Sign in to use this feature.

Years

Between: -

Subjects

remove_circle_outline
remove_circle_outline
remove_circle_outline
remove_circle_outline
remove_circle_outline
remove_circle_outline
remove_circle_outline
remove_circle_outline
remove_circle_outline

Journals

remove_circle_outline
remove_circle_outline
remove_circle_outline
remove_circle_outline
remove_circle_outline
remove_circle_outline

Article Types

Countries / Regions

remove_circle_outline
remove_circle_outline
remove_circle_outline
remove_circle_outline

Search Results (560)

Search Parameters:
Keywords = liquid friction

Order results
Result details
Results per page
Select all
Export citation of selected articles as:
22 pages, 31196 KB  
Article
Achieving Large-Area Hot Embossing of Anti-Icing Functional Microstructures Based on a Multi-Arc Ion-Plating Mold
by Xiaoliang Wang, Han Luo, Hongpeng Jiang, Zhenjia Wang, Ziyang Wang, Haibao Lu, Jun Xu, Debin Shan, Bin Guo and Jie Xu
Materials 2025, 18(19), 4643; https://doi.org/10.3390/ma18194643 (registering DOI) - 9 Oct 2025
Abstract
Aluminum alloy surface microstructures possess functional characteristics such as hydrophilicity/hydrophobicity and anti-icing and have important applications in fields such as aerospace and power systems. In order to improve the filling quality of the microstructure and verify the anti-icing property of the microstructure, this [...] Read more.
Aluminum alloy surface microstructures possess functional characteristics such as hydrophilicity/hydrophobicity and anti-icing and have important applications in fields such as aerospace and power systems. In order to improve the filling quality of the microstructure and verify the anti-icing property of the microstructure, this work develops a scheme for achieving large-area hot embossing of anti-icing functional microstructures based on a multi-arc ion-plating mold. Compared with conventional steel, the hardness of the PVD-coated steel increases by 44.7%, the friction coefficient decreases by 66.2%, and the wear resistance is significantly enhanced. The PVD-coated punch-assisted embossing could significantly improve filling properties. While the embossing temperature is 300 °C, the PVD-coated punch-assisted embossing can ensure the complete filling of the micro-array channels. In contrast, under-filling defects occur in conventional hot embossing. Then, a large-area micro-channel specimen of 100 cm2 was precisely formed without warping, and the average surface roughness Ra was better than 0.8 µm. The maximum freezing fraction of the micro-array channel was reduced by about 53.2% compared with the planar, and the complete freezing time was delayed by 193.3%. The main reason is that the air layer trapped by the hydrophobic structures hinders heat loss at the solid–liquid interface. Full article
18 pages, 2078 KB  
Review
The Role of Tribocatalysis in Friction and Wear: A Review
by Diana Berman and Ali Erdemir
Lubricants 2025, 13(10), 442; https://doi.org/10.3390/lubricants13100442 - 8 Oct 2025
Abstract
When exposed to high contact pressure and shear conditions, the sliding and/or rolling contact interfaces of moving mechanical systems can experience significant friction and wear losses, thereby impairing their efficiency, reliability, and environmental sustainability. Traditionally, these losses have been minimized using high-performance solid [...] Read more.
When exposed to high contact pressure and shear conditions, the sliding and/or rolling contact interfaces of moving mechanical systems can experience significant friction and wear losses, thereby impairing their efficiency, reliability, and environmental sustainability. Traditionally, these losses have been minimized using high-performance solid and liquid lubricants or surface engineering techniques like physical and chemical vapor deposition. However, increasingly harsh operating conditions of more advanced mechanical systems (including wind turbines, space mechanisms, electric vehicle drivetrains, etc.) render such traditional methods less effective or impractical over the long term. Looking ahead, an emerging and complementary solution could be tribocatalysis, a process that spontaneously triggers the formation of nanocarbon-based tribofilms in situ and on demand at lubricated interfaces, significantly reducing friction and wear even without the use of high-performance additives. These films often comprise a wide range of amorphous or disordered carbons, crystalline graphite, graphene, nano-onions, nanotubes, and other carbon nanostructures known for their outstanding friction and wear properties under the most demanding tribological conditions. This review highlights recent advances in understanding the underlying mechanisms involved in forming these carbon-based tribofilms, along with their potential applications in real-world mechanical systems. These examples underscore the scientific significance and industrial potential of tribocatalysis in further enhancing the efficiency, reliability, and environmental sustainability of future mechanical systems. Full article
(This article belongs to the Special Issue Tribo-Catalysis)
Show Figures

Graphical abstract

14 pages, 3429 KB  
Article
Thermo-Responsive Wax Millicapsules as Lubricating Agents Carriers
by Tomasz Kubiak and Karol Ciesielski
Lubricants 2025, 13(10), 439; https://doi.org/10.3390/lubricants13100439 - 5 Oct 2025
Viewed by 202
Abstract
Encapsulation of lubricating agents has many advantages, as it helps to protect them from external factors, oxidation and degradation, can support their controlled and prolonged release, and also preserves the environment from accidental contamination with these substances. In our experiments various types of [...] Read more.
Encapsulation of lubricating agents has many advantages, as it helps to protect them from external factors, oxidation and degradation, can support their controlled and prolonged release, and also preserves the environment from accidental contamination with these substances. In our experiments various types of thermo-responsive, paraffin wax capsules capable of safely transporting liquid and semi-solid lubricants were designed, fabricated and tested. Lubricating oils were primarily encapsulated inside hemispherical wax shells closed with special caps, but also in wax spherocylinders and two-compartment structures. Greases were protected with wax coatings with the thickness ranging from 0.187 to 0.774 mm. The payload release from our core–shell capsules occurred not only due to the exerted mechanical force but also in a controlled manner upon prolonged contact with a heated surface. The wax shells of the capsules lying on the plate, whose temperature was increased at a rate of 0.025°C/s, began to melt gradually, starting from ≈55.5 °C. This temperature-triggered lubricant liberation can be useful when, for example, a machine element becomes excessively hot due to friction. The wax itself also has lubricating properties, so the crushed or melted coating cannot be treated as waste, but only as an additional factor supporting lubrication. The practical applications of our wax capsules were demonstrated with five examples. Full article
Show Figures

Figure 1

23 pages, 2544 KB  
Article
Pressure Drops for Turbulent Liquid Single-Phase and Gas–Liquid Two-Phase Flows in Komax Triple Action Static Mixer
by Youcef Zenati, M’hamed Hammoudi, Abderraouf Arabi, Jack Legrand and El-Khider Si-Ahmed
Fluids 2025, 10(10), 259; https://doi.org/10.3390/fluids10100259 - 4 Oct 2025
Viewed by 98
Abstract
Static mixers are commonly used for process intensification in a wide range of industrial applications. For the design and selection of a static mixer, an accurate prediction of the hydraulic performance, particularly the pressure drop, is essential. This experimental study examines the pressure [...] Read more.
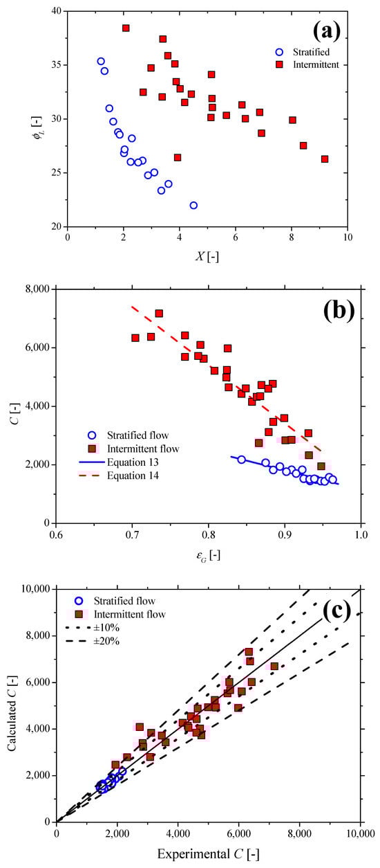
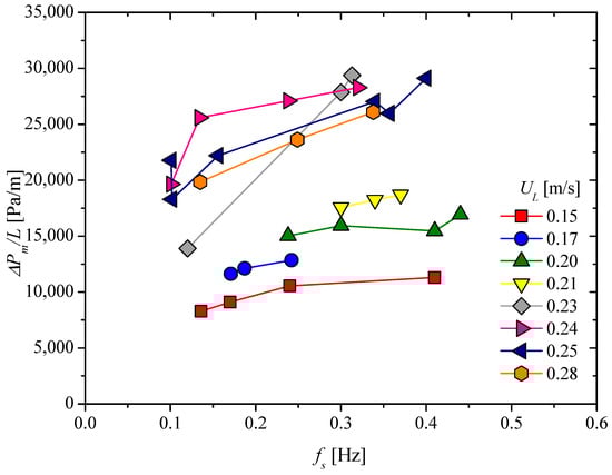
Static mixers are commonly used for process intensification in a wide range of industrial applications. For the design and selection of a static mixer, an accurate prediction of the hydraulic performance, particularly the pressure drop, is essential. This experimental study examines the pressure drop for turbulent single-phase and gas–liquid two-phase flows through a Komax triple-action static mixer placed on a horizontal pipeline. New values of friction factor and z-factor are reported for fully turbulent liquid single-phase flow (11,700 ≤ ReL ≤ 18,700). For two-phase flow, the pressure drop for stratified and intermittent flows (0.07 m/s ≤ UL ≤ 0.28 m/s and 0.46 m/s ≤ UG ≤ 3.05 m/s) is modeled using the Lockhart–Martinelli approach, with a coefficient, C, correlated to the homogenous void fraction. Conversely, the analysis of power dissipation reveals a dependence on both liquid and gas superficial velocities. For conditions corresponding to intermittent flow upstream of the mixer, flow visualization revealed the emergence of a swirling flow in the Komax static mixer. It is interesting to note that an increase in slug frequency leads to an increase, followed by stabilization of the pressure drop. The results offer valuable insights for improving the design and optimization of Komax static mixers operating under single-phase and two-phase flow conditions. In particular, the reported correlations can serve as practical tools for predicting hydraulic losses during the design and scale-up. Moreover, the observed influence of the slug frequency on the pressure drop provides guidance for selecting operating conditions that minimize energy consumption while ensuring efficient mixing. Full article
(This article belongs to the Special Issue Pipe Flow: Research and Applications, 2nd Edition)
Show Figures

Figure 1

16 pages, 4474 KB  
Article
Fabrication and Characterization of SnSb11Cu6 Babbitt-Infiltrated Open-Cell AlSn6Cu-SiC Matrix Composites
by Mihail Kolev, Rumiana Lazarova, Veselin Petkov, Rositza Dimitrova, Tatiana Simeonova, Rumen Krastev, Georgi Stoilov, Krasimir Kolev and Ilian Atanasov
Lubricants 2025, 13(10), 435; https://doi.org/10.3390/lubricants13100435 - 1 Oct 2025
Viewed by 249
Abstract
This study investigates the fabrication and performance of a novel composite material by infiltrating SnSb11Cu6 babbitt alloy into an open-cell AlSn6Cu-SiC matrix. The composites, produced via a multi-stage liquid-state processing route, were comprehensively characterized for their microstructural, mechanical, and tribological properties. The inclusion [...] Read more.
This study investigates the fabrication and performance of a novel composite material by infiltrating SnSb11Cu6 babbitt alloy into an open-cell AlSn6Cu-SiC matrix. The composites, produced via a multi-stage liquid-state processing route, were comprehensively characterized for their microstructural, mechanical, and tribological properties. The inclusion of 5 wt.% silicon carbide reinforcement resulted in a significant improvement in tribological performance under dry-sliding conditions. Specifically, the reinforced composite exhibited a 24.8% reduction in wear and a 10.8% reduction in the coefficient of friction compared to its unreinforced counterpart. Crucially, this enhancement in wear resistance was achieved while the bulk compressive mechanical properties and ductile deformation behavior remained virtually identical to the unreinforced material. Microstructural analysis confirmed that the high-hardness SiC particles act as primary load-bearing agents, shielding the softer metallic matrix from severe wear. These findings demonstrate the successful development of a high-performance composite with enhanced tribological durability without a mechanical trade-off, making it a promising candidate for advanced bearing applications. Full article
(This article belongs to the Special Issue Microstructure and Tribological Properties of Alloys)
Show Figures

Figure 1

19 pages, 8005 KB  
Article
Frictional Characteristics and Tribological Mechanisms of Ionic Liquid Lubricants in Ceramic Tribo-Systems
by Zehui Yang, Shujuan Li, Limu Cui and Congjun Cao
Materials 2025, 18(19), 4504; https://doi.org/10.3390/ma18194504 - 27 Sep 2025
Viewed by 254
Abstract
Due to their excellent mechanical stability, chemical stability, and environmentally friendly properties, ceramic materials have received extensive attention for years. Meanwhile, ionic liquids (ILs) have been found to effectively enhance tribological properties when applied as lubricants, which has become a distinctive example of [...] Read more.
Due to their excellent mechanical stability, chemical stability, and environmentally friendly properties, ceramic materials have received extensive attention for years. Meanwhile, ionic liquids (ILs) have been found to effectively enhance tribological properties when applied as lubricants, which has become a distinctive example of their wide exploration. Here, three novel proton-type ionic liquids containing different polar groups were designed and synthesized as pure lubricants for use on different ceramic friction couples (silicon nitride–silicon nitride, silicon nitride–silicon carbide, and silicon nitride–zirconium oxide contacts), and their lubrication effect was evident. The results indicate that the adsorption behavior and frictional characteristics of different polar groups on a ceramic friction interface differ, largely depending on tribochemical reactions and the formation of a double electric layer on the interface between the ILs and ceramic substrates, without obvious corrosion during sliding. The friction coefficient is reduced by more than 80%, and this excellent anti-friction effect demonstrates that the constructed ionic liquid–ceramic interface tribological system shows good application potential. Based on the analyses of SEM, EDS, and XPS, the tribochemical reaction on the sliding asperity and the film-forming effect were identified as the dominant lubrication mechanisms. Here, the high lubricity and anti-wear performance of ILs containing phosphorus elements on different ceramic contacts is emphasized, enriching the promising application of high-performance ILs for macroscale, high-efficiency lubrication and low wear, which is of significance for engineering and practical applications. Full article
Show Figures

Figure 1

21 pages, 2805 KB  
Article
Predictive Analysis for U-Tube Transient Flow Events: A Digitalisation Framework
by Edwin A. Martínez-Padilla, Alfonso Arrieta-Pastrana, Oscar E. Coronado-Hernández, Manuel Saba and Vicente S. Fuertes-Miquel
Fluids 2025, 10(9), 247; https://doi.org/10.3390/fluids10090247 - 20 Sep 2025
Viewed by 393
Abstract
This study presents a methodology for the digitalisation process for analysing transient flow phenomena in a U-tube. It comprises several layers, including the characterisation of liquid oscillation dynamics, image segmentation for experimentally determining variations in the meniscus position, and the integration of machine [...] Read more.
This study presents a methodology for the digitalisation process for analysing transient flow phenomena in a U-tube. It comprises several layers, including the characterisation of liquid oscillation dynamics, image segmentation for experimentally determining variations in the meniscus position, and the integration of machine learning techniques with analytical solutions. The position, velocity, and acceleration of the meniscus are obtained using image-processing methods and subsequently compared with the corresponding analytical predictions. The proposed methodology accurately represents the existing hydraulic conditions, incorporating both Newtonian and Ogawa friction models. To assess model performance, the index of agreement was employed to compare analytical and experimental results. The findings indicate a systematic error of 2.2 mm ± 3 pixels when using the Ogawa friction model, which corresponds to the best model for predicting this hydraulic behaviour. Finally, the implementation of machine learning techniques demonstrates considerable potential for predictive analysis, with statistical measures showing coefficients of determination above 0.997 and consistently low Root Mean Square Error values. Full article
(This article belongs to the Section Mathematical and Computational Fluid Mechanics)
Show Figures

Figure 1

11 pages, 1653 KB  
Article
Influence of Superhydrophobic Coatings on Turbulence and Vortical Structures in a Submerged Impinging Jet
by Delfino Cornejo-Monroy, Betania Sánchez-Santamaria, David Luviano-Cruz, Manuel Alejandro Lira-Martínez, J. C. García and José Omar Dávalos
Nanomaterials 2025, 15(18), 1407; https://doi.org/10.3390/nano15181407 - 12 Sep 2025
Viewed by 351
Abstract
The impact of liquid jets on solid surfaces is a critical hydrodynamic mechanism in applications like cooling and cleaning. Surface properties, particularly superhydrophobicity, can significantly alter flow development throughout the impingement process. This work uses particle image velocimetry (PIV) to investigate a submerged [...] Read more.
The impact of liquid jets on solid surfaces is a critical hydrodynamic mechanism in applications like cooling and cleaning. Surface properties, particularly superhydrophobicity, can significantly alter flow development throughout the impingement process. This work uses particle image velocimetry (PIV) to investigate a submerged water jet impinging on smooth and superhydrophobic surfaces. The jet, with a 4 mm diameter (D), was operated at a Reynolds number of 4500 and a nozzle-to-surface distance of 10D. Results demonstrate that the superhydrophobic surface (SHS) modifies the flow behavior significantly. Compared to the smooth surface, the peak jet velocity on the SHS increased by 26% in the axial direction and 19% in the radial direction. Furthermore, turbulent kinetic energy (TKE) at the impingement point was substantially higher on the coated surface. These findings are attributed to reduced wall friction on the superhydrophobic surface, which enhances momentum retention and alters turbulent production. Full article
(This article belongs to the Special Issue Functionalized Nanostructures on Surfaces and at Interfaces)
Show Figures

Figure 1

12 pages, 5463 KB  
Article
Interfacial Diffusion and Copper Alloy Layer Wear Mechanism in Cu-20Pb-5Sn/45 Steel Bimetallic Composites
by Yuanyuan Kang, Guowei Zhang, Yanling Hu and Yue Liu
Coatings 2025, 15(9), 1072; https://doi.org/10.3390/coatings15091072 - 12 Sep 2025
Viewed by 408
Abstract
Cu-20Pb-5Sn/45 steel bimetallic composites were prepared using the solid–liquid composite method. The interfacial microstructure, bonding strength, and wear performance were systematically characterized to elucidate the mechanisms governing the solid-solution interface and copper alloy layer wear behavior. The results reveal that mutual diffusion of [...] Read more.
Cu-20Pb-5Sn/45 steel bimetallic composites were prepared using the solid–liquid composite method. The interfacial microstructure, bonding strength, and wear performance were systematically characterized to elucidate the mechanisms governing the solid-solution interface and copper alloy layer wear behavior. The results reveal that mutual diffusion of Cu and Fe forms a metallurgically bonded α-(Cu,Ni)/α-Fe interface with a diffusion layer thickness of approximately 10.7 µm and an interfacial shear strength of 227.58 MPa. Under dry sliding conditions, the average coefficient of friction was 0.145, with a wear rate of 7.3665 × 10−6 mm3/(N·m). The α-(Cu,Ni) matrix was reinforced by hard Cu3P and Ni-rich phases, which resist frictional shear stresses, while dispersed Pb particles provide self-lubricating properties, while the solid-solution interface hindered dislocation propagation, reducing dislocation pile-up and ensuring stable frictional performance. Full article
(This article belongs to the Special Issue Surface Engineering Processes for Reducing Friction and Wear)
Show Figures

Graphical abstract

21 pages, 3665 KB  
Article
Dynamic Fitting Method for Wellbore Multiphase Flow with Exponentially Weighted Parameter Updating
by Yuchen Ji, Xinrui Zhang, Mingchun Wang, Yupei Liu, Tianhao Wang, Zixiao Xing, Guoqing Han and Xiaolong Xiang
Processes 2025, 13(9), 2894; https://doi.org/10.3390/pr13092894 - 10 Sep 2025
Viewed by 366
Abstract
Accurate dynamic characterization of wellbore multiphase flow is fundamental for production optimization and real-time control in oil and gas wells. Addressing technical constraints of existing dynamic fitting methods, this study proposes a novel dynamic fitting methodology integrating physical mechanisms with exponentially weighted parameter [...] Read more.
Accurate dynamic characterization of wellbore multiphase flow is fundamental for production optimization and real-time control in oil and gas wells. Addressing technical constraints of existing dynamic fitting methods, this study proposes a novel dynamic fitting methodology integrating physical mechanisms with exponentially weighted parameter updating. The approach leverages multiphase flow theory to target the liquid holdup factor and friction factor as correction parameters for dynamic fitting. It incorporates Particle Swarm Optimization to achieve rapid and accurate fitting and introduces an Exponentially Weighted Moving Average mechanism to dynamically update parameters. By fusing historical data with real-time data, the Exponentially Weighted Moving Average method balances instantaneous responsiveness with long-term stability. Empirical validation using a dataset from Block XX of a Southern China oilfield demonstrates the superior accuracy of the fitting method under low-to-medium frequency data conditions. During data interruptions or anomalous disturbances, the method maintains high accuracy while exhibiting a low mean relative change percentage; it effectively suppressed the non-physical jumps of the fitting coefficients and maintained stable and accurate fitting. Full article
(This article belongs to the Section Energy Systems)
Show Figures

Figure 1

27 pages, 8062 KB  
Article
Comparative Study of RANS Models for Simulating Turbulent Flow and Heat Transfer in Corrugated Pipes
by Ting-Ting Tang, Fang-Qiu Li, Guang-Yao Wang, Jun Yan and Zhao-Kuan Lu
Water 2025, 17(17), 2649; https://doi.org/10.3390/w17172649 - 8 Sep 2025
Viewed by 782
Abstract
Corrugated pipes are extensively used in engineering applications that require flexibility and enhanced heat exchange, such as drainage and compact heat exchangers, and recently as inner layers in cryogenic flexible hoses for offshore liquid ship-to-ship transfer. The great flexibility of these hoses makes [...] Read more.
Corrugated pipes are extensively used in engineering applications that require flexibility and enhanced heat exchange, such as drainage and compact heat exchangers, and recently as inner layers in cryogenic flexible hoses for offshore liquid ship-to-ship transfer. The great flexibility of these hoses makes them well-suited for deployment in dynamic and harsh marine environments. However, the corrugated geometry also induces flow separation, elevated turbulence, and intricate heat transfer behaviors. This study focuses on the flow and heat transfer characteristics in corrugated pipes with various geometries, addressing the current lack of systematic comparative studies on the performance of different Reynolds-Averaged Navier–Stokes (RANS) models in such configurations. Despite their limitations in accuracy compared to high-fidelity methods, RANS models remain the workhorse for engineering analysis due to their computational efficiency. This study employs several RANS models to simulate flow and heat transfer in three corrugated pipe geometries—sinusoidal (Sin), C-type, and U-type—over a Reynolds number range of O(104) to O(105) and assesses their performance against high-fidelity Large Eddy Simulation benchmarks. The results show that prediction accuracy decreases with increasing corrugation depth, with the most significant errors in trough regions where reverse flow dominates, and that the choice of turbulence model has a strong influence on the predicted flow and heat transfer behavior. Among all models, the kϵ models overall provide the most consistent and accurate predictions for friction factor, velocity distribution, and Nusselt number, while the kω models perform the worst. The Reynolds Stress Model improves friction factor prediction accuracy at high Reynolds numbers and provides marginally better accuracy in mean Nusselt number prediction, but its advantages are limited relative to its substantially higher computational cost. The Standard kϵ model with Enhanced Wall Treatment demonstrates robust and balanced performance across geometries and flow regimes, making it a practical choice for engineering use. This work provides engineers and researchers guidance for choosing RANS models that balance accuracy and computational efficiency in simulations of LNG ship-to-ship transfer, compact heat exchangers, and other industrial systems that employ corrugated pipes. Full article
(This article belongs to the Special Issue Ship and Ocean Engineering)
Show Figures

Figure 1

22 pages, 12710 KB  
Article
Research and Experimental Verification of the Static and Dynamic Pressure Characteristics of Aerospace Porous Media Gas Bearings
by Xiangbo Zhang, Yi Tu, Nan Jiang, Wei Jin, Yongsheng Liang, Xiao Guo, Xuefei Liu, Zheng Xu and Longtao Shao
Aerospace 2025, 12(9), 788; https://doi.org/10.3390/aerospace12090788 - 31 Aug 2025
Viewed by 499
Abstract
Porous media gas bearings utilize gas as a lubricating medium to achieve non-contact support technology. Compared with traditional liquid-lubricated bearings or rolling bearings, they are more efficient and environmentally friendly. With the uniform gas film pressure of gas bearings, the rotating shaft can [...] Read more.
Porous media gas bearings utilize gas as a lubricating medium to achieve non-contact support technology. Compared with traditional liquid-lubricated bearings or rolling bearings, they are more efficient and environmentally friendly. With the uniform gas film pressure of gas bearings, the rotating shaft can achieve mechanical motion with low friction, high rotational speed, and long service life. They have significant potential in improving energy efficiency and reducing carbon emissions, enabling oil-free lubrication. By eliminating the friction losses of traditional oil-lubricated bearings, porous media gas bearings can reduce the energy consumption of industrial rotating machinery by 15–25%, directly reducing fossil energy consumption, which is of great significance for promoting carbon neutrality goals. They have excellent prospects for future applications in the civil and military aviation fields. Based on the three-dimensional flow characteristics of the bearing’s fluid domain, this paper considers the influences of the transient flow field in the variable fluid domain of the gas film and the radial pressure gradient of the gas film, establishes a theoretical model and a three-dimensional simulation model for porous media gas bearings, and studies the static–dynamic pressure coupling mechanism of porous media gas bearings. Furthermore, through the trial production of bearings and performance tests, the static characteristics are verified, and the steady-state characteristics are studied through simulation, providing a basis for the application of gas bearings made from porous media materials in the civil and military aviation fields. Full article
(This article belongs to the Section Aeronautics)
Show Figures

Figure 1

10 pages, 2404 KB  
Article
Rapid Measurement of Concentration-Dependent Viscosity Based on the Imagery of Liquid-Core Cylindrical Lens
by Li Wei, Shuocong Zhang, Bo Dai and Dawei Zhang
Photonics 2025, 12(9), 872; https://doi.org/10.3390/photonics12090872 - 29 Aug 2025
Viewed by 772
Abstract
Viscosity is an inherent frictional characteristic of fluids that enables them to resist flow or deformation, thereby reflecting their flow resistance. It is significantly affected by concentration, but traditional viscosity measurements are limited to discrete concentrations, and multiple experiments are required for different [...] Read more.
Viscosity is an inherent frictional characteristic of fluids that enables them to resist flow or deformation, thereby reflecting their flow resistance. It is significantly affected by concentration, but traditional viscosity measurements are limited to discrete concentrations, and multiple experiments are required for different concentrations, so the process is time-consuming. To overcome this limitation, this study presents a “viscosity–diffusion coupling” measurement system using a liquid-core cylindrical lens (LCL) as both the diffusion chamber and imaging element. It captures concentration profiles via focal plane imaging and solves Fick’s second law and Stokes–Einstein relation numerically to determine the viscosity at varying concentrations. Experiments on the viscosity of glycerol solutions (0–50% mass fraction) at three temperatures were conducted and showed strong agreement with literature values. The method enables continuous viscosity measurement across varying concentrations within a single experiment, demonstrating reliability, accuracy, and stability in the rapid assessment of concentration-dependent viscosity. Full article
(This article belongs to the Special Issue Optical Sensing Technologies, Devices and Their Data Applications)
Show Figures

Figure 1

14 pages, 3572 KB  
Article
Shear Strength and Seepage Control of Soil Samples Used for Vertical Barrier Construction—A Comparative Study
by Małgorzata Wdowska, Mirosław Lipiński, Kamil Nasiłowski and Piotr Osiński
Appl. Sci. 2025, 15(17), 9413; https://doi.org/10.3390/app15179413 - 27 Aug 2025
Viewed by 591
Abstract
Vertical low-permeability barriers are widely used to improve the stability and seepage resistance of flood embankments. The present study evaluates three barrier technologies—vibrating beam slurry walls (VBSWs), deep soil mixing (DSM), and low-pressure grout injection (LPG)—through a series of consolidated drained triaxial tests [...] Read more.
Vertical low-permeability barriers are widely used to improve the stability and seepage resistance of flood embankments. The present study evaluates three barrier technologies—vibrating beam slurry walls (VBSWs), deep soil mixing (DSM), and low-pressure grout injection (LPG)—through a series of consolidated drained triaxial tests and permeability coefficient tests on soil samples collected from the sites where different barrier installation technologies were used. All three barrier installation methods produced substantial improvements in both mechanical and hydraulic performance: the effective angle of internal friction (φ′) increased by 3–6° in samples with a plasticity index near 3.5%, and coefficients of permeability dropped from 10−8–10−7 m/s in untreated soils to below 10−9 m/s in treated specimens. The key finding of the study is that the barrier performance varies by the technology and the soil type. According to the result, DSM is the most effective technology used in clay-rich soils (φ′ increased up to 4°); LPG achieved the lowest permeability (7 × 10−11 m/s) in granular soils; and VBSWs balanced strength and impermeability, most effective in silty sands. Flow-pump tests further demonstrated that treated soils required much longer to stabilize under a constant flow rate and could sustain higher hydraulic gradients before reaching equilibrium. These findings show the importance of matching barrier technology to soil plasticity and liquidity characteristics and highlight saturation as essential for reliable laboratory evaluation. The results provide a scientific basis for selecting and designing vertical barriers in flood-preventing infrastructure, offering performance benchmarks for improving hydraulic and geotechnical structures. Full article
Show Figures

Figure 1

26 pages, 8019 KB  
Article
Tribo-Dynamic Investigation of Cryogenic Ball Bearings Considering Varying Traction Parameters
by Shijie Zhang, Shuangshuang Jia, Yuhao Zhao, Jing Wei and Yanyang Zi
Lubricants 2025, 13(8), 352; https://doi.org/10.3390/lubricants13080352 - 5 Aug 2025
Viewed by 601
Abstract
The traction behavior in cryogenic solid-lubricated ball bearings (CSLBBs) used in liquid rocket engines (LREs) affects not only the dynamic response of the bearing but also the lubricity and wear characteristics of the solid lubrication coating. The traction coefficient between the ball and [...] Read more.
The traction behavior in cryogenic solid-lubricated ball bearings (CSLBBs) used in liquid rocket engines (LREs) affects not only the dynamic response of the bearing but also the lubricity and wear characteristics of the solid lubrication coating. The traction coefficient between the ball and raceway depends on factors such as contact material, relative sliding velocity, and contact pressure. However, existing traction curve models for CSLBBs typically consider only one or two of these factors, limiting the accuracy and applicability of theoretical predictions. In this study, a novel traction model for CSLBBs is proposed, which incorporates the combined effects of contact material, relative sliding velocity, and contact pressure. Based on this model, a tribo-dynamic framework is developed to investigate the tribological and dynamic behavior of CSLBBs. The model is validated through both theoretical analysis and experimental data. Results show that the inclusion of solid lubricant effects significantly alters the relative sliding and frictional forces between the rolling elements and the raceway. These changes in turn influence the impact dynamics between the rolling elements and the cage, leading to notable variations in the bearing’s vibrational response. The findings may offer valuable insights for the wear resistance and vibration reduction design of CSLBBs. Full article
(This article belongs to the Special Issue Tribological Characteristics of Bearing System, 3rd Edition)
Show Figures

Figure 1

Back to TopTop