Optimizing Energy Usage and Smoothing Load Profile via a Home Energy Management Strategy with Vehicle-to-Home and Energy Storage System
Abstract
1. Introduction
- ▪
- Lack of a charge/discharge control strategy for ESS and EV together in the model of HEMS in terms of power load curve flattening and electricity cost reduction.
- ▪
- There is an evident lack of literature investigating the influence of cost of EV battery degradation on evaluating the economic benefits of household when using V2H to transfer valley electricity.
- ▪
- Lack of comprehensive comparison of the HEMS with/without HESS and/or V2H in terms of power load profile flattening and electricity cost reduction.
- ▪
- Control based on restrictions: in fact, the major contribution of this study that the proposed energy management strategy control the quantities of power during charging/discharging of the HESS and EV and detect the suitable time to charge and discharge the EV and HESS, based on various constraints: time-of-use (TOU) electricity price, daily load curve, minimum and maximum limit SOC of HESS, departure and arrival time of EV, minimum and maximum limit SOC of EV battery, and the required SOC of EV battery at departure time.
- ▪
- Consideration of EV battery degradation cost: cost of EV battery degradation is taken into account in the proposed technique, in contrast to earlier studies. This factor is essential for evaluate the economic viability of V2H applications because using an electric vehicle’s battery for anything V2X other than transportation can cause it to degrade.
- ▪
- Progressive evolution: this work provides progressive evolution of the HEMS with/without HESS and/or V2H in terms of power load profile flattening and electricity cost reduction in addition to detailing the effect of transferring valley electricity through V2H and/or HESS in reducing electricity costs and smoothing daily load profile.
2. System Structure and Modeling
2.1. Smart Home Structure
2.2. System Modeling
2.2.1. EV Modeling
2.2.2. HESS Modeling
2.2.3. Daily Household Power Load
2.2.4. Daily Electricity Cost-Benefit Model
3. Proposed Energy Management Strategy (EMS)
3.1. Scenario A: Control EV Charging without V2H and HESS
3.1.1. Energy Scheduling of EV Charging without V2H and HESS
- MODE A1: Uncharged Mode
- MODE A2: EV in Charging Mode
3.1.2. Cost Reduction in EV Charging without V2H and HESS
3.2. Scenario B: Control EV Charging with V2H without HESS
3.2.1. Energy Scheduling of EV Charging with V2H without HESS
- MODE B1: Uncharged Mode
- MODE B2: EV in Charging Mode
- MODE B3: EV in discharging Mode
3.2.2. Cost Reduction in EV Charging with V2H without HESS
3.3. Scenario C: Control EV Charging with HESS without V2H
3.3.1. Energy Scheduling of EV Charging with HESS without V2H
- MODE C1: Uncharged Mode
- MODE C2: HESS in Charging Mode
- MODE C3: EV in Charging Mode
- MODE C4: EV and HESS in Charging Mode
- MODE C5: HESS in Discharging Mode
3.3.2. Cost Reduction in EV Charging with HESS without V2H
3.4. Scenario D: Control EV Charging with V2H and HESS
3.4.1. Energy Scheduling of EV Charging with V2H and HESS
- MODE D1: Unchanged Mode
- MODE D2: HESS in Charging Mode
- MODE D3: EV in Charging Mode
- MODE D4: EV and HESS in Charging Mode
- MODE D5: EV in Discharging Mode
- MODE D6: HESS in Discharging Mode
- MODE D7: HESS and EV in Discharging Mode
3.4.2. Cost Reduction in EV Charging with V2H and HESS
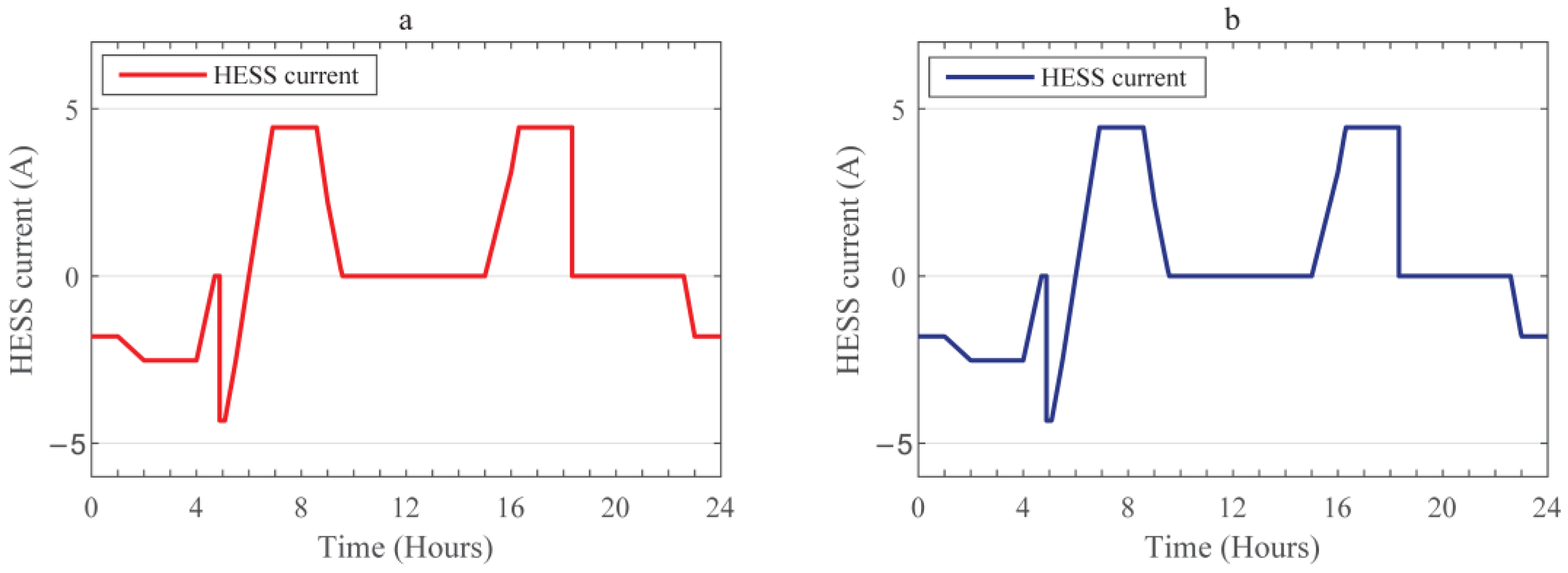
4. Results and Discussion
5. Conclusions
- ▪
- Transferring valley electricity through V2H proved to be more effective in reducing household electricity costs compared to transferring valley electricity through HESS alone.
- ▪
- Transferring valley electricity by HESS flattens the load curve better than transferring valley electricity through V2H.
- ▪
- Combining the transfer of valley electricity through V2H and HESS led to improved load curve flattening and reduced household electricity costs compared to either V2H or HESS alone.
Author Contributions
Funding
Conflicts of Interest
Abbreviations/Nomenclature
| DOD | Depth of discharge |
| DER | Distributed energy resources |
| ESS | Energy storage system |
| HESS | Household energy storage system |
| EVs | Electric vehicles |
| HEMS | Home energy management system |
| SOC | State of charge |
| TOU | Time-of-use |
| V2H | Vehicle-to-home |
| V2G | Vehicle-to-grid |
| V2N | Vehicle-to-neighbor |
| Parameters | |
| HESS rated discharge power (kW) | |
| HESS one-time installation cost ($/kWh) | |
| Daily capital cost for HESS installation ($/day) | |
| EV battery replacement cost ($/kWh) | |
| Daily EV battery degradation cost ($/day) | |
| Total daily energy consumption cost ($/day) | |
| Total daily energy consumption cost in scenario A ($/day) | |
| Total daily energy consumption cost in scenario B ($/day) | |
| Total daily energy consumption cost in scenario C ($/day) | |
| Total daily energy consumption cost in scenario D ($/day) | |
| Number of possible full cycles during a battery lifetime | |
| Vehicle travel distance (km) | |
| Required energy for the EV travel distance in the typical day (kWh) | |
| Rated charge power of EV (kW) | |
| Lifespan (years) | |
| Total number of days in the year | |
| Daily average energy consumption by EV and household appliances (kW) | |
| Power from the HESS to load (kW) | |
| Power from the vehicle to load (kW) | |
| Power from the grid to HESS (kW) | |
| Power from the grid to vehicle (kW) | |
| Energy consumption of the household appliances at time interval t (kW) | |
| New household power load curve (kW) | |
| Rated capacity of the HESS (kWh) | |
| Rated capacity of the EV battery (kWh) | |
| Interest rate | |
| HESS maximum SOC (%) | |
| HESS minimum SOC (%) | |
| HESS SOC at a time interval t (%) | |
| Previous HESS SOC (%) | |
| EV maximum SOC (%) | |
| EV minimum SOC (%) | |
| Required SOC for the EV trip distance (%) | |
| EV battery state of charge at time t (%) | |
| EV battery state of charge at the previous interval (%) | |
| Initial SOC of the EV battery | |
| Arrival time | |
| Departure time | |
| Total energy consumption of household appliances throughout the day (kWh) | |
| HESS charge efficiency | |
| HESS discharge efficiency | |
| EV battery charge efficiency | |
| EV battery discharge efficiency | |
| Vehicle efficiency (kWh/km) | |
| Price of electricity during different periods ($/kWh) | |
| Average electricity price ($/kWh) | |
| Electricity price during mid-peak period ($/kWh) | |
| Price of electricity during off-peak period ($/kWh) | |
| Electricity price during on-peak period ($/kWh) | |
References
- Shakeri, M.; Shayestegan, M.; Abunima, H.; Reza, S.M.S.; Akhtaruzzaman, M.; Alamoud, A.R.M.; Sopian, K.; Amin, N. An Intelligent System Architecture in Home Energy Management Systems (HEMS) for Efficient Demand Response in Smart Grid. Energy Build. 2017, 138, 154–164. [Google Scholar] [CrossRef]
- Zhou, B.; Li, W.; Chan, K.W.; Cao, Y.; Kuang, Y.; Liu, X.; Wang, X. Smart Home Energy Management Systems: Concept, Configurations, and Scheduling Strategies. Renew. Sustain. Energy Rev. 2016, 61, 30–40. [Google Scholar] [CrossRef]
- Zhao, G.Y.; Liu, Z.Y.; He, Y.; Cao, H.J.; Guo, Y.B. Energy Consumption in Machining: Classification, Prediction, and Reduction Strategy. Energy 2017, 133, 142–157. [Google Scholar] [CrossRef]
- Bagdadee, A.H.; Li, Z.; Abdalla, M.A.A. Constant &Reliable Power Supply by the Smart Grid Technology in Modern Power System. In IOP Conference Series: Materials Science and Engineering, Proceedings of the First International Conference on Materials Science and Manufacturing Technology, Coimbatore, India, 12–13 April 2019; IOP Publishing: Bristol, UK, 2019; Volume 561, p. 012088. [Google Scholar]
- Martinopoulos, G. Are Rooftop Photovoltaic Systems a Sustainable Solution for Europe? A Life Cycle Impact Assessment and Cost Analysis. Appl. Energy 2020, 257, 114035. [Google Scholar] [CrossRef]
- Nejat, P.; Jomehzadeh, F.; Taheri, M.M.; Gohari, M.; Majid, M.Z.A. A Global Review of Energy Consumption, CO2 Emissions and Policy in the Residential Sector (with an Overview of the Top Ten CO2 Emitting Countries). Renew. Sustain. Energy Rev. 2015, 43, 843–862. [Google Scholar] [CrossRef]
- Meng, K.; Dong, Z.Y.; Xu, Z.; Zheng, Y.; Hill, D.J. Coordinated Dispatch of Virtual Energy Storage Systems in Smart Distribution Networks for Loading Management. IEEE Trans. Syst. Man Cybern. Syst. 2017, 49, 776–786. [Google Scholar] [CrossRef]
- Wang, M.; Abdalla, M.A.A. Optimal Energy Scheduling Based on Jaya Algorithm for Integration of Vehicle-to-Home and Energy Storage System with Photovoltaic Generation in Smart Home. Sensors 2022, 22, 1306. [Google Scholar] [CrossRef]
- Berrada, A.; Loudiyi, K.; Zorkani, I. Profitability, Risk, and Financial Modeling of Energy Storage in Residential and Large Scale Applications. Energy 2017, 119, 94–109. [Google Scholar] [CrossRef]
- Wu, W.; Lin, B. Application Value of Energy Storage in Power Grid: A Special Case of China Electricity Market. Energy 2018, 165, 1191–1199. [Google Scholar] [CrossRef]
- Nguyen, H.K.; Bin, S.J.; Han, Z. Distributed Demand Side Management with Energy Storage in Smart Grid. IEEE Trans. Parallel Distrib. Syst. 2014, 26, 3346–3357. [Google Scholar] [CrossRef]
- Kittner, N.; Lill, F.; Kammen, D.M. Energy Storage Deployment and Innovation for the Clean Energy Transition. Nat. Energy 2017, 2, 17125. [Google Scholar] [CrossRef]
- Dharmakeerthi, C.H.; Mithulananthan, N.; Saha, T.K. Impact of Electric Vehicle Fast Charging on Power System Voltage Stability. Int. J. Electr. Power Energy Syst. 2014, 57, 241–249. [Google Scholar] [CrossRef]
- Wu, X.; Hu, X.; Yin, X.; Moura, S.J. Stochastic Optimal Energy Management of Smart Home with PEV Energy Storage. IEEE Trans. Smart Grid 2016, 9, 2065–2075. [Google Scholar] [CrossRef]
- Abdalla, M.A.A.; Min, W.; Haroun, A.H.G.; Elhindi, M. Optimal Energy Scheduling Strategy for Smart Charging of Electric Vehicles from Grid-Connected Photovoltaic System. In Proceedings of the 2021 7th International Conference on Electrical, Electronics and Information Engineering (ICEEIE), Malang, Indonesia, 2 October 2021; IEEE: New York, NY, USA, 2021; pp. 37–42. [Google Scholar]
- Leadbetter, J.; Swan, L. Battery Storage System for Residential Electricity Peak Demand Shaving. Energy Build. 2012, 55, 685–692. [Google Scholar] [CrossRef]
- Zurfi, A.; Albayati, G.; Zhang, J. Economic Feasibility of Residential Behind-the-Meter Battery Energy Storage under Energy Time-of-Use and Demand Charge Rates. In Proceedings of the 2017 IEEE 6th international conference on renewable energy research and applications (ICRERA), San Diego, CA, USA, 5–8 November 2017; IEEE: New York, NY, USA, 2017; pp. 842–849. [Google Scholar]
- Arcos-Vargas, A.; Lugo, D.; Núñez, F. Residential Peak Electricity Management. A Storage and Control Systems Application Taking Advantages of Smart Meters. Int. J. Electr. Power Energy Syst. 2018, 102, 110–121. [Google Scholar] [CrossRef]
- Gazafroudi, A.S.; Soares, J.; Ghazvini, M.A.F.; Pinto, T.; Vale, Z.; Corchado, J.M. Stochastic Interval-Based Optimal Offering Model for Residential Energy Management Systems by Household Owners. Int. J. Electr. Power Energy Syst. 2019, 105, 201–219. [Google Scholar] [CrossRef]
- Setlhaolo, D.; Xia, X. Optimal Scheduling of Household Appliances with a Battery Storage System and Coordination. Energy Build. 2015, 94, 61–70. [Google Scholar] [CrossRef]
- Longe, O.M.; Ouahada, K.; Rimer, S.; Harutyunyan, A.N.; Ferreira, H.C. Distributed Demand Side Management with Battery Storage for Smart Home Energy Scheduling. Sustainability 2017, 9, 120. [Google Scholar] [CrossRef]
- Sharifi, A.H.; Maghouli, P. Energy Management of Smart Homes Equipped with Energy Storage Systems Considering the PAR Index Based on Real-Time Pricing. Sustain. Cities Soc. 2019, 45, 579–587. [Google Scholar] [CrossRef]
- Yoon, S.-G.; Choi, Y.-J.; Park, J.-K.; Bahk, S. Stackelberg-Game-Based Demand Response for at-Home Electric Vehicle Charging. IEEE Trans. Veh. Technol. 2015, 65, 4172–4184. [Google Scholar] [CrossRef]
- Ahmed, M.S.; Mohamed, A.; Homod, R.Z.; Shareef, H. A Home Energy Management Algorithm in Demand Response Events for Household Peak Load Reduction. PrzeglAd Elektrotechniczny 2017, 93, 2017. [Google Scholar] [CrossRef][Green Version]
- Zhang, W.; Zhang, D.; Mu, B.; Wang, L.Y.; Bao, Y.; Jiang, J.; Morais, H. Decentralized Electric Vehicle Charging Strategies for Reduced Load Variation and Guaranteed Charge Completion in Regional Distribution Grids. Energies 2017, 10, 147. [Google Scholar] [CrossRef]
- Khemakhem, S.; Rekik, M.; Krichen, L. A Flexible Control Strategy of Plug-in Electric Vehicles Operating in Seven Modes for Smoothing Load Power Curves in Smart Grid. Energy 2017, 118, 197–208. [Google Scholar] [CrossRef]
- Khemakhem, S.; Rekik, M.; Krichen, L. Double Layer Home Energy Supervision Strategies Based on Demand Response and Plug-in Electric Vehicle Control for Flattening Power Load Curves in a Smart Grid. Energy 2019, 167, 312–324. [Google Scholar] [CrossRef]
- Pal, S.; Kumar, R. Electric Vehicle Scheduling Strategy in Residential Demand Response Programs with Neighbor Connection. IEEE Trans. Ind. Inform. 2017, 14, 980–988. [Google Scholar] [CrossRef]
- Datta, U.; Saiprasad, N.; Kalam, A.; Shi, J.; Zayegh, A. A Price-regulated Electric Vehicle Charge-discharge Strategy for G2V, V2H, and V2G. Int. J. Energy Res. 2019, 43, 1032–1042. [Google Scholar] [CrossRef]
- Pearre, N.S.; Ribberink, H. Review of Research on V2X Technologies, Strategies, and Operations. Renew. Sustain. Energy Rev. 2019, 105, 61–70. [Google Scholar] [CrossRef]
- Melhem, F.Y.; Grunder, O.; Hammoudan, Z.; Moubayed, N. Optimization and Energy Management in Smart Home Considering Photovoltaic, Wind, and Battery Storage System with Integration of Electric Vehicles. Can. J. Electr. Comput. Eng. 2017, 40, 128–138. [Google Scholar] [CrossRef]
- Aznavi, S.; Fajri, P.; Asrari, A.; Harirchi, F. Realistic and Intelligent Management of Connected Storage Devices in Future Smart Homes Considering Energy Price Tag. IEEE Trans. Ind. Appl. 2020, 56, 1679–1689. [Google Scholar] [CrossRef]
- Huang, P.; Lovati, M.; Zhang, X.; Bales, C. A Coordinated Control to Improve Performance for a Building Cluster with Energy Storage, Electric Vehicles, and Energy Sharing Considered. Appl. Energy 2020, 268, 114983. [Google Scholar] [CrossRef]
- Farsangi, A.S.; Hadayeghparast, S.; Mehdinejad, M.; Shayanfar, H. A Novel Stochastic Energy Management of a Microgrid with Various Types of Distributed Energy Resources in Presence of Demand Response Programs. Energy 2018, 160, 257–274. [Google Scholar] [CrossRef]
- Abdalla, M.A.A.; Min, W.; Mohammed, O.A.A. Two-Stage Energy Management Strategy of EV and PV Integrated Smart Home to Minimize Electricity Cost and Flatten Power Load Profile. Energies 2020, 13, 6387. [Google Scholar] [CrossRef]
- Hot Purple Energy Southern California Edison Strikes Again with New Time-of-Use Rate Structure. Available online: https://hotpurpleenergy.com/sce-new-rate-structure/ (accessed on 1 February 2023).
- U.S. Energy Information Administration Hourly Electricity Consumption Varies throughout the Day and across Seasons. Available online: https://www.eia.gov/todayinenergy/detail.php?id= (accessed on 1 February 2023).
- Young, K.; Wang, C.; Wang, L.Y.; Strunz, K. Electric Vehicle Battery Technologies. In Electric Vehicle Integration into Modern Power Networks (Power Electronics and Power Systems); Springer: New York, NY, USA, 2013; pp. 15–56. [Google Scholar]
- McGuckin, N.A.; Fucci, A. Summary of Travel Trends: 2017 National Household Travel Survey; US Department of Transportation, Federal Highway Administration: Washington, DC, USA, 2018.
















| Scenario | Objectives | Constraints |
|---|---|---|
| Scenario 1 |
|
|
| Scenario 2 |
|
|
| Scenario 3 |
|
|
| Scenario 4 |
|
|
| Periods | Electricity Price ($/kWh) |
|---|---|
| On-peak | 0.40824 |
| Mid-peak | 0.26018 |
| Off-peak | 0.12995 |
| Description | EV | HESS |
|---|---|---|
| Battery capacity | 19 kWh | 8.64 kWh |
| 90% | 90% | |
| 20% | 20% | |
| Initial SOC | 50% | 50% |
| Depth of discharge DOD | 80% | 80% |
| Charging efficiency | 0.95 | 0.90 |
| Discharging efficiency | 0.95 | 0.90 |
| Max power | 1.6 kW | 1.2 kW |
| Min power | −1.5 kW | −1.0 kW |
| Vehicle depart time | 08:00 | - |
| Vehicle arrive time | 17:00 | - |
| Vehicle efficiency | 14 kWh/100 km | - |
| Component | Parameters | Value | Unit |
|---|---|---|---|
| HESS | Investment cost | 150 | $/kWh |
| HESS system lifetime N | 10 | years | |
| EV battery | Replacement cost | 200 | $/kWh |
| Cycle life | 2000 | Cycles | |
| Other | Interest rate (r) | 6 | % |
Disclaimer/Publisher’s Note: The statements, opinions and data contained in all publications are solely those of the individual author(s) and contributor(s) and not of MDPI and/or the editor(s). MDPI and/or the editor(s) disclaim responsibility for any injury to people or property resulting from any ideas, methods, instructions or products referred to in the content. |
© 2023 by the authors. Licensee MDPI, Basel, Switzerland. This article is an open access article distributed under the terms and conditions of the Creative Commons Attribution (CC BY) license (https://creativecommons.org/licenses/by/4.0/).
Share and Cite
Abdalla, M.A.A.; Min, W.; Amran, G.A.; Alabrah, A.; Mohammed, O.A.A.; AlSalman, H.; Saleh, B. Optimizing Energy Usage and Smoothing Load Profile via a Home Energy Management Strategy with Vehicle-to-Home and Energy Storage System. Sustainability 2023, 15, 15046. https://doi.org/10.3390/su152015046
Abdalla MAA, Min W, Amran GA, Alabrah A, Mohammed OAA, AlSalman H, Saleh B. Optimizing Energy Usage and Smoothing Load Profile via a Home Energy Management Strategy with Vehicle-to-Home and Energy Storage System. Sustainability. 2023; 15(20):15046. https://doi.org/10.3390/su152015046
Chicago/Turabian StyleAbdalla, Modawy Adam Ali, Wang Min, Gehad Abdullah Amran, Amerah Alabrah, Omer Abbaker Ahmed Mohammed, Hussain AlSalman, and Bassiouny Saleh. 2023. "Optimizing Energy Usage and Smoothing Load Profile via a Home Energy Management Strategy with Vehicle-to-Home and Energy Storage System" Sustainability 15, no. 20: 15046. https://doi.org/10.3390/su152015046
APA StyleAbdalla, M. A. A., Min, W., Amran, G. A., Alabrah, A., Mohammed, O. A. A., AlSalman, H., & Saleh, B. (2023). Optimizing Energy Usage and Smoothing Load Profile via a Home Energy Management Strategy with Vehicle-to-Home and Energy Storage System. Sustainability, 15(20), 15046. https://doi.org/10.3390/su152015046

