Sign in to use this feature.

Years

Between: -

Subjects

remove_circle_outline
remove_circle_outline
remove_circle_outline
remove_circle_outline
remove_circle_outline
remove_circle_outline
remove_circle_outline
remove_circle_outline
remove_circle_outline

Journals

Article Types

Countries / Regions

Search Results (33)

Search Parameters:
Keywords = load demand flatten

Order results
Result details
Results per page
Select all
Export citation of selected articles as:
21 pages, 835 KB  
Article
Investigating the Impact of Public En-Route and Depot Charging for Electric Heavy-Duty Trucks Using Agent-Based Transport Simulation and Probabilistic Grid Modeling
by Mattias Ingelström, Alice Callanan and Francisco J. Márquez-Fernández
World Electr. Veh. J. 2026, 17(4), 172; https://doi.org/10.3390/wevj17040172 - 26 Mar 2026
Viewed by 73
Abstract
This study presents an integrated simulation framework that combines agent-based transport modeling with probabilistic load-flow analysis to quantify power system loading of long-haul heavy-duty electrification. The approach is applied to a case study considering fully electrified road freight in the Skåne region in [...] Read more.
This study presents an integrated simulation framework that combines agent-based transport modeling with probabilistic load-flow analysis to quantify power system loading of long-haul heavy-duty electrification. The approach is applied to a case study considering fully electrified road freight in the Skåne region in Sweden, using high-resolution transport demand data and the actual power grid model used by the grid owner in the study area. The synthetic freight population covers the full long-haul truck segment intersecting Skåne. Both public en-route fast charging and end-of-trip depot charging are considered. The analysis reveals two fundamentally different charging demand profiles: a heavily fluctuating profile for public en-route charging, accounting on average for 82% of the total daily charging energy, and a stable profile for end-of-trip depot charging, covering on average the remaining 18%. The latter is achieved through a Linear Programming (LP) optimization model that flattens the load by scheduling charging across depot stay windows. These profiles serve as inputs to a probabilistic load-flow simulation that computes loading distributions for substation transformers. The simulation results show that in 4 of the 43 primary substations studied, the maximum transformer loading exceeds 100% following the introduction of truck charging, with peak loading at the most affected substation rising from 99% to 159%. This stress is primarily caused by the public charging demand, which peaks from late morning to noon, aligning with the early stages of logistics operations. However, there is no clear correlation between the magnitude of the truck charging load and the impact on transformer loading, since this is also highly dependent on local grid conditions. These findings highlight the value of integrated transport-energy simulations for planning resilient infrastructure and guiding targeted grid reinforcements. Full article
Show Figures

Figure 1

41 pages, 6741 KB  
Article
Flattening Winter Peaks with Dynamic Energy Storage: A Neighborhood Case Study in the Cold Climate of Ardahan, Turkey
by Hasan Huseyin Coban, Panagiotis Michailidis, Yagmur Akin Yildirim and Federico Minelli
Sustainability 2026, 18(2), 761; https://doi.org/10.3390/su18020761 - 12 Jan 2026
Viewed by 563
Abstract
Rapid deployment of rooftop photovoltaics (PV), electric heating, and electric vehicles (EVs) is stressing low-voltage feeders in cold climates, where winter peaks push aging transformers to their limits. This paper quantifies how much stationary and mobile storage is required to keep feeder power [...] Read more.
Rapid deployment of rooftop photovoltaics (PV), electric heating, and electric vehicles (EVs) is stressing low-voltage feeders in cold climates, where winter peaks push aging transformers to their limits. This paper quantifies how much stationary and mobile storage is required to keep feeder power nearly flat over a full year in such conditions. A mixed-integer linear programming (MILP) model co-optimizes stationary battery energy storage systems (BESSs) and EV flexibility, including lithium-ion degradation, under a flatness constraint on transformer loading, i.e., the magnitude of feeder power exchange (import or export) around a seasonal target. The framework is applied to a 48-dwelling neighborhood in Ardahan, northeastern Turkey (mean January ≈ −8 °C) with rooftop PV and an emerging EV fleet. Three configurations are compared: unmanaged EV charging, optimized smart charging, and bidirectional vehicle-to-grid (V2G). Relative to the unmanaged case, smart charging reduces optimal stationary BESS capacity from 4.10 to 2.95 MWh, while V2G further cuts it to 1.23 MWh (≈70% reduction) and increases flat-compliant hours within ±0.5 kW of the target transformer loading level from 92.4% to 96.1%. The levelized cost of demand equalization falls from 0.52 to 0.22 EUR/kWh, indicating that combining modest stationary BESSs with V2G can make feeder-level demand flattening technically and economically viable in cold-climate residential districts. Full article
Show Figures

Figure 1

31 pages, 825 KB  
Article
Simulation-Based Evaluation of Savings Potential for Hybrid Trolleybus Fleets
by Hermann von Kleist and Thomas Lehmann
World Electr. Veh. J. 2026, 17(1), 27; https://doi.org/10.3390/wevj17010027 - 6 Jan 2026
Viewed by 407
Abstract
Hybrid trolleybuses (HTBs) with in-motion charging (IMC) can extend zero-emission service using existing catenary, but high on-wire charging powers may concentrate loads and accelerate battery aging. We present a data-driven simulation that replays recorded high-resolution Controller Area Network (CAN) logs through a per-vehicle [...] Read more.
Hybrid trolleybuses (HTBs) with in-motion charging (IMC) can extend zero-emission service using existing catenary, but high on-wire charging powers may concentrate loads and accelerate battery aging. We present a data-driven simulation that replays recorded high-resolution Controller Area Network (CAN) logs through a per-vehicle electrical model with (Constant-Current/Constant-Voltage) (CC/CV) charging and a stress-map aging estimator, a configurable partial catenary overlay, and fleet aggregation by simple summation and an iterative node-voltage analysis of a resistor-network catenary model. A parameter sweep across battery sizes, upper state of charge (SoC) bounds, and charging power caps compares a minimal “charge-whenever-possible” policy with a per-vehicle lookahead (“oracle”) policy that spreads charging over available catenary time. Results show that lowering maximum charging power and/or the upper SoC bound reduces capacity fade, while energy-demand differences are small. Fleet load profiles are dominated by timetable-driven concurrency using 40 recorded days overlaid into one synthetic day: varying per-vehicle power or target SoC has little effect on peak demand; per-vehicle lookahead does not flatten the peak. The node-voltage analysis indicates catenary efficiency around 97% and fewer undervoltage events at lower charging powers. We conclude that per-vehicle policies can reduce battery stress, whereas peak shaving requires cooperative, fleet-level scheduling. Full article
(This article belongs to the Special Issue Zero Emission Buses for Public Transport)
Show Figures

Figure 1

28 pages, 5101 KB  
Article
Decentralized Multi-Agent Reinforcement Learning Control of Residential Battery Storage for Demand Response
by Suhaib Sajid, Bin Li, Badia Berehman, Qi Guo, Yi Kang, Muhammad Athar and Ali Muqtadir
Energies 2025, 18(21), 5712; https://doi.org/10.3390/en18215712 - 30 Oct 2025
Viewed by 1273
Abstract
Automated demand response in residential sectors is critical for grid stability, but centralized control strategies fail to address the unique energy profiles of individual households. This paper introduces a decentralized control framework using multi-agent deep reinforcement learning. We assign an independent Soft Actor–Critic [...] Read more.
Automated demand response in residential sectors is critical for grid stability, but centralized control strategies fail to address the unique energy profiles of individual households. This paper introduces a decentralized control framework using multi-agent deep reinforcement learning. We assign an independent Soft Actor–Critic (SAC) agent to each building’s battery energy storage system (BESS), enabling it to learn a control policy tailored to local conditions while responding to shared grid signals. Evaluated in a high-fidelity simulation environment of CityLearn using real-world data, our multi-agent system demonstrated a reduction of approximately 50% in both electricity costs and carbon emissions. Crucially, this decentralized approach considerably outperformed all benchmarks, including a rule-based controller, tabular Q-learning, and even a centralized single-agent SAC controller. At the district level, learned policies flatten the net load profile, lowering daily peaks by 16% and ramping by 26%, and improve the load factor. The resulting dispatch patterns are interpretable and consistent with operator objectives such as peak shaving and valley filling. These findings indicate that decentralized reinforcement learning can translate local optimization into system-level benefits and offers a scalable pathway for aggregators and utilities to operationalize the flexibility of residential storage at scale. Full article
(This article belongs to the Special Issue Application of AI in Energy Savings and CO2 Reduction)
Show Figures

Figure 1

21 pages, 5727 KB  
Article
Multi-Objective Energy Management System in Smart Homes with Inverter-Based Air Conditioner Considering Costs, Peak-Average Ratio, and Battery Discharging Cycles of ESS and EV
by Moslem Dehghani, Seyyed Mohammad Bornapour, Felipe Ruiz and Jose Rodriguez
Energies 2025, 18(19), 5298; https://doi.org/10.3390/en18195298 - 7 Oct 2025
Cited by 2 | Viewed by 934
Abstract
The smart home contributions in energy management systems can help the microgrid operator overcome technical problems and ensure economically viable operation by flattening the load profile. The purpose of this paper is to propose a smart home energy management system (SHEMS) that enables [...] Read more.
The smart home contributions in energy management systems can help the microgrid operator overcome technical problems and ensure economically viable operation by flattening the load profile. The purpose of this paper is to propose a smart home energy management system (SHEMS) that enables smart homes to monitor, store, and manage energy efficiently. SHEMS relies heavily on energy storage systems (ESSs) and electric vehicles (EVs), which enable smart homes to be more flexible and enhance the reliability and efficiency of renewable energy sources. It is vital to study the optimal operation of batteries in SHEMS; hence, a multi-objective optimization approach for SHEMS and demand response programs is proposed to simultaneously reduce the daily bills, the peak-to-average ratio, and the number of battery discharging cycles of ESSs and EVs. An inverter-based air conditioner, photovoltaic system, ESS, and EV, shiftable and non-shiftable equipment are considered in the suggested smart home. In addition, the amount of energy purchased and sold throughout the day is taken into account in the suggested mathematical formulation based on the real-time market pricing. The suggested multi-objective problem is solved by an improved gray wolf optimizer, and various weather conditions, including rainy, sunny, and cloudy days, are also analyzed. Additionally, simulations indicate that the proposed method achieves optimal results, with three objectives shown on the Pareto front of the optimal solutions. Full article
(This article belongs to the Topic Smart Energy Systems, 2nd Edition)
Show Figures

Figure 1

24 pages, 6043 KB  
Article
Coordinated Control of Photovoltaic Resources and Electric Vehicles in a Power Distribution System to Balance Technical, Environmental, and Energy Justice Objectives
by Abdulrahman Almazroui and Salman Mohagheghi
Processes 2025, 13(7), 1979; https://doi.org/10.3390/pr13071979 - 23 Jun 2025
Cited by 4 | Viewed by 1291
Abstract
Recent advancements in photovoltaic (PV) and battery technologies, combined with improvements in power electronic converters, have accelerated the adoption of rooftop PV systems and electric vehicles (EVs) in distribution networks, while these technologies offer economic and environmental benefits and support the transition to [...] Read more.
Recent advancements in photovoltaic (PV) and battery technologies, combined with improvements in power electronic converters, have accelerated the adoption of rooftop PV systems and electric vehicles (EVs) in distribution networks, while these technologies offer economic and environmental benefits and support the transition to sustainable energy systems, they also introduce operational challenges, including voltage fluctuations, increased system losses, and voltage regulation issues under high penetration levels. Traditional Voltage and Var Control (VVC) strategies, which rely on substation on-load tap changers, voltage regulators, and shunt capacitors, are insufficient to fully manage these challenges. This study proposes a novel Voltage, Var, and Watt Control (VVWC) framework that coordinates the operation of PV and EV resources, conventional devices, and demand responsive loads. A mixed-integer nonlinear multi-objective optimization model is developed, applying a Chebyshev goal programming approach to balance objectives that include minimizing PV curtailment, reducing system losses, flattening voltage profile, and minimizing demand not met. Unserved demand has, in particular, been modeled while incorporating the concepts of distributional and recognition energy justice. The proposed method is validated using a modified version of the IEEE 123-bus test distribution system. The results indicate that the proposed framework allows for high levels of PV and EV integration in the grid, while ensuring that EV demand is met and PV curtailment is negligible. This demonstrates an equitable access to energy, while maximizing renewable energy usage. Full article
Show Figures

Figure 1

24 pages, 6256 KB  
Article
Effective and Local Constraint-Aware Load Shifting for Microgrid-Based Energy Communities
by Dimitra G. Kyriakou, Fotios D. Kanellos, George J. Tsekouras and Konstantinos A. Moungos
Energies 2025, 18(2), 343; https://doi.org/10.3390/en18020343 - 14 Jan 2025
Cited by 5 | Viewed by 1586
Abstract
The rising energy demand, coupled with increased integration of distributed energy resources (DERs) and fluctuating renewable generation, underscores the need for effective load management within energy communities. This paper addresses these challenges by implementing effective, constraint-aware load shifting within microgrid-based energy communities. Specifically, [...] Read more.
The rising energy demand, coupled with increased integration of distributed energy resources (DERs) and fluctuating renewable generation, underscores the need for effective load management within energy communities. This paper addresses these challenges by implementing effective, constraint-aware load shifting within microgrid-based energy communities. Specifically, the goal of this study is to flatten the electrical load profile of a High-Voltage (HV)/Medium-Voltage (MV) power transformer. The load of a central power transformer includes (a) the diverse, fluctuating electrical and thermal demands of buildings within the energy community and (b) the load of the area supplied by the substation excluding the energy community loads. To achieve a flattened load profile, we apply time shifting to both electrical and heating, ventilation, and air conditioning (HVAC) loads of the energy community, allowing for a redistribution of energy consumption over time. This approach entails shifting non-critical loads, particularly those related to HVAC and other building operations, to off-peak periods. The methodology considers critical operational constraints, such as maintaining occupant thermal comfort, ensuring compliance with building codes, and adhering to technical specifications of HVAC and electrical systems and microgrid organized energy communities. Detailed simulations were conducted to prove the effectiveness of this constraint-aware load-shifting approach. Full article
(This article belongs to the Special Issue Advances in Sustainable Power and Energy Systems)
Show Figures

Figure 1

16 pages, 600 KB  
Article
Hierarchically Distributed Charge Control of Plug-In Hybrid Electric Vehicles in a Future Smart Grid
by Hanyun Zhou, Wei Li and Jiekai Shi
Energies 2024, 17(10), 2412; https://doi.org/10.3390/en17102412 - 17 May 2024
Cited by 3 | Viewed by 1482
Abstract
Plug-in hybrid electric vehicles (PHEVs) are becoming increasingly widespread due to their environmental benefits. However, PHEV penetration can overload distribution systems and increase operational costs. It is a major challenge to find an economically optimal solution under the condition of flattening load demand [...] Read more.
Plug-in hybrid electric vehicles (PHEVs) are becoming increasingly widespread due to their environmental benefits. However, PHEV penetration can overload distribution systems and increase operational costs. It is a major challenge to find an economically optimal solution under the condition of flattening load demand for systems. To this end, we formulate this problem as a two-layer optimization problem, and propose a hierarchical algorithm to solve it. For the upper layer, we flatten the load demand curve by using the water-filling principle. For the lower layer, we minimize the total cost for all consumers through a consensus-like iterative method in a distributed manner. Technical constraints caused by consumer demand and power limitations are both taken into account. In addition, a moving horizon approach is used to handle the random arrival of PHEVs and the inaccuracy of the forecast base demand. This paper focuses on distributed solutions under a time-varying switching topology so that all PHEV chargers conduct local computation and merely communicate with their neighbors, which is substantially different from the existing works. The advantages of our algorithm include a reduction in computational burden and high adaptability, which clearly has its own significance for the future smart grid. Finally, we demonstrate the advantages of the proposed algorithm in both theory and simulation. Full article
(This article belongs to the Section A1: Smart Grids and Microgrids)
Show Figures

Figure 1

30 pages, 6050 KB  
Article
A Novel Statistical Framework for Optimal Sizing of Grid-Connected Photovoltaic–Battery Systems for Peak Demand Reduction to Flatten Daily Load Profiles
by Reza Nematirad, Anil Pahwa and Balasubramaniam Natarajan
Solar 2024, 4(1), 179-208; https://doi.org/10.3390/solar4010008 - 14 Mar 2024
Cited by 12 | Viewed by 12508
Abstract
Integrating photovoltaic (PV) systems plays a pivotal role in the global shift toward renewable energy, offering significant environmental benefits. However, the PV installation should provide financial benefits for the utilities. Considering that the utility companies often incur costs for both energy and peak [...] Read more.
Integrating photovoltaic (PV) systems plays a pivotal role in the global shift toward renewable energy, offering significant environmental benefits. However, the PV installation should provide financial benefits for the utilities. Considering that the utility companies often incur costs for both energy and peak demand, PV installations should aim to reduce both energy and peak demand charges. Although PV systems can reduce energy needs during the day, their effectiveness in reducing peak demand, particularly in the early morning and late evening, is limited, as PV generation is zero or negligible at those times. To address this limitation, battery storage systems are utilized for storing energy during off-peak hours and releasing it during peak times. However, finding the optimal size of PV and the accompanying battery remains a challenge. While valuable optimization models have been developed to determine the optimal size of PV–battery systems, a certain gap remains where peak demand reduction has not been sufficiently addressed in the optimization process. Recognizing this gap, this study proposes a novel statistical model to optimize PV–battery system size for peak demand reduction. The model aims to flatten 95% of daily peak demands up to a certain demand threshold, ensuring consistent energy supply and financial benefit for utility companies. A straightforward and effective search methodology is employed to determine the optimal system sizes. Additionally, the model’s effectiveness is rigorously tested through a modified Monte Carlo simulation coupled with time series clustering to generate various scenarios to assess performance under different conditions. The results indicate that the optimal PV–battery system successfully flattens 95% of daily peak demand with a selected threshold of 2000 kW, yielding a financial benefit of USD 812,648 over 20 years. Full article
(This article belongs to the Topic Smart Solar Energy Systems)
Show Figures

Figure 1

16 pages, 1082 KB  
Article
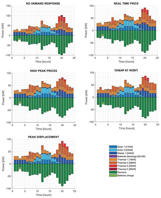
Optimum Stochastic Allocation for Demand Response for Power Markets in Microgrids
by Edwin Garcia, Alexander Águila, Leony Ortiz and Milton Ruiz
Energies 2024, 17(5), 1037; https://doi.org/10.3390/en17051037 - 22 Feb 2024
Cited by 3 | Viewed by 1494
Abstract
This research incorporates an electricity market model based on a stochastic allocation of distributed resources and the analysis of an optimal demand response for a smart microgrid. This research develops a methodology that allows the application and comparison of various demand-response mechanisms and [...] Read more.
This research incorporates an electricity market model based on a stochastic allocation of distributed resources and the analysis of an optimal demand response for a smart microgrid. This research develops a methodology that allows the application and comparison of various demand-response mechanisms and the analysis of the differences between them and the case of no-demand response, emphasizing economics, environmental care, demand curves, and other factors. By enabling more active participation by residential users of the smart microgrid, these demand-response methods help to flatten the demand curve and support the goals set by the electricity market model. Both conventional and non-conventional generators compete in the electricity market, with renewable energy sources preferred to encourage green generation. Conventional generators are required to supply electricity gradually, starting with the lowest pollution level. In addition, conventional generators are compensated for dispatch, system reliability, and availability. In addition, random variables are used in this study to predict initial load, solar radiation analysis, and biomass input before resources are optimized to meet demand. Full article
(This article belongs to the Section A1: Smart Grids and Microgrids)
Show Figures

Figure 1

28 pages, 6610 KB  
Article
Optimizing Energy Usage and Smoothing Load Profile via a Home Energy Management Strategy with Vehicle-to-Home and Energy Storage System
by Modawy Adam Ali Abdalla, Wang Min, Gehad Abdullah Amran, Amerah Alabrah, Omer Abbaker Ahmed Mohammed, Hussain AlSalman and Bassiouny Saleh
Sustainability 2023, 15(20), 15046; https://doi.org/10.3390/su152015046 - 19 Oct 2023
Cited by 2 | Viewed by 2948
Abstract
This study investigates an energy utilization optimization strategy in a smart home for charging electric vehicles (EVs) with/without a vehicle-to-home (V2H) and/or household energy storage system (HESS) to improve household energy utilization, smooth the load profile, and reduce electricity bills. The proposed strategy [...] Read more.
This study investigates an energy utilization optimization strategy in a smart home for charging electric vehicles (EVs) with/without a vehicle-to-home (V2H) and/or household energy storage system (HESS) to improve household energy utilization, smooth the load profile, and reduce electricity bills. The proposed strategy detects EV arrival and departure time, establishes the priority order between EV and HESS during charge and discharge, and ensures that the EV battery state of energy at the departure time is sufficient for its travel distance. It also ensures that the EV and HESS are charged when electricity prices are low and discharged in peak hours to reduce net electricity expenditure. The proposed strategy operates in different modes to control the energy amount flowing from the grid to EV and/or HESS and the energy amount drawn from the HESS and/or EV to feed the demand to maintain the load curve level within the average limits of the daily load curve. Four different scenarios are presented to investigate the role of HESS and EV technology in reducing electricity bills and smoothing the load curve in the smart house. The results demonstrate that the proposed strategy effectively reduces electricity costs by 12%, 15%, 14%, and 17% in scenarios A, B, C, and D, respectively, and smooths the load profile. Transferring valley electricity by V2H can reduce the electricity costs better than HESS, whereas HESS is better than EV at flattening the load curve. Transferring valley electricity through both V2H and HESS gives better results in reducing electricity costs and smoothing the load curve than transferring valley electricity by HESS or V2H alone. Full article
Show Figures

Figure 1

15 pages, 6290 KB  
Article
V2G Strategies to Flatten the Daily Load Curve in Seoul, South Korea
by Sangbong Choi, Changsoo Kim and Backsub Sung
Appl. Sci. 2023, 13(18), 10392; https://doi.org/10.3390/app131810392 - 17 Sep 2023
Cited by 8 | Viewed by 3589
Abstract
In order to meet the increasing demand for electricity to maintain electric vehicles (EVs) worldwide, this paper aims to improve our understanding of the impact of the load on the power grid generated by the charging and discharging of electric vehicles. The rapid [...] Read more.
In order to meet the increasing demand for electricity to maintain electric vehicles (EVs) worldwide, this paper aims to improve our understanding of the impact of the load on the power grid generated by the charging and discharging of electric vehicles. The rapid development of the electric vehicle (EV) industry offers new economic and environmental benefits, such as mitigating global warming by reducing carbon dioxide. On the other hand, however, we will face the reality that the emergence of such large-scale EVs will undoubtedly put additional strain on the power grid. In this context, solving the problem of excessive power usage associated with charging large electric vehicles and reducing the impact on the grid is paramount. Accordingly, in order to meet the increasing demand for electricity to maintain electric vehicles (EVs) worldwide, this paper aims to improve our understanding of the impact of the load on the power grid generated by the charging and discharging of electric vehicles. A V2G strategy is presented with the goal of flattening the daily load curve by considering the charge and the discharge positions of EVs. First, in this paper, based on the estimated share of electric vehicles, we set the assumption that EVs travel to work in the morning and leave work in the afternoon. Second, we develop an efficient V2G strategy to equalize the daily load curve due to charging and discharging of electric vehicles in Seoul by applying a system marginal price (SMP) and time-of-use (TOU) rate system. The EV charging/discharging load and existing load using V2G modeling are added up, all daily load curves are calculated and analyzed based on the 2030 and 2040 EV share scenarios for Seoul, and the grid load is leveled. The analysis suggests measures to minimize the impact of EV loads on the power grid according to the V2G strategy based on charging and discharging plans. Overall, this paper aims to smooth the grid’s daily load curve and avoid grid overload by applying appropriate SMP and TOU plans; we also present an efficient V2G strategy, established through charge and discharge modeling and EV charge and discharge management techniques, in order to minimize grid expansion. Full article
Show Figures

Figure 1

23 pages, 3438 KB  
Article
Optimal Management of Seasonal Pumped Hydro Storage System for Peak Shaving
by Asmaa I. Abdelfattah, Mostafa F. Shaaban, Ahmed H. Osman and Abdelfatah Ali
Sustainability 2023, 15(15), 11973; https://doi.org/10.3390/su151511973 - 3 Aug 2023
Cited by 12 | Viewed by 2904
Abstract
Power demand varies on a daily and seasonal basis. Responding to changing demands over time is challenging for energy suppliers as it causes expensive power plants to operate in high-demand seasons, usually summer, increasing the cost of electricity. Peak load shaving makes the [...] Read more.
Power demand varies on a daily and seasonal basis. Responding to changing demands over time is challenging for energy suppliers as it causes expensive power plants to operate in high-demand seasons, usually summer, increasing the cost of electricity. Peak load shaving makes the load curve flatten by reducing the peak load and shifting it to times of lower demand, hence reducing the operation of expensive power plants. Hence, there is a need for large-scale and long-term ESS to store energy in the time of low-demand seasons for future utilization in the highest-demand ones. In this work, an energy management system (EMS) is developed to optimally manage a grid-connected pumped hydro storage (PHS) for peak shaving. The proposed model incorporates a dynamic economic dispatch (DED) over a study period of one year; hence, a DC power flow analysis considering transmission constraints is utilized to ensure a fast load flow estimation and a manageable simulation time. The framework can be adopted to assess the long-term profitability of PHS-utilizing GAMS as an optimization tool. Further, to draw conclusions that would suit the characteristics of the demand pattern. This analysis is essential to motivate the construction of new seasonal PHS plants due to the high construction costs they are identified with, especially in geographical areas where this technology is not yet considered or is hard to construct. The simulation results demonstrate that integrating 1500 MWh PHS reduced the operation of expensive thermal units by 1224 MWh annually. Further, a reduction in operation costs was recorded after integrating a PHS unit that ranged from 2.6 M to 22 M USD/year, depending on the storage capacity. Full article
(This article belongs to the Section Energy Sustainability)
Show Figures

Figure 1

28 pages, 3170 KB  
Article
An Efficient and Secure Energy Trading Approach with Machine Learning Technique and Consortium Blockchain
by Tehreem Ashfaq, Muhammad Irfan Khalid, Gauhar Ali, Mohammad El Affendi, Jawaid Iqbal, Saddam Hussain, Syed Sajid Ullah, Adamu Sani Yahaya, Rabiya Khalid and Abdul Mateen
Sensors 2022, 22(19), 7263; https://doi.org/10.3390/s22197263 - 25 Sep 2022
Cited by 25 | Viewed by 3865
Abstract
In this paper, a secure energy trading mechanism based on blockchain technology is proposed. The proposed model deals with energy trading problems such as insecure energy trading and inefficient charging mechanisms for electric vehicles (EVs) in a vehicular energy network (VEN). EVs face [...] Read more.
In this paper, a secure energy trading mechanism based on blockchain technology is proposed. The proposed model deals with energy trading problems such as insecure energy trading and inefficient charging mechanisms for electric vehicles (EVs) in a vehicular energy network (VEN). EVs face two major problems: finding an optimal charging station and calculating the exact amount of energy required to reach the selected charging station. Moreover, in traditional trading approaches, centralized parties are involved in energy trading, which leads to various issues such as increased computational cost, increased computational delay, data tempering and a single point of failure. Furthermore, EVs face various energy challenges, such as imbalanced load supply and fluctuations in voltage level. Therefore, a demand-response (DR) pricing strategy enables EV users to flatten load curves and efficiently adjust electricity usage. In this work, communication between EVs and aggregators is efficiently performed through blockchain. Moreover, a branching concept is involved in the proposed system, which divides EV data into two different branches: a Fraud Chain (F-chain) and an Integrity Chain (I-chain). The proposed branching mechanism helps solve the storage problem and reduces computational time. Moreover, an attacker model is designed to check the robustness of the proposed system against double-spending and replay attacks. Security analysis of the proposed smart contract is also given in this paper. Simulation results show that the proposed work efficiently reduces the charging cost and time in a VEN. Full article
Show Figures

Figure 1

15 pages, 4100 KB  
Article
Decentral Hydrogen
by Paul Grunow
Energies 2022, 15(8), 2820; https://doi.org/10.3390/en15082820 - 12 Apr 2022
Cited by 8 | Viewed by 3997
Abstract
This concept study extends the power-to-gas approach to small combined heat and power devices in buildings that alternately operate fuel cells and electrolysis. While the heat is used to replace existing fossil heaters on-site, the power is either fed into the grid or [...] Read more.
This concept study extends the power-to-gas approach to small combined heat and power devices in buildings that alternately operate fuel cells and electrolysis. While the heat is used to replace existing fossil heaters on-site, the power is either fed into the grid or consumed via heat-coupled electrolysis to balance the grid power at the nearest grid node. In detail, the power demand of Germany is simulated as a snapshot for 2030 with 100% renewable sourcing. The standard load profile is supplemented with additional loads from 100% electric heat pumps, 100% electric cars, and a fully electrified industry. The renewable power is then scaled up to match this demand with historic hourly yield data from 2018/2019. An optimal mix of photovoltaics, wind, biomass and hydropower is calculated in respect to estimated costs in 2030. Hydrogen has recently entered a large number of national energy roadmaps worldwide. However, most of them address the demands of heavy industry and heavy transport, which are more difficult to electrify. Hydrogen is understood to be a substitute for fossil fuels, which would be continuously imported from non-industrialized countries. This paper focuses on hydrogen as a storage technology in an all-electric system. The target is to model the most cost-effective end-to-end use of local renewable energies, including excess hydrogen for the industry. The on-site heat coupling will be the principal argument for decentralisation. Essentially, it flattens the future peak from massive usage of electric heat pumps during cold periods. However, transition speed will either push the industry or the prosumer approach in front. Batteries are tried out as supplementary components for short-term storage, due to their higher round trip efficiencies. Switching the gas net to hydrogen is considered as an alternative to overcome the slow power grid expansions. Further decentral measures are examined in respect to system costs. Full article
(This article belongs to the Special Issue Sustainable Energy Concepts for Energy Transition)
Show Figures

Figure 1

Back to TopTop