error_outline You can access the new MDPI.com website here. Explore and share your feedback with us.
 
 
Sign in to use this feature.

Years

Between: -

Subjects

remove_circle_outline
remove_circle_outline
remove_circle_outline
remove_circle_outline
remove_circle_outline

Journals

Article Types

Countries / Regions

Search Results (20)

Search Parameters:
Keywords = localized beam radius

Order results
Result details
Results per page
Select all
Export citation of selected articles as:
21 pages, 12652 KB  
Article
On the Choice of the Characteristic Length in the NMMD Model for the Simulation of Brittle Fractures
by Guangda Lu
Buildings 2024, 14(12), 3932; https://doi.org/10.3390/buildings14123932 - 10 Dec 2024
Cited by 3 | Viewed by 1240
Abstract
The recently proposed nonlocal macro–meso-scale consistent damage (NMMD) model has been applied successfully to various static and dynamic fracture problems. The characteristic length in the NMMD model, although proven to be necessary for the mesh insensitivity of a strain-softening regime, remains to be [...] Read more.
The recently proposed nonlocal macro–meso-scale consistent damage (NMMD) model has been applied successfully to various static and dynamic fracture problems. The characteristic length in the NMMD model, although proven to be necessary for the mesh insensitivity of a strain-softening regime, remains to be estimated indirectly with considerable arbitrariness. Such an issue also exists in other nonlocal models, e.g., peridynamics and phase field models. To overcome this obstacle, a series of dog-bone specimens composed of polymethyl-methacrylate (PMMA) material with and without circular defects are investigated in this paper. It is found that the NMMD model with the appropriate influence radius can correctly capture the experimentally observed size effect of the defect, which challenges the conventional local criteria without involving the characteristic length. In addition to being directly measurable and identifiable in experiments, based on the two-scale mechanism of the NMMD model, the characteristic length is also theoretically calibrated to be related to the ratio of the fracture toughness to the tensile strength of the material. Comparisons with the predictions of other modified nonlocalized criteria involving some characteristic length demonstrate the superior ability of the NMMD model to simulate brittle crack initiation and propagation from a non-singular boundary. The revalidation of short bending beams demonstrates that theoretical calibration is also suitable for problems of mixed-mode fractures with stress singularity. Although limited to brittle materials like PMMA, the current work could be generalized to the analysis of quasi-brittle or even ductile fractures in the future. Full article
(This article belongs to the Special Issue Recent Advances in Technology and Properties of Composite Materials)
Show Figures

Figure 1

19 pages, 3608 KB  
Article
A Detailed Analysis of the Dynamic Behavior of a MEMS Vibrating Internal Ring Gyroscope
by Waqas Amin Gill, Ian Howard, Ilyas Mazhar and Kristoffer McKee
Micromachines 2024, 15(9), 1107; https://doi.org/10.3390/mi15091107 - 30 Aug 2024
Cited by 2 | Viewed by 2169
Abstract
This paper presents the development of an analytical model of an internal vibrating ring gyroscope in a Microelectromechanical System (MEMS). The internal ring structure consists of eight semicircular beams that are attached to the externally placed anchors. This research work analyzes the vibrating [...] Read more.
This paper presents the development of an analytical model of an internal vibrating ring gyroscope in a Microelectromechanical System (MEMS). The internal ring structure consists of eight semicircular beams that are attached to the externally placed anchors. This research work analyzes the vibrating ring gyroscope’s in-plane displacement behavior and the resulting elliptical vibrational modes. The elliptical vibrational modes appear as pairs with the same resonance frequency due to the symmetric structure of the design. The analysis commences by conceptualizing the ring as a geometric structure with a circular shape possessing specific dimensions such as thickness, height, and radius. We construct a linear model that characterizes the vibrational dynamics of the internal vibrating ring. The analysis develops a comprehensive mathematical formulation for the radial and tangential displacements in local polar coordinates by considering the inextensional displacement of the ring structure. By utilizing the derived motion equations, we highlight the underlying relationships driving the vibrational characteristics of the MEMS’ vibrating ring gyroscope. These dynamic vibrational relationships are essential in enabling the vibrating ring gyroscope’s future utilization in accurate navigation and motion sensing technologies. Full article
(This article belongs to the Special Issue Micro/Nanostructures in Sensors and Actuators)
Show Figures

Figure 1

20 pages, 17511 KB  
Article
Perforated and Composite Beam and Arch Design Optimization during Asymmetric Post-Buckling Deformation
by Igor Andrianov, Viktor Olevskyi, Oleksandr Olevskyi and Yuliia Olevska
Symmetry 2024, 16(8), 1050; https://doi.org/10.3390/sym16081050 - 15 Aug 2024
Viewed by 1783
Abstract
The structural elements of buildings have recently required the development of efficient design solutions due to increased dynamic and thermal loads. The main solution for improving the efficiency of such elements involves creating lightweight non-uniform beam and arch structures from alloyed steel, which [...] Read more.
The structural elements of buildings have recently required the development of efficient design solutions due to increased dynamic and thermal loads. The main solution for improving the efficiency of such elements involves creating lightweight non-uniform beam and arch structures from alloyed steel, which has better mechanical characteristics. The most promising approach is the use of welded beams and arches with perforated partitions and composite beams, which are often used together, for instance, as structural elements of cylindrical shells. The development of an effective cross-sectional shape for perforated beams and crane girders is considered, taking into account the strength, local stability, resistance to flat bending, and fatigue deformation. It has been shown that the effective form for perforated beams is a box-shaped structure made of perforated shvellers. Calculations for selecting a rational design from the assortment of hot-rolled shveller profiles have demonstrated that a significant reduction in the weight of the structure can be achieved by using the proposed cross-sectional shape. An evaluation of the fatigue strength of composite metal crane girders operating in harsh conditions has shown the effectiveness of using hot-rolled I-beams as their upper flange, as well as the necessity of using hot-rolled I-beams to ensure strength in their lower part. When choosing the rational parameters of an arch design, multiple recalculations of its bending with respect to technological cutouts in the thickness are necessary; hence, simplified calculation schemes are commonly used. Some authors simplify this process by replacing an arch with a cutout with a solid arch reduced in height by the cutout radius. We have shown that this model does not accurately describe the actual distribution of forces and displacements, leading to inadequate results. We have developed a simplified methodology for the preliminary calculation of a circular arch with a cutout, which includes correction coefficients calculated by us. A calculation of the flat stress–strain state of an elastic circular metal arch with a central semicircular cutout under various ratios of design parameters and uniform external pressure was conducted. A dependence of the stress concentration coefficient at the cutout’s apex on the ratio of the cutout radius and arch thickness was obtained. These results can be generalized for reinforced non-uniform shells and for the fuzzy application of external influences. Full article
(This article belongs to the Section Physics)
Show Figures

Figure 1

13 pages, 1684 KB  
Article
Spin Angular Momentum at the Focus of a Superposition of an Optical Vortex and a Plane Wave with Linear Polarizations
by Victor V. Kotlyar, Sergey S. Stafeev, Alexey M. Telegin and Elena S. Kozlova
Photonics 2024, 11(4), 330; https://doi.org/10.3390/photonics11040330 - 1 Apr 2024
Viewed by 1732
Abstract
In this paper, tight focusing of a superposition of a vortex laser beam with topological charge n with linear polarization and a plane wave with the same linear polarization directed along the horizontal axis is considered. Using the Richards–Wolf formalism, analytical expressions are [...] Read more.
In this paper, tight focusing of a superposition of a vortex laser beam with topological charge n with linear polarization and a plane wave with the same linear polarization directed along the horizontal axis is considered. Using the Richards–Wolf formalism, analytical expressions are obtained for the intensity distribution and longitudinal projection of the spin angular momentum in the focal plane. It is shown that for even and odd numbers n, the intensity and the spin angular momentum have different symmetries: for even n they are symmetric about both Cartesian axes, and for odd n they are symmetric only about the vertical axis. The intensity distribution has n local maxima at the focus, and it is nonzero on the optical axis for any n. The distribution of the longitudinal spin angular momentum (spin density) in the focal plane has (n + 2) subwavelength regions with a positive spin angular momentum and (n + 2) regions with a negative spin angular momentum, the centers of which alternately lie on a circle of a certain radius with a center on the optical axis. This spin distribution with different signs demonstrates the spin Hall effect at the focus. Negative and positive spins are mutually compensated, and the total spin is equal to zero at the focus. We have shown that by changing the topological charge of the optical vortex, it is possible to control the spin Hall effect at the focus, that is, to change the number of regions with spins of different signs. Full article
Show Figures

Figure 1

32 pages, 5646 KB  
Article
Effects of Lip Length and Inside Radius-to-Thickness Ratio on Buckling Behavior of Cold-Formed Steel C-Sections
by Ardalan B. Hussein and Diyari B. Hussein
Buildings 2024, 14(3), 587; https://doi.org/10.3390/buildings14030587 - 22 Feb 2024
Cited by 6 | Viewed by 4732
Abstract
Cold-formed steel (CFS) sections constructed with high-strength steel have gained prominence in construction owing to their advantages, including a high strength-to-weight ratio, shape flexibility, availability in long spans, portability, cost-effectiveness, and design versatility. However, the thin thickness of CFS members makes them susceptible [...] Read more.
Cold-formed steel (CFS) sections constructed with high-strength steel have gained prominence in construction owing to their advantages, including a high strength-to-weight ratio, shape flexibility, availability in long spans, portability, cost-effectiveness, and design versatility. However, the thin thickness of CFS members makes them susceptible to various forms of buckling. This study focuses on addressing and mitigating different types of buckling in columns and beams by manipulating the lip length (d) and the ratio of inside radius to thickness (Ri/t) in CFS C-sections. To achieve this objective, a comprehensive analysis involving 176 models was conducted through the Finite Element Method (FEM). The findings reveal that an increase in lip length leads to a corresponding increase in critical elastic buckling load and moment (Pcrl, Pcrd, Pcre, Mcrl, Mcrd, and Mcre). It is recommended to utilize a lip length greater than or equal to 15 mm for both columns and beams to mitigate various buckling types effectively. Conversely, an increase in the ratio of inside radius to thickness (Ri/t) results in an increase in critical elastic local buckling load (Pcrl) and moment (Mcrl). Thus, lip length (d) significantly influences column and beam buckling, whereas Ri/t exhibits a relatively impactful effect. Subsequently, the experimental test results were used to verify finite element models. These insights contribute significant knowledge for optimizing the design and performance of CFS C-sections in structural applications. Full article
(This article belongs to the Special Issue Cold-Formed Steel Structures: Behaviour, Strength and Design)
Show Figures

Figure 1

17 pages, 5448 KB  
Article
Mechanics of Pure Bending and Eccentric Buckling in High-Strain Composite Structures
by Jimesh D. Bhagatji, Oleksandr G. Kravchenko and Sharanabasaweshwara Asundi
Materials 2024, 17(4), 796; https://doi.org/10.3390/ma17040796 - 7 Feb 2024
Cited by 4 | Viewed by 2371
Abstract
To maximize the capabilities of nano- and micro-class satellites, which are limited by their size, weight, and power, advancements in deployable mechanisms with a high deployable surface area to packaging volume ratio are necessary. Without progress in understanding the mechanics of high-strain materials [...] Read more.
To maximize the capabilities of nano- and micro-class satellites, which are limited by their size, weight, and power, advancements in deployable mechanisms with a high deployable surface area to packaging volume ratio are necessary. Without progress in understanding the mechanics of high-strain materials and structures, the development of compact deployable mechanisms for this class of satellites would be difficult. This paper presents fabrication, experimental testing, and progressive failure modeling to study the deformation of an ultra-thin composite beam. The research study examines the deformation modes of a post-deployed boom under repetitive pure bending loads using a four-point bending setup and bending collapse failure under eccentric buckling. The material and fabrication challenges for ultra-thin, high-stiffness (UTHS) composite boom are discussed in detail. The continuum damage mechanics (CDM) model for the beam is calibrated using experimental coupon testing and was used for a finite element explicit analysis of the boom. It is shown that UTHS can sustain a bending radius of 14 mm without significant fiber and matrix damage. The finite element model accurately predicts the localized transverse fiber damage under eccentric buckling and buckling stiffness of 15.6 N/mm. The results of the bending simulation were found to closely match the experimental results, indicating that the simulation accurately shows deformation stages and predicts damage to the material. The findings of this research provide a better understanding of the structure characteristics with the progressive damage model of the UTHS boom, which can be used for designing a complex deployable payload for nano-micro-class satellites. Full article
Show Figures

Figure 1

13 pages, 6838 KB  
Article
Compressive Behavior of a Novel Hexagonal Nodes-Based 3D Chiral Auxetic Structure
by Dianwei Gao, Chunwei Zhang and Jianhua Zhang
Appl. Sci. 2023, 13(14), 8480; https://doi.org/10.3390/app13148480 - 22 Jul 2023
Cited by 8 | Viewed by 2382
Abstract
The energy absorption capacity of materials with negative Poisson’s ratio (NPR) is attracting interest from both industry and academia due to the excellent impact resistance of the local shrinkage of materials. However, understanding the compressive behavior of 3D auxetic structures at different strain [...] Read more.
The energy absorption capacity of materials with negative Poisson’s ratio (NPR) is attracting interest from both industry and academia due to the excellent impact resistance of the local shrinkage of materials. However, understanding the compressive behavior of 3D auxetic structures at different strain rates and developing design methods are challenging tasks due to the limited literature and insufficient data. This paper presents a study on the behavior of Poisson’s ratio of an advanced 3D chiral structure, which is formed of two orthogonally positioned 2D hexagonal nodes-based chiral structures. Firstly, both theoretical analysis and numerical simulations are conducted to identify the Poisson’s ratio of 2D chiral structures. The same theoretical value of −1 is obtained for 2D chiral structures with a bending-dominated ligaments assumption. Thereafter, the Poisson’s ratio of 3D chiral structures is determined numerically using a low-speed loaded model composed of 5 × 5 × 8 3D unit cells for eliminating the boundary effects. The results show that impact velocity can strongly affect the energy absorption and deformation behavior of the proposed 3D chiral structure. Increasing the beam radius results in reduced energy absorption capability. However, the energy absorption capability of the 3D chiral structure is not sensitive to the yield strength of nodes. Impact direction affects the energy absorption performance of the 3D chiral structure, depending on the crushing strain. The research results could be used to optimize the design of the proposed novel 3D chiral honeycombs for various applications, such as impact energy absorbers and vibration-resistant dampers. Full article
Show Figures

Figure 1

7 pages, 2328 KB  
Communication
Optimum Design of Glass–Air Disordered Optical Fiber with Two Different Element Sizes
by Jiajia Zhao, Changbang He, Haimei Luo, Yali Zhao, Yiyu Mao and Wangyang Cai
Photonics 2023, 10(3), 259; https://doi.org/10.3390/photonics10030259 - 28 Feb 2023
Viewed by 1632
Abstract
This paper presents a detailed study investigating the effect of the material refractive index distribution at the local position of a glass–air disordered optical fiber (G-DOF) on its localized beam radius. It was found that the larger the proportion of the glass material, [...] Read more.
This paper presents a detailed study investigating the effect of the material refractive index distribution at the local position of a glass–air disordered optical fiber (G-DOF) on its localized beam radius. It was found that the larger the proportion of the glass material, the smaller its localized beam radius, which means that the transverse Anderson localization (TAL) effect would be stronger. Accordingly, we propose a novel G-DOF with large-size glass elements doped in the fiber cross-section. The simulation results show that the doped large-size glass elements can reduce the localized beam radius in the doped region and has a very tiny effect on the undoped region, thus contributing to reducing the average localized beam radius of G-DOF. Full article
(This article belongs to the Special Issue Fiber Optics and Its Applications)
Show Figures

Figure 1

11 pages, 612 KB  
Article
Strong Electric Polarizability of Cone–Shell Quantum Structures for a Large Stark Shift, Tunable Long Exciton Lifetimes, and a Dot-to-Ring Transformation
by Christian Heyn, Leonardo Ranasinghe, Kristian Deneke, Ahmed Alshaikh, Carlos A. Duque and Wolfgang Hansen
Nanomaterials 2023, 13(5), 857; https://doi.org/10.3390/nano13050857 - 25 Feb 2023
Cited by 10 | Viewed by 1798
Abstract
Strain-free GaAs cone–shell quantum structures (CSQS) with widely tunable wave functions (WF) are fabricated using local droplet etching (LDE) during molecular beam epitaxy (MBE). During MBE, Al droplets are deposited on an AlGaAs surface, which then drill low-density (about 1 × 107 [...] Read more.
Strain-free GaAs cone–shell quantum structures (CSQS) with widely tunable wave functions (WF) are fabricated using local droplet etching (LDE) during molecular beam epitaxy (MBE). During MBE, Al droplets are deposited on an AlGaAs surface, which then drill low-density (about 1 × 107 cm−2) nanoholes with adjustable shape and size. Subsequently, the holes are filled with GaAs to form CSQS, where the size can be adjusted by the amount of GaAs deposited for hole filling. An electric field is applied in growth direction to tune the WF in a CSQS. The resulting highly asymmetric exciton Stark shift is measured using micro-photoluminescence. Here, the unique shape of the CSQS allows a large charge–carrier separation and, thus, a strong Stark shift of up to more than 16 meV at a moderate field of 65 kV/cm. This corresponds to a very large polarizability of 8.6 × 106 eVkV 2 cm2. In combination with simulations of the exciton energy, the Stark shift data allow the determination of the CSQS size and shape. Simulations of the exciton–recombination lifetime predict an elongation up to factor of 69 for the present CSQSs, tunable by the electric field. In addition, the simulations indicate the field-induced transformation of the hole WF from a disk into a quantum ring with a tunable radius from about 10 nm up to 22.5 nm. Full article
Show Figures

Figure 1

9 pages, 1678 KB  
Communication
Generalized Poincaré Beams in Tight Focus
by Victor V. Kotlyar, Alexey A. Kovalev and Alexey M. Telegin
Photonics 2023, 10(2), 218; https://doi.org/10.3390/photonics10020218 - 16 Feb 2023
Cited by 8 | Viewed by 2428
Abstract
We study the tight focus of generalized (hybrid) Poincaré beams. A conventional Poincaré beam is a coaxial superposition of two optical vortices, one with left circular polarization and a topological charge (TC) of m, while the other has a right circular polarization [...] Read more.
We study the tight focus of generalized (hybrid) Poincaré beams. A conventional Poincaré beam is a coaxial superposition of two optical vortices, one with left circular polarization and a topological charge (TC) of m, while the other has a right circular polarization and a TC of −m. The generalized Poincaré beams are also composed of two optical vortices, but their TCs are different, for instance, p and q. Here, we theoretically investigate the generalized Poincaré beams with the TCs p = m + 1 and q = −m in tight focus. In this case, both transverse components of the strength vector of the initial electric field have a topological charge of 1/2, and the beam itself is a cylindrical vector beam of fractional order m + 1/2. Analytical expressions are derived for the components of the strength vectors of the electric and magnetic field at the focus as well as for the intensity distribution, the longitudinal component of the spin angular momentum (SAM), and for the components of the Poynting vector (energy flow density). We show that the intensity at the focus has 2m − 1 local maxima residing evenly in a certain circle radius with the center on the optical axis. We also demonstrate that the radial spin and orbital Hall effects occur at the focus, i.e., the longitudinal SAM component has different signs in the circles of different radii, and the azimuthal component of the transverse Poynting vector also has different signs. Full article
(This article belongs to the Special Issue Lasers and Dynamic of Systems)
Show Figures

Figure 1

6 pages, 1396 KB  
Communication
Transverse Anderson Localization Enhancement for Low-Filling-Rate Glass–Air Disordered Fibers by Optimizing the Diameter of Air Holes
by Jiajia Zhao, Yali Zhao, Changbang He, Jinshuai Zhang, Yiyu Mao, Wangyang Cai and Haimei Luo
Photonics 2022, 9(12), 905; https://doi.org/10.3390/photonics9120905 - 26 Nov 2022
Cited by 1 | Viewed by 2193
Abstract
We demonstrate a method to enhance the transverse Anderson localization (TAL) effect of the glass–air disordered optical fiber (G-DOF) by adjusting the number and diameter of air holes. This method does not need to enlarge the air-filling fraction of G-DOF, leading to the [...] Read more.
We demonstrate a method to enhance the transverse Anderson localization (TAL) effect of the glass–air disordered optical fiber (G-DOF) by adjusting the number and diameter of air holes. This method does not need to enlarge the air-filling fraction of G-DOF, leading to the mitigation of fabrication complexity. By choosing the appropriate diameter and number of air holes, the average localized beam radius of G-DOF with the highest air-filling fraction of 30% can be successfully reduced by 18%. Moreover, the proposed method is always functional for the situations of the air-filling fraction lower than 50%. We also identify that, under the same air-filling fraction, a larger number of air holes in the G-DOF leads to the smaller standard deviation of the corresponding localized beam radius, indicating a stable fiber structure. The results will provide new guidance on the G-DOF design. Full article
(This article belongs to the Special Issue Specialty Optical Fibers and Their High-Power Applications)
Show Figures

Figure 1

9 pages, 1796 KB  
Article
TEM Investigation of Asymmetric Deposition-Driven Crystalline-to-Amorphous Transition in Silicon Nanowires
by Yuan Zang, Lianbi Li, Jichao Hu, Lei Li, Zelong Li, Zebin Li, Song Feng, Guoqing Zhang, Caijuan Xia and Hongbin Pu
Materials 2022, 15(20), 7077; https://doi.org/10.3390/ma15207077 - 12 Oct 2022
Cited by 1 | Viewed by 1849
Abstract
Controlling the shape and internal strain of nanowires (NWs) is critical for their safe and reliable use and for the exploration of novel functionalities of nanodevices. In this work, transmission electron microscopy was employed to examine bent Si NWs prepared by asymmetric electron-beam [...] Read more.
Controlling the shape and internal strain of nanowires (NWs) is critical for their safe and reliable use and for the exploration of novel functionalities of nanodevices. In this work, transmission electron microscopy was employed to examine bent Si NWs prepared by asymmetric electron-beam evaporation. The asymmetric deposition of Cr caused the formation of nanosized amorphous-Si domains; the non-crystallinity of the Si NWs was controlled by the bending radius. No other intermediate crystalline phase was present during the crystalline-to-amorphous transition, indicating a direct phase transition from the original crystalline phase to the amorphous phase. Moreover, amorphous microstructures caused by compressive stress, such as amorphous Cr domains and boxes, were also observed in the asymmetric Cr layer used to induce bending, and the local non-crystallinity of Cr was lower than that of Si under the same bending radius. Full article
Show Figures

Figure 1

16 pages, 15409 KB  
Article
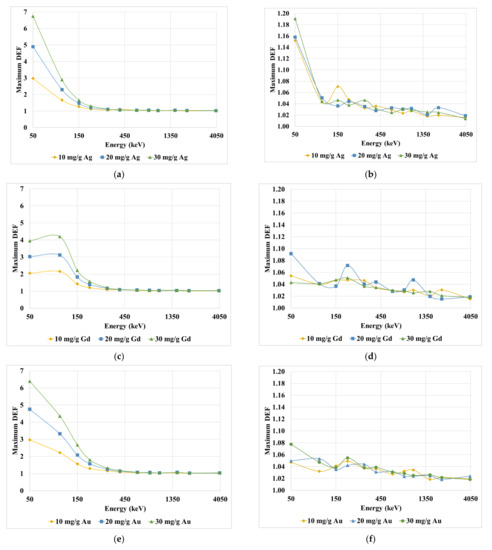
Estimation of Dose Enhancement for Inhomogeneous Distribution of Nanoparticles: A Monte Carlo Study
by Fouad Abolaban, Eslam Taha, Abdulsalam Alhawsawi, Fathi Djouider, Essam Banoqitah and Andrew Nisbet
Appl. Sci. 2021, 11(11), 4900; https://doi.org/10.3390/app11114900 - 26 May 2021
Cited by 3 | Viewed by 3008
Abstract
High atomic number nanoparticles are of increasing interest in radiotherapy due to their significant positive impact on the local dose applied to the treatment site. In this work, three types of metal nanoparticles were utilized to investigate their dose enhancement based on the [...] Read more.
High atomic number nanoparticles are of increasing interest in radiotherapy due to their significant positive impact on the local dose applied to the treatment site. In this work, three types of metal nanoparticles were utilized to investigate their dose enhancement based on the GATE Monte Carlo simulation tool. Gold, gadolinium, and silver were implanted at three different concentrations to a 1 cm radius sphere to mimic a cancerous tumor inside a 10 × 10 × 30 cm3 water phantom. The innermost layer of the tumor represents a necrotic region, where the metal nanoparticles uptake is assumed to be zero, arising from hypoxic conditions. The nanoparticles were defined using the mixture technique, where nanoparticles are added to the chemical composition of the tumor. A directional 2 × 2 cm2 monoenergetic photon beam was used with several energies ranging from 50 keV to 4000 keV. The dose enhancement factor (DEF) was measured for all three metal nanoparticles under all beam energies. The maximum DEF was ~7 for silver nanoparticles with the 50 keV beam energy at the highest nanoparticle concentration of 30 mg/g of water. Gold followed the same trend as it registered the highest DEF at the 50 keV beam energy with the highest concentration of nanoparticles at 30 mg/g, while gadolinium registered the highest at 100 keV. Full article
(This article belongs to the Section Applied Biosciences and Bioengineering)
Show Figures

Figure 1

13 pages, 4902 KB  
Article
Anchor Loss Reduction of Lamb Wave Resonator by Pillar-Based Phononic Crystal
by Yinjie Tong and Tao Han
Micromachines 2021, 12(1), 62; https://doi.org/10.3390/mi12010062 - 7 Jan 2021
Cited by 19 | Viewed by 4386
Abstract
Energy leakage via anchors in substrate plates impairs the quality factor (Q) in microelectromechanical system (MEMS) resonators. Most phononic crystals (PnCs) require complicated fabrication conditions and have difficulty generating a narrow bandgap at high frequency. This paper demonstrates a pillar-based PnC [...] Read more.
Energy leakage via anchors in substrate plates impairs the quality factor (Q) in microelectromechanical system (MEMS) resonators. Most phononic crystals (PnCs) require complicated fabrication conditions and have difficulty generating a narrow bandgap at high frequency. This paper demonstrates a pillar-based PnC slab with broad bandgaps in the ultra high frequency (UHF) range. Due to Bragg interference and local resonances, the proposed PnC structure creates notably wide bandgaps and shows great advantages in the high frequency, large electromechanical coupling coefficient (k2) thin film aluminum nitride (AlN) lamb wave resonator (LWR). The dispersion relations and the transmission loss of the PnC structure are presented. To optimize the bandgap, the influence of the material mechanical properties, lattice type, pillar height and pillar radius are explored. These parameters are also available to adjust the center frequency of the bandgap to meet the desirable operating frequency. Resonators with uniform beam anchors and PnC slab anchors are characterized. The results illustrate that the Q of the resonator improves from 1551 to 2384, and the mechanical energy leakage via the anchors is significantly decreased using the proposed PnC slab anchors. Moreover, employment of the PNC slab anchors has little influence on resonant frequency and induces no spurious modes. Pillar-based PnCs are promising in suppressing the anchor loss and further improving the Q of the resonators. Full article
(This article belongs to the Section E:Engineering and Technology)
Show Figures

Figure 1

24 pages, 6227 KB  
Article
Statistical Analysis of Microphysical and Dynamical Parameters for Clouds and Precipitation over Nauq Tibetan Plateau in Summertime Using Ka-band Cloud Radar
by Liping Liu and Wenhua Gao
Atmosphere 2020, 11(8), 818; https://doi.org/10.3390/atmos11080818 - 3 Aug 2020
Cited by 5 | Viewed by 2936
Abstract
A Chinese Ka-band solid-state transmitter cloud radar (CR) was employed to investigate clouds and precipitation over the Tibetan Plateau (TP) in summer 2014. After performing quality control and merging the output from the three work modes of CR, the Doppler spectral density data [...] Read more.
A Chinese Ka-band solid-state transmitter cloud radar (CR) was employed to investigate clouds and precipitation over the Tibetan Plateau (TP) in summer 2014. After performing quality control and merging the output from the three work modes of CR, the Doppler spectral density data were analyzed to estimate the vertical air motion (Vair) and particle fall speed (Vfall) in clouds. The reproduced radar reflectivity was employed to retrieve the ice water content (IWC) and ice effective radius (Re). The cloud type classification algorithm was developed to classify cloud conditions into eight different categories. The vertical and daily variations of reflectivity, Vair, Vfall, IWC, and Re were then analyzed, and as a result, four conclusions were formulated. First, the clouds with reflectivity less than −10 dBZ were mainly located above 7 km, and the precipitable particles were formed below this layer (rain echo top) due to the abundant supercooled water therein. Second, the weak updraft in the range of 2–4 km caused the high occurrence of weak clouds during 04:00–12:00 Beijing local time (BT), and the rain echo top did not exceed 7 km due to the existing downdraft in 4–6 km. After 14:00 BT, convective clouds quickly developed, and the averaged updraft, reflectivity, and the echo top notably increased. Third, particular cloud types commonly exhibited weak reflectivity, low IWC, and less vertical variations, while the others more obvious vertical variations with larger IWC and Re. Last, compared with the radar sensitivity and range from radar, Vair biases that were introduced by the Doppler spectra broadening due to turbulence, wind shear, and radar beam width, could be neglected. Full article
(This article belongs to the Section Meteorology)
Show Figures

Figure 1

Back to TopTop