Sign in to use this feature.

Years

Between: -

Subjects

remove_circle_outline
remove_circle_outline
remove_circle_outline
remove_circle_outline
remove_circle_outline
remove_circle_outline
remove_circle_outline
remove_circle_outline
remove_circle_outline

Journals

remove_circle_outline
remove_circle_outline
remove_circle_outline
remove_circle_outline
remove_circle_outline
remove_circle_outline
remove_circle_outline

Article Types

Countries / Regions

remove_circle_outline
remove_circle_outline

Search Results (316)

Search Parameters:
Keywords = kinetic paths

Order results
Result details
Results per page
Select all
Export citation of selected articles as:
15 pages, 3441 KB  
Article
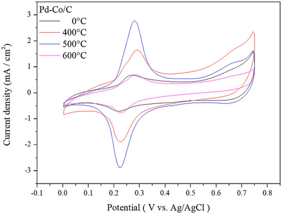
Performance Optimization Studies of Thermal Annealing on Pd-Co/C Cathode Electrocatalyst for Anion Exchange Membrane Fuel Cells
by Prithiv Vengatasalapathy, Ping-Hsun Chan, Fa-Cheng Su, Muhammad Javed Iqbal, Paweena Prapainainar and Hsiharng Yang
Catalysts 2025, 15(12), 1157; https://doi.org/10.3390/catal15121157 - 9 Dec 2025
Viewed by 317
Abstract
Anion exchange membrane fuel cells (AEMFCs) are the most feasible choice of catalyst due to their high efficiency and scale of commercialization. However, the challenge posed by the sluggish kinetics of AEMFCs can only be countered by an effective electrocatalyst that enhances the [...] Read more.
Anion exchange membrane fuel cells (AEMFCs) are the most feasible choice of catalyst due to their high efficiency and scale of commercialization. However, the challenge posed by the sluggish kinetics of AEMFCs can only be countered by an effective electrocatalyst that enhances the reaction kinetics and, thereby, the fuel cell performance. The Pd-Co/C cathode catalyst is a promising choice of electrocatalyst, with the phenomenon of alloying playing a key role at appropriate temperatures and residence time distributions of annealing due to the influence of the lattice parameter, electrochemically active surface area (ECSA), and particle size. After completing the synthesis of 20 wt.% Pd-Co/C, the catalyst was treated under various annealing and loading conditions. This was subsequently followed by a series of physicochemical and electrochemical characterizations that verified the successful synthesis of the catalyst material, paving a path to optimizing the annealing temperature, annealing residence time, and catalyst loading. Further, proceeding with the fuel cell test runs with multiple profiles of the above parameters resulted in the optimization of the annealing temperature, residence time of annealing, and catalyst loading, and it was subsequently concluded that the best performance of the fuel cell was achieved when the Pd-Co/C catalyst was annealed at 500 °C for a duration of 1 h and loaded at 0.25 mg/cm2, which resulted in an impeccable power density of 724 mW/cm2. Full article
Show Figures

Graphical abstract

25 pages, 21144 KB  
Article
Study on Improving the Stability of Steel Slag Fine Aggregate by Boiling Pretreatment Combined with Microbial Mineralization
by Zhe Wang, Haihe Yi, Whenyu Du, Dachao Jiang, Yonghua Jiao, Hongyi Zhao and Tian Su
Coatings 2025, 15(11), 1358; https://doi.org/10.3390/coatings15111358 - 20 Nov 2025
Viewed by 464
Abstract
The volume stability of steel slag fine aggregate (SSFA) is poor due to the hydration expansion of f-CaO/f-MgO, which limits its resource utilization. In this paper, a green modification route combining simple boiling water pretreatment with carbonic anhydrase (CA) -mediated microbial mineralization (MICP) [...] Read more.
The volume stability of steel slag fine aggregate (SSFA) is poor due to the hydration expansion of f-CaO/f-MgO, which limits its resource utilization. In this paper, a green modification route combining simple boiling water pretreatment with carbonic anhydrase (CA) -mediated microbial mineralization (MICP) was proposed and evaluated from macro–micro multi-scale. Compared with direct carbonization, CA-MICP accelerated CO2 hydration and carbonate precipitation. Boiling water pretreatment enhanced ion release and pore accessibility, and the two synergistically improved the reaction kinetics. At 0.3 MPa, 100 h boiling pretreatment combined with 12 h microbial mineralization (K8 group) performed best: CO2 absorption rate reached 4.98%, carbonization rate reached 3.93%; the content of f-CaO and f-MgO decreased to 0.16% and 0.12% (conversion rate 91.82% and 87.43%), respectively. The linear expansion of SSFA mortar decreased to 0.0176% after 55 h of water bath. XRD/FTIR showed that the carbonate peak was enhanced and the O-H characteristics were weakened. The weight loss of TG-DTG at 600–800 °C increased. SEM/BET observed that flake/cluster carbonates filled the pores and increased the interface density. Innovations: For the first time, the synergistic effect of boiling water pretreatment and CA-MICP was verified in the steel slag fine aggregate system, and a feasible process window was given to efficiently convert expansive oxides into stable carbonates, significantly improve volume stability, and provide a feasible path for the high-value utilization of SSFA. Full article
(This article belongs to the Section Environmental Aspects in Colloid and Interface Science)
Show Figures

Figure 1

19 pages, 13859 KB  
Article
Hybrid CFD-Deep Learning Approach for Urban Wind Flow Predictions and Risk-Aware UAV Path Planning
by Gonzalo Veiga-Piñeiro, Enrique Aldao-Pensado and Elena Martín-Ortega
Drones 2025, 9(11), 791; https://doi.org/10.3390/drones9110791 - 12 Nov 2025
Viewed by 734
Abstract
We present a CFD-driven surrogate modeling framework that integrates a Convolutional Autoencoder (CAE) with a Deep Neural Network (DNN) for the rapid prediction of urban wind environments and their subsequent use in UAV trajectory planning. A Reynolds-Averaged Navier–Stokes (RANS) CFD database is generated, [...] Read more.
We present a CFD-driven surrogate modeling framework that integrates a Convolutional Autoencoder (CAE) with a Deep Neural Network (DNN) for the rapid prediction of urban wind environments and their subsequent use in UAV trajectory planning. A Reynolds-Averaged Navier–Stokes (RANS) CFD database is generated, parameterized by boundary-condition descriptors, to train the surrogate for velocity magnitude and turbulent kinetic energy (TKE). The CAE compresses horizontal flow fields into a low-dimensional latent space, providing an efficient representation of complex flow structures. The DNN establishes a mapping from input descriptors to the latent space, and flow reconstructions are obtained through the frozen decoder. Validation against CFD demonstrates that the surrogate captures velocity gradients and TKE distributions with mean absolute errors below 1% in most of the domain, while residual discrepancies remain confined to near-wall regions. The approach yields a computational speed-up of approximately 4000× relative to CFD, enabling deployment on embedded or edge hardware. For path planning, the domain is discretized as a k-Non-Aligned Nearest Neighbors (k-NANN) graph, and an A* search algorithm incorporates heading constraints and surrogate-based TKE thresholds. The integrated pipeline produces turbulence-aware, dynamically feasible trajectories, advancing the integration of high-fidelity flow predictions into urban air mobility decision frameworks. Full article
Show Figures

Figure 1

16 pages, 6942 KB  
Article
Nonlinear Stochastic Wave Behavior: Soliton Solutions and Energy Analysis of Kairat-II and Kairat-X Systems
by Syed T. R. Rizvi, Lotfi Jlali, Iqra Anjum, Husnain Abad, Emad Solouma and Aly R. Seadawy
Fractal Fract. 2025, 9(11), 728; https://doi.org/10.3390/fractalfract9110728 - 11 Nov 2025
Viewed by 474
Abstract
We study stochastic variants of the Kairat-II and Kairat-X equations in (3 + 1) dimensions, two canonical models in soliton theory. Random fluctuations are incorporated through a Wiener process, yielding a multiplicative stochastic embedding of the wave fields. By combining the enhanced direct [...] Read more.
We study stochastic variants of the Kairat-II and Kairat-X equations in (3 + 1) dimensions, two canonical models in soliton theory. Random fluctuations are incorporated through a Wiener process, yielding a multiplicative stochastic embedding of the wave fields. By combining the enhanced direct algebraic technique with the new projective Riccati equation approach, we obtain closed-form stochastic soliton solutions and analyze how noise modulates their amplitude and localization. The solutions are illustrated with consistent 3D surface plots (mean field vs. sample paths) and 2D time traces to highlight wave geometry and variability. In addition, we employ the energy balance approach to separate kinetic and potential contributions and to verify an energy balance relation for the derived solutions, thereby clarifying their physical plausibility and stability under noise. The results provide exact, easily verifiable benchmarks for stochastic nonlinear wave models and a practical template for incorporating randomness into nonlinear dispersive systems. Full article
Show Figures

Figure 1

20 pages, 4476 KB  
Article
Effects of Permeability and Pyrite Distribution Heterogeneity on Pyrite Oxidation in Flooded Lignite Mine Dumps
by Tobias Schnepper, Michael Kühn and Thomas Kempka
Water 2025, 17(21), 3157; https://doi.org/10.3390/w17213157 - 4 Nov 2025
Viewed by 529
Abstract
The role of sedimentary heterogeneity in reactive transport processes is becoming increasingly important as closed open-pit lignite mines are converted into post-mining lakes or pumped hydropower storage reservoirs. Flooding of the open pits introduces constant oxygen-rich inflows that reactivate pyrite oxidation within internal [...] Read more.
The role of sedimentary heterogeneity in reactive transport processes is becoming increasingly important as closed open-pit lignite mines are converted into post-mining lakes or pumped hydropower storage reservoirs. Flooding of the open pits introduces constant oxygen-rich inflows that reactivate pyrite oxidation within internal mine dumps. A reactive transport model coupling groundwater flow, advection–diffusion–dispersion, and geochemical reactions was applied to a 2D cross-section of a water-saturated mine dump to determine the processes governing pyrite oxidation. Spatially correlated fields representing permeability and pyrite distributions were generated via exponential covariance models reflecting the end-dumping depositional architecture, supported by a suite of scenarios with systematically varied correlation lengths and variances. Simulation results covering a time span of 100 years quantify the impact of heterogeneous permeability fields that result in preferential flow paths, which advance tracer breakthrough by ~15 % and increase the cumulative solute outflux up to 139 % relative to the homogeneous baseline. Low initial pyrite concentrations (0.05 wt %) allow for deeper oxygen penetration, extending oxidation fronts over the complete length of the modeling domain. Here, high initial pyrite concentrations (0.5 wt %) confine reactions close to the inlet. Kinetic oxidation allows for more precise simulation of redox dynamics, while equilibrium assumptions substantially reduce the computational time (>10×), but may oversimplify the redox system. We conclude that reliable risk assessments for post-mining redevelopment should not simplify numerical models by assuming average homogeneous porosity and mineral distributions, but have to incorporate site-specific spatial heterogeneity, as it critically controls acid generation, sulfate mobilization, and the timing of contaminant release. Full article
Show Figures

Figure 1

11 pages, 1711 KB  
Article
Investigation on the Flow and Heat Transfer Behavior of Molten Steel During Continuous Casting
by Guohui Li, Fengming Du, Tianyi Li and Shuai Zhang
Computation 2025, 13(11), 257; https://doi.org/10.3390/computation13110257 - 2 Nov 2025
Viewed by 404
Abstract
The flow and heat transfer inside the mold play an important role in the quality of the casting billet during continuous casting. In this work, a three-dimensional coupled model of flow and heat transfer was established, and the flow field and temperature distribution [...] Read more.
The flow and heat transfer inside the mold play an important role in the quality of the casting billet during continuous casting. In this work, a three-dimensional coupled model of flow and heat transfer was established, and the flow field and temperature distribution characteristics of molten steel were explored in depth. The results indicated that the narrow impact position is 315 mm away from the meniscus. The maximum turbulence kinetic energy of the centerline reached 0.00284 m2∙s−2, 108 mm from the narrow surface. The temperature of the steel liquid on the path of the two splitting strands located in the upper and lower circulation zones was above 1781 K. The temperature range from the center of the billet to the narrow 1/4 section, which was enclosed by the upper annular flow zone and 400 mm below the liquid level, was relatively low and lower than the liquidus temperature. The model can provide guidance for improving and optimizing the quality of continuous casting billets. Full article
(This article belongs to the Special Issue Advances in Computational Methods for Fluid Flow)
Show Figures

Figure 1

36 pages, 3276 KB  
Review
The Use of Biomass Ash as a Catalyst in the Gasification Process—A Review
by Piotr Soprych and Grzegorz Czerski
Energies 2025, 18(21), 5653; https://doi.org/10.3390/en18215653 - 28 Oct 2025
Viewed by 916
Abstract
Biomass plays an important role in the energy transformation aimed at carbon neutrality, with its potential estimated at 1/3rd of the entire energy mix. One of the main ways of using biomass is combustion or co-combustion, which enables the production of heat and [...] Read more.
Biomass plays an important role in the energy transformation aimed at carbon neutrality, with its potential estimated at 1/3rd of the entire energy mix. One of the main ways of using biomass is combustion or co-combustion, which enables the production of heat and electricity while maintaining low emissions. A promising path to utilize the combustion by-product—ash—is the possibility of using it as a natural and cheap catalyst that can effectively support the process of solid fuel gasification. This paper reviews scientific studies on the properties of biomass ash and its use to support the gasification process. The issues related to the genesis of mineral matter in plants are presented, emphasizing the importance of its transformations during biomass combustion. Particular emphasis is placed on the characterization of biomass ash, which was carried out on the basis of a comprehensive overview of the results regarding its chemical composition. An analysis of the physicochemical and surface properties relevant to the use of biomass ashes as catalysts in the gasification process was performed. In addition, a review of studies on catalytic gasification of solid fuels using biomass ash was conducted, taking into account the impact of biomass ash on the most important parameters characterizing the course of the gasification reaction, i.e., reactivity, quality of the gaseous products, and the kinetics reaction. The summary compares the most important advantages and disadvantages of using biomass ashes in the gasification process along with recommendations for future research. Full article
(This article belongs to the Special Issue Pyrolysis and Gasification of Biomass and Waste, 3rd Edition)
Show Figures

Figure 1

23 pages, 1213 KB  
Article
Validation of the Simplified and Detailed Models of Mixed Polymer Combustion in a Small Fire in a Cargo Compartment
by Andrei Ponomarev and Rustam Mullyadzhanov
Fire 2025, 8(10), 403; https://doi.org/10.3390/fire8100403 - 16 Oct 2025
Viewed by 896
Abstract
This study validates numerical models for mixed polymer combustion in a B-707 aircraft cargo compartment against Federal Aviation Administration test data. A simplified approach using a predefined mass loss rate was compared with a detailed model coupling in-depth heat transfer and pyrolysis kinetics [...] Read more.
This study validates numerical models for mixed polymer combustion in a B-707 aircraft cargo compartment against Federal Aviation Administration test data. A simplified approach using a predefined mass loss rate was compared with a detailed model coupling in-depth heat transfer and pyrolysis kinetics based on the assumption of negligible co-pyrolysis effects. Both approaches reliably captured smoke dynamics and light transmission. The detailed model predicted the mass loss rate with high accuracy, matching the experimental value of 0.11 g/s at 200 s after the ignition. However, it significantly overpredicted the heat release rate with a peak value of 8 kW versus 5 kW in the experiment. This discrepancy was examined through a sensitivity analysis of key parameters: the radiative fraction, heat of combustion, turbulence model, and pyrolysis kinetics. The Smagorinsky model best captures the growth pattern of the heat release and mass loss rates, despite its larger deviation from the experimental data compared to other models. The analysis revealed that the radiative fraction and the activation energy of high heat-of-combustion materials like high-density polyethylene are the most influential parameters. One possible solution to the overestimation is the calibration of the activation energy and heat of combustion values for high-energy materials like HDPE. The results confirm the detailed model’s physical realism for fire spread modeling and highlight a path for improving its heat release rate predictions. Further investigation is required across a wider range of computational cases with varying sample mass fractions, compositions, geometries, and boundary conditions to establish the broader applicability of this approach. Full article
(This article belongs to the Special Issue Sooting Flame Diagnostics and Modeling)
Show Figures

Figure 1

20 pages, 7865 KB  
Article
Study on Development of Hydrogen Peroxide Generation Reactor with Pin-to-Water Atmospheric Discharges
by Sung-Young Yoon, Eun Jeong Hong, Junghyun Lim, Seungil Park, Sangheum Eom, Seong Bong Kim and Seungmin Ryu
Plasma 2025, 8(4), 41; https://doi.org/10.3390/plasma8040041 - 14 Oct 2025
Viewed by 795
Abstract
We present an experimentally validated, engineering-oriented framework for the design and operation of pin-to-water (PTW) atmospheric discharges to produce hydrogen peroxide (H2O2) on demand. Motivated by industrial needs for safe, point-of-use oxidant supply, we combine time-resolved diagnostics (FTIR, OES), [...] Read more.
We present an experimentally validated, engineering-oriented framework for the design and operation of pin-to-water (PTW) atmospheric discharges to produce hydrogen peroxide (H2O2) on demand. Motivated by industrial needs for safe, point-of-use oxidant supply, we combine time-resolved diagnostics (FTIR, OES), liquid-phase analysis (ion chromatography, pH, conductivity), and coupled plasma-chemistry/fluid simulations to link plasma state to aqueous H2O2 yield. Under the tested conditions (14.3 kHz, 0.2 kW; electrode to quartz wall distance 12–14 mm; coolant setpoints 0–40 °C), H2O2 concentration follows a reproducible non-monotonic trajectory: rapid accumulation during the early treatment (typical peak at ~15–25 min), followed by decline with continued operation. The decline coincides with a robust vibrational-temperature (Tvib) threshold near ~4900 K measured from N2 emission, and with concurrent NOX accumulation and bulk acidification. Global chemistry modeling and Fluent flow fields reproduce the observed trend and show that both vibrational excitation (kinetics) and convective transport (mass/heat transfer) determine the productive time window. Based on these results, we formulate practical design rules—electrode gap (power density), discharge current control, thermal/flow management, water quality, and OES-based Tvib monitoring with an automated stop rule—that maximize H2O2 yield while avoiding NOX-dominated suppression. The study provides a clear path for transforming mechanistic plasma insights into deployable, industrial H2O2 generator designs. Full article
(This article belongs to the Special Issue Feature Papers in Plasma Sciences 2025)
Show Figures

Figure 1

15 pages, 850 KB  
Article
The Effects of p-Coumaric Acid on the Quality of Cryopreserved Boar Spermatozoa
by Han Li, Han Zhang, Yingying Dong, Yanbing Li and Jingchun Li
Biology 2025, 14(10), 1406; https://doi.org/10.3390/biology14101406 - 13 Oct 2025
Viewed by 535
Abstract
This research explored the effects of different concentrations of p-coumaric acid (PCA) on the quality of frozen-thawed boar semen. Boar sperm samples were pre-treated with different concentrations of PCA (0, 30, 60, 90, 120 μg/mL) prior to the freezing process. Subsequently, multiple parameters [...] Read more.
This research explored the effects of different concentrations of p-coumaric acid (PCA) on the quality of frozen-thawed boar semen. Boar sperm samples were pre-treated with different concentrations of PCA (0, 30, 60, 90, 120 μg/mL) prior to the freezing process. Subsequently, multiple parameters were analyzed post-freeze-thawing, including sperm morphological and kinetic characteristics, acrosome and membrane integrity, mitochondrial function, DNA integrity, antioxidant enzyme activities, the expression levels of the BCL-2, BAX, and Caspase-3 proteins, the in vitro fertilization rate of porcine oocytes, and the embryo cleavage rate. The findings indicated that, compared with the control group, the addition of 90 μg/mL PCA led to significant improvements in several key aspects. Sperm motility, average path velocity, straight-line velocity, curvilinear velocity, and beat cross frequency were all notably enhanced. Moreover, parameters related to sperm quality, such as acrosome integrity, plasma membrane integrity, mitochondrial activity, and DNA integrity, also showed significant increases (all p < 0.05). In terms of antioxidant capacity, the 90 μg/mL PCA treatment significantly elevated the total antioxidant capacity, as well as the activities of superoxide dismutase, glutathione peroxidase, and catalase. Simultaneously, it caused a significant reduction in the contents of malondialdehyde and hydrogen peroxide (p < 0.05). Regarding protein expression, the addition of 90 μg/mL PCA significantly upregulated the expression level of the BCL-2 protein, while downregulating the relative expression levels of BAX and Caspase-3 (p < 0.05). Additionally, this concentration of PCA significantly improved the in vitro fertilization rate of porcine oocytes and the embryo cleavage rate (p < 0.05). In conclusion, incorporating PCA into the semen extender can potentially be advantageous for the cryopreservation of boar sperm, with 90 μg/mL being the optimal concentration. Full article
(This article belongs to the Section Developmental and Reproductive Biology)
Show Figures

Figure 1

21 pages, 1538 KB  
Article
SarcoNet: A Pilot Study on Integrating Clinical and Kinematic Features for Sarcopenia Classification
by Muthamil Balakrishnan, Janardanan Kumar, Jaison Jacob Mathunny, Varshini Karthik and Ashok Kumar Devaraj
Diagnostics 2025, 15(19), 2513; https://doi.org/10.3390/diagnostics15192513 - 3 Oct 2025
Viewed by 738
Abstract
Background and Objectives: Sarcopenia is a progressive loss of skeletal muscle mass and function in elderly adults, posing a significant risk of frailty, falls, and morbidity. The current study designs and evaluates SarcoNet, a novel artificial neural network (ANN)-based classification framework developed in [...] Read more.
Background and Objectives: Sarcopenia is a progressive loss of skeletal muscle mass and function in elderly adults, posing a significant risk of frailty, falls, and morbidity. The current study designs and evaluates SarcoNet, a novel artificial neural network (ANN)-based classification framework developed in order to classify Sarcopenic from non-Sarcopenic subjects using a comprehensive real-time dataset. Methods: This pilot study involved 30 subjects, who were divided into Sarcopenic and non-Sarcopenic groups based on physician assessment. The collected dataset consists of thirty-one clinical parameters like skeletal muscle mass, which is collected using various equipment such as Body Composition Analyser, along with ten kinetic features which are derived from video-based gait analysis of joint angles obtained during walking on three terrain types such as slope, steps, and parallel path. The performance of the designed ANN-based SarcoNet was benchmarked against the traditional machine learning classifiers utilised including Support Vector Machine (SVM), k-Nearest Neighbours (k-NN), and Random Forest (RF), as well as hard and soft voting ensemble classifiers. Results: SarcoNet achieved the highest overall classification accuracy of about 94%, with a specificity and precision of about 100%, an F1-score of about 92.4%, and an AUC of 0.94, outperforming all other models. The incorporation of lower-limb joint kinetics such as knee flexion, extension, ankle plantarflexion and dorsiflexion significantly enhanced predictive capability of the model and thus reflecting the functional deterioration characteristic of muscles in Sarcopenia. Conclusions: SarcoNet provides a promising AI-driven solution in Sarcopenia diagnosis, especially in low-resource healthcare settings. Future work will focus on improving the dataset, validating the model across diverse populations, and incorporating explainable AI to improve clinical adoption. Full article
(This article belongs to the Section Machine Learning and Artificial Intelligence in Diagnostics)
Show Figures

Figure 1

20 pages, 3126 KB  
Review
Integrated Pretreatment and Microbial Matching for PHA Production from Lignocellulosic Agro-Forestry Residues
by Dongna Li, Shanshan Liu, Qiang Wang, Xiaojun Ma and Jianing Li
Fermentation 2025, 11(10), 563; https://doi.org/10.3390/fermentation11100563 - 29 Sep 2025
Viewed by 1338
Abstract
Lignocellulosic agro-forestry residues (LARs), such as rice straw, sugarcane bagasse, and wood wastes, are abundant and low-cost feedstocks for polyhydroxyalkanoate (PHA) bioplastics. However, their complex cellulose–hemicellulose–lignin matrix requires integrated valorization strategies. This review presents a dual-framework approach: “pretreatment–co-substrate compatibility” and “pretreatment–microbial platform matching”, [...] Read more.
Lignocellulosic agro-forestry residues (LARs), such as rice straw, sugarcane bagasse, and wood wastes, are abundant and low-cost feedstocks for polyhydroxyalkanoate (PHA) bioplastics. However, their complex cellulose–hemicellulose–lignin matrix requires integrated valorization strategies. This review presents a dual-framework approach: “pretreatment–co-substrate compatibility” and “pretreatment–microbial platform matching”, to align advanced pretreatment methods (including deacetylation–microwave integration, deep eutectic solvents, and non-sterilized lignin recovery) with engineered or extremophilic microbial hosts. A “metabolic interaction” perspective on co-substrate fermentation, encompassing dynamic carbon flux allocation, synthetic consortia cooperation, and one-pot process coupling, is used to elevate PHA titers and tailor copolymer composition. In addition, we synthesize comprehensive kinetic analyses from the literature that elucidate microbial growth, substrate consumption, and dynamic carbon flux allocation under feast–famine conditions, thereby informing process optimization and scalability. Microbial platforms are reclassified as broad-substrate, process-compatible, or product-customized categories to emphasize adaptive evolution, CRISPR-guided precision design, and consortia engineering. Finally, next-generation techno-economic analyses, embracing multi-product integration, regional adaptation, and carbon-efficiency metrics, are surveyed to chart viable paths for scaling LAR-to-PHA into circular bioeconomy manufacturing. Full article
Show Figures

Figure 1

14 pages, 5010 KB  
Article
Block Copolymer-Templated Synthesis of Fe–Ni–Co-Modified Nanoporous Alumina Films
by Chinemerem Ozoude, Vasanta Gurung, Khalil D. Omotosho, Elena V. Shevchenko and Diana Berman
Appl. Sci. 2025, 15(19), 10473; https://doi.org/10.3390/app151910473 - 27 Sep 2025
Viewed by 903
Abstract
Despite intense interest in the catalytic potential of transition metal oxide heterostructures, originating from their large surface area and tunable chemistry, the fabrication of well-defined multicomponent oxide coatings with controlled architectures remains challenging. Here, we demonstrate a simple and effective swelling-assisted sequential infiltration [...] Read more.
Despite intense interest in the catalytic potential of transition metal oxide heterostructures, originating from their large surface area and tunable chemistry, the fabrication of well-defined multicomponent oxide coatings with controlled architectures remains challenging. Here, we demonstrate a simple and effective swelling-assisted sequential infiltration synthesis (SIS) strategy to fabricate hierarchically porous multicomponent metal-oxide electrocatalysts with tunable bimetallic composition. A combination of solution-based infiltration (SBI) of transition metals, iron (Fe), nickel (Ni), and cobalt (Co), into a block copolymer (PS73-b-P4VP28) template, followed by vapor-phase infiltration of alumina using sequential infiltration synthesis (SIS), was employed to synthesize porous, robust, conformal and transparent multicomponent metal-oxide coatings like Fe/AlOx, Fe+Ni/AlOx, and Fe+Co/AlOx. Electrochemical assessments for the oxygen evolution reaction (OER) in a 0.1 M KOH electrolyte demonstrated that the Fe+Ni/AlOx composite exhibited markedly superior catalytic activity, achieving an impressive onset potential of 1.41 V and a peak current density of 3.29 mA/cm2. This superior activity reflects the well-known synergistic effect of alloying transition metals with a trace of Fe, which facilitates OER kinetics. Overall, our approach offers a versatile and scalable path towards the design of stable and efficient catalysts with tunable nanostructures, opening new possibilities for a wide range of electrochemical energy applications. Full article
Show Figures

Figure 1

11 pages, 1743 KB  
Article
Probing Cold Supersonic Jets with Optical Frequency Combs
by Romain Dubroeucq, Quentin Le Mignon, Julien Lecomte, Nicolas Suas-David, Robert Georges and Lucile Rutkowski
Molecules 2025, 30(19), 3863; https://doi.org/10.3390/molecules30193863 - 24 Sep 2025
Viewed by 569
Abstract
We report high-resolution, cavity-enhanced direct frequency comb Fourier transform spectroscopy of cold acetylene (C2H2) molecules in a planar supersonic jet expansion. The experiment is based on a near-infrared frequency comb with a 300 MHz effective repetition rate, matched to [...] Read more.
We report high-resolution, cavity-enhanced direct frequency comb Fourier transform spectroscopy of cold acetylene (C2H2) molecules in a planar supersonic jet expansion. The experiment is based on a near-infrared frequency comb with a 300 MHz effective repetition rate, matched to a high-finesse enhancement cavity traversing the jet. The rotational and translational cooling of acetylene was achieved via expansion in argon carrier gas through a slit nozzle. By interleaving successive mode-resolved spectra measured at different comb repetition rates, we retrieved full absorption line profiles. Spectroscopic analysis reveals sharp, Doppler-limited transitions corresponding to a jet core rotational temperature below 7 K. Frequency comb and cavity stabilization were achieved through active Pound–Drever–Hall locking and mechanical vibration damping, enabling a spectral precision better than 2 MHz, limited by the vibrations induced by the pumping system. The demonstrated sensitivity reaches a minimum detectable absorption of 7.8 × 10−7 cm−1 over an 18 m effective path length in the jet core. This work illustrates the potential of cavity-enhanced direct frequency comb spectroscopy for precise spectroscopic characterization of cold supersonic expansions, with implications for studies in molecular dynamics, reaction kinetics, and laboratory astrophysics. Full article
(This article belongs to the Special Issue Molecular Spectroscopy and Molecular Structure in Europe)
Show Figures

Graphical abstract

16 pages, 4620 KB  
Article
Ethanol Molecule Engineering Toward Stabilized 1T-MoS2 with Extraordinary Sodium Storage Performance
by Xue’er Bi, Xuelian Wang, Xiaobo Shen, Haijun Yu, Xian Zhang and Jin Bai
Molecules 2025, 30(18), 3801; https://doi.org/10.3390/molecules30183801 - 18 Sep 2025
Cited by 1 | Viewed by 537
Abstract
Phase molybdenum disulfide (1T-MoS2) holds significant promise as an anode material for sodium-ion batteries (SIBs) due to its metallic conductivity and expanded interlayer distance. However, the practical application of 1T-MoS2 is hindered by its inherent thermodynamic metastability, which poses substantial [...] Read more.
Phase molybdenum disulfide (1T-MoS2) holds significant promise as an anode material for sodium-ion batteries (SIBs) due to its metallic conductivity and expanded interlayer distance. However, the practical application of 1T-MoS2 is hindered by its inherent thermodynamic metastability, which poses substantial challenges for the synthesis of high-purity, long-term stable 1T phase MoS2. Herein, a synergetic ethanol molecule intercalation and electron injection engineering is adopted to induce the formation and stabilization of 1T-MoS2 (E-1T MoS2). The obtained E-1T MoS2 consists of regularly arranged sphere-like ultrasmall few-layered 1T-MoS2 nanosheets with expanded interlayer spacing. The high intrinsic conductivity and enlarged interlayer spacing are greatly favorable for rapid Na+ or e transport. The elaborated nanosheets structure can effectively relieve volume variation during Na+ intercalating/deintercalating processes, shorten transport path of Na+, and enhance diffusion kinetics. Furthermore, a novel sodium reaction mechanism involving the formation of MoS2 nanoclusters during cycling is revealed to produce the higher surface pseudocapacitive contribution to Na+ storage capacity, accelerating Na+ reaction kinetics, as confirmed by the kinetics analysis and ex-situ structural characterizations. Consequently, the E-1T MoS2 electrode exhibits an excellent sodium storage performance. This work provides an important reference for synthesis and reaction mechanism analysis of metastable metal sulfides for advanced SIBs. Full article
Show Figures

Graphical abstract

Back to TopTop