Sign in to use this feature.

Years

Between: -

Subjects

remove_circle_outline
remove_circle_outline
remove_circle_outline
remove_circle_outline
remove_circle_outline
remove_circle_outline
remove_circle_outline
remove_circle_outline
remove_circle_outline

Journals

remove_circle_outline
remove_circle_outline
remove_circle_outline
remove_circle_outline
remove_circle_outline
remove_circle_outline
remove_circle_outline
remove_circle_outline
remove_circle_outline
remove_circle_outline
remove_circle_outline
remove_circle_outline
remove_circle_outline
remove_circle_outline
remove_circle_outline
remove_circle_outline

Article Types

Countries / Regions

remove_circle_outline
remove_circle_outline
remove_circle_outline
remove_circle_outline
remove_circle_outline

Search Results (1,251)

Search Parameters:
Keywords = laboratory-scale experiment

Order results
Result details
Results per page
Select all
Export citation of selected articles as:
15 pages, 5038 KB  
Article
Investigation of the Effects of Hydrogen-Based Mineral Phase Transformation Cooling on the Grinding Characteristics of Specific Iron Ore
by Shijie Zhou, Pengcheng Tian, Jianping Jin and Da Li
Separations 2026, 13(1), 25; https://doi.org/10.3390/separations13010025 - 9 Jan 2026
Abstract
Grinding is an essential process in mineral processing. Hydrogen-based mineral phase transformation, used to efficiently process refractory iron ores, can alter the physical and chemical properties of the ore, affecting its grinding characteristics. This paper uses iron ore from Baoshan, Shanxi Province, as [...] Read more.
Grinding is an essential process in mineral processing. Hydrogen-based mineral phase transformation, used to efficiently process refractory iron ores, can alter the physical and chemical properties of the ore, affecting its grinding characteristics. This paper uses iron ore from Baoshan, Shanxi Province, as the raw material for laboratory-scale hydrogen-based mineral phase transformation (HMPT) experiments and grinding tests. It examines the impact of four cooling methods on the ore’s grinding characteristics. The results show that samples cooled in a reducing atmosphere to 200 °C and then water-quenched exhibit the best relative grindability. For the same grinding time, the content of coarse-sized particles (+0.074 mm) in the product is lowest, while the fine-sized particles (−0.030 mm) is highest. The grinding kinetic parameters of the samples with this cooling method are the highest. After 2 min of grinding, the value of n is 1.3363, and the particle size distribution of the product is the most uniform. The BET and SEM test results indicate that samples with this cooling method have more internal pores, the largest pore size, and the most surface cracks and pores. This paper clarifies the effects of the HMPT cooling methods on grinding characteristics, providing a theoretical foundation for the efficient separation of iron ores. Full article
Show Figures

Figure 1

25 pages, 2868 KB  
Article
Integrated Experimental and Physics-Informed Neural Networks Assessment of Emissions from Pelleted Woody Biomass
by Nicolás Gutiérrez, Marcela Muñoz-Catalán, Álvaro González-Flores, Valeria Olea, Tomás Mora-Chandia and Robinson Betancourt Astete
Processes 2026, 14(2), 220; https://doi.org/10.3390/pr14020220 - 8 Jan 2026
Viewed by 51
Abstract
Accurately predicting pollutant emission factors (EFs) from woody biomass fuels remains challenging because small-scale combustion tests are fuel-specific, time-consuming, and highly sensitive to operating conditions. This study combines controlled laboratory combustion experiments with a physics-informed artificial neural network (ANN–PINN) to estimate the emission [...] Read more.
Accurately predicting pollutant emission factors (EFs) from woody biomass fuels remains challenging because small-scale combustion tests are fuel-specific, time-consuming, and highly sensitive to operating conditions. This study combines controlled laboratory combustion experiments with a physics-informed artificial neural network (ANN–PINN) to estimate the emission factors of particulate matter (EFPM), carbon monoxide (EFCO), and nitrogen oxides (EFNOx) using only laboratory-scale fuel characterization. Three pelletized woody biomass, Pinus radiata, Acacia dealbata, and Nothofagus obliqua, were analyzed through ultimate and proximate composition, lignin content, and TGA-derived parameters and tested in a residential pellet stove under identical control setpoints, resulting in a narrow and well-defined operating regime. A medium-depth ANN–PINN was constructed by integrating mechanistic constraints, monotonicity based on known emission trends and a weak carbon balance penalty, into a feed-forward neural network trained and evaluated using Leave-One-Out Cross-Validation. The model accurately reproduced the experimental behavior of EFCO and captured structured variability in EFPM, while the limited nitrogen variability of the fuels restricted generalization for EFNOx. Sensitivities derived via automatic differentiation revealed physically coherent relationships, demonstrating that PM emissions depend jointly on fuel chemistry and aero-thermal conditions, CO emissions are dominated by mixing and temperature, and NOx formation is primarily governed by fuel-bound nitrogen. When applied to external biomass fuels characterized independently in the literature, the ANN–PINN produced physically plausible predictions, highlighting its potential as a rapid, low-cost screening tool for assessing new biomass feedstocks and supporting cleaner residential heating technologies. The integrated experimental–PINN framework provides a physically consistent and data-efficient alternative to classical empirical correlations and purely data-driven ANN models. Full article
(This article belongs to the Special Issue Clean Combustion and Emission Control Technologies)
Show Figures

Figure 1

25 pages, 6507 KB  
Article
Potential of Thermal Sanitation of Stored Wheat Seeds by Flash Dry Heat as Protection Against Fungal Diseases
by Vladimír Brummer, Tomáš Juřena, Pavel Skryja, Melanie Langová, Jiří Bojanovský, Marek Pernica, Antonín Drda and Jan Nedělník
Appl. Sci. 2026, 16(2), 639; https://doi.org/10.3390/app16020639 - 7 Jan 2026
Viewed by 178
Abstract
The presented study aims to experimentally investigate the potential of flash sanitation (short time exposure to hot air stream) for wheat seeds to control surface contamination and protect against fungal diseases. Experiments were conducted at the laboratory scale using very short residence times [...] Read more.
The presented study aims to experimentally investigate the potential of flash sanitation (short time exposure to hot air stream) for wheat seeds to control surface contamination and protect against fungal diseases. Experiments were conducted at the laboratory scale using very short residence times (2–4 s) and higher temperature range (150–350 °C) of dry air stream at two different flow rates (280 L/min and 557 L/min). The goal was to identify thermal conditions that provide high sanitation efficiency while maintaining seed viability. A design of the experiment approach, employing central-composite design and face-centred response surface methodology, was used to evaluate the effects of the thermal treatment on seed surface temperature, sanitation efficiency, and germination capabilities. Higher air flow rate (557 L/min) significantly increased post-treatment seed surface temperatures (42.1–122.7 °C) compared to the flow rate of 280 L/min (36.7–80.5 °C). Pronounced germination drops were observed with air temperatures above 175 °C. Satisfactory sanitation efficiency >90% was achieved only with high-temperature air >250 °C, which, however, caused unacceptable germination loss. Extending residence time beyond the experimental plan is unlikely to yield significant benefits, as the factor was identified as weak and insignificant compared to temperature. Higher flow rates improve heat transfer but require strict control to prevent variability affecting seed quality. The heating media flow rate should be considered an essential factor in thermal treatment studies. Dry air has not proven to be appropriate for seeds’ flash sanitation within the selected experimental condition framework. Full article
(This article belongs to the Section Agricultural Science and Technology)
Show Figures

Figure 1

19 pages, 3659 KB  
Article
The Effect of Sewer-Derived Airflows on Air Pressure Dynamics in Building Drainage Systems
by Khanda Sharif and Michael Gormley
Buildings 2026, 16(2), 256; https://doi.org/10.3390/buildings16020256 - 7 Jan 2026
Viewed by 84
Abstract
The performance of a building drainage system, “BDS”, is determined by the complexity of internal airflow and pressure dynamics, governed by unsteady wastewater flows from randomly discharging appliances such as WCs, sinks, and baths. Designers attempt to optimise system safety by equalising pressure [...] Read more.
The performance of a building drainage system, “BDS”, is determined by the complexity of internal airflow and pressure dynamics, governed by unsteady wastewater flows from randomly discharging appliances such as WCs, sinks, and baths. Designers attempt to optimise system safety by equalising pressure and incorporating ventilation pipes and active devices such as AAVs and positive pressure reduction devices (PPRDs). However, failures within these systems can lead to foul gases and potentially hazardous microbes entering habitable spaces and posing a risk to public health. This study, for the first time, develops a novel model that simulates the effect of air from the sewer on BDS performance, which describes the correlation between system airflow and air pressure under the influence of air from the sewer. A combination of full-scale laboratory experiments representing a 3-storey building and real-world data from a 32-storey test rig configured as a building demonstrated that sewer air significantly modifies airflow and air pressure within a BDS. These findings are crucial for modern urban environments, where the prevalence of tall buildings amplifies the risks associated with air pressure transients. This work paves the way for updating codes to more effectively address real-world challenges. Full article
(This article belongs to the Section Building Energy, Physics, Environment, and Systems)
Show Figures

Figure 1

23 pages, 5498 KB  
Article
The Effect of a Cactus-Based Natural Coagulant on the Physical–Chemical and Bacteriological Quality of Drinking Water: Batch and Continuous Mode Studies
by Abderrezzaq Benalia, Ouiem Baatache, Kerroum Derbal, Amel Khalfaoui, Loqmen Atime, Antonio Pizzi, Gennaro Trancone and Antonio Panico
Water 2026, 18(2), 138; https://doi.org/10.3390/w18020138 - 6 Jan 2026
Viewed by 209
Abstract
Cactus leaves from the Cactaceae family, particularly the Opuntia genus, have attracted increasing attention as natural coagulants for water treatment applications. In this work, Cactus-based extracts were investigated for drinking water treatment through the coagulation–flocculation process. Several extraction routes were examined, including [...] Read more.
Cactus leaves from the Cactaceae family, particularly the Opuntia genus, have attracted increasing attention as natural coagulants for water treatment applications. In this work, Cactus-based extracts were investigated for drinking water treatment through the coagulation–flocculation process. Several extraction routes were examined, including Ca-J, Ca-H2O, Ca-NaOH (0.05 M), Ca-NaCl (0.5 M), and Ca-HCl (0.05 M), and their performance was evaluated using jar test experiments. The removal efficiencies of total coliforms (TC), anaerobic sulfite-reducing bacteria (ASRB), total suspended solids (TSS), and turbidity were assessed, and the most effective extract was subsequently tested in a semi-industrial pilot-scale coagulation–flocculation–settling system. The physicochemical properties of the Cactus material were characterized using FTIR, SEM, XRD, and MALDI-TOF analyses. Results revealed bioactive components, including carbohydrates, proteins, tannins, flavonoids, and glucose, with functional groups (carboxyl, hydroxyl, carbonyl) responsible for coagulation. XRD and SEM analyses showed a semi-crystalline structure and a heterogeneous surface with fiber networks, while MALDI-TOF confirmed the presence of flavonoid and tannin compounds. These features collectively contribute to the effective removal of turbidity, suspended solids, and microbial contaminants. Among the tested extracts, Ca-NaOH (0.05 M) exhibited the highest removal efficiencies, achieving 100% removal of TC and ASRB, 94.15% removal of TSS, and 70.38% turbidity reduction under laboratory conditions. Pilot-scale application of this extract resulted in a turbidity reduction of 66.65%. Additional water quality parameters, including total alkalinity (TA), total dissolved solids (TDS), pH, and electrical conductivity (EC), were monitored to evaluate process performance. Overall, the results highlight the strong potential of Cactus leaves as an effective, cost-efficient, and environmentally friendly alternative to conventional chemical coagulants. However, further research is required to enhance their scalability and commercialization. Full article
(This article belongs to the Section Water Quality and Contamination)
Show Figures

Figure 1

15 pages, 875 KB  
Article
Physicochemical Treatment of Electroplating Wastewater: Efficiency Evaluation and Process Optimization
by Joanna Boguniewicz-Zabłocka, Mary V. A. Corpuz and Vincenzo Naddeo
Processes 2026, 14(2), 182; https://doi.org/10.3390/pr14020182 - 6 Jan 2026
Viewed by 222
Abstract
Electroplating wastewater poses a serious environmental threat due to its high concentrations of heavy metals and persistent organic pollutants. This study evaluated the efficiency of a combined coagulation and activated carbon filtration process for the treatment of real electroplating wastewater containing Ni2+ [...] Read more.
Electroplating wastewater poses a serious environmental threat due to its high concentrations of heavy metals and persistent organic pollutants. This study evaluated the efficiency of a combined coagulation and activated carbon filtration process for the treatment of real electroplating wastewater containing Ni2+, Zn2+, Cu2+, and Cr6+ ions. The research was conducted in two stages. In the first stage, laboratory-scale experiments were performed to determine the optimal coagulant type (Fe- and Al-based), dosage, and pH (5.0–10.0) for contaminant removal. In the second stage, the selected operating conditions were applied and validated under real industrial plant conditions at a pilot scale. The laboratory studies demonstrated that the highest Cr removal efficiency was achieved using an iron-based coagulant (PIX), while polyaluminum chloride (PAX) proved most effective for the removal of Ni and Zn. Subsequent filtration through activated carbon further enhanced heavy metal removal, increasing overall efficiencies to above 90%. The reported removal efficiencies represent the overall performance of the integrated treatment process. The results confirm that the integration of chemical coagulation and activated carbon filtration is an effective, environmentally friendly, and economically viable approach for treating real electroplating wastewater, enabling compliance with current environmental standards. Full article
(This article belongs to the Special Issue Processes Development for Wastewater Treatment)
Show Figures

Figure 1

29 pages, 13647 KB  
Article
Research on Intelligent Wood Species Identification Method Based on Multimodal Texture-Dominated Features and Deep Learning Fusion
by Yuxiang Huang, Tianqi Zhu, Zhihong Liang, Hongxu Li, Mingming Qin, Ruicheng Niu, Yuanyuan Ma, Qi Feng and Mingbo Chen
Plants 2026, 15(1), 108; https://doi.org/10.3390/plants15010108 - 30 Dec 2025
Viewed by 204
Abstract
Aimed at the problems of traditional wood species identification relying on manual experience, slow identification speed, and insufficient robustness, this study takes hyperspectral images of cross-sections of 10 typical wood species commonly found in Puer, Yunnan, China, as the research object. It comprehensively [...] Read more.
Aimed at the problems of traditional wood species identification relying on manual experience, slow identification speed, and insufficient robustness, this study takes hyperspectral images of cross-sections of 10 typical wood species commonly found in Puer, Yunnan, China, as the research object. It comprehensively applies various spectral and texture feature extraction technologies and proposes an intelligent wood species identification method based on the fusion of multimodal texture-dominated features and deep learning. Firstly, an SOC710-VP hyperspectral imager is used to collect hyperspectral data under standard laboratory lighting conditions, and a hyperspectral database of wood cross-sections is constructed through reflectance calibration. Secondly, in the spectral space construction stage, a comprehensive similarity matrix is built based on four types of spectral similarity indicators. Representative bands are selected using two Max–Min strategies: partitioned quota and coverage awareness. Multi-scale wavelet fusion is performed to generate high-resolution fused images and extract interest point features. Thirdly, in the texture space construction stage, three types of texture feature matrices are generated based on the PCA first principal component map, and interest point features are extracted. Fourthly, in the complementary collaborative learning stage, the ST-former model is constructed. The weights of the trained SpectralFormer++ and TextureFormer are imported, and only the fusion weights are optimized and learned to realize category-adaptive spectral–texture feature fusion. Experimental results show that the overall classification accuracy of the proposed joint model reaches 90.27%, which is about 8% higher than that of single-modal models on average. Full article
Show Figures

Figure 1

18 pages, 2757 KB  
Article
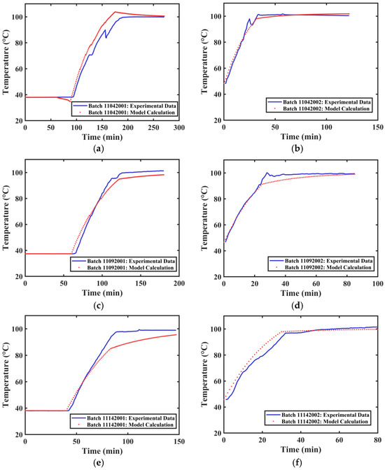
Heat Transfer Model for Traditional Chinese Medicine Extraction and Its Application in Laboratory and Industrial Equipment
by Gelin Wu, Feng Ding, Xinyan Zhao, Zhenfeng Wu, Xingchu Gong and Na Wan
Separations 2026, 13(1), 14; https://doi.org/10.3390/separations13010014 - 28 Dec 2025
Viewed by 233
Abstract
A semi-empirical lumped parameter model for the extraction process of traditional Chinese medicine based on thermal equilibrium was established in this work. In this model, the effect of heat dissipation was considered. Differential equations was solved using numerical methods. Key model parameters such [...] Read more.
A semi-empirical lumped parameter model for the extraction process of traditional Chinese medicine based on thermal equilibrium was established in this work. In this model, the effect of heat dissipation was considered. Differential equations was solved using numerical methods. Key model parameters such as the overall heat transfer coefficient and heat dissipation coefficient were obtained by fitting measured data. In the laboratory scale, Ginkgo biloba leaves were used as the liquid-solid extraction object to systematically investigate the effects of liquid-to-solid ratio, extraction temperature, solvent ratio, and slice particle size on the temperature changes during the extraction process. The average determination coefficient (R2) of the model fitting was 0.9955, and the R2 value for the prediction group was 0.9950. In the laboratory scale, extraction experiments of Xiaochaihu Decoction were conducted, and the performance of the model was verified. Furthermore, the model was applied to the mixed decoction process of five medicinal materials (Bupleurum, Glycyrrhiza, Scutellaria, Codonopsis, and Jujube) in industrial-scale for the production of Xiaochaihu capsules. The temperature change curves of three extraction tanks were all fitting well. The fitting results indicated abnormal heat transfer performance in Tank No. 1, providing a prompt for equipment maintenance and process optimization for the enterprise. A feasible method for temperature calculation and abnormal identification in the industrial process of traditional Chinese medicine extraction was provided in this work. Full article
Show Figures

Figure 1

18 pages, 16739 KB  
Article
Electrochemical Degradation Mechanism of Desert Sand Concrete Under the Combined Action of Electric Field and Sulfate
by Hong Wu, Yong Huang, Shisong Liu, Yubin Liu, Ting Liu, Baoxi Zuo and Sining Li
Sustainability 2026, 18(1), 176; https://doi.org/10.3390/su18010176 - 23 Dec 2025
Viewed by 157
Abstract
To promote the sustainable utilization of desert sand as a regional resource in the infrastructure construction of saline-alkali areas, this paper proposes an accelerated test method based on the coupling of an external electric field (60 V) and a 2% Na2SO [...] Read more.
To promote the sustainable utilization of desert sand as a regional resource in the infrastructure construction of saline-alkali areas, this paper proposes an accelerated test method based on the coupling of an external electric field (60 V) and a 2% Na2SO4 solution for rapid evaluation of its sulfate erosion resistance. The optimal mix proportion (FA 10%, water-to-binder ratio 0.33, cement-to-sand ratio 1:1.5, SF 10%) was determined through orthogonal experiments. By employing multi-scale analytical techniques including electrochemical impedance spectroscopy (EIS), scanning electron microscopy (SEM), X-ray diffraction (XRD) and thermal analysis (TG-DTG), the differentiated deterioration mechanisms driven by the electric field were systematically revealed. The results show that the charge-transfer resistance (Rct) decreased by about 95% within 28 d, demonstrating the characteristic of “micro-scale deterioration preceding macro-scale strength loss.” The anode region was dominated by dissolution of hydration products (porosity 5.1%), while the cathode region, due to enrichment of sulfate ions (S content 3.37 wt.%), generated a large amount of expansive products, leading to more pronounced structural damage (porosity 8.3%) and greater mass loss (cathode 12.56% > anode 9.85%). This study not only elucidates the deterioration mechanisms of desert sand concrete under coupled environmental action, but also provides a mechanism-explicit, rapid and efficient laboratory evaluation method for its sulfate resistance, offering practical guidance for durability design and prevention in engineering structures exposed to saline-alkali conditions. Full article
Show Figures

Figure 1

23 pages, 1563 KB  
Article
Sustainable Lipase Immobilization on Eggshell Membrane Carriers: Economic and LCA Insights at Laboratory Scale
by Marija Stjepanović, Marta Ostojčić, Ivica Strelec, Natalija Velić, Nghiep Nam Tran, Volker Hessel, Marc Escribà-Gelonch and Sandra Budžaki
Sustainability 2026, 18(1), 134; https://doi.org/10.3390/su18010134 - 22 Dec 2025
Viewed by 214
Abstract
This study presents a comprehensive economic and environmental evaluation of immobilized lipases produced on eggshell membrane-based carriers from eggshell waste, based on laboratory-scale experiments. By integrating economic analysis (EA) and life cycle analysis (LCA), the key factors affecting the economic viability and environmental [...] Read more.
This study presents a comprehensive economic and environmental evaluation of immobilized lipases produced on eggshell membrane-based carriers from eggshell waste, based on laboratory-scale experiments. By integrating economic analysis (EA) and life cycle analysis (LCA), the key factors affecting the economic viability and environmental impact of the process were identified, supporting sustainable and circular biorefinery concepts. The EA estimated the total process cost at EUR 25.63 for 15 g of product, while the effective net cost was negative (EUR −14.81) due to the valorization of anhydrous calcium chloride as a valuable by-product. The effective net cost reduction from by-product valorization of the immobilized lipase was estimated at 0.99 EUR/g as the minimum selling price (MSP). When expressed per unit of enzymatic activity, the immobilized lipase on the eggshell waste membrane-based carrier shows a substantially lower cost (EUR/U) compared with representative commercial immobilized lipases, demonstrating clear catalytic cost-efficiency advantages. The cradle-to-gate life cycle assessment, conducted using ReCiPe 2016 quantification methods, highlighted electricity consumption during drying as the primary environmental hotspot, accounting for up to 57% of the global warming potential. Sensitivity and uncertainty analyses showed that energy consumption strongly influences the impact in terms of climate change and fossil resource depletion, while the impact of chemical use was minimal. These results show that energy-efficient process optimization, especially in the drying phase, is crucial for further improving environmental and economic performance. These results indicate that optimizing energy efficiency, especially during the drying phase, is crucial for further improving the production process of immobilized lipases on eggshell membrane-based carriers, both environmentally and economically. Full article
Show Figures

Figure 1

20 pages, 1480 KB  
Article
Optimizing Organic Acid Leaching of Spent Lithium-Ion Batteries Using Material Flow Cost Accounting (MFCA)
by Jian-Zhi Wang, Yi-Chin Tang and Yun-Hwei Shen
Processes 2026, 14(1), 23; https://doi.org/10.3390/pr14010023 - 20 Dec 2025
Viewed by 343
Abstract
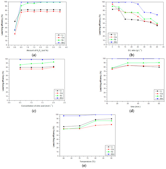
The rapid growth of electric vehicles has increased the demand for lithium-ion batteries, highlighting the need for sustainable recycling of spent cathode materials. This study combines laboratory-scale leaching experiments and Material Flow Cost Accounting (MFCA) to compare citric, tartaric, and succinic acids for [...] Read more.
The rapid growth of electric vehicles has increased the demand for lithium-ion batteries, highlighting the need for sustainable recycling of spent cathode materials. This study combines laboratory-scale leaching experiments and Material Flow Cost Accounting (MFCA) to compare citric, tartaric, and succinic acids for recovering Ni, Co, Mn, and Li. Under optimized conditions, citric acid achieved leaching efficiencies of 81.66% (Li), 76.05% (Co), 91.46% (Ni), and 98.94% (Mn) at a cost of USD 6.50 per 10 g battery; tartaric acid reached 87.29% (Li), 80.52% (Co), 95.79% (Ni), and 99.65% (Mn) at USD 17.23 per 10 g battery; succinic acid yielded 87.05% (Li), 73.82% (Co), 86.27% (Ni), and 99.12% (Mn) at USD 4.11 per 10 g battery. MFCA shows acid consumption dominates costs, suggesting reagent optimization and recycling could reduce expenses. These results provide a cost-oriented laboratory-scale perspective for selecting organic acids, while industrial feasibility requires further evaluation of scale-up, reagent regeneration, and process optimization. Full article
(This article belongs to the Section Sustainable Processes)
Show Figures

Figure 1

15 pages, 2527 KB  
Article
Improving Marine Mineral Delineation with Planar Self-Potential Data and Bayesian Inversion
by Lijuan Zhang, Shengfeng Feng, Shengcai Xu, Dingyu Huang, Hewang Li, Ying Su and Jing Xie
Minerals 2025, 15(12), 1330; https://doi.org/10.3390/min15121330 - 18 Dec 2025
Viewed by 214
Abstract
The exploration of marine minerals, essential for sustainable development, requires advanced techniques for accurate resource delineation. The self-potential (SP) method, sensitive to mineral polarization, has been increasingly deployed using autonomous underwater vehicles. This approach enables dense planar SP data acquisition, offering the potential [...] Read more.
The exploration of marine minerals, essential for sustainable development, requires advanced techniques for accurate resource delineation. The self-potential (SP) method, sensitive to mineral polarization, has been increasingly deployed using autonomous underwater vehicles. This approach enables dense planar SP data acquisition, offering the potential to reduce inversion uncertainties through enhanced data volume. This study investigates the benefits of inverting planar SP datasets for improving the spatial delineation of subsurface deposits. An analytical solution was derived to describe SP responses of spherical polarization models under a planar measurement grid. An adaptive Markov chain Monte Carlo algorithm within the Bayesian framework was employed to quantitatively assess the constraints imposed by the enriched dataset. The proposed methodology was validated through two synthetic cases, along with a laboratory-scale experiment that monitored the redox process of a spherical iron–copper model. The results showed that, compared to single-line data, the planar data reduced the average error in parameter means from 10.9% and 6.4% to 4.1% and 1.7% for synthetic and experimental cases, respectively. In addition, the 95% credible intervals of model parameters narrowed by nearly 50% and 40%, respectively. Full article
(This article belongs to the Section Mineral Exploration Methods and Applications)
Show Figures

Figure 1

20 pages, 3551 KB  
Article
Scaling Up a Heater System for Devulcanization of Off-Spec Latex Waste: A Two-Phase Feasibility Study
by Dalila Alias, Suganti Ramarad, Lik Yin Ng, Viknesh Andiappan, Jason B. C. Low, Fook Peng Leng, Jia Jia Leam and Denny K. S. Ng
Processes 2025, 13(12), 4062; https://doi.org/10.3390/pr13124062 - 16 Dec 2025
Viewed by 509
Abstract
Although rubber waste devulcanization has been widely studied, its industrial-scale implementation remains limited due to challenges in process scalability. This study examines the feasibility of devulcanizing off-spec latex waste through a two-phase approach involving laboratory and pilot-scale trials. The latex waste was sourced [...] Read more.
Although rubber waste devulcanization has been widely studied, its industrial-scale implementation remains limited due to challenges in process scalability. This study examines the feasibility of devulcanizing off-spec latex waste through a two-phase approach involving laboratory and pilot-scale trials. The latex waste was sourced from off-spec condom products composed of natural rubber latex. Laboratory-scale experiments were initially conducted to establish process parameters and generate baseline data, including gel content before and after the devulcanization process. Thermogravimetric analysis (TGA), gel permeation chromatography (GPC), and dynamic mechanical analysis (DMA) were employed. The laboratory findings have been used to design and operate the subsequent pilot-scale devulcanization process, using a retrofitted waste rubber machine. Samples from the pilot trials underwent the same analytical tests to assess consistency and process performance at scale. Results from the pilot scale experiments suggest that comparable levels of devulcanization were achieved, with gel contents of 52.5% and 55.2% achieved at the laboratory scale and pilot scale. GPC analysis confirmed a uniform distribution, with an increase in the number average molecular weight, indicating the scission of crosslinks in the sample. GPC analysis also revealed a decrease in dispersity index (Ð) value of 2.27 in lab scale conditions and 1.76 for pilot scale conditions, suggesting a more uniform molecular weight distribution and improved devulcanization efficiency, which enhances the possibility of recycling. The successful translation from lab-scale to the pilot setup highlights the process’s potential for industrial rubber recycling using retrofitted equipment. Full article
Show Figures

Figure 1

14 pages, 4003 KB  
Perspective
Advancing Aquatic Ecotoxicology Testing of Anticancer Drugs Through Mesocosms
by Andrea Carboni and Matteo Calvaresi
Molecules 2025, 30(24), 4787; https://doi.org/10.3390/molecules30244787 - 15 Dec 2025
Viewed by 324
Abstract
The widespread use of anticancer drugs (ACDs) in human therapies determines the occurrence of these potent cytotoxic chemicals into aquatic ecosystems. Nowadays, ACDs are ubiquitous contaminants in wastewater effluents and freshwater compartments, raising urgent questions about their environmental impact. Designed to disrupt cellular [...] Read more.
The widespread use of anticancer drugs (ACDs) in human therapies determines the occurrence of these potent cytotoxic chemicals into aquatic ecosystems. Nowadays, ACDs are ubiquitous contaminants in wastewater effluents and freshwater compartments, raising urgent questions about their environmental impact. Designed to disrupt cellular proliferation, these compounds are inherently bioactive and can exert toxic effects on non-target organisms even at trace concentrations. Conventional fate and toxicity tests provide important initial data but are limited in ecological realism, often focusing on single-specie and single-endpoint under controlled conditions and overlooking complex interactions, trophic dynamics, and long-term chronic exposures. Knowledge of all these aspects is needed for proper monitoring, assessment, and regulation of ACDs. Simulated ecosystem experiments, such as mesocosms, provide intermediate-scale, semi-controlled platforms for investigating real-world exposure scenarios, assessing ACD fate, and identifying both direct and indirect ecological effects. They offer distinct advantages for evaluating the chronic toxicity of persistent pollutants by enabling realistic long-term contamination simulations and supporting the simultaneous collection of comprehensive hazard and exposure endpoints. This perspective underscores the growing concern surrounding the contamination of ACDs, examines the limitations of traditional assessment approaches, and advocates for mesocosm-based studies as a critical bridge between laboratory research and ecosystem-level understanding. By integrating mesocosm experiments into environmental fate and risk evaluation, we can better predict the behavior and ecological consequences of anticancer pharmaceuticals, guiding strategies to mitigate their impact on aquatic life. Full article
Show Figures

Graphical abstract

33 pages, 2278 KB  
Review
Local Scour Around Tidal Stream Turbine Foundations: A State-of-the-Art Review and Perspective
by Ruihuan Liu, Ying Li, Qiuyang Yu and Dongzi Pan
J. Mar. Sci. Eng. 2025, 13(12), 2376; https://doi.org/10.3390/jmse13122376 - 15 Dec 2025
Viewed by 244
Abstract
Local scour around support structures has remained a critical barrier to tidal stream turbine deployment in energetic marine channels since loss of embedment and bearing capacity has undermined stability and delayed commercialization. This review identifies key mechanisms, practical implications, and forward-looking strategies related [...] Read more.
Local scour around support structures has remained a critical barrier to tidal stream turbine deployment in energetic marine channels since loss of embedment and bearing capacity has undermined stability and delayed commercialization. This review identifies key mechanisms, practical implications, and forward-looking strategies related to local scour. It highlights that rotor operation, small tip clearance, and helical wakes can significantly intensify near-bed shear stress and erosion relative to monopile foundations without turbine rotation. Scour behavior is compared across monopile, tripod, jacket, and gravity-based foundations under steady flow, reversing tides, and combined wave and current conditions, revealing their influence on depth and morphology. The review further assesses coupled interactions among waves, oscillatory currents, turbine-induced flow, and seabed response, including sediment transport, transient pore pressure, and liquefaction risk. Advances in prediction methods spanning laboratory experiments, high-fidelity simulations, semi-empirical models, and data-driven techniques are synthesized, and mitigation strategies are evaluated across passive, active, and eco-integrated approaches. Remaining challenges and specific research needs are outlined, including array-scale effects, monitoring standards, and integration of design frameworks. The review concludes with future directions to support safe, efficient, and sustainable turbine deployment. Full article
(This article belongs to the Special Issue Marine Renewable Energy and Environment Evaluation)
Show Figures

Figure 1

Back to TopTop