Heat Transfer Model for Traditional Chinese Medicine Extraction and Its Application in Laboratory and Industrial Equipment
Abstract
1. Introduction
2. Experimental Section
2.1. Materials
2.2. Ginkgo Biloba Leaf Extraction Experimental Conditions
2.3. Xiaochaihu Decoction Extraction
2.4. Industrial Extraction of Xiaochaihu Capsules
2.5. Modeling and Solution
2.5.1. Heat Transfer Process Modeling
2.5.2. Calculation
3. Results and Discussion
3.1. Application at Laboratory Scale: Ginkgo Biloba Leaf Extraction
3.1.1. Model Fitting
3.1.2. Using the Model for Prediction
3.2. Application at Laboratory Scale: Xiaochaihu Decoction Extraction
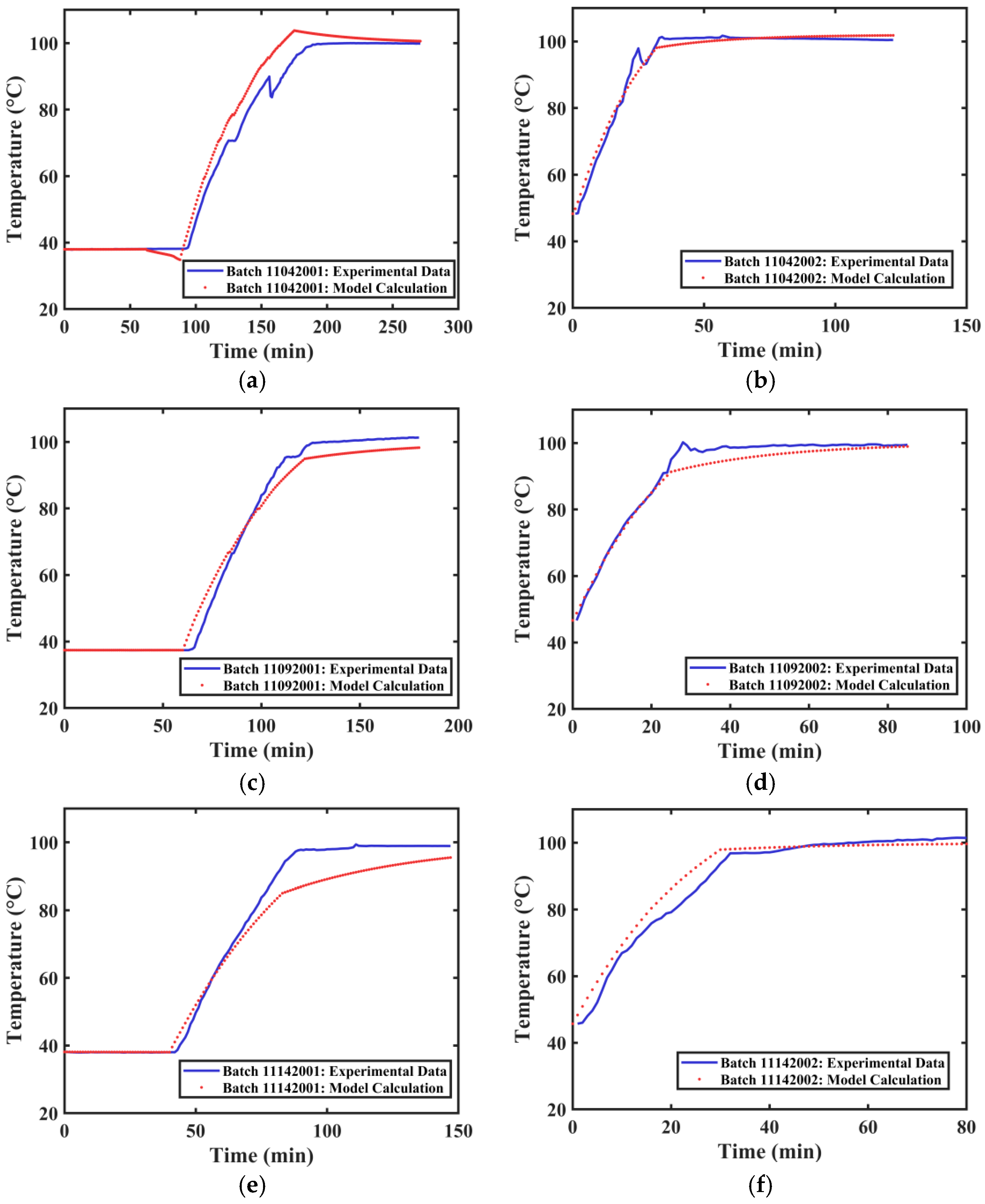
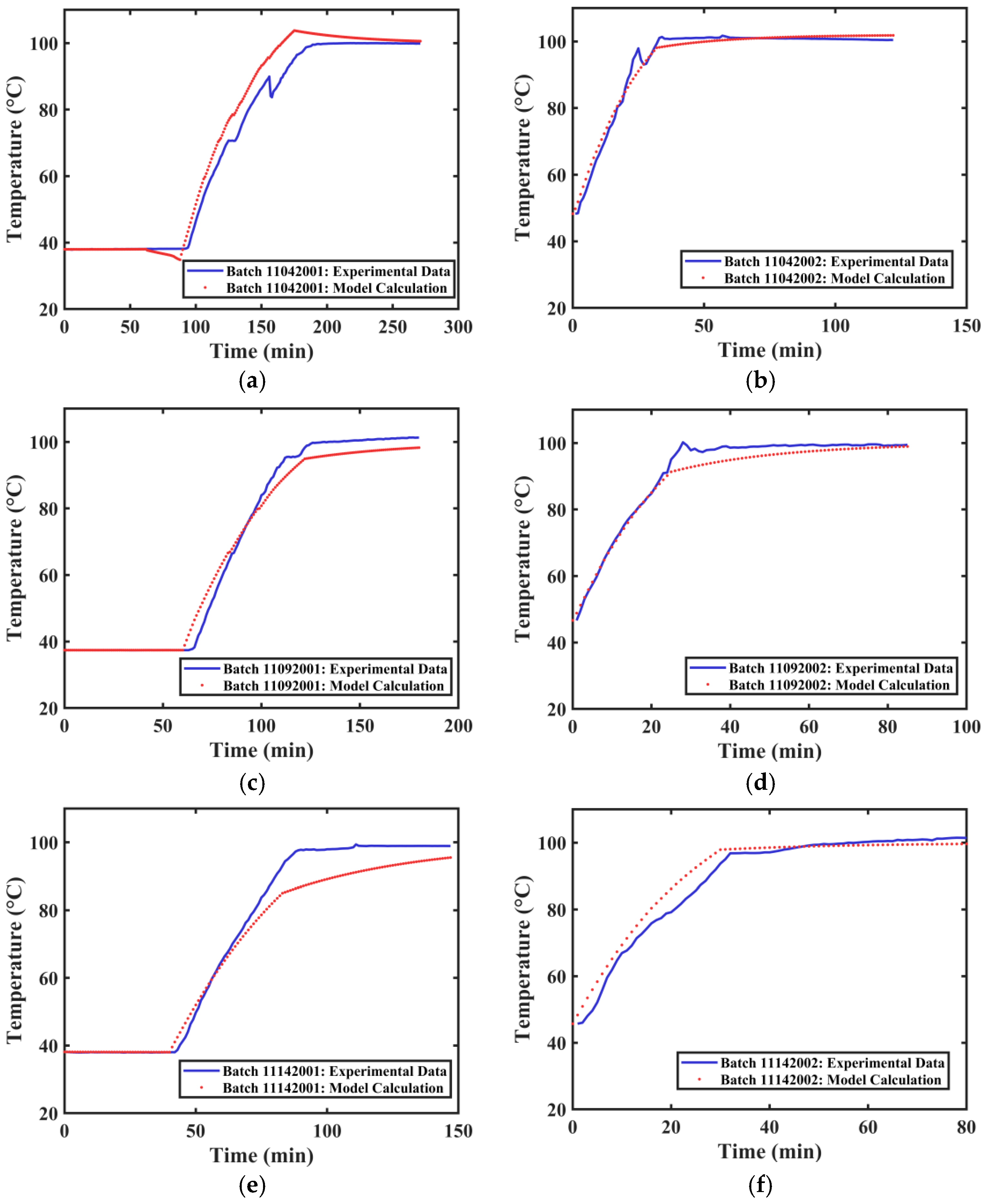
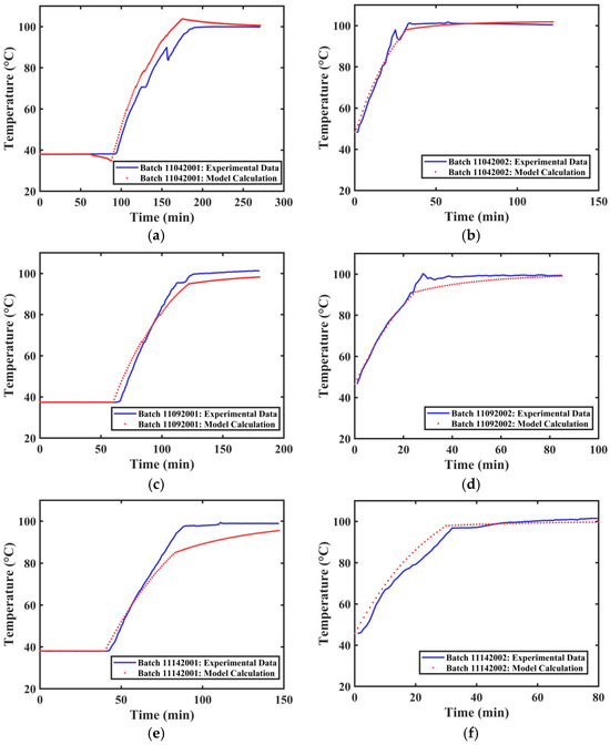
3.3. Application at Industrial Production Scale: Mixed Decoction of Five Herbs in Xiaochaihu Capsules
3.3.1. Fitting of Industrial Data
3.3.2. Discussion on Industrial Data Fitting Results
4. Conclusions
Author Contributions
Funding
Data Availability Statement
Conflicts of Interest
References
- Li, Z.; Cheng, N.; Zhao, X.; Tao, Y.; Xue, Q.; Gong, X.; Yu, Y.; Zhu, J.; Wang, Y. Studies on the best production mode of traditional Chinese medicine driven by artificial intelligence and its engineering application. China J. Chin. Mater. Med. 2025, 50, 3197–3203. (In Chinese) [Google Scholar]
- Krishnan, R.Y.; Rajan, K.S. Microwave assisted extraction of flavonoids from Terminalia bellerica: Study of kinetics and thermodynamics. Sep. Purif. Technol. 2016, 157, 169–178. [Google Scholar] [CrossRef]
- Kumar, R.; Oruna-Concha, M.J.; Methven, L.; Niranjan, K. Modelling extraction kinetics of betalains from freeze dried beetroot powder into aqueous ethanol solutions. J. Food Eng. 2023, 339, 10. [Google Scholar] [CrossRef]
- Durán, R.; Villa, A.L.; Ribeiro, R.; Rabi, J.A. Pectin Extraction from Mango Peels in Batch Reactor: Dynamic One-Dimensional Modeling and Lattice Boltzmann Simulation. Chem. Prod. Process Model. 2015, 10, 203–210. [Google Scholar] [CrossRef]
- Caroço, R.F.; Kim, B.; Santacoloma, P.A.; Abildskov, J.; Lee, J.H.; Huusom, J.K. Analysis and model-based optimization of a pectin extraction process. J. Food Eng. 2018, 244, 159–169. [Google Scholar] [CrossRef]
- Wang, W.; Ding, F.; Qu, H.; Gong, X. Mechanism modeling and application of Salvia miltiorrhiza percolation process. Sci. Rep. 2023, 13, 8311. [Google Scholar] [CrossRef] [PubMed]
- Miao, K. Dynamic Predictive Control of Traditional Chinese Medicine Extraction Process Based on Digital Twin. Master’s Thesis, Tianjin University of Traditional Chinese Medicine, Tianjin, China, 2023. (In Chinese). [Google Scholar]
- Liu, C.; Gao, H.; Wang, K. Temperature Control for Polysaccharide Precipitation in Traditional Chinese Medicine Based on Fuzzy Adaptive PID. Autom. Appl. 2019, 5, 29–31. (In Chinese) [Google Scholar] [CrossRef]
- Cheng, Y.; Cheng, W.; Zheng, Y. Temperature Control for Traditional Chinese Medicine Extraction Based on Adaptive Fuzzy PID. Control Eng. China 2009, 16, 527–530. (In Chinese) [Google Scholar]
- Wang, X.; Kang, C.; Wu, Z.; Li, Y.; Xu, S.; Yang, M. Simulation and Experiment of Temperature Uniformity during Hot Air Drying of Erzhi Pill. Chin. Tradit. Herb. Drugs 2020, 51, 1226–1232. (In Chinese) [Google Scholar]
- Huang, H.; Xie, Q.; Li, S. Modeling and Decoupling Control of the Extraction Process in Traditional Chinese Medicine Production. Manuf. Autom. 2013, 35, 47–50+67. (In Chinese) [Google Scholar]
- Yang, J.; He, F.; Liu, H.; Zhang, Y.; Zhou, Y.; Xiao, M.; Yang, Y.; Zhou, J. Comparative Study on the Extraction Kinetics of Chlorogenic Acid from Lonicera japonica and Lonicera hypoglauca. Chin. J. Inf. Tradit. Chin. Med. 2018, 25, 91–95. (In Chinese) [Google Scholar]
- Zhang, J.; Li, C.; Ge, L.; Qi, J.; Cao, S.; Zhang, H.; Dang, X.; Yang, B.; Ni, J. Study on the Suitability of Kinetic Models for the Extraction of Total Flavonoids from Drynaria Using Water Decoction. J. Beijing Univ. Tradit. Chin. Med. 2014, 37, 121–125. (In Chinese) [Google Scholar]
- Wang, X. Study on the Mechanism and Process Simulation of Enhanced Heat and Mass Transfer in Ultrasound-Coupled Vacuum Drying of Traditional Chinese Medicine Extracts. Ph.D. Thesis, Jiangxi University of Chinese Medicine, Nanchang, China, 2022. (In Chinese). [Google Scholar]
- Wang, X.; Wang, X.; Wu, Z.; Zhang, H.; Wang, Y.; Li, Y.; Zheng, Q.; Yi, B.; Liu, Z.; Wu, Z.; et al. Simulation and Experiment of Heat and Mass Transfer during Ultrasound-Assisted Vacuum Drying of Licorice Extract. Chin. Tradit. Herb. Drugs 2023, 54, 2056–2065. (In Chinese) [Google Scholar]
- Chen, Y.; Cai, M.; Qu, H.; Cheng, Y. Extraction Kinetic Model of Chinese Herbal Medicine Based on Cylindrical Structure. J. Zhejiang Univ. (Eng. Sci.) 2006, 9, 1600–1603. (In Chinese) [Google Scholar]
- Zhang, J. Study on Kinetic Models for Flavonoid Extraction from Five Rhizome Herbs. Master’s Thesis, Beijing University of Chinese Medicine, Beijing, China, 2014. (In Chinese). [Google Scholar]
- Chen, Z.; Xie, X.; Chen, S.; Fu, H.; Qu, H. Study on Salvia miltiorrhiza Extraction Kinetics Based on Data-Driven and Mechanism Modeling. Chin. Tradit. Herb. Drugs 2022, 53, 51–59. (In Chinese) [Google Scholar]
- Song, Y.; Wang, Y.; Gao, Y.; Zhang, C.; Qu, X.; Yang, H. Study on the Decoction Kinetics of Moringa oleifera Leaves Based on Decoction Factors-Multi-component Correlation Analysis. China J. Chin. Mater. Medica 2022, 47, 4950–4958. (In Chinese) [Google Scholar] [CrossRef]
- Gao, X. Simulation of Mass and Heat Transfer in Oak Leaves Under Hydrothermal Conditions. Master’s Thesis, Zhengzhou University, Henan, China, 2022. (In Chinese). [Google Scholar]
- Lan, J.; Fu, H.; Qu, H.; Gong, X. Energy Conservation and Production Efficiency Enhancement in Herbal Medicine Extraction: Self-Adaptive Decision-Making Boiling Judgment via Acoustic Emission Technology. Pharmaceuticals 2025, 18, 1556. [Google Scholar] [CrossRef] [PubMed]











| Experiment Number | Solid-to-Liquid Ratio (g/mL) | Extraction Temperature (°C) | Ethanol Concentration in Extraction Solvent (%) | Batch |
|---|---|---|---|---|
| 1 | 1:12 | 65 | 70 | A1 |
| 2 | 1:12 | 75 | 70 | A1 |
| 3 | 1:12 | 85 | 70 | A1 |
| 4 | 1:12 | 75 | 50 | A1 |
| 5 | 1:12 | 75 | 90 | A1 |
| 6 | 1:10 | 75 | 70 | A1 |
| 7 | 1:14 | 75 | 70 | A1 |
| 8 | 1:12 | 75 | 70 | A1 |
| 9 | 1:12 | 75 | 70 | A1 |
| 10 | 1:12 | 75 | 70 | A2 |
| 11 | 1:12 | 75 | 70 | A3 |
| Fitted Parameters | The 1st Time | The 2nd Time | The 3rd Time | Mean | Standard Deviation |
|---|---|---|---|---|---|
| Heat dissipation coefficient | 65.76 | 64.63 | 64.49 | 64.96 | 0.57 |
| Overall Heat Transfer Coefficient | 334.5 | 331.7 | 331.5 | 332.6 | 1.35 |
| Fitted Parameters Obtained | The 1st Time | the 2nd Time | the 3rd Time | Mean | Standard Deviation |
|---|---|---|---|---|---|
| Heat dissipation coefficient | 44.40 | 43.08 | 41.12 | 42.87 | 1.35 |
| Total Heat Transfer Coefficient | 87.87 | 87.38 | 86.55 | 87.27 | 0.54 |
| Extraction Tank | Fitted Parameters Obtained | The 1st Time | The 2nd Time | The 3rd Time | Mean | Standard Deviation |
|---|---|---|---|---|---|---|
| Tank 1 | Heat dissipation coefficient | 2.33 | 2.44 | 2.09 | 2.29 | 0.15 |
| Total heat transfer coefficient of the first extraction | 279.6 | 279.6 | 280.9 | 280.0 | 0.64 | |
| Total Heat Transfer Coefficient of the Second Extraction | 461.9 | 459.3 | 454.4 | 458.5 | 3.12 | |
| Tank 2 | Heat dissipation coefficient [W/(m2·K)] | 1.67 | 1.67 | 1.67 | 1.67 | 0.00 |
| Total heat transfer coefficient of the first extraction [W/(m2·K)] | 499.0 | 501.9 | 501.0 | 500.6 | 1.22 | |
| Total Heat Transfer Coefficient of the Second Extraction [W/(m2·K)] | 965.2 | 963.4 | 961.7 | 963.5 | 1.43 | |
| Tank 3 | Heat dissipation coefficient [W/(m2·K)] | 1.67 | 1.68 | 1.89 | 1.75 | 0.10 |
| Total heat transfer coefficient of the first extraction [W/(m2·K)] | 438.0 | 435.8 | 435.6 | 436.5 | 1.10 | |
| Total Heat Transfer Coefficient of the Second Extraction [W/(m2·K)] | 868.8 | 872.2 | 872.7 | 871.2 | 1.75 |
Disclaimer/Publisher’s Note: The statements, opinions and data contained in all publications are solely those of the individual author(s) and contributor(s) and not of MDPI and/or the editor(s). MDPI and/or the editor(s) disclaim responsibility for any injury to people or property resulting from any ideas, methods, instructions or products referred to in the content. |
© 2025 by the authors. Licensee MDPI, Basel, Switzerland. This article is an open access article distributed under the terms and conditions of the Creative Commons Attribution (CC BY) license.
Share and Cite
Wu, G.; Ding, F.; Zhao, X.; Wu, Z.; Gong, X.; Wan, N. Heat Transfer Model for Traditional Chinese Medicine Extraction and Its Application in Laboratory and Industrial Equipment. Separations 2026, 13, 14. https://doi.org/10.3390/separations13010014
Wu G, Ding F, Zhao X, Wu Z, Gong X, Wan N. Heat Transfer Model for Traditional Chinese Medicine Extraction and Its Application in Laboratory and Industrial Equipment. Separations. 2026; 13(1):14. https://doi.org/10.3390/separations13010014
Chicago/Turabian StyleWu, Gelin, Feng Ding, Xinyan Zhao, Zhenfeng Wu, Xingchu Gong, and Na Wan. 2026. "Heat Transfer Model for Traditional Chinese Medicine Extraction and Its Application in Laboratory and Industrial Equipment" Separations 13, no. 1: 14. https://doi.org/10.3390/separations13010014
APA StyleWu, G., Ding, F., Zhao, X., Wu, Z., Gong, X., & Wan, N. (2026). Heat Transfer Model for Traditional Chinese Medicine Extraction and Its Application in Laboratory and Industrial Equipment. Separations, 13(1), 14. https://doi.org/10.3390/separations13010014

