Sign in to use this feature.

Years

Between: -

Subjects

remove_circle_outline
remove_circle_outline
remove_circle_outline
remove_circle_outline
remove_circle_outline
remove_circle_outline
remove_circle_outline
remove_circle_outline
remove_circle_outline

Journals

Article Types

Countries / Regions

Search Results (227)

Search Parameters:
Keywords = jet drops

Order results
Result details
Results per page
Select all
Export citation of selected articles as:
21 pages, 10860 KB  
Article
The Effect of Build Orientation and Heat Treatment on Properties of Molten Metal Jetted AlSi7Mg Aluminum Alloy
by Usama Abdullah Rifat, Khushbu Zope, Paarth Mehta, Valeria Marin-Montealegre and Denis Cormier
Metals 2026, 16(4), 363; https://doi.org/10.3390/met16040363 - 25 Mar 2026
Viewed by 185
Abstract
Molten Metal Jetting (MMJ) is an emerging metal additive manufacturing process that produces components via on-demand jetting of discrete droplets. This paper reports properties of T6 heat-treated AlSi7Mg alloy produced in different build orientations via MMJ. A Xerox ElemX machine was used to [...] Read more.
Molten Metal Jetting (MMJ) is an emerging metal additive manufacturing process that produces components via on-demand jetting of discrete droplets. This paper reports properties of T6 heat-treated AlSi7Mg alloy produced in different build orientations via MMJ. A Xerox ElemX machine was used to print AlSi7Mg coupons in horizontal, tilted, and vertical orientations. The aluminum feedstock was melted at 825 °C and was printed onto a 475 °C heated print bed using a jetting frequency of 400 Hz and a drop spacing of 500 μm. Coupons were heat treated to a T6 temper. The average yield strengths of heat-treated coupons in vertical and horizontal orientations were 240.4 ± 7.3 MPa and 244.6 ± 7.1 MPa respectively. This indicates that the vertical build orientation had minimal adverse effect on strength. However, average strain (11.5% ± 1.2% versus 14.6% ± 3.5%) values for the vertical and horizontal orientations, respectively, showed more pronounced effects. X-ray CT analysis of vertically oriented coupons revealed increases in porosity in material deposited above heights of ~90 mm. Above this build height, the measured surface temperature dropped below ~455 °C. External heating methods are therefore advised in order to maintain a surface temperature ≥ 455 ° and avoid excess porosity. Full article
Show Figures

Figure 1

26 pages, 5614 KB  
Article
Experimental and Simulation Study on Liquid Entrainment in the Gas Cyclone–Liquid Jet Absorption Separator
by Liang Ma, Yang Su, Anlin Liu, Zhisheng Zhao, Junhong Wu, Xiaoxu Duan and Yuting Zhang
Processes 2026, 14(6), 929; https://doi.org/10.3390/pr14060929 - 15 Mar 2026
Viewed by 322
Abstract
Liquid entrainment presents a significant challenge in wet flue gas desulfurization systems, leading to downstream corrosion and secondary pollution. This study systematically investigates the characteristics of liquid entrainment and pressure drop in a gas cyclone–liquid jet absorption separator (GLAS) through both experimental and [...] Read more.
Liquid entrainment presents a significant challenge in wet flue gas desulfurization systems, leading to downstream corrosion and secondary pollution. This study systematically investigates the characteristics of liquid entrainment and pressure drop in a gas cyclone–liquid jet absorption separator (GLAS) through both experimental and simulation methods. The effects of inlet gas flow rate (QG), absorbent flow rate (QL), overflow pipe insertion depth, and the presence of a liquid-guiding cover (LGC) were evaluated. The results revealed that liquid entrainment initially increased and then decreased with rising QG, QL, and insertion depth of overflow pipe, given the competing effects of turbulent jet breakup and centrifugal separation. To mitigate liquid entrainment, a novel LGC was introduced at the overflow pipe outlet. This intervention resulted in a reduction in liquid entrainment by up to 23.9%, achieved through physical interception and inertial impaction, while maintaining the difference value of pressure drop of less than 302 Pa. The numerical simulations further analyzed the gas–liquid two-phase distributions in GLAS under various operating conditions, with results that align well with experimental observations. These findings offer valuable insights for mitigating liquid entrainment in GLAS and optimizing its industrial applications. Full article
(This article belongs to the Section Separation Processes)
Show Figures

Figure 1

17 pages, 1538 KB  
Article
Effect of Low Temperatures on Blends of Jet A-1 Aviation Kerosene and FAME Biofuel—Case Study
by Marián Hocko, Michal Hovanec, Ivana Kolarikova and Volodymyr Tymofiiv
Sustainability 2026, 18(4), 2069; https://doi.org/10.3390/su18042069 - 18 Feb 2026
Viewed by 464
Abstract
Growing pressure to decarbonize aviation has accelerated the search for alternative fuels to replace conventional Jet A-1 kerosene, with renewable biofuels attracting significant interest. While early demonstrations of kerosene–biofuel blends have been successful, they also introduce new operational challenges. This study examines the [...] Read more.
Growing pressure to decarbonize aviation has accelerated the search for alternative fuels to replace conventional Jet A-1 kerosene, with renewable biofuels attracting significant interest. While early demonstrations of kerosene–biofuel blends have been successful, they also introduce new operational challenges. This study examines the influence of low temperatures on blends of Jet A-1 and FAME (fatty acid methyl ester), focusing on clear point, cloud point, and density—parameters critical for maintaining reliable fuel flow in cold environments. The measurements demonstrate a consistent trend in which greater FAME fractions raise the clear point from 0.5 °C (0% FAME) to 5.8 °C (40% FAME) and the cloud point from −29.3 °C to −23.4 °C over the same range. Mixture density also increases with higher FAME content, from 810 kg·m−3 for pure Jet A-1 to 883 kg·m−3 for 100% FAME. Additionally, density rises as temperature decreases, with an increase of 6–16 kg·m−3 when the temperature drops from 8 °C to −8 °C. These shifts may impair stable fuel delivery to aircraft engine combustion chambers at low temperatures. The findings confirm that higher FAME content elevates clear and cloud point temperatures and increases density, indicating that such blends may be unsuitable for aviation use in polar and subpolar regions. Full article
(This article belongs to the Special Issue Renewable Energy and Sustainable Energy Systems—2nd Edition)
Show Figures

Figure 1

22 pages, 19658 KB  
Article
Mechanistic Investigation of Microdroplet Formation in High-Viscosity Shear-Thinning Hydrogel Bioinks
by Qiang Gao, Yanling Mi, Kaicheng Yu, Youyun Shang, Lihua Lu, Yongqiang Gao and Peng Zhang
Gels 2026, 12(2), 148; https://doi.org/10.3390/gels12020148 - 6 Feb 2026
Viewed by 341
Abstract
High-resolution biofabrication requires precise microscale deposition, yet drop-on-demand (DOD) inkjet bioprinting is constrained by a narrow printable viscosity window. Many biocompatible hydrogel precursors display high zero-shear viscosity and strong shear-thinning, so stable droplet ejection typically requires dilution or reformulation that can compromise the [...] Read more.
High-resolution biofabrication requires precise microscale deposition, yet drop-on-demand (DOD) inkjet bioprinting is constrained by a narrow printable viscosity window. Many biocompatible hydrogel precursors display high zero-shear viscosity and strong shear-thinning, so stable droplet ejection typically requires dilution or reformulation that can compromise the biochemical microenvironment. We present a transient shear-enabled jetting method that exploits intrinsic shear-thinning by using a high-frequency electromagnetic microvalve to deliver short, high-pressure pulses. The resulting localized shear dynamically lowers apparent viscosity in the nozzle region and promotes controlled nucleation, ligament formation, necking, and pinch-off. A coupled, rheology-informed modeling framework (axisymmetric transient CFD, valve dynamics, and electromagnetic FEM) links actuation parameters to droplet volume and stability and guides hardware optimization. Experiments with 2.5% (w/v) sodium alginate validate stable droplet generation and tunable droplet size via stroke length and driving conditions. These results define a practical process window for high-resolution droplet printing of high-viscosity shear-thinning hydrogel inks. Full article
Show Figures

Figure 1

16 pages, 6930 KB  
Article
Sulfur-Based Composite Fillers Enable Adaptive Autotrophic Denitrification for Nitrogen Removal in Photovoltaic Wastewater: From Laboratory to Pilot Scale
by Qingguo Zhou, Zhensheng Xu, Shan Feng, Yanchai Zhao, Dongxu Chen, Jian Su, Hao Wu, Lin He, Xialian Shi, Jiaxiang Yang and Mu Liu
Water 2026, 18(3), 345; https://doi.org/10.3390/w18030345 - 30 Jan 2026
Viewed by 289
Abstract
Sulfur-based autotrophic denitrification (SAD) is limited by low efficiency and poor stability in carbon-deficient photovoltaic (PV) wastewater treatment. This study developed four sulfur-based composite fillers (S0-CFs) comprising 75% elemental sulfur and mineral additives (boron mud, magnesite, and/or siderite) fabricated via melt [...] Read more.
Sulfur-based autotrophic denitrification (SAD) is limited by low efficiency and poor stability in carbon-deficient photovoltaic (PV) wastewater treatment. This study developed four sulfur-based composite fillers (S0-CFs) comprising 75% elemental sulfur and mineral additives (boron mud, magnesite, and/or siderite) fabricated via melt mixing–jet granulation. Lab-scale operation showed that at a hydraulic retention time (HRT) of 1 h, all S0-CFs achieved high TN removal (89.1–93.8%) with effluent NO3-N below 1.5 mg/L (>93% nitrate removal efficiency) and stable pH. Although effluent COD increased with a short HRT (1 h) due to biofilm detachment, no leaching of organic or inorganic pollutants from the fillers was observed, and TP was consistently removed. 16S rRNA sequencing confirmed enrichment of autotrophic denitrifiers Thiobacillus and Sulfurimonas, verifying SAD as the dominant pathway. In a 270-day pilot-scale operation, nitrate removal varied with temperature (7.3–27.2 °C) and HRT, reaching 88.2% on average (range: 86.6–90.0%) at 1 h HRT during warm periods (25.8–27.2 °C), dropping to 13.5–38.1% under cold conditions (7.3–16.0 °C) at 0.5 h HRT, and then stabilizing at 64.1% by adjusting HRT to 1 h. Fluoride was removed at 0.51–1.49 mg/L. Additionally, operational cost was 34.5% lower than heterotrophic denitrification. These results demonstrated that S0-CF enabled efficient, stable, and cost-effective nitrogen removal, making SAD more suitable for low-carbon industrial wastewater treatment. Full article
Show Figures

Graphical abstract

27 pages, 8712 KB  
Article
Resonant Forcing of Oceanic and Atmospheric Rossby Waves in (Sub)Harmonic Modes: Climate Impacts
by Jean-Louis Pinault
Atmosphere 2026, 17(2), 127; https://doi.org/10.3390/atmos17020127 - 26 Jan 2026
Viewed by 387
Abstract
Baroclinic wave resonance, particularly Rossby waves, has attracted great interest in ocean and atmospheric physics since the 1970s. Research on Rossby wave resonance covers a wide variety of phenomena that can be unified when focusing on quasi-stationary Rossby waves traveling at the interface [...] Read more.
Baroclinic wave resonance, particularly Rossby waves, has attracted great interest in ocean and atmospheric physics since the 1970s. Research on Rossby wave resonance covers a wide variety of phenomena that can be unified when focusing on quasi-stationary Rossby waves traveling at the interface of two stratified fluids. This assumes a clear differentiation of the pycnocline, where the density varies strongly vertically. In the atmosphere, such stationary Rossby waves are observable at the tropopause, at the interface between the polar jet and the ascending air column at the meeting of the polar and Ferrel cell circulation, or between the subtropical jet and the descending air column at the meeting of the Ferrel and Hadley cell circulation. The movement of these air columns varies according to the declination of the sun. In oceans, quasi-stationary Rossby waves are observable in the tropics, at mid-latitudes, and around the subtropical gyres (i.e., the gyral Rossby waves GRWs) due to the buoyant properties of warm waters originating from tropical oceans, transported to high latitudes by western boundary currents. The thermocline oscillation results from solar irradiance variations induced by the sun’s declination, as well as solar and orbital cycles. It is governed by the forced, linear, inviscid shallow water equations on the β-plane (or β-cone for GRWs), namely the momentum, continuity, and potential vorticity equations. The coupling of multi-frequency wave systems occurs in exchange zones. The quasi-stationary Rossby waves and the associated zonal/polar and meridional/radial geostrophic currents modify the geostrophy of the basin. Here, it is shown that the ubiquity of resonant forcing in (sub)harmonic modes of Rossby waves in stratified media results from two properties: (1) the natural period of Rossby wave systems tunes to the forcing period, (2) the restoring forces between the different multi-frequency Rossby waves assimilated to inertial Caldirola–Kanai (CK) oscillators are all the stronger when the imbalance between the Coriolis force and the horizontal pressure gradients in the exchange zones is significant. According to the CK equations, this resonance mode ensures the sustainability of the wave systems despite the variability of the forcing periods. The resonant forcing of quasi-stationary Rossby waves is at the origin of climate variations, as well-known as El Niño, glacial–interglacial cycles or extreme events generated by cold drops or, conversely, heat waves. This approach attempts to provide some new avenues for addressing climate and weather issues. Full article
(This article belongs to the Special Issue Ocean Climate Modeling and Ocean Circulation)
Show Figures

Figure 1

22 pages, 6089 KB  
Article
Influence of Inner Diameter and Pleat Number on Oil Filter Performance
by Xiaomin Zhou, Liangyu Li, Jiayao Wang, Run Zou, Tiexiong Su and Yi Zhang
Processes 2026, 14(3), 426; https://doi.org/10.3390/pr14030426 - 26 Jan 2026
Viewed by 382
Abstract
To address the limitation of existing research on engine oil filter structural parameters—overemphasizing pressure drop while neglecting internal flow uniformity and filter media utilization—this study establishes a three-dimensional Computational Fluid Dynamics (CFD) model of a pleated oil filter for a certain type. With [...] Read more.
To address the limitation of existing research on engine oil filter structural parameters—overemphasizing pressure drop while neglecting internal flow uniformity and filter media utilization—this study establishes a three-dimensional Computational Fluid Dynamics (CFD) model of a pleated oil filter for a certain type. With other structural and material parameters fixed, nine inner diameter schemes (60–84 mm) and seven pleat number schemes (50–80) were designed to systematically investigate their effects on pressure drop, flow uniformity, and media utilization via numerical simulations and experimental validation. The results show that pressure drop decreases monotonically with increasing inner diameter, with smaller diameters being more sensitive to flow rate variations; flow uniformity improves nonlinearly, with severe jets and large dead zones causing poor uniformity for smaller diameters, while uniformity is significantly enhanced with larger diameters, though marginal benefits diminish after a critical threshold. In contrast, pressure drop increases monotonically with more pleats, and higher pleat numbers are more sensitive to resistance changes; flow uniformity follows a threshold effect—deteriorating gradually without extensive dead zones for fewer pleats (maintaining high utilization) but declining sharply beyond a threshold due to narrowed inter-pleat spacing inducing intense jets and expanded dead zones. Full article
(This article belongs to the Section Petroleum and Low-Carbon Energy Process Engineering)
Show Figures

Figure 1

17 pages, 3258 KB  
Article
Premixed Flame Passage Through a Perforated Barrier in a Hele-Shaw Channel
by Sergey Yakush, Sergey Rashkovskiy, Maxim Alexeev and Oleg Semenov
Fluids 2026, 11(1), 24; https://doi.org/10.3390/fluids11010024 - 19 Jan 2026
Viewed by 1162
Abstract
The passage of a premixed stoichiometric methane-air flame through a hole in an internal barrier in a Hele-Shaw channel with one end closed was studied experimentally. It was found that for the same initial conditions, a flame propagating from the closed channel end [...] Read more.
The passage of a premixed stoichiometric methane-air flame through a hole in an internal barrier in a Hele-Shaw channel with one end closed was studied experimentally. It was found that for the same initial conditions, a flame propagating from the closed channel end can either pass through the hole in the barrier or be extinguished. The passage probability dependence on the hole width was found to be non-monotonic, with a sharp maximum at small hole sizes, followed by a minimum at intermediate sizes and a gradual increase as the blockage ratio tends to zero. The nature of this non-monotonic behavior of flame passage probability was analyzed by analyzing the flame front histories leading to flame passage or extinction at the same experimental parameters. A likely cause of this behavior is the development of an alternating-direction gas jet blowing from the hole due to the pressure difference between the channel compartments. Cooling of hot combustion products with cold channel walls can cause a pressure drop in the closed channel part and development of a reverse (open-to-closed compartment) gas jet affecting the approaching flame. Therefore, flame passage or extinguishment is a feature of the whole two-chamber system, rather than an intrinsic flame property. Full article
(This article belongs to the Section Heat and Mass Transfer)
Show Figures

Figure 1

21 pages, 8441 KB  
Article
Calculation of Influence of Maneuverability Conditions on Submerged Water-Jet on Actuator Disk Model
by Dongsheng Yang and Liu Chen
J. Mar. Sci. Eng. 2026, 14(2), 189; https://doi.org/10.3390/jmse14020189 - 16 Jan 2026
Viewed by 303
Abstract
This study examines the performance variations and flow field characteristics of a submerged water-jet propulsor under complex oblique sailing conditions, providing theoretical insights for propulsor design optimization and ship maneuverability improvement. Both steady and unsteady numerical simulations were performed, with the unsteady analysis [...] Read more.
This study examines the performance variations and flow field characteristics of a submerged water-jet propulsor under complex oblique sailing conditions, providing theoretical insights for propulsor design optimization and ship maneuverability improvement. Both steady and unsteady numerical simulations were performed, with the unsteady analysis employing an actuator disk model. The results indicate that at a positive drift angle of 30°, the propulsor head decreases by approximately 6%, whereas at a negative drift angle of 30°, it drops significantly by 28%. The entropy generation distribution among the propulsor components was analyzed based on entropy generation theory, revealing that turbulent dissipation contributes the largest portion (64%) of the total entropy generation, with the impeller flow passage accounting for 47%. Furthermore, pressure fluctuations on the propulsor housing surface were evaluated under unsteady conditions. The findings show that a twin-jet configuration with an optimal spacing of 1.6D effectively minimizes flow field interference during maneuvering. Overall, the study provides a theoretical foundation for enhancing the design and hydrodynamic performance of submerged water-jet propulsion systems. Full article
(This article belongs to the Section Ocean Engineering)
Show Figures

Figure 1

21 pages, 3877 KB  
Article
Investigation of Cavitation Inception in Aviation Hydraulic Fluid AMG-10 in a Small-Scale Rectangular Throttle Channel
by Volodymyr Brazhenko and Taras Tarasenko
Aerospace 2026, 13(1), 83; https://doi.org/10.3390/aerospace13010083 - 13 Jan 2026
Viewed by 390
Abstract
Cavitation in aircraft hydraulic systems continues to pose a serious problem for the aviation industry. This paper presents a new study on cavitation in aviation hydraulic fluid AMG-10 at its inception condition, corresponding to a relative pressure drop of Δp = 0.58, [...] Read more.
Cavitation in aircraft hydraulic systems continues to pose a serious problem for the aviation industry. This paper presents a new study on cavitation in aviation hydraulic fluid AMG-10 at its inception condition, corresponding to a relative pressure drop of Δp = 0.58, within a small-scale rectangular throttle channel of specified dimensions. Numerical simulations were performed in a quasi-steady-state framework using the realizable k–ε turbulence model combined with the Enhanced Wall Treatment approach, and the results were validated against time-integrated experimental data obtained via the shadowgraphy method. Cavitation was modeled using the Zwart–Gerber–Belamri model. The validated numerical model, which showed a pressure deviation of less than 10% from experimental data on the upper and lower walls, also demonstrated good agreement in the dimensions of the cavitation regions, confirming that the upper region is consistently larger than the lower one. Quantitative analysis demonstrated that regions with high vapor concentration are highly localized, representing only 0.048% of the channel volume at a 0.8 vapor fraction threshold. The analysis reveals that the cavitation regions spatially coincide with local pressure drops to values as low as 214 and 236 Pa near the upper and lower walls. These regions are also associated with wall jets, accelerated by the flow constriction to velocities up to 41.98 m/s. Furthermore, the cavitation region corresponds to a distinct peak in the mean turbulent kinetic energy field, reaching 164.5 m2/s2, which decays downstream. Full article
Show Figures

Figure 1

18 pages, 5746 KB  
Article
Cooling Performance of Impingement–Effusion Double-Wall Configurations Under Atmospheric and Elevated Pressures
by Rongxing Zhang, Wei Li, Jianbai Jiang, Xudong Lang, Jinxin Dai, Tianyou Lian, Xiaoxiang Shi and Wei Li
Appl. Sci. 2026, 16(1), 297; https://doi.org/10.3390/app16010297 - 27 Dec 2025
Viewed by 485
Abstract
The combustor liner of the modern aero-engine operates under extreme thermal loads with limited coolant supply, necessarily making efficient cooling approaches important. Impingement–effusion double-wall cooling integrates impingement, convection, and film cooling, but most studies testing this approach have been conducted at atmospheric pressure, [...] Read more.
The combustor liner of the modern aero-engine operates under extreme thermal loads with limited coolant supply, necessarily making efficient cooling approaches important. Impingement–effusion double-wall cooling integrates impingement, convection, and film cooling, but most studies testing this approach have been conducted at atmospheric pressure, limiting the application of the technology in real engines. This work experimentally and numerically evaluates the cooling performance of baseline and optimized configurations, focusing on the effects of pressure drop, initial cooling filmand operating pressure under atmospheric and elevated pressures up to 0.3 MPa. The results show that increasing the pressure drop enhances cooling effectiveness, which can be attributed to enhanced jet momentum and cooling film coverage, though benefits diminish when the pressure drop further increases to over 4%. Introducing initial film cooling extends upstream protection, improves downstream uniformity, and stabilizes overall effectiveness across varying pressure drops. Elevated operating pressure further enhances the cooling effectiveness of impingement–effusion cooling, as higher coolant density promotes stronger impingement and more coherent cooling film formation. The simulations confirm that pressure-induced density effects dominate the cooling process, whereas blowing-ratio-based similarity fails to capture these dependencies. The results highlight the limitations of atmospheric evaluations and provide physical insights for designing efficient combustor liners under realistic pressure conditions. Full article
(This article belongs to the Section Applied Thermal Engineering)
Show Figures

Figure 1

12 pages, 899 KB  
Article
Evaluation of Liquid Hydrogen/Hydrogen Peroxide Propellant Combination for Advanced Launch Vehicle Upper Stage
by Min-Seon Jo and Jeong-Yeol Choi
Aerospace 2026, 13(1), 23; https://doi.org/10.3390/aerospace13010023 - 26 Dec 2025
Viewed by 543
Abstract
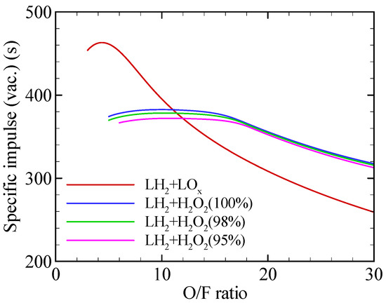
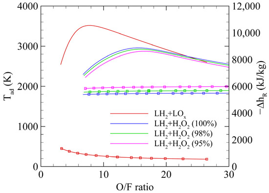
Hydrogen peroxide (H2O2) is a dense, storable oxidizer, but its suitability for high-energy upper stages is limited. This study evaluates liquid hydrogen–hydrogen peroxide (LH2/H2O2) as an alternate propellant using KSLV-II as the reference [...] Read more.
Hydrogen peroxide (H2O2) is a dense, storable oxidizer, but its suitability for high-energy upper stages is limited. This study evaluates liquid hydrogen–hydrogen peroxide (LH2/H2O2) as an alternate propellant using KSLV-II as the reference vehicle. Propulsion performance was analyzed with NASA CEA and RPA, while staging and MER methods assessed system-level effects. The results show that the specific impulse decreases from 465 s (LH2/LOX) to 372~382 s with H2O2, but structural efficiency improves as the coefficient drops from 0.162 to 0.099~0.102. The payload capacity increases compared with Jet A-1/LOX yet remains below that of LOX. These findings clarify both the advantages and limitations of H2O2 as an upper-stage oxidizer. Full article
(This article belongs to the Special Issue Space Propulsion: Advances and Challenges (4th Edition))
Show Figures

Figure 1

28 pages, 2030 KB  
Article
Naphtha Production via Catalytic Hydrotreatment of Refined Residual Lipids: Validation in Industrially Relevant Scale
by Athanasios Dimitriadis, Loukia P. Chrysikou, Ioanna Kosma, Dimitrios Georgantas, Evanthia Nanaki, Chrysa Anatolaki, Spyros Kiartzis and Stella Bezergianni
Energies 2025, 18(24), 6586; https://doi.org/10.3390/en18246586 - 17 Dec 2025
Viewed by 726
Abstract
At the moment, there are no available data or studies exploring the production of naphtha boiling range hydrocarbons via hydroprocessing of pretreated residual lipids. To that aim, this study targets the production of naphtha, jet and diesel boiling range hydrocarbons via hydroprocessing of [...] Read more.
At the moment, there are no available data or studies exploring the production of naphtha boiling range hydrocarbons via hydroprocessing of pretreated residual lipids. To that aim, this study targets the production of naphtha, jet and diesel boiling range hydrocarbons via hydroprocessing of refined waste cooking oils utilizing solar hydrogen. The technology was first optimized in a TRL-3 plant. A heteroatom removal catalyst and a saturation catalyst were combined with an isomerization and hydrocracking catalyst to upgrade lipids. The results show that the severity of the process plays an important role in the yields of the fuels. Higher naphtha yields were observed at 663 K, 13.78 MPa and a liquid hourly space velocity of 0.33 h−1, leading to the production of a fuel consisting of 34 wt% naphtha, 23 wt% jet and 42 wt% diesel boiling range hydrocarbons. Subsequently, the technology was validated and demonstrated in an industrially relevant unit (TRL-5). The results from the fuel characterization show that the diesel fraction can be used as a high-quality road transport drop-in fuel, as it is characterized by a high cetane index (~96) and a high flash point (414 K). Although jet and naphtha meet most commercial fuel specifications, further optimization of the process is necessary to meet fuel standards. In conclusion, the current work provides novel data relevant to industrial applications for road, aviation and maritime fuel production via hydroprocessing of refined waste cooking oil. Full article
(This article belongs to the Special Issue Advanced Technologies in Waste-to-Bioenergy)
Show Figures

Figure 1

19 pages, 12470 KB  
Article
Thermal and Hydraulic Performance of Single-Stage Swirling Impinging Jet Array for Cooling of the Liner of Industrial Gas Turbine Combustor
by Muhammad Ikhlaq, Farzaneh Hafezi and Mehdi H. Biroun
Fluids 2025, 10(12), 321; https://doi.org/10.3390/fluids10120321 - 3 Dec 2025
Viewed by 441
Abstract
Stringent global regulations increasingly demand significant reductions in emissions from industrial gas turbines, underscoring the need for optimized combustor liner cooling to achieve lower emissions and enhanced thermal efficiency. Uniform liner temperature is crucial, as it minimizes thermal stresses, reduces fuel consumption, and [...] Read more.
Stringent global regulations increasingly demand significant reductions in emissions from industrial gas turbines, underscoring the need for optimized combustor liner cooling to achieve lower emissions and enhanced thermal efficiency. Uniform liner temperature is crucial, as it minimizes thermal stresses, reduces fuel consumption, and improves component reliability. Although impinging jet arrays with flow passages are widely utilized for cooling, cross-flow effects can diminish heat removal efficiency from the target surface. In contrast, the induction of swirl has the potential to improve heat transfer and its distribution uniformity. This study investigates the impact of varying swirl intensities, induced by incorporating a cross-twisted tape into the nozzle, on the flow and heat transfer characteristics of the jet array. Six twisted angles (0°, 15°, 30°, 45°, 60°, and 75°) were evaluated, where the introduction of the twisted tape divided the jet into four streams, leading to complex interactions that alter the cooling performance at the target surface. The results show that moderate swirl angles (15° and 30°) enhance temperature uniformity and provide more consistent heat transfer across the surface compared to higher swirl or no swirl. However, excessive swirl (60° and 75°) can hinder jet penetration and reduce cooling effectiveness in downstream regions. Overall, the introduction of swirl improves temperature uniformity but also increases pressure drop due to heightened turbulence. Full article
(This article belongs to the Special Issue Heat Transfer in the Industry)
Show Figures

Figure 1

15 pages, 1952 KB  
Article
3D Nanofibrous Scaffolds for Encapsulation-Controlled Vancomycin Delivery: Antibacterial Performance and Cytocompatibility
by Tatiana Rita de Lima Nascimento, Aline Lima Guérin, Mariana Souza Rodrigues, Camila Félix da Silva, Bruno Martins Maciel, Abdulaziz Alhotan, Saleh Alhijji, Marilia Mattar Amoêdo Campos Velo and Lúcio Roberto Cançado Castellano
Polymers 2025, 17(23), 3116; https://doi.org/10.3390/polym17233116 - 24 Nov 2025
Viewed by 791
Abstract
This study aimed to engineer nanofibrous scaffolds that prioritize architecture, rather than relying solely on the drug, to achieve reproducible, long-acting local therapies. Cotton-wool-like fiber, three-dimensional (3D) poly(L-lactic acid)/polyethene glycol (PLLA/PEG) blend scaffolds were fabricated using solution blow spinning (SBS) as a customizable [...] Read more.
This study aimed to engineer nanofibrous scaffolds that prioritize architecture, rather than relying solely on the drug, to achieve reproducible, long-acting local therapies. Cotton-wool-like fiber, three-dimensional (3D) poly(L-lactic acid)/polyethene glycol (PLLA/PEG) blend scaffolds were fabricated using solution blow spinning (SBS) as a customizable encapsulation platform for controlled antibiotic release. Morphological and wettability analyses were performed by scanning electron microscopy (SEM) and pendant-drop contact angle measurements, respectively. Fiber diameters were quantified using ImageJ. The chemical composition and thermal behavior were investigated by Fourier-transform infrared spectroscopy (FTIR), differential scanning calorimetry (DSC), and thermogravimetric analysis (TGA). In vitro, assays were conducted to assess the antimicrobial activity of vancomycin-loaded scaffolds against Staphylococcus aureus (disk diffusion method), as well as their cytocompatibility (Live/Dead assay in Vero cells) and hemocompatibility (ASTM F756-17 hemolysis test). All biological data were statistically analyzed using ANOVA with Tukey’s post-test, Mann–Whitney, and paired t-tests, with significance set at p ≤ 0.05. Structural optimization identified PLLA/PEG 85:15 as the most stable composition, producing homogeneous mats with high porosity and rapid wettability. Incorporation of vancomycin (10 wt.%) reduced the fiber diameter (0.23 ± 0.11 µm) compared with unloaded scaffolds (0.32 ± 0.17 µm), indicating drug–polymer interactions that modulated jet elongation. FTIR, DSC, and TGA analyses confirmed polymer miscibility and stabilization of VMC within the fibrous matrix, with no signs of degradation. Drug release exhibited a biphasic profile, with an initial burst during the first 72 h. PLLA/PEG–VMC scaffolds produced larger inhibition zones against S. aureus (18.55 mm ± 1.2 to 6.63 mm ± 0.2 at 120 h) compared with free VMC (12.91 mm ± 3.8 to 4.07 mm ± 0.6291), while blank scaffolds were inactive. Hemolysis remained within the range 2% < PLLA/PEG–VMC < 5%, indicating acceptable hemocompatibility according to ASTM standards. Although VCM-loaded PLLA/PEG scaffolds slightly reduced Vero cell viability, no statistically significant differences were observed compared with the control group. These findings demonstrate that the architecture of nanofibers presents itself as a potential platform for antimicrobial therapy with topical vancomycin in potential applications such as wound dressings or implant coatings. Full article
(This article belongs to the Section Polymer Applications)
Show Figures

Figure 1

Back to TopTop