Sign in to use this feature.

Years

Between: -

Subjects

remove_circle_outline
remove_circle_outline
remove_circle_outline
remove_circle_outline
remove_circle_outline
remove_circle_outline
remove_circle_outline
remove_circle_outline
remove_circle_outline

Journals

remove_circle_outline
remove_circle_outline
remove_circle_outline
remove_circle_outline
remove_circle_outline
remove_circle_outline
remove_circle_outline
remove_circle_outline
remove_circle_outline
remove_circle_outline
remove_circle_outline
remove_circle_outline
remove_circle_outline
remove_circle_outline
remove_circle_outline
remove_circle_outline
remove_circle_outline
remove_circle_outline
remove_circle_outline
remove_circle_outline
remove_circle_outline
remove_circle_outline
remove_circle_outline
remove_circle_outline
remove_circle_outline
remove_circle_outline
remove_circle_outline

Article Types

Countries / Regions

remove_circle_outline
remove_circle_outline
remove_circle_outline
remove_circle_outline
remove_circle_outline
remove_circle_outline
remove_circle_outline

Search Results (3,945)

Search Parameters:
Keywords = loss coefficient

Order results
Result details
Results per page
Select all
Export citation of selected articles as:
19 pages, 1236 KB  
Article
Enhancing Frost Durability of Cement-Stabilized Silty Clay: Experimental Evaluation and Prediction Model Development
by Yu Zhang, Lingjie Li and Bangyan Hu
Buildings 2026, 16(3), 484; https://doi.org/10.3390/buildings16030484 - 23 Jan 2026
Abstract
Ensuring the long-term performance of infrastructure in cold regions necessitates evaluating the frost durability of subgrade materials. This study comprehensively investigates the mechanical behavior of cement-stabilized silty clay, a common material for subgrade improvement, under freeze–thaw (F–T) cycles. A series of unconfined compressive [...] Read more.
Ensuring the long-term performance of infrastructure in cold regions necessitates evaluating the frost durability of subgrade materials. This study comprehensively investigates the mechanical behavior of cement-stabilized silty clay, a common material for subgrade improvement, under freeze–thaw (F–T) cycles. A series of unconfined compressive strength (UCS) and resilient modulus (MR) tests were conducted to quantify the effects of cement content (3%, 6%, 9%), initial moisture content (OMC − 2% to OMC + 6%), and the number of F–T cycles (0 to 9). The results demonstrate that increasing the cement content significantly enhances the MR, with the most effective improvement observed up to 6%. Specifically, increasing cement from 3% to 6% boosted MR by 11.62% to 26.69%, while a further increase to 9% yielded a smaller gain of 4.59% to 12.60%, indicating an optimal content. Both UCS and MR peak at the optimum moisture content (OMC) and degrade markedly with F–T cycles, with the first cycle causing over 50% of the total MR loss in most cases. Properties tend to stabilize after approximately six cycles. The stabilized soil exhibits superior performance, with its MR being 2.29–2.43 times that of the original soil at OMC after nine F–T cycles. Furthermore, a logarithmic model (R2 = 0.87–0.94) effectively captures the attenuation of MR with F–T cycles, while a strong linear relationship (R2 = 0.90–0.96) exists between the initial moisture content and the degradation coefficient. An empirical predictive model for UCS, integrating cement content, moisture content, and F–T cycles, is proposed and shows excellent correlation with experimental data (R2 > 0.92). Microstructural analysis reveals that the enhancement mechanism is attributed to hydration, cation exchange, and flocculation, which collectively form a stable cementitious network. The findings and proposed models provide critical quantitative insights for optimizing the design of frost-resistant cement-stabilized subgrades, thereby contributing to the enhanced durability and performance of overlying structures in seasonal freeze–thaw environments. Full article
(This article belongs to the Special Issue Foundation Treatment and Building Structural Performance Enhancement)
24 pages, 9410 KB  
Article
Performance Analysis and Optimization of Fuel Cell Vehicle Stack Based on Second-Generation Mirai Vehicle Data
by Liangyu Tao, Yan Zhu, Hongchun Zhao and Zheshu Ma
Sustainability 2026, 18(3), 1172; https://doi.org/10.3390/su18031172 - 23 Jan 2026
Abstract
To accurately investigate the loss characteristics of fuel cell vehicles (FCVs) under actual operating conditions and enhance their power performance and economic efficiency, this study establishes a numerical model of the proton exchange membrane fuel cell (PEMFC) stack based on real-world data from [...] Read more.
To accurately investigate the loss characteristics of fuel cell vehicles (FCVs) under actual operating conditions and enhance their power performance and economic efficiency, this study establishes a numerical model of the proton exchange membrane fuel cell (PEMFC) stack based on real-world data from the second-generation Mirai. The stack model incorporates leakage current losses and imposes a limit on maximum current density. Besides, this study analyzes the effects of operating parameters (PEM water content, hydrogen partial pressure, current density, oxygen partial pressure, and operating temperature) on stack power output, efficiency, and eco-performance coefficient (ECOP). Furthermore, Non-Dominated Sequential Genetic Algorithm (NSGA-II) is employed to optimize the PEMFC stack performance, yielding the optimal operating parameter set for FCV operation. Further simulations are conducted on dynamic performance characteristics of the second-generation Mirai under two typical driving cycles, evaluating the power performance and economy of the FCV before and after optimization. Results demonstrate that the established PEMFC stack model accurately analyzes the output performance of an actual FCV when compared with real-world performance test data from the second-generation Mirai. Through optimization, output power increases by 7.4%, efficiency improves by 1.95%, and ECOP rises by 3.84%, providing guidance for enhancing vehicle power performance and improving overall vehicle economy. This study provides a practical framework for enhancing the power performance and overall energy sustainability of fuel cell vehicles, contributing to the advancement of sustainable transportation. Full article
(This article belongs to the Section Sustainable Engineering and Science)
Show Figures

Figure 1

23 pages, 2275 KB  
Article
Assessment of Resource Misallocation and Economic Efficiency Losses in Chinese Cities: A Heterogeneity Perspective on Renewable and Non-Renewable Energy Sources
by Mingwei Li and Xianzhong Mu
Energies 2026, 19(3), 586; https://doi.org/10.3390/en19030586 - 23 Jan 2026
Abstract
The misallocation of renewable (RE) and non-renewable energy (NRE) resources may lead to the inefficiency of economic development, thereby hindering the achievement of sustainable development goals. Basing data on 282 Chinese cities during 2005–2021, a relative factor price distortion coefficient was employed to [...] Read more.
The misallocation of renewable (RE) and non-renewable energy (NRE) resources may lead to the inefficiency of economic development, thereby hindering the achievement of sustainable development goals. Basing data on 282 Chinese cities during 2005–2021, a relative factor price distortion coefficient was employed to estimate the degree and direction of resource misallocation (RM) for RE, NRE, capital, and labor at both the aggregate city level and across four disaggregated city categories. Output gaps and efficiency losses are further quantified by incorporating RM analysis into the economic growth accounting framework, revealing significant heterogeneity in RM across cities. Findings show that (1) RE and labor misallocation exceed those of NRE and capital at the city level. RE misallocation is dominant in energy misallocation. There exists an underallocation of RE, NRE, and labor, while capital is overallocated. (2) Renewable energy input and output (RE-IO) cities exhibit the highest overall RM (32.1%), whereas renewable energy input (RE-Input) cities possess the lowest ones (21.2%). Four city types demonstrate an underallocation of RE and an overallocation of capital. (3) Both output gaps and efficiency losses are on the rise. Output changes sources are transferred from the variations in factor inputs to those in total factor productivity (TFP). The contribution from the RM changes is limited. The results provide a reference for reducing RM and achieving energy transition. Full article
(This article belongs to the Special Issue Sustainable Energy Systems: Progress, Challenges and Prospects)
Show Figures

Figure 1

21 pages, 8730 KB  
Article
Characteristics of Stratum Disturbance During the Construction of Dual-Line Shield Tunnels with Consideration of Soil Spatial Variability
by Yuan Lyu, Yong Liu, Chaoqun Huang, Zehang Wang, Dong Huang, Jing Peng and Xuedong Luo
Appl. Sci. 2026, 16(2), 1132; https://doi.org/10.3390/app16021132 - 22 Jan 2026
Abstract
Soil spatial variability is an inherent feature of natural strata, and random field theory provides an effective framework for quantifying it, aiding accurate deformation prediction. This study focuses on the tunnel section between Kepugongyuan and Gangduhuayuan Stations on Wuhan Metro Line 12. Its [...] Read more.
Soil spatial variability is an inherent feature of natural strata, and random field theory provides an effective framework for quantifying it, aiding accurate deformation prediction. This study focuses on the tunnel section between Kepugongyuan and Gangduhuayuan Stations on Wuhan Metro Line 12. Its novelty focuses on analyzing dual-line shield-induced ground response with explicit consideration of multi-layer soil spatial variability. It examines the effects of the coefficient of variation and the horizontal/vertical spatial correlation distances of cohesion, internal friction angle, and elastic modulus—considering multilayer soil variability—on ground disturbance induced by twin-tunnel shield construction. The main findings include the following: (1) In cross-section, the settlement trough transitions from a “W”-shaped double trough to a “V”-shaped single trough as excavation advances, with the settlement center moving toward the midpoint between the tunnels. Longitudinally, soil heaves ahead of the shield and settles behind. (2) Ignoring spatial variability results in underestimated deformations; nearly 80% of stochastic simulations produced larger maximum surface settlements compared to deterministic analysis. (3) Ground loss and shield thrust disturbance are categorized into four zones based on tunnel diameter (D): Disturbance Zone, Secondary Zone, Transition Zone, and Undisturbed Zone. These findings provide practical guidance for predicting ground deformation and managing settlement-related risks in urban dual-line shield projects. Full article
22 pages, 1222 KB  
Article
An Impact of Moisture on Thermal State of Flax and Hemp Shives Thermal Insulations
by Piotr Kosiński, Lidia Kwiatkowska, Agata Gorząch, Monika Kwiatkowska and Przemysław Brzyski
Materials 2026, 19(2), 440; https://doi.org/10.3390/ma19020440 - 22 Jan 2026
Abstract
Plant-based materials exhibit different moisture absorption properties than synthetic materials. In the case of synthetic fibrous insulation, the effect of moisture on thermal conductivity can be relatively easily determined based on the mass fraction of moisture in the material’s skeleton. In the case [...] Read more.
Plant-based materials exhibit different moisture absorption properties than synthetic materials. In the case of synthetic fibrous insulation, the effect of moisture on thermal conductivity can be relatively easily determined based on the mass fraction of moisture in the material’s skeleton. In the case of cellulosic materials with an open capillary structure, determining this effect requires laboratory testing. The authors conducted laboratory tests of the thermal conductivity coefficient of dry and wet plant-based insulation, such as flax and hemp shives. The effect of material densification at various moisture levels was also considered. The article also presents a numerical analysis of the thermal state and moisture content of thermal insulation used in walls operating under moderate climatic conditions. For damp shives, thermal conductivity increases noticeably with increasing densification, while for dry shives, thermal conductivity decreases until a certain level of densification is achieved. The obtained results were compared with values calculated using a linear model of the relationship between thermal conductivity and moisture content in the material. At higher moisture values, around 14–15 wt.%, thermal conductivity results are significantly lower than those obtained from the linear model (12.5–16.3% in the case of flax shives and 8.4–11.3% in the case of hemp shives) This is a favorable characteristic of shives compared to the performance of, for example, mineral wool in elevated humidity conditions. The authors believe that their results will be not only scientific but also practical, facilitating the assessment of heat loss in buildings. Full article
(This article belongs to the Section Construction and Building Materials)
20 pages, 7050 KB  
Article
Experimental and Visualization Study of Flow Boiling in Open Rectangular Microchannel with Large Aspect Ratio
by Yaning Guo, Lulu Li, Bo Zhang, Xiangji Guo and Ningsheng Wang
Energies 2026, 19(2), 561; https://doi.org/10.3390/en19020561 - 22 Jan 2026
Abstract
This experimental study comparatively investigates flow boiling performance and mechanisms in open and closed rectangular microchannels (ORMs/CRMs) with a high aspect ratio of 4. Fabricated on a copper substrate and sealed with a transparent window for visualization, the systems were tested using refrigerant [...] Read more.
This experimental study comparatively investigates flow boiling performance and mechanisms in open and closed rectangular microchannels (ORMs/CRMs) with a high aspect ratio of 4. Fabricated on a copper substrate and sealed with a transparent window for visualization, the systems were tested using refrigerant R245fa. Experiments spanned mass fluxes from 89 to 545 kg/m2·s and heat fluxes from 6.3 to 218.5 W/cm2 at an inlet temperature of 14 °C. Flow visualization reveals that the ORM configuration accelerates the transition from bubbly to slug and churn flow regimes and facilitates a unique stratified flow pattern absent in the CRM. Quantitatively, the ORM enhances the heat transfer coefficient by 4.2–14.1% while reducing the system pressure drop by 11.5–58.6% within the low mass flux range (89–269 kg/m2·s). Conversely, at a high mass flux of 545 kg/m2·s, the ORM’s pressure drop increases substantially by 29.9–246.8%, attributed to significant two-phase losses in the top-gap region. As heat flux increases, inertial forces dominate over gravitational effects, shifting the primary heat transfer contribution from nucleate to flow boiling. The figure of merit (FOM) confirms the overall performance superiority of the ORM at low mass fluxes. This work provides valuable insights and design guidelines for high-performance, high-aspect-ratio microchannel heat sinks in advanced thermal management systems. Full article
Show Figures

Figure 1

24 pages, 2692 KB  
Article
Domain Shift in Breast DCE-MRI Tumor Segmentation: A Balanced LoCoCV Study on the MAMA-MIA Dataset
by Munid Alanazi and Bader Alsharif
Diagnostics 2026, 16(2), 362; https://doi.org/10.3390/diagnostics16020362 - 22 Jan 2026
Abstract
Background and Objectives: Accurate breast tumor segmentation in dynamic contrast-enhanced MRI (DCE-MRI) is crucial for treatment planning, therapy monitoring, and quantitative studies of breast cancer response. However, deep learning models often have worse performance when applied to new hospitals because scanner hardware, acquisition [...] Read more.
Background and Objectives: Accurate breast tumor segmentation in dynamic contrast-enhanced MRI (DCE-MRI) is crucial for treatment planning, therapy monitoring, and quantitative studies of breast cancer response. However, deep learning models often have worse performance when applied to new hospitals because scanner hardware, acquisition protocols, and patient populations differ from those in the training data. This study investigates how such center-related domain shift affects automated breast DCE-MRI tumor segmentation on the multi-center MAMA-MIA dataset. Methods: We trained a standard 3D U-Net for primary tumor segmentation under two evaluation settings. First, we constructed a random patient-wise split that mixes cases from the three main MAMA-MIA center groups (ISPY2, DUKE, NACT) and used this as an in-distribution reference. Second, we designed a balanced leave-one-center-out cross-validation (LoCoCV) protocol in which each center is held out in turn, while training, validation, and test sets are matched in size across folds. Performance was assessed using the Dice similarity coefficient, 95th percentile Hausdorff distance (HD95), sensitivity, specificity, and related overlap measures. Results: On the mixed-center random split, the best three-channel model achieved a mean Dice of about 0.68 and a mean HD95 of about 19.7 mm on the held-out test set, indicating good volumetric overlap and boundary accuracy when training and test distributions match. Under balanced LoCoCV, the one-channel model reached a mean Dice of about 0.45 and a mean HD95 of about 41 mm on unseen centers, with similar averages for the three-channel variant. Compared with the random split baseline, Dice and sensitivity decreased, while HD95 nearly doubled, showing that boundary errors become larger and segmentations less reliable when the model is applied to new centers. Conclusions: A model that performs well on mixed-center random splits can still suffer a substantial loss of accuracy on completely unseen institutions. The balanced LoCoCV design makes this out-of-distribution penalty visible by separating center-related effects from sample size effects. These findings highlight the need for robust multi-center training strategies and explicit cross-center validation before deploying breast DCE-MRI segmentation models in clinical practice. Full article
(This article belongs to the Special Issue AI in Radiology and Nuclear Medicine: Challenges and Opportunities)
Show Figures

Figure 1

20 pages, 2717 KB  
Article
Profile Differentiation of Soil Properties and Soil Organic Matter Quality as a Result of Soil Degradation in Drained Peatlands of the Temperate Zone
by Marcin Becher, Magdalena Banach-Szott, Dawid Jaremko, Agnieszka Godlewska and Natalia Barbarczyk
Sustainability 2026, 18(2), 1096; https://doi.org/10.3390/su18021096 - 21 Jan 2026
Viewed by 39
Abstract
In achieving sustainable development goals, soils play a key role in environmental protection, natural resources, and food security. Peatlands are particularly important here, as they function at the interface between terrestrial and aquatic ecosystems and store large amounts of organic matter. However, organic [...] Read more.
In achieving sustainable development goals, soils play a key role in environmental protection, natural resources, and food security. Peatlands are particularly important here, as they function at the interface between terrestrial and aquatic ecosystems and store large amounts of organic matter. However, organic soils are highly susceptible to transformation and degradation; therefore, their degradation caused by, among others, drainage properties is a high risk to both the environment and agriculture—it disrupts the ecosystems, causes greenhouse gas emissions, and eutrophicates the hydrosphere. Soil degradation in drained peatlands is associated with the transformation of soil organic matter (SOM), which in organic soils is the dominant component of the solid phase of the soil. The aim of our study was to assess the properties and degree of organic matter transformation in drained temperate peatland soils, with particular emphasis on sequential fractionation of SOM and humic acid properties. Due to the fact that in Poland, as many as 90% of non-forest peat bogs have been drained, we compare the mursh horizons that formed after peat bog drainage with the peat horizons that constitute the parent rock (where anaerobiosis occurs and morphological changes in the soil material are absent due to peat bog drainage). Studies were conducted on 11 soil profiles located in central-eastern Poland. Basic physicochemical soil properties were determined: pH, bulk density, contents of ash, SOM, total carbon (TC), and total nitrogen (TN). Sequential carbon fractionation was used to qualitatively analyze organic matter, which allowed for the identification of labile fractions, lipid fractions, humic substances (fulvic and humic acids), and residual fractions. Humic acids (HAs) were extracted using the Schnitzer method and analyzed for their elemental composition and spectrometric parameters in the VIS range. It was demonstrated that SOM transformation in drained temperate peatland soils was correlated with comprehensive changes in the soil’s physical and chemical properties. Compared to peat horizons, topsoil horizons were characterized by higher ash content and density, lower SOM content, and a lower TC/TN ratio. Qualitative SOM transformation during aerobic SOM transformation after draining the studied peatlands consisted of an increase in the amount of labile fractions and humic substances and a decrease in the lipid and residual fractions. The research results have shown that the HAs properties depended on the depth. HAs from topsoil horizons, compared to peat horizons, were characterized by a lower “degree of maturity,” as reflected by the values of atomic ratios (H/C, O/C) and absorbance coefficients (A4/6 and ΔlogK). It was found that the share of the distinguished SOM fractions and HAs properties were closely correlated with the physical and chemical properties of the soils. The study demonstrated the usefulness of the sequential carbon fractionation method for assessing the effects of dewatered peat transformation. The obtained results could contribute to the development of good practices ensuring high quality of organic matter and stability of ecosystems, as well as to the development of methods for limiting the mineralization of organic matter (SOM), greenhouse gas emissions, and the loss of organic soils in agricultural areas. Full article
(This article belongs to the Special Issue Soil Restoration and Sustainable Utilization)
27 pages, 5637 KB  
Article
The Failure Process and Stability Analysis of Earthen Dam Under the Coupling Effect of Seepage–Suffusion–Stress
by Yanzhen Zhu, Honglei Sun and Shanlin Xu
Buildings 2026, 16(2), 440; https://doi.org/10.3390/buildings16020440 - 21 Jan 2026
Viewed by 58
Abstract
Suffusion is a primary cause of failure in hydraulic structures, including earth dams; however, the mechanisms underlying suffusion-induced failure and the stability changes remain poorly understood. This study derives and implements a sequentially coupled computational model that considers the effect of seepage–suffusion–stress, aimed [...] Read more.
Suffusion is a primary cause of failure in hydraulic structures, including earth dams; however, the mechanisms underlying suffusion-induced failure and the stability changes remain poorly understood. This study derives and implements a sequentially coupled computational model that considers the effect of seepage–suffusion–stress, aimed at simulating the entire process of suffusion-induced failure in earth dams and evaluating their stability. The accuracy of the proposed approach is validated through comparisons with one-dimensional consolidation theory, suffusion experiments, and triaxial tests on eroded soil. A model of the earth dam at high water levels is developed to simulate the full process of suffusion-induced failure and assess its stability. The results indicate that, under the influence of suffusion, fines are lost most rapidly at the dam toe, followed by the region near the upstream water level. In the later stages of suffusion, the soil near the slip surface undergoes excessive compression, leading to an increase in fine content rather than a decrease. The mechanism of suffusion-induced failure in earth dams involves severe fines loss at the dam toe and near the upstream water level, which leads to significant soil weakening and the formation of a continuous plastic zone extending from the dam toe to the upstream water level. The safety factor of the earth dam, when suffusion effects are not considered, remains nearly constant, making it challenging to accurately assess its stability. The safety factor of the earth dam remains nearly constant when suffusion is neglected, indicating that overlooking suffusion presents substantial safety risks. Furthermore, reducing the permeability coefficient of the earth dam can effectively mitigate suffusion. Full article
(This article belongs to the Section Building Structures)
Show Figures

Figure 1

14 pages, 3172 KB  
Article
Flexural Deformation Calculation Theory and Numerical Method for Steel-Plate–Concrete Composite Reinforcement Considering Interfacial Slip
by Kanghua Yang, Xu Xie, Aijun Zhang and Peiyun Zhu
Buildings 2026, 16(2), 416; https://doi.org/10.3390/buildings16020416 - 19 Jan 2026
Viewed by 106
Abstract
The steel-plate–concrete composite reinforcement method is derived from the bonded steel plate and increased-section techniques. It is employed to enhance the strength of concrete structures that require a substantial increase in load-bearing capacity. To develop a flexural deformation calculation theory that accounts for [...] Read more.
The steel-plate–concrete composite reinforcement method is derived from the bonded steel plate and increased-section techniques. It is employed to enhance the strength of concrete structures that require a substantial increase in load-bearing capacity. To develop a flexural deformation calculation theory that accounts for slip effects in general reinforced cross-sections with bilateral symmetry, interfacial slip and deflection equations are formulated based on the relationship between interlayer slip and the rotational angle of beams in the plane, as well as the principle of force equilibrium. A numerical method, established based on this theoretical framework, is proposed to facilitate the analytical solution and is verified to be consistent with analytical results. Furthermore, the accuracy of the calculation theory is validated through bending experiments. Finally, the influence of key parameters affecting slip on the flexural stiffness of the reinforced beam is evaluated by determining the stiffness reduction coefficient according to the theory. The results indicate that the flexural stiffness of reinforced beams is governed by three non-dimensional parameters: the boundary condition parameter (μ), composite action parameter (shear connector stiffness (βl)), and relative bending stiffness parameter (G/G0). The loading mode does not affect the flexural stiffness of the reinforced beams. As βl approaches 100 and G/G0 approaches 1, η approaches 100%. In cases where high stiffness is required, reducing interfacial slip can minimize the loss of flexural stiffness in composite structures. Conservative calculations indicate that satisfying the conditions βl ≥ 8 and G/G0 ≤ 1.6 during design can ensure that the reduction in flexural stiffness of the reinforced beam remains above 90%. Full article
(This article belongs to the Section Building Structures)
Show Figures

Figure 1

16 pages, 20049 KB  
Article
A New Hybrid Sensor Design Based on a Patch Antenna with an Enhanced Sensitivity Using Frequency-Selective Surfaces (FSS) in the Microwave Region for Non-Invasive Glucose Concentration Level Monitoring
by Umut Kose, Guliz Sili, Bora Doken, Emre Sedar Saygili, Funda Akleman and Mesut Kartal
Electronics 2026, 15(2), 427; https://doi.org/10.3390/electronics15020427 - 19 Jan 2026
Viewed by 140
Abstract
In this study, a hybrid sensor based on a defective square-truncated patch antenna (STPA) and a frequency-selective surface (FSS) was analyzed numerically and experimentally for different glucose–distilled water solutions. Here, an FSS was employed to enhance the sensitivity of the hybrid sensor. The [...] Read more.
In this study, a hybrid sensor based on a defective square-truncated patch antenna (STPA) and a frequency-selective surface (FSS) was analyzed numerically and experimentally for different glucose–distilled water solutions. Here, an FSS was employed to enhance the sensitivity of the hybrid sensor. The sensing principle relies on monitoring variations in the loss tangent (tanδ) and relative permittivity (εr) caused by different glucose concentrations applied to the sample under test (SUT). An open-ended coaxial probe was used to measure the complex permittivity of the solutions, which was then fitted to the Debye relaxation model. The simulated and experimental results of the novel sensor showed good agreement in a glucose concentration monitoring application. The sensor spanned the glucose range from 0 mg/dL to 5000 mg/dL, exhibiting a sensitivity of 55.44 kHz/mgdL−1 and a figure of merit (FOM) of 6.23 × 104 (1/mgdL−1) in the experiments and 53.60 kHz/mgdL−1 and 1.71 × 104 (1/mgdL−1) FOM in the simulations. When solutions with different concentrations were tested in the SUT, the resonance frequency of the antenna (f0, in GHz) changed. To further characterize the sensor response, the relationship between the glucose concentration (C, in mg/dL) and f0 was examined. A regression-based prediction model was constructed to map the measured scattering parameters to the glucose concentration, yielding a coefficient of determination (R2) of 0.976. The high sensitivity, compact size, and compatibility with planar fabrication suggest that the proposed hybrid sensor has the potential to contribute to the development of non-invasive glucose-monitoring systems. Full article
Show Figures

Figure 1

15 pages, 2937 KB  
Article
Investigating the Diurnal Variations in Radio Refractivity and Its Implications for Radio Communications over South Africa
by Akinsanmi Akinbolati and Bolanle T. Abe
Telecom 2026, 7(1), 11; https://doi.org/10.3390/telecom7010011 - 19 Jan 2026
Viewed by 152
Abstract
The metric for probing the variation in atmospheric refractive indices is radio refractivity (RR), which is a key factor in determining the losses associated with a radio signal as it traverses from one atmospheric layer to another. Ten years (2015–2024) of surface hourly [...] Read more.
The metric for probing the variation in atmospheric refractive indices is radio refractivity (RR), which is a key factor in determining the losses associated with a radio signal as it traverses from one atmospheric layer to another. Ten years (2015–2024) of surface hourly data of temperature (K), pressure (P), and relative humidity (RH) obtained from ERA-5 reanalysis were used for RR computations based on ITU-R models. Twelve major cities of South Africa were benchmarked for the study. Time series plots of the overall ten-year RR hourly mean were generated for the cities. The correlation coefficient (R) between RR and RH was investigated. The results indicate the highest and lowest RR of 360.94 and 301.09 (N-Units) in Pietermaritzburg and Kimberly, respectively, with a range of 59.85 over the country. In the southern coast, Pietermaritzburg recorded the highest and lowest values of 360.14 and 325.52 (N-Units) at 21:00 and 11:00 hrs., followed by Durban with 348.55 and 339.44 at 17:00 and 10:00 hrs., Bhisho with 346.88 and 320.622 at 00:00 and 11:00 hrs., and Cape Town with 328.54 and 322.47 (N-Units) at 00:00 and 10:00 hrs., respectively. In the central region, Bloemfontein recorded values of 344.97 and 305.58 at 04:00 and 13:00 hrs., respectively, while Kimberly recorded 338.06 and 301.09 at 04:00 and 13:00 hrs., respectively. In the northern region, Johannesburg recorded the highest and lowest values of 358.79 and 318.56 (N-Units) at 03:00 and 13:00 hrs., respectively; Pretoria recorded values of 352.25 and 316.76 at 04:00 and 13:00 hrs., respectively; Emalahleni recorded values of 358.79 and 318.95 at 03:00 and 13:00 hrs., respectively; and Polokwane recorded values of 357.59 and 320.82 at 03:00 and 13:00 hrs., respectively. Mahikeng recorded values of 346.70 and 311.37 at 04:00 and 13:00 h, while Mbombela recorded values of 360.11 and 329.17 (N-Units) at 00:00 and 12:00 h, respectively. The implications of these results are a higher refractive attenuation effect of terrestrial transmitted radio signals in cities with higher RR and during the early morning, evening, and night hours of the day. A high positive (R) of 0.84 to 0.99 was observed between RR and RH across the country. A geo-spatial RR contour map was generated for the study stations for practical applications and could be helpful in cities where the contour passes within South Africa. These findings should be taken into consideration in the design and reappraisal of terrestrial radio-link and power budgets to ensure quality of service. The overall findings provide practical applications for mitigating RR-prone attenuation on terrestrial radio channels, such as Radio and Television broadcasting, GSM, and microwave link systems, among others, across South Africa and other countries with similar geography and climate. Full article
Show Figures

Figure 1

21 pages, 388 KB  
Article
Evaluating Intercropping Indices in Grass–Clover Mixtures and Their Impact on Maize Silage Yield
by Marko Zupanič, Miran Podvršnik, Vilma Sem, Boštjan Kristan, Ludvik Rihter, Tomaž Žnidaršič and Branko Kramberger
Plants 2026, 15(2), 293; https://doi.org/10.3390/plants15020293 - 18 Jan 2026
Viewed by 161
Abstract
A field experiment was conducted in 2019–2020 and 2020–2021 at Rogoza, Fala, and Brežice in Slovenia to examine the biological viability of a mixed intercropping system and the effect of winter catch crops (WCCs) on maize growth parameters. The experiment included Italian ryegrass [...] Read more.
A field experiment was conducted in 2019–2020 and 2020–2021 at Rogoza, Fala, and Brežice in Slovenia to examine the biological viability of a mixed intercropping system and the effect of winter catch crops (WCCs) on maize growth parameters. The experiment included Italian ryegrass (IR) in pure stands, fertilized with nitrogen (N) in spring (70 kg N ha−1), mixtures of crimson clover and red clover 50:50 (C), and intercropping between IR and C (IR+C). Neither mixture was fertilized with N in spring. We evaluated different competition indices and biological efficiency. Relative crowding coefficient (RCC) and actual yield loss (AYL) exceeded 1, indicating a benefit of IR+C intercropping. The IR in intercropping was more aggressive, as indicated by positive aggressivity (A) and a competitive ratio (CR) > 1, and it dominated over C in IR+C (that had negative A values and CR < 1). The competitive balance index (Cb) differed from zero, the relative yield total (RYT) was 2.24, the land equivalent coefficient (LEC) exceeded 0.25, the area–time equivalent ratio (ATER) exceeded 1, and land use efficiency (LUE) exceeded 100%. IR+C exhibited the highest total aboveground dry matter yield of maize (29.22 t ha−1), the highest nitrogen content in dry matter grain yield of maize (206.35 kg ha−1), the highest nitrogen and potassium content in maize stover (105.7 and 105.7 kg ha−1, respectively), and the highest nitrogen and potassium content in the total aboveground dry matter of maize (312 and 267.3 kg ha−1, respectively). The C/N ratio in dry matter yield of IR was 45.35, and in IR+C it was 33.43, which means that the mixture had a positive effect on nutrient release in maize. The ryegrass–clover mixture, according to the calculated biological indices, had advantages over pure stands and had a positive effect on maize yield. Full article
(This article belongs to the Section Crop Physiology and Crop Production)
23 pages, 2529 KB  
Article
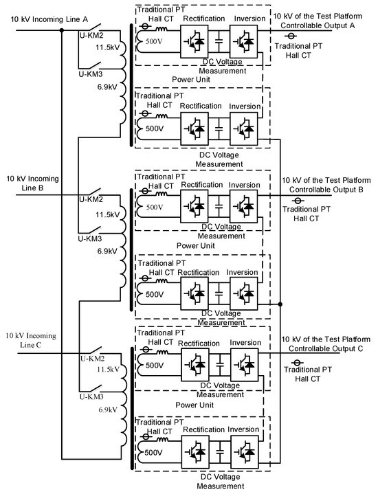
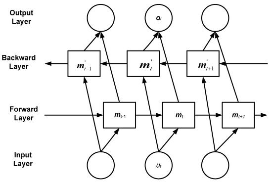
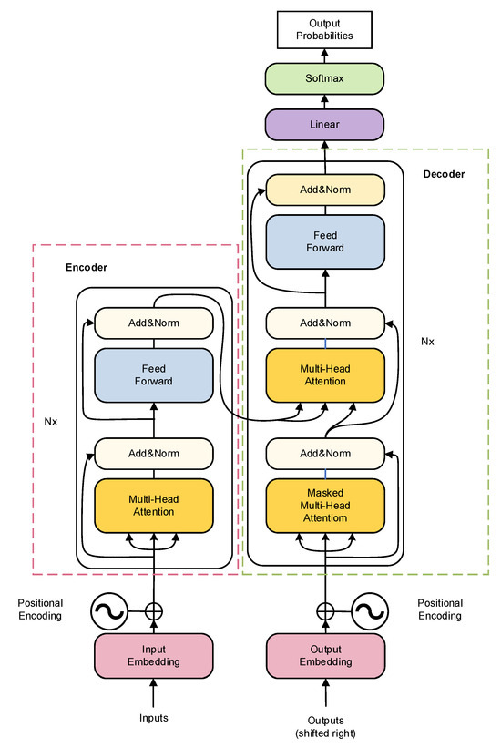
Loss Prediction and Global Sensitivity Analysis for Distribution Transformers Based on NRBO-Transformer-BiLSTM
by Qionglin Li, Yi Wang and Tao Mao
Electronics 2026, 15(2), 420; https://doi.org/10.3390/electronics15020420 - 18 Jan 2026
Viewed by 116
Abstract
As distributed energy resources and nonlinear loads are integrated into power grids on a large scale, power quality issues have grown increasingly prominent, triggering a substantial rise in distribution transformer losses. Traditional approaches struggle to accurately forecast transformer losses under complex power quality [...] Read more.
As distributed energy resources and nonlinear loads are integrated into power grids on a large scale, power quality issues have grown increasingly prominent, triggering a substantial rise in distribution transformer losses. Traditional approaches struggle to accurately forecast transformer losses under complex power quality conditions and lack quantitative analysis of the influence of various power quality indicators on losses. This study presents a data-driven methodology for transformer loss prediction and sensitivity analysis in such environments. First, an experimental platform is designed and built to measure transformer losses under composite power quality conditions, enabling the collection of actual measurement data when multi-source disturbances exist. Second, a high-precision loss prediction model—dubbed Newton-Raphson-Based Optimizer-Transformer-Bidirectional Long Short-Term Memory (NRBO-Transformer-BiLSTM)—is developed on the basis of an enhanced deep neural network. Finally, global sensitivity analysis methods are utilized to quantitatively evaluate the impact of different power quality indicators on transformer losses. Experimental results reveal that the proposed prediction model achieves an average error rate of less than 0.18% and a similarity coefficient of over 0.9989. Among all power quality indicators, voltage deviation has the most significant impact on transformer losses (with a sensitivity of 0.3268), followed by three-phase unbalance (sensitivity: 0.0109) and third harmonics (sensitivity: 0.0075). This research offers a theoretical foundation and technical support for enhancing the energy efficiency of distribution transformers and implementing effective power quality management. Full article
Show Figures

Figure 1

13 pages, 916 KB  
Article
Development of an Indirect ELISA for REV gp90 Antibody Detection Using the gp90 Protein Expressed in Suspended Cells
by Erjing Ke, Mengmeng Huang, Guodong Wang, Jingzhe Han, Yulong Zhang, Runhang Liu, Hangbo Yu, Ziwen Wu, Dan Ling, Xianyun Liu, Tengfei Xu, Suyan Wang, Yuntong Chen, Yongzhen Liu, Yanping Zhang, Hongyu Cui, Yulu Duan, Liuan Li, Xiaoxue Yu, Yulong Gao and Xiaole Qiadd Show full author list remove Hide full author list
Viruses 2026, 18(1), 124; https://doi.org/10.3390/v18010124 - 17 Jan 2026
Viewed by 211
Abstract
Reticuloendotheliosis virus (REV) is an immunosuppressive virus in poultry that can cause acute reticular neoplasms, chronic lymphoid tumors, stunting syndrome, and secondary infections. In many countries, the lack of effective vaccines has resulted in a high prevalence of REV infections and substantial economic [...] Read more.
Reticuloendotheliosis virus (REV) is an immunosuppressive virus in poultry that can cause acute reticular neoplasms, chronic lymphoid tumors, stunting syndrome, and secondary infections. In many countries, the lack of effective vaccines has resulted in a high prevalence of REV infections and substantial economic losses. Enzyme-linked immunosorbent assay (ELISA)-based antibody detection is an important tool for monitoring the REV prevalence in poultry farms. ELISA coating antigens generally consist of either whole virus or viral protein; however, most commercially available REV antibody ELISA detection kits use whole virus as the coating antigen, which limits their applicability in certain diagnostic and research settings. In this study, the gp90 protein from a dominant REV strain was expressed and purified using 293F suspension cell eukaryotic expression system. Using recombinant gp90 protein as the coating antigen, an indirect ELISA for detecting gp90 antibodies (gp90-ELISA) was developed. After optimization, the optimal conditions were as follows: coating antigen concentration of 4 µg/mL with overnight incubation at 4 °C; blocking with 5% skim milk at 37 °C for 1.5 h; serum dilution of 1:200 with incubation at 37 °C for 45 min; secondary antibody dilution of 1:1000 with incubation at 37 °C for 30 min; and color development using TMB substrate at room temperature in the dark for 10 min. The cut-off value was defined as an OD450 ≥ 0.22 for positive samples and <0.22 for negative samples. The developed gp90-ELISA specifically detected REV-positive sera at a maximum serum dilution ratio of 1:3200. Intra- and inter-assay variation coefficients were ≤10%, indicating that the gp90-ELISA had good specificity, sensitivity, and reproducibility. Laboratory serum testing showed that the gp90-ELISA successfully detected sera from chickens immunized with the gp90 protein or infected with REV. Furthermore, analysis of clinical serum samples demonstrated 100% concordance between the gp90-ELISA results and a commercial whole-virus-coated ELISA kit. These results indicate that the gp90-ELISA is a reliable supplementary method to whole-virus-coated ELISA and has potential utility in disease surveillance and evaluation of immune responses. Full article
(This article belongs to the Section Animal Viruses)
Show Figures

Figure 1

Back to TopTop