Sign in to use this feature.

Years

Between: -

Subjects

remove_circle_outline
remove_circle_outline
remove_circle_outline
remove_circle_outline
remove_circle_outline
remove_circle_outline
remove_circle_outline
remove_circle_outline
remove_circle_outline

Journals

remove_circle_outline
remove_circle_outline
remove_circle_outline
remove_circle_outline
remove_circle_outline
remove_circle_outline
remove_circle_outline
remove_circle_outline
remove_circle_outline
remove_circle_outline
remove_circle_outline
remove_circle_outline

Article Types

Countries / Regions

remove_circle_outline
remove_circle_outline
remove_circle_outline
remove_circle_outline
remove_circle_outline
remove_circle_outline
remove_circle_outline

Search Results (5,325)

Search Parameters:
Keywords = land-use policies

Order results
Result details
Results per page
Select all
Export citation of selected articles as:
26 pages, 4162 KB  
Article
Spatial Effects of Implicit Land Use Transition on Land Use Carbon Emissions: A Spatial Econometric Analysis at the County Level in Hebei Province, China
by Weijie Zhang, Zhi Zhou, Li Zhao, Guijun Zhang and Pengtao Zhang
Land 2026, 15(1), 74; https://doi.org/10.3390/land15010074 (registering DOI) - 31 Dec 2025
Abstract
Focusing on Hebei Province in China, the work investigated the impact of implicit land use transition (ILUT) on land use carbon emissions (LUCEs) for dual carbon goals. A county-level evaluation system and a measurement model were constructed to explore ILUT and carbon emissions’ [...] Read more.
Focusing on Hebei Province in China, the work investigated the impact of implicit land use transition (ILUT) on land use carbon emissions (LUCEs) for dual carbon goals. A county-level evaluation system and a measurement model were constructed to explore ILUT and carbon emissions’ spatiotemporal progression, respectively. The optimal spatial econometric model was selected by employing different testing methods to elucidate how ILUT affected carbon emissions. LUCEs increased from 49.7964 million tons (2000) to 107.401 million tons (2015) and dropped to 92.2173 million tons by 2020. The overall exhibited an inverted V-shape. Values were generally higher in the southeast and lower in the northwest. ILUT index across counties increased from 2000 to 2020, with polarization of implicit indices intensified. Spatial distribution showed that the southeastern area exhibited notably higher values compared to the northwestern parts. Significant positive spatial correlation existed between ILUT and carbon emissions within the county, while a significant negative spatial correlation was observed with carbon emissions in neighboring counties. These findings provide scientific support for formulating differentiated land use policies and optimizing carbon emission control strategies in Hebei Province, holding significant practical value for regional dual carbon targets. Full article
Show Figures

Figure 1

21 pages, 4974 KB  
Article
Research on the Coupling and Coordinated Evolution of Cultivated Land Use Efficiency and Ecological Safety: A Case Study of Jilin Province (2000–2023)
by Shengxi Wang, Hailing Jiang, Ran Li, Hailin Yu, Xihao Sun and Xinhui Feng
Agriculture 2026, 16(1), 94; https://doi.org/10.3390/agriculture16010094 (registering DOI) - 31 Dec 2025
Abstract
With increasing emphasis on ecological conservation and food security, cultivated land issues have become more prominent. This study focuses on Jilin Province and uses nine prefecture-level administrative units and prefectures as the basic analytical units. Using continuous data for 2000–2023, this study analyzes [...] Read more.
With increasing emphasis on ecological conservation and food security, cultivated land issues have become more prominent. This study focuses on Jilin Province and uses nine prefecture-level administrative units and prefectures as the basic analytical units. Using continuous data for 2000–2023, this study analyzes the spatiotemporal evolution of cultivated land use efficiency (CLUE). By 2023, most regions had achieved ecological safety (ES), examined through their coupling and coordination. The Super-Efficiency SBM-DEA model and the Malmquist–Luenberger (ML) index were used to evaluate the static and dynamic changes in CLUE. A DPSIR–PLS-SEM integrated framework was applied to identify causal mechanisms influencing ES, while the TOPSIS method was employed to assess overall evolutionary trends. In addition, the coupling coordination degree (CCD) model combined with kernel density estimation (KDE) was used to characterize the interaction between CLUE and ES and their spatial evolution. Results indicated the following: (1) From 2000 to 2023, overall CLUE in Jilin Province showed an upward trend with fluctuations, while regional disparities narrowed and spatial distribution became more balanced. (2) The composite ES index increased from 0.3009 to 0.7900, accompanied by a marked expansion of areas classified as secure. (3) The CCD improved from a basic level to a high-quality coordination level, indicating enhanced synergistic development. Higher coordination was observed in central and eastern regions, whereas western and peripheral areas lagged. This study integrates multi-dimensional modeling approaches to systematically assess the coupled dynamics on cultivated land use efficiency and ecological safety, providing insights for land management and policy formulation. Full article
(This article belongs to the Section Agricultural Systems and Management)
Show Figures

Graphical abstract

13 pages, 1155 KB  
Article
Land Use and Nature-Based Climate Adaptation in Coastal and Island Regions: A Case Study of Muan and Shinan, South Korea
by Jae-Eun Kim and Sun-Kee Hong
Sustainability 2026, 18(1), 380; https://doi.org/10.3390/su18010380 (registering DOI) - 30 Dec 2025
Abstract
This study examines the relationships between land use, climate, and nature-based adaptation in coastal and island regions of South Korea, focusing on the counties of Muan and Shinan along the southwest coast. Using land use data (2014) and meteorological data (2001–2010), Spearman correlation [...] Read more.
This study examines the relationships between land use, climate, and nature-based adaptation in coastal and island regions of South Korea, focusing on the counties of Muan and Shinan along the southwest coast. Using land use data (2014) and meteorological data (2001–2010), Spearman correlation analysis was applied to assess the associations between six land-use categories and eight climatic indicators, including temperature extremes, tropical nights, and precipitation patterns. Results show that built-up and agricultural areas are closely linked to higher maximum temperatures and more frequent heatwaves, indicating greater climatic vulnerability. Conversely, wetlands, and bare lands demonstrate significant cooling effects, acting as natural buffers against rising temperatures. Wetlands play dual roles in supporting initial hydrological heat mitigation but enhancing nocturnal heat retention during prolonged heatwaves. Forests and grasslands emerged as important land-use types that can help reduce the number of tropical night days. These findings underscore the importance of nature-based land management—such as forest expansion, wetland conservation, and vegetation restoration—for mitigating heat stress and enhancing climate resilience. This study calls for extending national climate adaptation policies beyond urban areas to support aging, and therefore vulnerable, coastal and island populations facing the intensifying effects of climate change. Full article
(This article belongs to the Special Issue Impact and Adaptation of Climate Change on Natural Ecosystems)
Show Figures

Figure 1

27 pages, 9753 KB  
Article
Identification of Potential Flood-Prone Areas in the Republic of Kosovo Using GIS-Based Multi-Criteria Decision-Making and the Analytical Hierarchy Process
by Bashkim Idrizi, Agon Nimani and Lyubka Pashova
Sustainability 2026, 18(1), 359; https://doi.org/10.3390/su18010359 (registering DOI) - 30 Dec 2025
Abstract
Floods rank among the most frequent and destructive natural hazards, threatening ecosystems, human settlements, and national economies. This study delineates flood-prone areas across Kosovo by developing a national-scale Flood Risk Database (FRDB) and a comprehensive mapping framework integrating Geographic Information Systems (GIS), Multi-Criteria [...] Read more.
Floods rank among the most frequent and destructive natural hazards, threatening ecosystems, human settlements, and national economies. This study delineates flood-prone areas across Kosovo by developing a national-scale Flood Risk Database (FRDB) and a comprehensive mapping framework integrating Geographic Information Systems (GIS), Multi-Criteria Decision-Making (MCDM), and the Analytical Hierarchy Process (AHP). Eight hydrological and topographic conditioning factors—slope, elevation, flow accumulation, distance to rivers, land use/land cover, soil type, precipitation, and drainage density—were analyzed. AHP was employed to assign factor weights based on their relative influence on flood susceptibility, while MCDM aggregated these weighted spatial layers to generate a national flood risk map. Model validation, based on historical flood points, achieved an AUC of 0.909, confirming its high predictive accuracy. The resulting flood risk map classifies Kosovo’s territory into five risk levels: very high (0.56%), high (14.44%), moderate (36.68%), low (46.46%), and very low (1.88%). This research provides the first systematic national-scale FRDB for Kosovo, offering a reliable scientific basis for flood management, spatial planning, and climate resilience policy. Full article
Show Figures

Figure 1

26 pages, 4526 KB  
Article
Helicopter Noise Modelling in an Urban Setting: A NORAH2 Demonstration for Cannes, France
by Miguel Gabriel Cebrián Gómez and Konstantinos Banitsas
Aerospace 2026, 13(1), 37; https://doi.org/10.3390/aerospace13010037 (registering DOI) - 29 Dec 2025
Abstract
Urban helicopter activity is intermittent and route-focused, yet most strategic mapping tools were developed for fixed-wing traffic and long-term averages, leaving urban rotorcraft noise under-represented. In the EU, the Environmental Noise Directive (2002/49/EC) and its CNOSSOS-EU methods require Member States to measure, map, [...] Read more.
Urban helicopter activity is intermittent and route-focused, yet most strategic mapping tools were developed for fixed-wing traffic and long-term averages, leaving urban rotorcraft noise under-represented. In the EU, the Environmental Noise Directive (2002/49/EC) and its CNOSSOS-EU methods require Member States to measure, map, and report aviation noise at major airports (using indicators such as Lden and Lnight), covering helicopter operations as part of overall aviation noise; yet current practice and tooling remain largely fixed-wing oriented. To the authors’ knowledge, no peer-reviewed real-case applications of NORAH2 to urban helicopter operations have yet been published. Therefore, this study demonstrates an end-to-end NORAH2 workflow using Cannes, France, as an urban case study, modelling 556 helicopter operations recorded between 12 and 25 May 2025 over an 8.3 km × 2.5 km analysis grid, and utilising openly available ADS-B/Mode-S trajectories to generate noise-related maps that can be used to support policy-making. Radar trajectories were conditioned to retain sampling while ensuring kinematic plausibility; environmental layers (terrain, land cover, basic meteorology) and rotorcraft representations were configured in NORAH2. Standard indicators were produced on a uniform grid, Lden (day–evening–night) and LAeq, 16 h, alongside event-count metrics (N60/N65/N70) and single-event LAmax footprints. Over a two-week window, outputs exhibited coherent corridor-level structure and event footprints consistent with observed operations, indicating that ADS-B-derived trajectories, after light conditioning, are suitable inputs for urban NORAH2 mapping. The period analysed is short; results are demonstrative for that window and not intended as statutory exposure assessments. The contribution is twofold: (i) the first published demonstration that connects open radar-like data to NORAH2 outputs in a dense urban setting, and (ii) evidence that NORAH2 can provide both energy-average and frequency-of-occurrence views useful for city noise management. Full article
(This article belongs to the Section Air Traffic and Transportation)
Show Figures

Figure 1

22 pages, 37324 KB  
Article
Putting Abandoned Farmlands in the Legend of Land Use and Land Cover Maps of the Brazilian Tropical Savanna
by Ivo Augusto Lopes Magalhães, Edson Eyji Sano, Édson Luis Bolfe and Gustavo Bayma
Land 2026, 15(1), 53; https://doi.org/10.3390/land15010053 - 27 Dec 2025
Viewed by 194
Abstract
Farmland abandonment is becoming a growing land use challenge in the Brazilian Cerrado, yet its extent, spatial distribution, and underlying drivers remain poorly understood. This study addresses the following question: Can deep learning methods reliably identify abandoned farmlands in tropical savanna environments using [...] Read more.
Farmland abandonment is becoming a growing land use challenge in the Brazilian Cerrado, yet its extent, spatial distribution, and underlying drivers remain poorly understood. This study addresses the following question: Can deep learning methods reliably identify abandoned farmlands in tropical savanna environments using multispectral satellite images? To answer this question, we used a Fully Connected Neural Network (FCNN) classifier to map abandoned farmlands in the municipality of Buritizeiro, Minas Gerais State, Brazil, using Sentinel-2 images acquired in 2018 and 2022. Seven land use and land cover (LULC) classes were mapped using visible and near-infrared bands, spectral indices, spectral mixture components, and principal components as input parameters for the CNN. The LULC map for 2022 achieved high classification performance (overall accuracy = 94.7%; Kappa coefficient = 0.93). Agricultural areas classified in 2018 as annual croplands, cultivated pastures, eucalyptus plantations, or harvested eucalyptus that transitioned to grasslands or shrublands in 2022 were considered abandoned. Based on this definition, we identified 13,147 hectares of abandoned land in 2022, representing 4.7% of the municipality’s agricultural area in 2018. Most abandoned areas corresponded to eucalyptus plantations established for charcoal production. This study provides the first deep learning-based assessment of farmland abandonment in the Cerrado. Our findings demonstrated the potential of FCNN classifiers for detecting abandoned farmlands in this biome and provide important contribution for public policies focused on ecological restoration, carbon sequestration, and sustainable agricultural planning. Full article
(This article belongs to the Special Issue Observation, Monitoring and Analysis of Savannah Ecosystems)
Show Figures

Figure 1

31 pages, 552 KB  
Article
The Impact of Metropolitan Integration on Land Use Efficiency and Its Mechanism
by Jiaxi Xiao and Fan Dong
Land 2026, 15(1), 52; https://doi.org/10.3390/land15010052 - 27 Dec 2025
Viewed by 130
Abstract
Against the backdrop of accelerating global spatial restructuring, metropolitan areas have become crucial spatial units for enhancing regional competitiveness and securing industrial chains. Although China has continuously advanced metropolitan area development, low land use efficiency remains a key constraint on sustainable progress. Metropolitan [...] Read more.
Against the backdrop of accelerating global spatial restructuring, metropolitan areas have become crucial spatial units for enhancing regional competitiveness and securing industrial chains. Although China has continuously advanced metropolitan area development, low land use efficiency remains a key constraint on sustainable progress. Metropolitan integration presents a new approach to addressing this challenge. This study constructs an analytical framework of “direct effects–indirect effects–dynamic evolution” and measures metropolitan integration and land use efficiency using a multidimensional indicator system and a super-efficiency slacks-based measure (SBM) model incorporating undesirable outputs. Employing the system generalized method of moments (System GMM) estimator, this study conducts both baseline and mediation analyses using balanced panel data for 32 Chinese metropolitan areas from 2016 to 2022. The results show that both metropolitan integration and land use efficiency improved steadily during the study period. The coefficient on metropolitan integration is positive and statistically significant, and the lagged dependent variable is also positive and statistically significant, indicating substantial persistence over time. Heterogeneity analyses further indicate that the estimated association is more pronounced in eastern metropolitan areas and nationally designated metropolitan areas. In addition, industrial agglomeration and industrial specialization operate as important mediating channels in this relationship. Based on these findings, the study proposes policy recommendations to strengthen metropolitan integration and industrial collaboration, thereby improving land use efficiency. Full article
(This article belongs to the Section Land Use, Impact Assessment and Sustainability)
Show Figures

Figure 1

20 pages, 578 KB  
Article
Enhancing the Function of Country Parks to Facilitate Rural Revitalization: A Case Study of Shanghai
by Hongyu Du
Land 2026, 15(1), 47; https://doi.org/10.3390/land15010047 - 26 Dec 2025
Viewed by 198
Abstract
Country parks are an important instrument for implementing China’s strategies on ecological civilization and integrated urban–rural development. This study conducted field surveys in seven country parks of Shanghai. Meanwhile, stakeholder seminars were organized with local residents and park authorities. To assess visitor satisfaction, [...] Read more.
Country parks are an important instrument for implementing China’s strategies on ecological civilization and integrated urban–rural development. This study conducted field surveys in seven country parks of Shanghai. Meanwhile, stakeholder seminars were organized with local residents and park authorities. To assess visitor satisfaction, a questionnaire survey was administered both on-site and online. Through case analysis and a policy review, this study systematically identifies key challenges in leveraging country parks for rural revitalization. The findings indicate that visitors highly value the ecological qualities of the parks, and basic infrastructure like roads and resting facilities generally meets expectations. However, shuttle services and smart guiding systems remain notable shortcomings that hinder the overall visitor experience. Moreover, gaps in service quality, local cultural representation, and the depth of nature education constitute the primary weaknesses affecting visitor satisfaction. Regarding rural revitalization, this study identifies four main limitations in the contribution of country parks: (1) Inadequate functional positioning and weak integration with surrounding resources; (2) Low land use efficiency and an unbalanced provision of supporting facilities; (3) Homogenized industrial formats with limited innovation and integration capacity; and (4) Restricted participation of local farmers and underdeveloped multi-stakeholder governance mechanisms. To address these issues, this study proposes four strategic recommendations: (1) Develop distinctive local brands and strengthen synergies with surrounding resources; (2) Promote mixed land use and enhance supporting service facilities; (3) Foster diversified business formats and facilitate the value realization of ecological products; and (4) Expand income-generation channels for farmers and improve multi-stakeholder governance frameworks. The research demonstrates that optimizing the functions of country parks can improve ecological and recreational services and help establish an integrated “ecology–industry–community” framework through industrial chain extension and community participation, thereby supporting rural revitalization. Full article
Show Figures

Figure 1

29 pages, 1100 KB  
Article
The Role of Policymakers and Businesses in Advancing the Forest-Based Bioeconomy: Perceptions, Challenges, and Opportunities
by Kaja Plevnik and Anže Japelj
Sustainability 2026, 18(1), 219; https://doi.org/10.3390/su18010219 - 25 Dec 2025
Viewed by 188
Abstract
We examined the positions of policymakers and businesses on the forest-based bioeconomy (FBE) in Slovenia, focusing on the importance of forest ecosystem services within the FBE. We also explored how businesses perceive their market potential and the role of payments for ecosystem services [...] Read more.
We examined the positions of policymakers and businesses on the forest-based bioeconomy (FBE) in Slovenia, focusing on the importance of forest ecosystem services within the FBE. We also explored how businesses perceive their market potential and the role of payments for ecosystem services (PES) schemes in strengthening the FBE. We conducted interviews with 35 policymakers from the fields of forestry, the wood industry, the environment, and tourism, as well as with 24 business representatives from primary wood production, the wood industry, and forest tourism. Respondents identified fragmented land ownership (mean score on a 1–5 scale = 4.19), the lack of a strategic framework (4.12), and inefficient use of woody biomass (4.08) as key challenges to implementing the FBE in Slovenia. They highlighted knowledge transfer (4.54), investment support (4.47), and raising environmental awareness (4.44) as the main forms of state support for the FBE, while unfamiliarity with PES appears to contribute to its neglect. No significant sectoral differences were observed among policymakers regarding PES involvement; however, they viewed their role mainly in the design phase of PES and least in the phases of coordination and establishment. Greater interest in participating in PES was expressed by forest tourism businesses, despite perceiving lower market potential than those in primary wood production and the wood industry. The evident heterogeneity of stakeholder positions on the FBE calls for strong coordination and a transparent policy process involving all stakeholder coalitions to establish a coherent national strategy for the FBE. The results highlighted policymakers’ limited governance capacity and reluctance to fully implement PES as a potential solution for strengthening the FBE. The differing motivations of businesses regarding PES underscore the need for a nuanced, sector-specific approach to foster broader engagement. Full article
(This article belongs to the Section Bioeconomy of Sustainability)
Show Figures

Figure 1

23 pages, 11758 KB  
Article
Land Use Change Dynamics in Metropolitan Areas: A Cross-Regional Comparison Across China, Japan, and the United States
by Jia Liao, Bin Quan and Di Zhan
Sustainability 2026, 18(1), 214; https://doi.org/10.3390/su18010214 - 24 Dec 2025
Viewed by 168
Abstract
Metropolitan areas are key carriers of economic growth and regional sustainable development. Comparing land use and land cover changes (LUCC) across multiple metropolitan areas can provide pathway references for the sustainable development of emerging metropolitan areas. However, current approaches are limited by two [...] Read more.
Metropolitan areas are key carriers of economic growth and regional sustainable development. Comparing land use and land cover changes (LUCC) across multiple metropolitan areas can provide pathway references for the sustainable development of emerging metropolitan areas. However, current approaches are limited by two major shortcomings: (1) the lack of methods capable of providing a comprehensive comparison of LUCC processes across multiple metropolitan areas and (2) the difficulty in effectively visualizing the results of comprehensive and complex LUCC analyses. Here, we introduce a novel comparative intensity analysis (CIA) model to comprehensively compare LUCC processes across metropolitan areas. The challenge of visualization is addressed by the newly proposed Intensity Deviation Maps. Three metropolitan areas were selected as research objects: the Chang-Zhu-Tan Metropolitan Area (CZT) in China, the Chukyo Metropolitan Area (CMA) in Japan, and the Dallas–Fort Worth (DFW) Metropolitan Area in the United States. Findings reveal a metropolitan evolution characterizing three stages and mechanisms underlying cross-regional differences: (1) The first stage is rapid, unorganized expansion, which requires enhanced regulation to achieve sustainable land resource utilization; (2) the second stage shifts from external expansion to internal renewal, with a focus on urban resilience and the well-being of residents; and (3) the third stage seeks external breakthroughs to expand its influence. We uncover context-shaped heterogeneous LUCC: policy-driven rapid CZT construction land expansion, population-driven high intensity in the DFW, and low CMA intensity amid stagnation. This study deepens understanding of global metropolitan LUCC and informs sustainable land use planning. The CIA model provides methodological support for cross-regional LUCC research. Full article
Show Figures

Figure 1

31 pages, 2820 KB  
Article
Cemeteries as Sustainable Elements of Urban Green Space: Legal, Ecological, and Spatial Perspectives from Central and Eastern Europe
by Agnieszka Jaszczak, Jakub Kostecki, Ewelina Pochodyła-Ducka and Andrzej Greinert
Sustainability 2026, 18(1), 212; https://doi.org/10.3390/su18010212 - 24 Dec 2025
Viewed by 213
Abstract
As urbanisation accelerates, land-use planning has become a challenging factor in cities’ sustainable development. This process is based both on the historical heritage of Central and Eastern European cities and on concepts combining urban planning with ecology. Cemeteries, traditionally viewed as places of [...] Read more.
As urbanisation accelerates, land-use planning has become a challenging factor in cities’ sustainable development. This process is based both on the historical heritage of Central and Eastern European cities and on concepts combining urban planning with ecology. Cemeteries, traditionally viewed as places of remembrance, hold significant potential as ecological assets within urban environments. On the other hand, they are problematic in relation to the location, neighbourhood, and form of past/present human activity. Many of these aspects are regulated in the investigated countries. This paper examines sustainable cemetery planning from legal, ecological, and spatial perspectives, highlighting their role in addressing environmental challenges while preserving cultural and social values. The research draws on comparative case studies from eight Central and Eastern European countries, combining an analysis of international and national legal frameworks with a functional–spatial assessment of cemetery surroundings. In addition, an environmental survey conducted among experts and residents highlights diverse perceptions regarding cemetery functions and their integration into urban landscapes. The findings demonstrate that policy-based management and multifunctional design are essential for enhancing the ecological, cultural, and social value of cemeteries. Reframing cemeteries as multifunctional green spaces offers a practical pathway toward more resilient and environmentally responsible urban development. Some important differences between the following countries have been observed. Full article
(This article belongs to the Section Sustainable Urban and Rural Development)
Show Figures

Figure 1

37 pages, 3753 KB  
Article
Measurement and Influencing Factors of Rural Livelihood Resilience of Different Types of Farmers: Taking “Agri-Tourism–Commerce–Culture Integration” Areas in China
by Ying Chen, Guangshun Zhang, Yi Su and Ruixin Zhang
Sustainability 2026, 18(1), 208; https://doi.org/10.3390/su18010208 - 24 Dec 2025
Viewed by 183
Abstract
In the rapid development of rural tourism, multiple disturbances, such as capital reorganization, uneven resource distribution, and the marginalization of farmers as the main body, have emerged. This has led to the dual challenges of increased vulnerability and insufficient resilience of farmers’ livelihood [...] Read more.
In the rapid development of rural tourism, multiple disturbances, such as capital reorganization, uneven resource distribution, and the marginalization of farmers as the main body, have emerged. This has led to the dual challenges of increased vulnerability and insufficient resilience of farmers’ livelihood systems in the face of risk shocks. Based on survey data of the “Agri-Tourism–Commerce–Culture Integration” demonstration zone in China, this study integrates the Pressure–State–Response model into the analysis of livelihood resilience and constructs a “vulnerability–adaptability–recuperability” tri-dimensional framework. Through methods such as the entropy weight method, the synthetical index method, grey relational degree analysis, and the obstacle degree model, this study measures the levels of different livelihood types of farmers in each dimension of livelihood resilience and their influencing factors. The research findings indicate that the overall livelihood resilience of farmers in the study area was at a medium level, with vulnerability making the most significant contribution, reflecting that the current livelihood system is dominated by risk resistance. Different types of farmers exhibit heterogeneity in resilience, with tourism-oriented farmers showing the highest resilience and agriculture-oriented farmers the lowest. However, tourism-oriented farmers also display the most prominent vulnerability, revealing the tension between short-term efficiency enhancement and long-term risk diversification in single livelihood strategies. Key factor analysis reveals that vulnerability correlates most strongly with livelihood resilience. The most correlated indicators are the price increase rate, proportion of migrant workers, and neighborhood trust in the vulnerability, adaptability, and recuperability dimensions. Diagnosis of obstacle factors reveal that loan accessibility, land resource dependency, and agricultural risk perception rank as the top three common obstacles, with tourism-driven farmers exhibiting higher obstacle degrees than other farmer categories. These findings not only validate the empowering effect of rural tourism on farmers’ livelihoods but also reveal the different livelihood strategies chosen by various farmers. Based on the results, this study proposes policy recommendations of “common optimization + individual adaptation” to enhance farmers’ livelihood resilience. This is conducive to transforming external support into farmers’ endogenous resilience capabilities and provides a useful reference for achieving the deep integration of rural tourism and farmers’ livelihood systems. Full article
Show Figures

Figure 1

58 pages, 6750 KB  
Review
Application of Agrivoltaic Technology for the Synergistic Integration of Agricultural Production and Electricity Generation
by Dorota Bugała, Artur Bugała, Grzegorz Trzmiel, Andrzej Tomczewski, Leszek Kasprzyk, Jarosław Jajczyk, Dariusz Kurz, Damian Głuchy, Norbert Chamier-Gliszczynski, Agnieszka Kurdyś-Kujawska and Waldemar Woźniak
Energies 2026, 19(1), 102; https://doi.org/10.3390/en19010102 - 24 Dec 2025
Viewed by 359
Abstract
The growing global demand for food and energy requires land-use strategies that support agricultural production and renewable energy generation. Agrivoltaic (APV) systems allow farmland to be used for both agriculture and solar power generation. The aim of this study is to critically synthesize [...] Read more.
The growing global demand for food and energy requires land-use strategies that support agricultural production and renewable energy generation. Agrivoltaic (APV) systems allow farmland to be used for both agriculture and solar power generation. The aim of this study is to critically synthesize the interactions between the key dimensions of APV implementation—technical, agronomic, legal, and economic—in order to create a multidimensional framework for designing an APV optimization model. The analysis covers APV system topologies, appropriate types of photovoltaic modules, installation geometry, shading conditions, and micro-environmental impacts. The paper categorizes quantitative indicators and critical thresholds that define trade-offs between energy production and crop yields, including a discussion of shade-tolerant crops (such as lettuce, clover, grapevines, and hops) that are most compatible with APV. Quantitative aspects were integrated in detail through a review of mathematical approaches used to predict yields (including exponential-linear, logistic, Gompertz, and GENECROP models). These models are key to quantitatively assessing the impact of photovoltaic modules on the light balance, thus enabling the simultaneous estimation of energy efficiency and yields. Technical solutions that enhance synthesis, such as dynamic tracking systems, which can increase energy production by up to 25–30% while optimizing light availability for crops, are also discussed. Additionally, the study examines regional legal frameworks and the economic factors influencing APV deployment, highlighting key challenges such as land use classification, grid connection limitations, investment costs and the absence of harmonised APV policies in many countries. It has been shown that APV systems can increase water retention, mitigate wind erosion, strengthen crop resilience to extreme weather conditions, and reduce the levelized cost of electricity (LCOE) compared to small rooftop PV systems. A key contribution of the work is the creation of a coherent analytical design framework that integrates technical, agronomic, legal and economic requirements as the most important input parameters for the APV system optimization model. This indicates that wider implementation of APV requires clear regulatory definitions, standardized design criteria, and dedicated support mechanisms. Full article
(This article belongs to the Special Issue New Advances in Material, Performance and Design of Solar Cells)
Show Figures

Figure 1

35 pages, 1042 KB  
Article
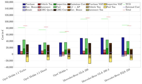
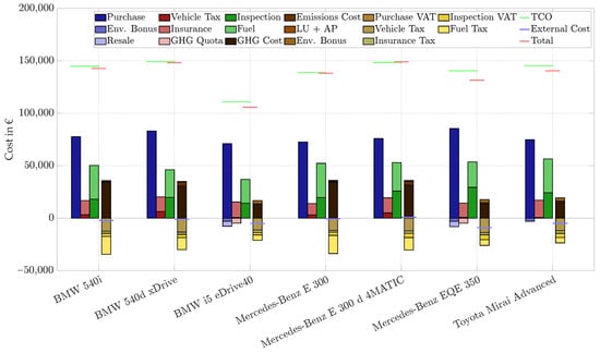
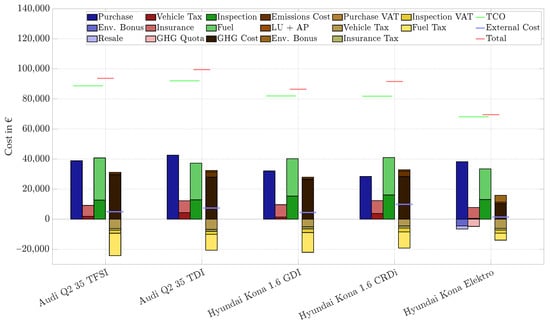
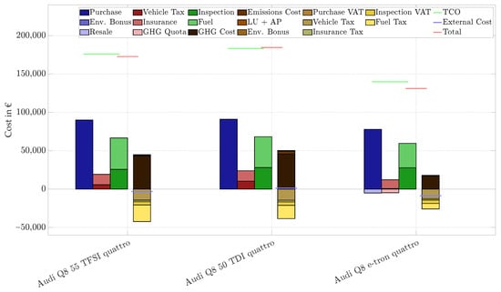
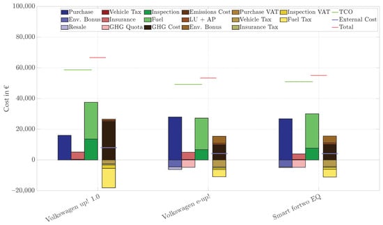
Total Cost of Ownership and External Cost Assessment of Commercially Available Vehicles in Germany
by Johannes Buberger, Julian Estaller, Andreas Wiedenmann, Tobias Högerl, Wolfgang Grupp, Thomas Weyh and Manuel Kuder
Sustainability 2026, 18(1), 170; https://doi.org/10.3390/su18010170 (registering DOI) - 23 Dec 2025
Viewed by 156
Abstract
This study aims to provide a comprehensive and realistic evaluation of consumer and external costs associated with commercially available passenger cars. The central research question is: How do Total Cost of Ownership (TCO) and external costs differ between conventional vehicles, Battery Electric Vehicles [...] Read more.
This study aims to provide a comprehensive and realistic evaluation of consumer and external costs associated with commercially available passenger cars. The central research question is: How do Total Cost of Ownership (TCO) and external costs differ between conventional vehicles, Battery Electric Vehicles (BEVs), and Fuel Cell Electric Vehicles (FCEVs) across various vehicle segments? The methodological approach includes the selection of 55 commonly registered vehicle variants in Germany and the calculation of TCO and external costs over a 16-year vehicle lifetime. TCO components include purchase price, governmental subsidies, remaining value, fuel or energy expenses, maintenance, insurance and taxes. External costs incorporate emissions, land use and the societal costs from purchase bonuses. Apart from the large quantity of considered vehicles and the depth of investigation, this study’s main contribution is the consideration of tax revenue as a negative external cost. The results show that BEVs consistently exhibit the lowest TCO and external cost across all segments. For example, a BEV in the E segment has 26% lower TCO and 14,300 € lower external cost than an equivalent diesel vehicle. FCEVs show competitive results in both TCO and external costs, though limited by market availability. While higher in TCO, vehicles in higher segments generally lead to lower external cost due to higher tax revenue. The findings support the economic and ecological advantages of BEVs, which should therefore be primarily considered by consumers and policy-makers. Full article
Show Figures

Figure 1

31 pages, 7287 KB  
Article
Leading Core or Lagging Periphery? Spatial Gradient, Explanatory Mechanisms and Policy Response of Urban-Rural Integrated Development in Xi’an Metropolitan Area
by Zuoyou Liu, Zhiyi Zhang, Huiling Lü and Tian Zhang
Land 2026, 15(1), 33; https://doi.org/10.3390/land15010033 - 23 Dec 2025
Viewed by 299
Abstract
Rapid urbanization has intensified resource and population agglomeration while exacerbating urban-rural disparities. To address the long-standing dual structure, China advocates urban-rural integrated development (URID) to achieve common prosperity. However, the long-term evolutionary patterns and explanatory mechanisms of URID remain insufficiently explored, particularly at [...] Read more.
Rapid urbanization has intensified resource and population agglomeration while exacerbating urban-rural disparities. To address the long-standing dual structure, China advocates urban-rural integrated development (URID) to achieve common prosperity. However, the long-term evolutionary patterns and explanatory mechanisms of URID remain insufficiently explored, particularly at the county (district)-level in western China. This study constructed an entropy-weighted TOPSIS evaluation system combined with kernel density estimation and an optimal parameters-based geographical detector (OPGD) model to analyze the spatiotemporal evolution and explanatory mechanisms of URID in 26 counties (districts) of the Xi’an metropolitan area from 2010 to 2022. The results showed that: (1) URID levels increased steadily over the study period, forming a pronounced core-periphery gradient with faster improvement in national URID pilot counties. (2) Factor associations evolved from being dominated by a few dimensions to multidimensional coupling. Socioeconomic and geographical factors remained dominant and relatively stable, demographic influences were clearly stage specific, and the interaction between forest coverage and economic variables weakened over time. (3) Enhancing regional transport accessibility, optimizing land use efficiency, and fostering positive population-industry interaction are key pathways for promoting URID in the study area. Methodologically, this study introduces a “significance testing followed by threshold verification” logic into the OPGD model, refining the parameter-setting process and improving the robustness and q-value of factor detection. The findings enrich URID theory, provide county (district)-scale evidence for western China, and offer policy implications for optimizing factor allocation and promoting coordinated regional development. Full article
(This article belongs to the Section Urban Contexts and Urban-Rural Interactions)
Show Figures

Figure 1

Back to TopTop