0–5 scale). Sharing knowledge about and experience with eradication among the two expert groups and transferring knowledge to the local governments are recommended for the successful management of the species. Further research is needed regarding the effectiveness, the environmental impacts, and the costs of eradication, as well as influencing factors. Full article
Show Figures

Figure 1

17 pages, 2101 KB  
Article
Rare Primate Rhinopithecus bieti Can Sustain the Resilience of Montane Forests
by Na Li, Hao-Han Wang, Yan-Peng Li, Cyril C. Grueter, Lu-Jiao Dai, Hui-Ming Xu, Zhi-Pang Huang and Wen Xiao
Animals 2025, 15(20), 3021; https://doi.org/10.3390/ani15203021 - 17 Oct 2025
Viewed by 1261
Abstract
This study addresses a critical challenge in global conservation: understanding how rare species contribute to ecosystem structure and resilience. The ecological role of the endangered black-and-white snub-nosed monkey in China’s temperate mountain forests was examined, with the hypothesis that its tree-shaking behavior alters [...] Read more.
This study addresses a critical challenge in global conservation: understanding how rare species contribute to ecosystem structure and resilience. The ecological role of the endangered black-and-white snub-nosed monkey in China’s temperate mountain forests was examined, with the hypothesis that its tree-shaking behavior alters forest structure and microclimates to enhance ecosystem health. To assess long-term impacts, current monkey-inhabited forests were compared with historical sites abandoned over decades, by analyzing tree gaps, forest structure, and environmental conditions. Monkeys’ canopy-disturbing actions were also directly observed. Findings revealed monkey activity created more canopy gaps (38.3% in current habitats vs. 29.9~33.5% in abandoned sites) and altered microclimate conditions, which boosted plant diversity and optimized the community’s vertical and age structures. Current forests supported nearly twice as many tree species, 2.5 times as many shrub species, and threefold more herb species than areas abandoned for 40 years. Even 20 years after monkeys disappeared, abandoned sites retained higher diversity and gaps, showing lasting ecological benefits. These results confirm the monkey’s vital role as a resilience promoter, demonstrating how rare species can shape healthier ecosystems. This highlights the need to prioritize protecting such species, as their survival not only preserves biodiversity but also sustains ecosystem functions crucial for human well-being. Full article
Show Figures

Figure 1

20 pages, 2079 KB  
Review
Mapping Research Trends on Fire and Invasive Plant Species in Grassland Restoration: A Bibliometric Review
by Sellina Ennie Nkosi, Yingisani Chabalala and Mashudu Patience Mamathaba
Conservation 2025, 5(4), 59; https://doi.org/10.3390/conservation5040059 - 16 Oct 2025
Cited by 2 | Viewed by 1685
Abstract
Fire and invasive plant species interactions are critical drivers of biodiversity loss and ecological change in grassland ecosystems worldwide. However, research efforts on this topic are often fragmented, regionally based, and lack synthesis across disciplines. This study aims to map the intellectual structure, [...] Read more.
Fire and invasive plant species interactions are critical drivers of biodiversity loss and ecological change in grassland ecosystems worldwide. However, research efforts on this topic are often fragmented, regionally based, and lack synthesis across disciplines. This study aims to map the intellectual structure, collaboration networks, thematic focus, and knowledge gaps in research on fire-invasive species interactions in grassland restoration. A systematic bibliometric analysis was conducted using the Web of Science Core Collection, focusing on peer-reviewed English-language articles published between 1990 and 2024. The search strategy targeted studies addressing fire regimes and invasive plant species in grassland ecosystems, using co-authorship, co-occurrence and thematic clustering analyses to reveal collaboration patterns and research trends. The results highlight a concentration of publications in key ecological journals, with a dominant contribution from institutions in the Global North, through growing representation from the Global South, particularly South Africa, is evident. Thematic clusters are centred on biological invasions, fire regimes, species traits and ecosystem resilience, while long-term post-fire recovery and studies from underrepresented regions remain critical knowledge gaps. This synthesis emphasises the need for interdisciplinary, regionally inclusive and policy-aligned research to inform effective grassland restoration strategies in the context of fire and invasive species challenges. Full article
Show Figures

Figure 1

15 pages, 6704 KB  
Article
Assessment of Habitat Suitability and Identification of Conservation Priority Areas for Endangered Marco Polo Sheep Throughout Khunjerab National Park (Pakistan) and Tashkurgan Natural Reserve (China)
by Ishfaq Karim, Xiaodong Liu, Babar Khan and Tahir Kazmi
Animals 2025, 15(13), 1907; https://doi.org/10.3390/ani15131907 - 28 Jun 2025
Viewed by 1816
Abstract
This study assesses habitat suitability and identifies conservation priority areas for the endangered Marco Polo sheep throughout Khunjerab National Park (Pakistan) and Tashkurgan Natural Reserve (China). We analyzed species occurrence records against environmental variables (elevation, slope, climate, land cover) using MaxEnt modeling. Model [...] Read more.
This study assesses habitat suitability and identifies conservation priority areas for the endangered Marco Polo sheep throughout Khunjerab National Park (Pakistan) and Tashkurgan Natural Reserve (China). We analyzed species occurrence records against environmental variables (elevation, slope, climate, land cover) using MaxEnt modeling. Model performance was validated through AUC-ROC analysis and response curves, generating spatial predictions of suitable habitats to inform conservation strategies. Spatial predictions were generated to map potential distribution zones, aiding conservation planning for this endangered species. The model’s predictive performance was evaluated using the Area Under the Curve (AUC) of the Receiver Operating Characteristic curve, yielding an AUC of 0.919, indicating strong discriminatory capability. Elevation (43.9%), slope (25.9%), and September precipitation (15.9%) emerged as the most influential environmental predictors, collectively contributing 85.7% to the model. The total percentage contribution and permutation significance values were 98.6% and 77.8%, respectively. Jackknife analysis identified elevation (bio-1), slope (bio-7), hillshade (bio-2), and the maximum July temperature (bio-9) as the most significant factors influencing the distribution of Marco Polo sheep, Conversely, variables such as viewshade (bio-14), land cover (bio-3), and precipitation in August (bio-4) contributed a minimal gain, suggesting that they had little impact on accurately predicting species distribution. The habitat suitability map reveals varying conditions across the study area, with the highest suitability (yellow zones) found in the northern and western regions, particularly along the Wakhan Corridor ridgelines. The southern regions, including Khunjerab Pass, show predominantly low suitability, marked by purple zones, suggesting poor habitat conditions. The eastern region displays moderate to low suitability, with fragmented patches of green and yellow, indicating seasonal habitats. The survival of transboundary Marco Polo sheep remains at risk due to poaching activities and habitat destruction and border fence barriers. This study recommends scientific approaches to habitat restoration together with improved China–Pakistan cooperation in order to establish sustainable migratory patterns for this iconic species. Full article
Show Figures

Figure 1

34 pages, 5721 KB  
Article
Stability Analysis of a Four-Species Periodic Diffusive Predator–Prey System with Delay and Feedback Control
by Lili Jia and Changyou Wang
Biology 2025, 14(5), 462; https://doi.org/10.3390/biology14050462 - 24 Apr 2025
Cited by 1 | Viewed by 1076
Abstract
In this work, we present a novel four-species periodic diffusive predator–prey model, which incorporates delay and feedback control mechanisms, marking substantial progress in ecological modeling. This model offers a more realistic and detailed portrayal of the intricate dynamics of predator–prey interactions. Our primary [...] Read more.
In this work, we present a novel four-species periodic diffusive predator–prey model, which incorporates delay and feedback control mechanisms, marking substantial progress in ecological modeling. This model offers a more realistic and detailed portrayal of the intricate dynamics of predator–prey interactions. Our primary objective is to establish the existence of a periodic solution for this new model, which depends only on time variables and is independent of spatial variables (we refer to it as a spatially homogeneous periodic solution). By employing the comparison theorem and the fixed point theorem tailored for delay differential equations, we derive a set of sufficient conditions that guarantee the emergence of such a solution. This analytical framework lays a solid mathematical foundation for understanding the periodic behaviors exhibited by predator–prey systems with delayed and feedback-regulated interactions. Moreover, we explore the global asymptotic stability of the aforementioned periodic solution. We organically combine Lyapunov stability theory, upper and lower solution techniques for partial differential equations with delay, and the squeezing theorem for limits to formulate additional sufficient conditions that ensure the stability of the periodic solution. This stability analysis is vital for forecasting the long-term outcomes of predator–prey interactions and evaluating the model’s resilience against disturbances. To validate our theoretical findings, we undertake a series of numerical simulations. These simulations not only corroborate our analytical results but also further elucidate the dynamic behaviors of the four-species predator–prey model. Our research enhances our understanding of the complex interactions within ecological systems and carries significant implications for the conservation and management of biological populations. Full article
Show Figures

Figure 1

15 pages, 2895 KB  
Article
Transcriptome and Metabolome Analyses Reveal High-Altitude Adaptation in the Qinghai Toad-Headed Lizard Phrynocephalus vlangalii
by Jun Zhong, Jian Chen, Yu-Hong Lu, Yu-Fei Huang, Ming-Sheng Hong and Xiang Ji
Biology 2025, 14(5), 459; https://doi.org/10.3390/biology14050459 - 24 Apr 2025
Cited by 1 | Viewed by 1236
Abstract
The plateau environments are always harsh, with low pressure, low oxygen, and low temperature, which are detrimental to the survival of organisms. The Qinghai toad-headed lizard Phrynocephalus vlangalii has a wide range of altitude adaptation from 2000 to 4600 m. But it is [...] Read more.
The plateau environments are always harsh, with low pressure, low oxygen, and low temperature, which are detrimental to the survival of organisms. The Qinghai toad-headed lizard Phrynocephalus vlangalii has a wide range of altitude adaptation from 2000 to 4600 m. But it is still unclear how organisms maintain tissue function by balancing energy supply and demand changes in high-altitude environments of P. vlangalii. We investigated the plateau metabolic adaptation through transcriptome and metabolome analyses of P. vlangalii from three populations at different altitudes of the Qinghai-Tibet Plateau. The genes related to carbohydrate metabolism were significantly down-regulated at the high altitude. The metabolites alpha-D-glucose 1-phosphate, beta-D-fructose 6-phosphate, D-glycerate 1,3-diphosphate, 3-phosphoglycerate, and phosphoenolpyruvate in glycolysis/gluconeogenesis were down-regulated, too. The lipid metabolic and fatty acid synthase-related genes were up-regulated at a high altitude. In conclusion, the glycogen utilization-related genes and metabolites experienced broad down-regulation, while lipid-related genes and metabolites had a clear trend of up-regulation. Thus, we suggest that P. vlangalii tends to increase lipid utilization and reduce the dependence on glycogen consumption to acclimatize to the high-altitude environment. Full article
Show Figures

Figure 1

Back to TopTop