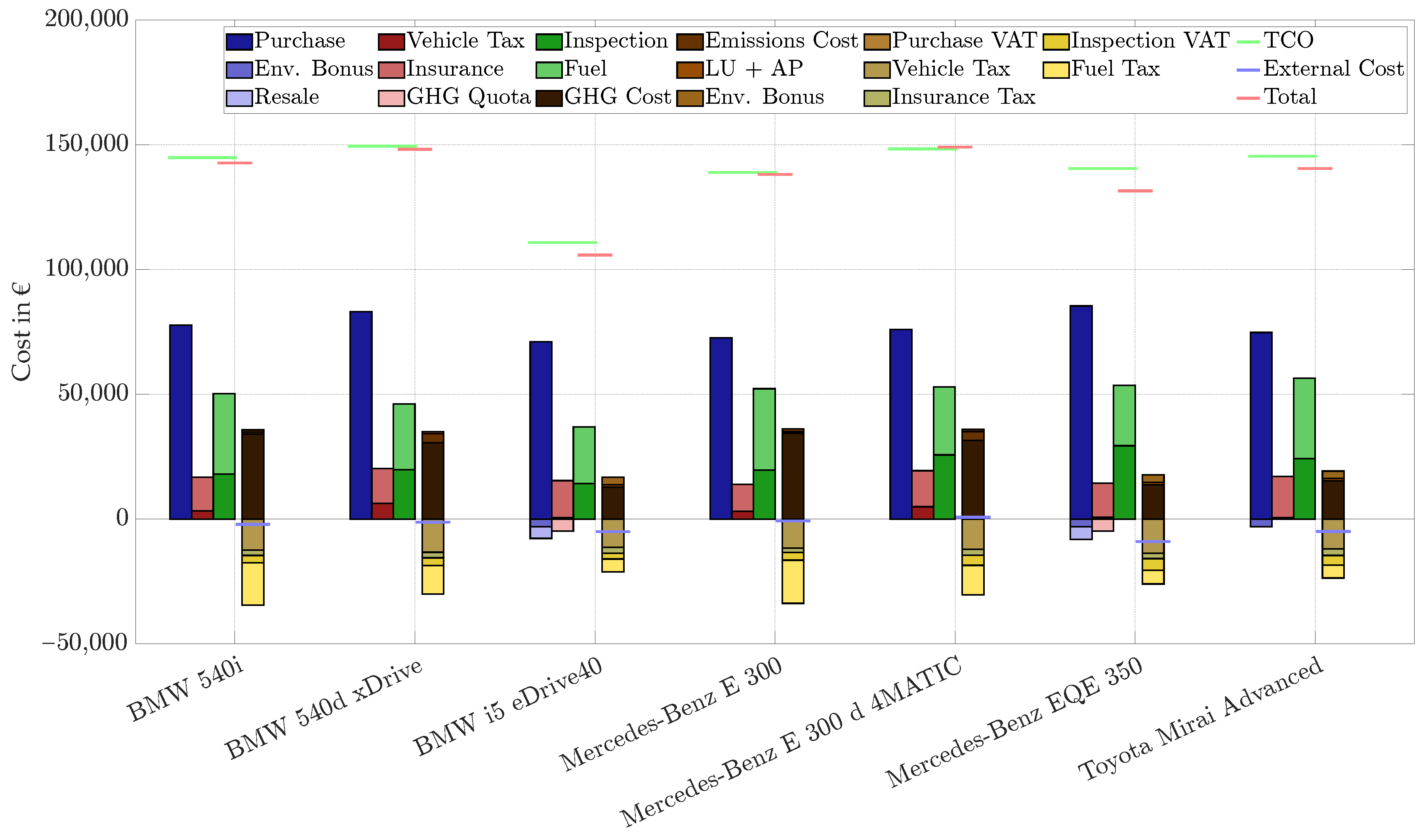
Total Cost of Ownership and External Cost Assessment of Commercially Available Vehicles in Germany
Abstract
Share and Cite
Buberger, J.; Estaller, J.; Wiedenmann, A.; Högerl, T.; Grupp, W.; Weyh, T.; Kuder, M. Total Cost of Ownership and External Cost Assessment of Commercially Available Vehicles in Germany. Sustainability 2026, 18, 170. https://doi.org/10.3390/su18010170
Buberger J, Estaller J, Wiedenmann A, Högerl T, Grupp W, Weyh T, Kuder M. Total Cost of Ownership and External Cost Assessment of Commercially Available Vehicles in Germany. Sustainability. 2026; 18(1):170. https://doi.org/10.3390/su18010170
Chicago/Turabian StyleBuberger, Johannes, Julian Estaller, Andreas Wiedenmann, Tobias Högerl, Wolfgang Grupp, Thomas Weyh, and Manuel Kuder. 2026. "Total Cost of Ownership and External Cost Assessment of Commercially Available Vehicles in Germany" Sustainability 18, no. 1: 170. https://doi.org/10.3390/su18010170
APA StyleBuberger, J., Estaller, J., Wiedenmann, A., Högerl, T., Grupp, W., Weyh, T., & Kuder, M. (2026). Total Cost of Ownership and External Cost Assessment of Commercially Available Vehicles in Germany. Sustainability, 18(1), 170. https://doi.org/10.3390/su18010170

