Next Article in Journal
Opportunities for Green H2 in EU High-Speed-Crafts Decarbonization Through Well-to-Wake GHG Emissions Assessment
Previous Article in Journal
Experimental Study on Onboard Hydrogen Production Performance from Methanol Reforming Based on Novel Spinel
 
 
Font Type:
Arial Georgia Verdana
Font Size:
Aa Aa Aa
Line Spacing:
Column Width:
Background:
Article

Calculation of Influence of Maneuverability Conditions on Submerged Water-Jet on Actuator Disk Model

School of Energy and Power Engineering, University of Shanghai for Science and Technology, Shanghai 200093, China
*
Author to whom correspondence should be addressed.
J. Mar. Sci. Eng. 2026, 14(2), 189; https://doi.org/10.3390/jmse14020189
Submission received: 4 November 2025 / Revised: 24 November 2025 / Accepted: 14 January 2026 / Published: 16 January 2026
(This article belongs to the Section Ocean Engineering)

Abstract

This study examines the performance variations and flow field characteristics of a submerged water-jet propulsor under complex oblique sailing conditions, providing theoretical insights for propulsor design optimization and ship maneuverability improvement. Both steady and unsteady numerical simulations were performed, with the unsteady analysis employing an actuator disk model. The results indicate that at a positive drift angle of 30°, the propulsor head decreases by approximately 6%, whereas at a negative drift angle of 30°, it drops significantly by 28%. The entropy generation distribution among the propulsor components was analyzed based on entropy generation theory, revealing that turbulent dissipation contributes the largest portion (64%) of the total entropy generation, with the impeller flow passage accounting for 47%. Furthermore, pressure fluctuations on the propulsor housing surface were evaluated under unsteady conditions. The findings show that a twin-jet configuration with an optimal spacing of 1.6D effectively minimizes flow field interference during maneuvering. Overall, the study provides a theoretical foundation for enhancing the design and hydrodynamic performance of submerged water-jet propulsion systems.

1. Introduction

Water-jet propulsion produces thrust through the reaction force arising from the momentum variation between the inflow and outflow of water. With inherent advantages in propulsion efficiency and maneuverability, water-jet propulsors are well suited for high-speed vessels and operational scenarios that require precise maneuvering, shallow-draft operation, or improved safety performance [1,2]. Although conventional water-jet propulsors can achieve higher propulsion efficiency than propellers at high vessel speeds, their above-water jet streams inevitably generate long wakes and additional noise during navigation. In contrast, a submerged water-jet propulsor is integrated into the hull structure with the nozzle located entirely below the hull bottom, thereby avoiding the visible wake normally produced by transom-mounted jets. By taking advantage of the hull boundary layer, the submerged configuration contributes to improved propulsion efficiency, while the nozzle placement beneath the hull reduces flow losses associated with jet elevation and redirection [3,4]. As a result, submerged water-jet propulsion exhibits superior efficiency under medium- and low-speed operating conditions and offers substantial potential for enhancing both the propulsion performance and underwater acoustic characteristics of naval vessels.
Jiang [5] conducted experiments on a submerged water-jet propelled ship model and a propeller-driven ship model. The results show that, compared with propeller propulsion, submerged water-jet propulsion can significantly reduce the increase in hull resistance caused by appendages. Under typical self-propulsion conditions (Fr = 0.20 and 0.26), the propulsive efficiency of the submerged water-jet propelled ship is 1.2% and 5.3% higher than that of the propeller reference ship, respectively. Jiang [6] analyzed the performance of a high-speed submerged water-jet propulsion system within a Froude number range of 0.12 < Fr < 0.41 using numerical simulation. By defining a control volume based on the momentum flux method, the study identified the optimal position of the jet capture region and found that the jet stream maintained a stable geometry, with a small difference between total and net thrust at higher speeds.
In a submerged water-jet propulsor, the inlet duct is structurally integrated with the hull bottom, and part of the pump is suspended beneath the hull. As a result, the inflow pipe directly encounters the hull boundary layer. Under maneuvering conditions involving oscillatory motions, the pump inlet is subjected to incoming flows from varying directions, which introduces significant variations in the internal flow field. These characteristics indicate that the propulsion system may experience noticeable changes in performance and energy loss, highlighting the need for further investigation of its flow behavior and loss mechanisms. To improve pump performance, Wang [7] analyzed the energy transfer relationship between the inlet and outlet blade angles of the impeller and demonstrated its contribution to enhancing centrifugal pump efficiency and reducing hydraulic losses in turbine mode.
Compared with traditional energy loss evaluation methods, entropy-generation analysis not only identifies the specific regions where energy dissipation occurs but also captures the intrinsic relationship between flow characteristics and energy degradation [8,9]. Fu [10] applied entropy-generation theory to investigate the energy conversion process in pumps and to elucidate the associated flow distribution and loss mechanisms, while Wang [11] further developed an entropy-generation-based diagnostic model to analyze the flow behavior of hydraulic machinery.
In the research on submerged water-jet propulsors, most existing studies have focused on their performance under straight-ahead sailing conditions. However, in real operational scenarios, vessels frequently experience complex unsteady maneuvers such as turning, pitching, and oblique navigation. Under these maneuvering conditions, the dynamic response and propulsion performance of the submerged water-jet system play a crucial role in vessel controllability and operational safety. Therefore, investigating the performance of submerged water-jet propulsors under maneuvering conditions is of significant theoretical importance and engineering relevance.
This study focuses on the behavior of a submerged water-jet propulsor under oscillatory motion. Traditional CFD (Computational Fluid Dynamics) approaches can be computationally demanding when simulating systems with multiple time scales, such as helicopter rotors or ship propellers. To address this, Liu [12,13] developed and refined the numerical actuator-disk model, applying it to the calculation of last-stage steam turbine blades and exhaust volutes. In the actuator-disk model proposed by Joo [14], the blade row thickness is neglected, and the axial position of the disk has a noticeable impact on the simulation results. The model represents the blade row as a zero-thickness disk, with one side corresponding to the blade inlet and the other to the outlet. Flow parameters across the disk can jump, allowing the internal flow transformation and entropy generation within the blade row to be approximated. The actuator-disk model provides an efficient alternative to modeling the real impeller, reducing mesh requirements and computational cost while enabling simulations over shorter physical time scales. This makes it highly suitable for assessing the maneuvering performance of water-jet propulsors. However, the simplifications inherent to the model prevent direct access to detailed flow information inside the turbine blade channels [15].
Studies on the maneuvering performance of submerged water-jet propulsors are relatively scarce. In this work, a dual actuator-disk model combined with a dynamic mesh method is employed to numerically simulate the flow of a submerged water-jet propulsor under oscillatory conditions, aiming to investigate the underlying flow mechanisms and provide a theoretical basis for its practical application.

2. Flow Calculation Methods

2.1. Physical Model

A Shaftless water-jet propulsionet propulsor was selected for this study [16]. The geometric configuration of the complete pump model is illustrated in Figure 1. The impeller has a diameter of D = 180 mm, consisting of five blades, while the guide vane stage contains nine vanes. The design rotational speed of the pump is n = 1350 r/min.
To simplify the numerical simulation, the rotating and stationary blade rows were replaced by two zero-thickness disks, representing the impeller and guide vane, respectively, as shown in Figure 2. This actuator disk configuration was established following the method proposed by Joo [14]. When establishing the actuator-disk model, the impeller hub is retained, and the actuator disk is positioned as shown in the figure, located at the axial midpoints of the rotor and stator blade rows, respectively. The geometry of the actuator disk is defined by both its inner and outer radii, where the inner radius corresponds to the hub radius and the outer radius is set equal to the pump casing inner diameter to ensure consistency with the actual flow passage boundaries.
The submerged water-jet propulsion system investigated in this study consists of the hull bottom control volume and the internal pump unit. The flow characteristics of the system are influenced by multiple factors, including the hull boundary layer, inflow velocity, and pressure distribution. To accurately capture these effects, the computational domain was constructed by incorporating the hull region into the simulation setup, following the methodology of Jiang [6]. The schematic of the computational domain is shown in Figure 3.
The domain dimensions were defined as 35D in length, 30D in width, and 6D in height. The rectangular region represents the stationary domain, while the circular region denotes the rotating domain with a radius of 10D. The rotating domain performs a periodic oscillatory motion about its center to simulate the propulsor’s yawing maneuver. The oscillation period was determined based on the physical scale of the model and the similarity principle, resulting in a period of 10 s and a maximum oscillation angle of 30°.

2.2. CFD Boundary Conditions

The simulations were conducted using CFX 19.2, with water at ambient temperature ( ρ = 998 kg/m3) as the working fluid. The SIMPLEC solver was adopted; Pascau [17] demonstrated that SIMPLEC reduced the number of iterations required for convergence by approximately 30% compared to SIMPLE. A second-order upwind discretization scheme was applied, and the SST (Shear-Stress Transport)-kω turbulence model with wall functions was employed. An exponential velocity profile was prescribed at the upstream inlet to account for the ship’s boundary layer [18], as shown in Equation (1). Among them, V 0 = 10 m/s represents the sailing speed of the vessel, V denotes the velocity distribution at the inlet plane, δ is the boundary layer thickness beneath the hull and is related to the Reynolds number Re, and y is the distance from the hull bottom, x represents the length of the hull.
V = ( V 0 ( y δ ) 1 / 9   ,       y δ V 0                             ,       y > δ )
δ = 0.27 x R e 1 / 6
At the outlet of the computational domain, a pressure boundary condition corresponding to the ambient atmospheric pressure was applied. The hub, impeller, flow walls, and the upper surface of the hull were all treated as no-slip walls, while the lateral sides of the hull were assigned periodic boundary conditions. The lower surface of the hull was modeled as a free-slip wall. For simulations of the actual pump, steady-state calculations were performed to evaluate the pump’s propulsion performance. The rotating region was treated using the multiple reference frame (MRF) approach, and the interface between the rotating and stationary domains was handled using the frozen rotor method.

2.3. Mesh Generation

The mesh of the pump was generated using Turbo-Grid19.2, with local refinements applied near both the blade tip and blade root to ensure that Y plus remains below 30, satisfying the wall-function requirements for near-wall flow resolution. The meshes of the rotor blades and stator vanes are shown in Figure 4, while the mesh of the actuator disk model, which replaces the real pump, is presented in Figure 5.

2.4. Grid Independence and Computational Validation

The grid independence study was performed by varying the mesh density at the key locations of the pump and using the head and efficiency as evaluation criteria. As shown in Figure 6, both performance indicators gradually stabilized when the total number of grid elements reached approximately 7 × 106, indicating that further mesh refinement had little influence on the numerical results. Therefore, a mesh size of 7 × 106 elements was adopted for the numerical simulations.
To verify the reliability of the numerical methodology, an experimental validation of the pump under an axially uniform inflow condition was conducted with reference to the experiments performed by Xu [19]. As shown in Figure 7, the numerical predictions of the head coefficient KH and efficiency η at various flow coefficients KQ agree well with the experimental measurements, with discrepancies remaining below 3%. Therefore, the adopted computational can be considered sufficiently reliable.
In the unsteady simulations, since the actuator disk model is adopted, the pump casing resistance at the same instant is taken as the monitoring indicator. As shown in Table 1, when the time step Δt = 0.004 s, the monitored parameter becomes asymptotically stable, indicating that this time step ensures high computational accuracy while reducing computational cost. Therefore, Δt = 0.004 s is selected for the subsequent analysis of the flow characteristics. The sway period of the submerged water-jet propulsor is set to 10 s.

2.5. Disk Model

The actuator-disk model idealizes the blades as a zero-thickness disk, thereby equating the actual interaction between the blades and the fluid to a pressure jump imposed on the fluid by the idealized disk [20]. To understand the concept of the actuator disk, imagine a rotating machine where the axial width of each blade row progressively contracts, while the aspect ratio, blade angle, and the total length of the stage remain unchanged. In the limit, the axial width approaches zero. Theoretically, the blade row reduces to a plane across which there is a discontinuity in tangential velocity—this is the actuator disk. The actuator disk has two sides: one side corresponds to the inlet of the blade row, and the other side corresponds to the outlet of the blade row. The flow parameters on the disk can jump, thereby achieving the flow transition and pressure change within the blade row. From a numerical computation perspective, the actuator disk is a boundary that is geometrically continuous but physically discontinuous. The actuator disk model must satisfy the governing equations of three mathematical models [21]: (1) conservation of mass, (2) conservation of radial momentum, (3) specified pressure change. See Equations (3)–(5). where V x is the axial velocity, V r is the radial velocity, V θ is the tangential velocity, and P is the specified pressure change. The rotational domain has an oscillation period of 10 s per cycle, with a maximum oscillation angle of 30 degrees, θ = θ M A X × sin ( 2 π T t ) , and differentiating it with respect to time yields the angular velocity, ω = cos ( 2 π T t ) . It is compiled into the rotational speed via a UDF, see Equation (7).
V x x + V r r + V r r = 0
1 ρ P 0 r = V x V x r + V θ r r V θ r V x V r x
P 0 ρ = P ρ + V x 2 2 + V r 2 2 + V θ 2 2
P = k ρ ( V x 2 + V r 2 + V θ 2 )
ω = θ m a x × 2 π T cos ( 2 π T t )
First, the required actuator disk model data at various tilt angles are calculated through CFD simulations of the complete pump model. These results are then incorporated into the actuator disk model. Figure 8 shows the distribution of the pump head and the angle of attack for the submerged water-jet propulsion pump, calculated using the actuator disk model and steady-state CFD. It can be seen that the actuator disk model demonstrates good predictive performance compared to direct CFD calculations. The error is always less than 4%, and the reliability of the numerical calculation method has been verified.
When analyzing the maneuvering performance of the hull under unsteady conditions, the roll period typically occurs on the order of seconds, whereas the rotational period of the pump in unsteady simulations is extremely short, differing by approximately two orders of magnitude. To avoid the substantial time-scale discrepancy associated with directly simulating the real pump, the actuator-disk model is introduced to replace the actual impeller structure in the analysis. The pressure variations in the fluid passing through the rotor and stator blades at different inclination angles are computed, and an angular increment of 5° is adopted to ensure adequate resolution. The resulting pressure data are then applied as boundary conditions in the actuator-disk model to simulate the influence of the pump on the hull under various inclined operating states, as shown in Figure 9.
To characterize the unsteady maneuvering behavior of the submerged water-jet propulsor, the temporal evolution of the angle of attack is considered. The velocity components associated with positive and negative angles of attack are distinguished accordingly; we define the velocity component as U = v 0 × cos θ , V = v 0 × sin θ is Attack angle, velocity component is U = v 0 × cos θ , and V = v 0 × sin θ is Negative attack angle. Owing to the fixed rotational direction of the impeller, the pressure jump across the rotor exhibits fundamentally different characteristics under positive and negative attack-angle conditions. In the present study, the maneuvering motion is represented by a ±30° oscillation cycle of the submerged water-jet propulsor. To quantify the variation in pressure rise across the rotor and stator, the data extracted from Figure 9 are approximated using piecewise quadratic fitting.
p A t t a c k   a n g l e   r o t o r = 1911.12 × sin ( 1.27 t 1.62 ) + 23274.12
p A t t a c k   a n g l e   s t a t o r = 201.87 × sin ( 1.27 t 1.63 ) + 2542
p N e g a t i v e   a t t a c k   a n g l e   r o t o r = 403.82 × sin ( 1.23 t 1.44 ) + 25763
p N e g a t i v e   a t t a c k   a n g l e   r o t o r = 339.08 × sin ( 1.24 t 1.51 ) + 2725.46
Finally, the expressions for the pressure rise of the rotor and stator during one oscillation process of the propulsion pump are obtained as follows:
p r o t o r = (         403.82 × sin ( 1.23 t 1.44 ) + 25763.38   ,           t 5 1911.12 × sin ( 1.27 t 1.62 ) + 23374.12 ,       t 5 )
p s t a t o r = ( 339.08 × sin ( 1.24 t 1.51 ) + 2700.46   ,       t 5 201.87 × sin ( 1.27 t 1.44 ) + 2542.29 ,         t 5 )
When performing subsequent unsteady calculations, this fitted equation is used as the boundary condition for the actuator disk.
The time-dependent variation in the oblique (drift) angle during one complete oscillation cycle is shown in Figure 10. The first half of the cycle represents a positive attack angle, whereas the second half corresponds to a negative attack angle, reflecting the periodic yawing motion of the propulsor.

3. Result Analysis and Discussion

3.1. Steady-State Hydrodynamic Performance of the Single Pump

Under steady-state conditions, the variations in pump head, efficiency, and impeller torque at different oblique angles are presented in Figure 11. It can be observed that when the propulsor operates at a positive drift (attack) angle of 30°, the head decreases by approximately 6%, and the efficiency drops by 12% compared with the normal sailing condition. In contrast, at a negative drift angle of 30°, the head decreases significantly by 28%, while the efficiency is reduced by 17%.
The impeller torque exhibits an opposite trend: it increases gradually with positive drift angles, reaching a 13% rise at +30°, while decreasing by 13% at −30°. Since the pump operates at a constant rotational speed, these torque variations reflect the influence of the inclined inflow on the impeller rotation. During positive attack angle conditions, the inclined incoming flow favors the impeller rotation direction, enhancing its rotational moment. Conversely, under negative attack angles, the inflow direction opposes the impeller rotation, thereby hindering its motion.
Although the impeller torque increases under positive attack angles, the inclined inflow still affects the guide vanes and overall flow distribution. As a result, the pump head and efficiency still decrease compared with the normal condition, but the reduction is much smaller than that observed under negative drift angles.

3.2. Entropy Generation Analysis

During the energy conversion process, irreversible energy dissipation results in entropy generation [22]. The entropy generation rate S ˙ reflects the extent of dissipation and friction losses within the flow. The total entropy generation S consists of three components: entropy generation due to wall friction S W [23,24], entropy generation caused by turbulent dissipation of the mean velocity field S T , and entropy generation induced by direct viscous dissipation of fluctuating velocity components S V . The relationship can be expressed as:
S = S W + S T + S V
The entropy generation rate S ˙ is defined as:
S ˙ = E t
where E is the energy dissipation rate W/m3, and t is the absolute temperature.
The turbulent dissipation entropy generation rate caused by the mean velocity field can be expressed as:
S ˙ T = μ t ( e i j · e i j ) , e i j = 1 2 ( u i u j + u j u j )
where μ is the dynamic viscosity Pa·s, and e i j is the strain rate tensor. By integrating the turbulent dissipation entropy generation rate over the computational domain, the total turbulent entropy generation can be obtained as:
S T = v S ˙ T d v
where V denotes the volume of the computational domain.
According to the SST k–ε turbulence model, the direct dissipation entropy generation rate caused by velocity fluctuations can be approximated as:
S ˙ v = ρ ε t
where ρ is the fluid density kg/m3, and ε is the turbulent kinetic energy dissipation rate m2/s3.
By integrating the entropy generation rate S ˙ v over the computational domain, the total direct dissipation entropy generation can be obtained as:
S v = v S ˙ v d v
The wall entropy generation rate can be expressed as:
S ˙ W = τ v t
where τ is the wall shear stress Pa, and ν is the relative velocity vector at the center of the first near-wall cell m/s. By integrating the wall entropy generation rate S ˙ W over the wall surface, the total wall entropy generation can be obtained as:
S ˙ W = A S ˙ W d A
where A denotes the wall surface area of the computational domain.
Figure 12a compares the relative proportions of wall entropy generation and turbulent dissipation entropy generation under different oblique sailing angles. The turbulent dissipation entropy generation includes contributions from four main components: the inlet duct, impeller, guide vane, and nozzle. Under straight-ahead sailing conditions, the turbulent dissipation entropy generation accounts for approximately 52% of the total entropy generation. As the oblique angle increases, this proportion gradually rises, reaching a maximum of 64%. This trend indicates that the contribution of turbulent dissipation to the total entropy generation increases significantly with the oblique sailing angle.
Figure 12b illustrates the relative proportions of turbulent dissipation entropy generation across different components of the water-jet propulsion system, providing insight into the spatial distribution of internal flow losses and the mechanisms behind the increase in turbulent dissipation. The inlet duct exhibits the smallest proportion of turbulent dissipation entropy generation, yet it is highly sensitive to variations in oblique angle. Under straight-ahead and small-angle conditions (θ = ±10°), its proportion is approximately 5%. As the inclination angle increases, this proportion rises significantly, reaching 14% at θ = −30° and 22% at θ = +30°. The impeller region consistently represents the primary source of turbulent dissipation entropy generation under all oblique angles, accounting for roughly 40% of the total. In contrast, the guide vane region shows a slight decrease in its share of turbulent dissipation entropy with increasing inclination, though the reduction is relatively minor. The nozzle section exhibits a stable energy loss behavior, with its turbulent dissipation entropy generation maintained at approximately 13%.

3.3. Flow Loss Analysis in the Inlet Duct

Under different oblique sailing conditions, the effects of the yaw angle on the turbulent dissipation entropy generation in the inlet duct are evaluated using the total pressure coefficient C P and the velocity non-uniformity coefficient ξ. The definitions of these two coefficients are given as follows:
C P T = 2 T p ρ u 0 2
where T P is the total pressure (Pa); ρ is the fluid density, taken as 998 kg/m3; and u o is the prescribed inflow velocity (m/s).
ξ = 1 Q d A | u U ¯ | d A
where Q is the volumetric flow rate through the cross-section (m3/s); d A is the local surface element area on the interface (m2); and u is the area-averaged velocity over the cross-section (m/s).
Figure 13 shows the distribution of the velocity non-uniformity coefficient under different oblique angles. It can be observed that the inlet flow non-uniformity gradually increases with the yaw angle. Under straight-ahead conditions, the inflow remains relatively uniform, and a low-pressure region appears near the hull bottom due to the boundary layer effect, while the overall pressure gradient remains smooth. As illustrated in Figure 14, with the increase in the oblique angle, the flow pattern deteriorates significantly. Consistent with the performance results, under positive attack angles, a vortex structure appears in the upper-left corner of the inlet section, and both the vortex size and strength increase with the inclination angle. The pressure gradient distribution also exhibits an anticlockwise variation trend.
In contrast, at negative attack angles, the propulsive performance degrades more severely. At θ = −30°, the pressure gradient fluctuations become more intense, and the formation and evolution of vortical structures directly enhance the energy dissipation within the inlet duct, leading to an increase in turbulent entropy generation. Therefore, optimizing the inlet duct design to reduce its sensitivity to oblique inflow and improve inflow uniformity is a key approach to enhancing the maneuvering hydrodynamic performance of submerged water-jet propulsion systems.
The turbulent dissipation entropy generation in the impeller region accounts for the largest proportion of the total entropy generation. Figure 15 presents the distribution of turbulent dissipation entropy generation on the working surface of the impeller. The local regions of high entropy generation are mainly concentrated near the leading edges of the blades. As the oblique angle increases, these high-entropy regions gradually shift from the blade tip toward the hub and expand in area, resulting in a more non-uniform distribution. Under large oblique angles, the high-entropy region almost covers nearly 50% of the suction surface area.
At small oblique angles, the turbulent dissipation entropy generation in the impeller remains relatively stable, at approximately 0.61 W/K. However, when the oblique angle exceeds 30°, the value increases significantly—from 0.61 W/K in the straight-ahead condition to 0.83 W/K, representing an increase of 36.6%.
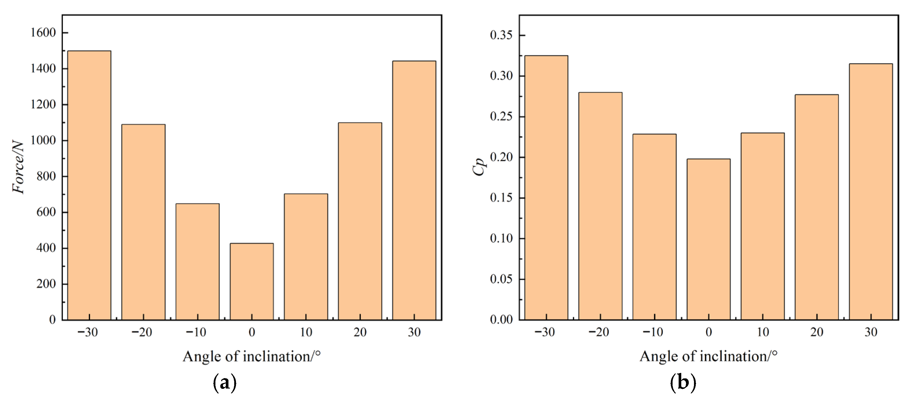
Figure 16 illustrates the variation characteristics of the casing drag and pressure coefficient under different oblique angles. The results indicate that all oblique conditions cause a noticeable increase in casing drag. Specifically, when the oblique angle reaches −30°, the pressure coefficient of the casing increases to 0.325, approximately 3% higher than that at +30°. Under the straight-ahead and maximum oblique conditions, the casing drag increases by 246%, while the pressure coefficient rises by 64%. A more systematic and in-depth analysis of the pressure coefficient variation will be presented in the following section.

3.4. Unsteady Maneuvering Performance Analysis of the Pump

For the force analysis of the pump casing, three typical circumferential sections were selected at 90°, 180°, and 270°, respectively. As shown in Figure 17, ten uniformly distributed monitoring points were arranged along each circumferential direction to measure the static pressure fluctuations on the pump casing. The instantaneous pressure signals at these points were converted into the static pressure coefficient according to Equation (24). The axial positions of the monitoring points on the pump casing are illustrated in Figure 16.
C p = p p 1 2 ρ v 2
The pressure fluctuation characteristics illustrated in the figure indicate that when one side of the pump casing is located on the leeward side, the pressure in this region tends to approach a relatively stable reference value, followed by continuous oscillatory variations. During this stage, the emergence of backflow suggests the occurrence of reverse flow or local flow separation within the pump casing. Further observation of the pressure distribution in Figure 18 reveals that the pressure on the windward side exhibits a distinct periodic pattern. At the initial stage, due to the forward rotation of the impeller and the compression effect of the fluid on the blade surfaces, the pressure on the windward side gradually increases and reaches a peak value. Subsequently, as the impeller continues to rotate and the hydrodynamic conditions evolve, the pressure gradually decreases, reflecting the dynamic adjustment process of the flow field under unsteady conditions.
In the submerged water-jet propulsion system, two pumps operate together as an integrated unit to provide thrust for the vessel. In the preceding section, the performance and flow characteristics of a single submerged water-jet pump were analyzed through numerical simulation. Building upon that foundation, the present study investigates the mutual interaction between the two pumps under oscillatory operating conditions. Using the same numerical methodology described earlier, the computational model was modified accordingly, as shown in Figure 19. The simulations were conducted under oscillatory motion with a maximum roll angle of ±30°, considering three different installation configurations of the twin pumps. Specifically, the center-to-center spacing between the two pumps was set to 1.8D, 1.6D, and 1.4D, respectively.
In the previous analysis, the pressure coefficient on the outer surface of the single-pump casing under oscillatory conditions was obtained. However, in actual marine propulsion systems, two submerged water-jet pumps typically operate together to provide thrust for the vessel. In this study, it is assumed that the ship’s oscillatory motion is primarily induced by rudder steering. For a single-pump configuration, only external factors such as sailing speed, oscillation frequency, and oscillation period influence its hydrodynamic behavior.
Under identical boundary conditions, the number of pumps and their spatial arrangement were varied, while the oscillation amplitude, frequency, and all other physical parameters were kept constant. Therefore, the single-pump results are considered the baseline for evaluating the dual-pump system at three different installation spacings of 1.4D, 1.6D, and 1.8D.
Since the 180° circumferential section of the pump casing exhibits negligible pressure fluctuation in all configurations, only the 90° and 270° sections are discussed here. Moreover, the outer sides of the dual-pump system, the 270° section of Pump 1 and the 90° section of Pump 2 show similar pressure characteristics to those of the single-pump configuration. Consequently, the analysis focuses exclusively on the inner sides of the two pumps to investigate the variation in pressure coefficients.
Figure 20 presents the pressure coefficient distributions at ten monitoring points along the 90° and 270° circumferential sections of the pump casing. When the pump spacing is 1.8D, as shown in Figure 20a,b, the pressure coefficient Cp in the range of X/D = 0.1–0.2 remains nearly identical to that of the single-pump condition, exhibiting uniform distribution without significant low-pressure regions. This similarity arises because the forward section (small X/D) is less influenced by the adjacent pump.
However, beyond X/D = 0.2 (Figure 20c–j), the Cp values at the 90° section show noticeable deviations from those in the single-pump case, with distinct low-pressure zones appearing between X/D = 0.2–0.8. This indicates strong hydrodynamic interaction between the two pumps at these axial positions.
As shown in Figure 20, the pump casing geometry contributes to these variations. In the range of X/D = 0–0.4, the dual-pump arrangement significantly affects pressure pulsation, while for X/D = 0.4–0.8, the variation trend becomes similar to that of the single-pump system due to the contraction section of the casing. When X/D > 0.8, the casing diameter becomes constant again, and the pressure coefficient shows a distinct deviation trend similar to that observed in the X/D = 0–0.4 region.
Additionally, the pressure fluctuations along the 270° circumferential section exhibit a mirror-like trend compared with the 90° section, though they are not perfectly symmetric. This slight asymmetry arises from the rotational direction of the impeller and the phase-dependent differences in flow energy under positive and negative oscillation angles (±30°), resulting in similar but not identical pressure responses on both sides.
According to the analysis results illustrated in the figure, among the three investigated configurations, the installation spacing of 1.8D exhibits the least hydrodynamic interference on the submerged water-jet propulsion system under maneuvering conditions. However, this configuration requires a relatively larger axial installation space, which imposes stricter constraints on hull form design and structural integration.
In contrast, the 1.6D spacing configuration, while introducing slightly stronger flow interactions due to the more compact arrangement, results in higher pressure fluctuation amplitudes around the pump casing. Nevertheless, it offers a practical advantage in terms of reduced spatial demand beneath the hull, making it a more balanced choice for engineering applications.

4. Conclusions

This study conducted numerical simulations based on the actual geometric model of a submerged water-jet propulsion pump. To address the inconsistency between the pump’s intrinsic time scale and the maneuvering time scale, an actuator-disk model was employed to replace the real impeller blades. The model was calibrated such that the generated head and thrust were equivalent to those of the actual pump. Using a transient simulation approach combined with the actuator-disk method and dynamic mesh technique, the influence of dual-pump spacing on hydrodynamic performance was analyzed by comparing the pressure fluctuations along the circumferential sections of the pump casing.
The results indicate that during yawing maneuvers, both the head and efficiency of the propulsion system decrease asymmetrically, with performance degradation being more severe at negative oblique angles than at positive ones. The turbulent dissipation entropy accounts for the largest proportion of total energy loss, primarily originating from the impeller region. High-entropy-production zones are mainly concentrated near the leading edge of the impeller suction surface and at the blade tip, gradually extending toward the trailing edge and hub as the oblique angle increases.
Based on the improved actuator-disk model that closely represents a real pump, and considering the three tested configurations, a spacing of 1.6D was identified as the optimal installation distance for the dual submerged water-jet propulsion system. Under maneuvering conditions, this configuration effectively balances spatial constraints and hydrodynamic interference. The application of the actuator-disk model proves to be particularly valuable for resolving multi-time-scale problems in complex unsteady simulations. It significantly reduces computational cost and storage requirements while maintaining good accuracy, providing essential theoretical and numerical references for future evaluations of hydrodynamic performance in propeller–rudder interaction systems.
In this study, the actuator disk approach was adopted for unsteady simulations, which allows for an effective analysis of the maneuvering performance of the submerged water-jet propulsor at macroscopic time scales. However, since this method simplifies the impeller and guide vanes inside the pump as an equivalent force field, it cannot resolve the detailed internal flow within the pump. Future work could incorporate multi-scale coupling or other advanced techniques to obtain high-resolution flow fields inside the pump, thereby further improving studies on maneuvering performance and structural optimization.

Author Contributions

Conceptualization, L.C.; Methodology, L.C.; Software, D.Y.; Writing—original draft, D.Y.; Writing—review & editing, L.C.; Supervision, L.C. All authors have read and agreed to the published version of the manuscript.

Funding

This work was supported by the National Natural Science Foundation of China (Grant Nos. 52006147, 52276034).

Data Availability Statement

The original contributions presented in this study are included in the article. Further inquiries can be directed to the corresponding author.

Conflicts of Interest

The authors declare no conflict of interest.

References

  1. Liu, J.; Zhang, Z.; Dai, Y. State of the Art Review of Waterjet Propulsion Technology. J. Ship Boat 2023, 34, 1–13. [Google Scholar]
  2. Kaliman, M.; Li, D.Q. Waterjet Propulsion Noise. In Proceedings of the International Conference on Waterjet Propulsion, Gothenburg, Sweden, 20 February 2001; The Royal Institution of Naval Architects (RINA): Gothenburg, Sweden, 2001. [Google Scholar]
  3. Wang, H.; Ding, J. Finite Element Analysis of Structure Strength on Engine Room of a Submerged Water-Jet Propelled Ship. In Proceedings of the ASME 39th International Conference on Ocean, Offshore and Arctic Engineering (OMAE2020), Virtual, Online, 3–7 August 2020; p. V02BT02A022. [Google Scholar]
  4. Ding, J.; Li, L.; Jiang, J.; Luo, H.; Gong, J. Thrust Deduction and Stern Layout of an Amphibious Vehicle Propelled by Submerged Waterjet. J. Ship Mech. 2023, 27, 1158–1169. [Google Scholar]
  5. Jiang, J.; Ding, J. Experimental Study on Rapidity and Propulsion Performance of a Ship Model with Submerged Water-Jet Propulsion. Ship Mech. 2024, 28, 1496–1506. [Google Scholar]
  6. Jiang, J.; Ding, J.; Lyu, N.; Luo, H.; Li, L. Control Volume Determination for Submerged Waterjet System in Self-propulsion. Ocean Eng. 2022, 265, 112594. [Google Scholar] [CrossRef]
  7. Wang, T.; Wang, C.; Kong, F.; Gou, Q.; Yang, S. Theoretical, experimental, and numerical study of a special impeller used in turbine mode of a centrifugal pump as turbine. Energy 2017, 130, 473–485. [Google Scholar] [CrossRef]
  8. Ji, L.; Li, W.; Shi, W.; Tian, F.; Agarwal, R. Effect of Blade Thickness on Rotating Stall of Mixed-Flow Pump Using Entropy Generation Analysis. Energy 2021, 236, 121381. [Google Scholar] [CrossRef]
  9. Nguyen, D.-A.; Dinh, C.-T.; Kim, J.-H. Improvement in Energy Performance from the Construction of Inlet Guide Vane and Diffuser Vane Geometries in an Axial-Flow Pump. Sci. Rep. 2024, 14, 437. [Google Scholar] [CrossRef] [PubMed]
  10. Fu, X.; Li, D.; Wang, H.; Zhang, G.; Li, Z.; Wei, X.; Qin, D. Energy Analysis in a Pump-Turbine during the Load Rejection Process. J. Fluids Eng. 2018, 140, 101107. [Google Scholar] [CrossRef]
  11. Wang, C.; Zhang, Y.; Yuan, Z.; Ji, K. Development and Application of the Entropy Production Diagnostic Model to the Cavitation Flow of a Pump-Turbine in Pump Mode. Renew. Energy 2020, 154, 774–785. [Google Scholar] [CrossRef]
  12. Liu, J.-J.; Hynes, T.P. The Investigation of Turbine and Exhaust Interactions in Asymmetric Flows: Part 2—Turbine-Diffuser-Collector Interactions. In Proceedings of the ASME Turbo Expo 2002: Power for Land, Sea, and Air, Amsterdam, The Netherlands, 3–6 June 2002. [Google Scholar]
  13. Liu, J.-J.; Hynes, T.P. The Investigation of Turbine and Exhaust Interaction in Asymmetric Flows: Part 1—Blade-Row Models Applied. In Proceedings of the ASME Turbo Expo 2002: Power for Land, Sea, and Air, Amsterdam, The Netherlands, 3–6 June 2002. [Google Scholar]
  14. Joo, W.G.; Hynes, T.P. The Simulation of Turbomachinery Blade Rows in Asymmetric Flow Using Actuator Disks. J. Turbomach. 1997, 119, 723–732. [Google Scholar] [CrossRef]
  15. Fan, T.; Xie, Y.-H.; Zhang, D.; Sun, B. A Combined Numerical Model and Optimization for Low Pressure Exhaust System in Steam Turbine. In Proceedings of the ASME 2007 Power Conference, San Antonio, TX, USA, 17–19 July 2007. [Google Scholar]
  16. Tan, W.; Yan, X.; Liu, Z.; Zhang, C.; Huang, Q.-W.; Tian, Z. Review and Prospects of Shaftless Rim-Driven Propulsion Systems. J. Wuhan Univ. Technol. Transp. Sci. Eng. 2015, 39, 601–605. [Google Scholar]
  17. Pascau, A.; García, N. Consistency of SIMPLEC Scheme in Collocated Grids. In Proceedings of the V European Conference on Computational Fluid Dynamics, Lisbon, Portugal, 14–17 June 2010. [Google Scholar]
  18. Brandner, P.A.; Walker, G.J. An Experimental Investigation into the Performance of a Flush Water-jet Inlet. J. Ship Res. 2007, 51, 1–21. [Google Scholar] [CrossRef]
  19. Xu, H.; Chen, Z.; Wu, Q.; Li, X. A Wall-Modeled Large-Eddy Simulation of the Unsteady Flow in a Water-Jet Pump Based on the Turbulent Length Scales. Ocean. Eng. 2024, 313, 119559. [Google Scholar] [CrossRef]
  20. Dixon, S.L.; Hall, C.A. Fluid Mechanics and Thermodynamics of Turbomachinery; Xi’an Jiaotong University Press: Xi’an, China, 2015; pp. 185–189. [Google Scholar]
  21. Lewis, R.I. Vorticity production in turbomachines and its influence upon meridional flows. In Turbomachinery Performance Analysis; Butterworth-Heinemann: Oxford, UK, 1996; pp. 143–178. [Google Scholar]
  22. Ling, Z.; Jianwei, H.; Ling, B.; Zhang, W. Application of Entropy Production Theory for Energy Losses and Other Investigation in Pumps and Turbines: A Review. Appl. Energy 2022, 318, 119204. [Google Scholar] [CrossRef]
  23. Herwig, H.; Kock, F. Direct and Indirect Methods of Calculating Entropy Generation Rates in Turbulent Convective Heat Transfer Problems. Heat. Mass. Transf. 2007, 43, 207–215. [Google Scholar] [CrossRef]
  24. Kock, F.; Herwig, H. Local Entropy Production in Turbulent Shear Flows: A High-Reynolds Number Model with Wall Functions. Int. J. Heat. Mass. Transf. 2003, 47, 2205–2215. [Google Scholar] [CrossRef]
Figure 1. Complete Pump Model.
Figure 1. Complete Pump Model.
Jmse 14 00189 g001
Figure 2. Actuator Disk Model.
Figure 2. Actuator Disk Model.
Jmse 14 00189 g002
Figure 3. CFD model of immersed water jet propeller.
Figure 3. CFD model of immersed water jet propeller.
Jmse 14 00189 g003
Figure 4. Pump mesh: (a) Rotor mesh, (b) Stator mesh.
Figure 4. Pump mesh: (a) Rotor mesh, (b) Stator mesh.
Jmse 14 00189 g004
Figure 5. Disk model’s Mesh topology.
Figure 5. Disk model’s Mesh topology.
Jmse 14 00189 g005
Figure 6. Grid independence.
Figure 6. Grid independence.
Jmse 14 00189 g006
Figure 7. Comparison of propulsion pump experiments and numerical results.
Figure 7. Comparison of propulsion pump experiments and numerical results.
Jmse 14 00189 g007
Figure 8. Validation of the actuator disk model against the original pump.
Figure 8. Validation of the actuator disk model against the original pump.
Jmse 14 00189 g008
Figure 9. Fitted curve. (a) Segmented rotor pressure variation. (b) Segmented stator pressure variation.
Figure 9. Fitted curve. (a) Segmented rotor pressure variation. (b) Segmented stator pressure variation.
Jmse 14 00189 g009
Figure 10. Time-dependent variation in the oblique (drift) angle during one oscillation cycle of the yawing motion.
Figure 10. Time-dependent variation in the oblique (drift) angle during one oscillation cycle of the yawing motion.
Jmse 14 00189 g010
Figure 11. Variations in pump head, impeller torque, and efficiency at different oblique (drift) angles.
Figure 11. Variations in pump head, impeller torque, and efficiency at different oblique (drift) angles.
Jmse 14 00189 g011
Figure 12. Entropy generation distribution under different oblique angles: (a) Comparison of the relative proportions of wall friction and turbulent dissipation entropy generation; (b) Component-wise distribution of turbulent dissipation entropy generation.
Figure 12. Entropy generation distribution under different oblique angles: (a) Comparison of the relative proportions of wall friction and turbulent dissipation entropy generation; (b) Component-wise distribution of turbulent dissipation entropy generation.
Jmse 14 00189 g012
Figure 13. Velocity non-uniformity coefficient of the inlet section under oblique sailing conditions.
Figure 13. Velocity non-uniformity coefficient of the inlet section under oblique sailing conditions.
Jmse 14 00189 g013
Figure 14. Distribution of total pressure and streamlines on the inlet section under different oblique sailing angles.
Figure 14. Distribution of total pressure and streamlines on the inlet section under different oblique sailing angles.
Jmse 14 00189 g014
Figure 15. Distribution of turbulent dissipation entropy generation on the impeller working surface under different oblique sailing angles.
Figure 15. Distribution of turbulent dissipation entropy generation on the impeller working surface under different oblique sailing angles.
Jmse 14 00189 g015
Figure 16. Variation in casing drag and pressure coefficient under different oblique sailing angles: (a) casing drag; (b) pressure coefficient.
Figure 16. Variation in casing drag and pressure coefficient under different oblique sailing angles: (a) casing drag; (b) pressure coefficient.
Jmse 14 00189 g016
Figure 17. Circumferential sections and distribution of monitoring points on the pump casing.
Figure 17. Circumferential sections and distribution of monitoring points on the pump casing.
Jmse 14 00189 g017
Figure 18. Circumferential pressure fluctuation distribution on the pump casing: (a) circumferential angle of 90°; (b) circumferential angle of 270°; (c) circumferential angle of 180°.
Figure 18. Circumferential pressure fluctuation distribution on the pump casing: (a) circumferential angle of 90°; (b) circumferential angle of 270°; (c) circumferential angle of 180°.
Jmse 14 00189 g018
Figure 19. Layout of submerged water-jet pump configurations with different center-to-center distances: (a) single pump; (b) twin pumps with a spacing of 1.4D; (c) twin pumps with a spacing of 1.6D; (d) twin pumps with a spacing of 1.8D.
Figure 19. Layout of submerged water-jet pump configurations with different center-to-center distances: (a) single pump; (b) twin pumps with a spacing of 1.4D; (c) twin pumps with a spacing of 1.6D; (d) twin pumps with a spacing of 1.8D.
Jmse 14 00189 g019
Figure 20. Distribution of pressure coefficient C p at different axial positions on the circumferential sections of the pump casing. (a) X/D = 0.1; (b) X/D = 0.2; (c) X/D = 0.3; (d) X/D = 0.4; (e) X/D = 0.5; (f) X/D = 0.6; (g) X/D = 0.7; (h) X/D = 0.8; (i) X/D = 0.9; (j) X/D = 1.0.
Figure 20. Distribution of pressure coefficient C p at different axial positions on the circumferential sections of the pump casing. (a) X/D = 0.1; (b) X/D = 0.2; (c) X/D = 0.3; (d) X/D = 0.4; (e) X/D = 0.5; (f) X/D = 0.6; (g) X/D = 0.7; (h) X/D = 0.8; (i) X/D = 0.9; (j) X/D = 1.0.
Jmse 14 00189 g020aJmse 14 00189 g020b
Table 1. Time steps independence.
Table 1. Time steps independence.
Times Steps/[s]Force/[N]Error/[%]
0.002427.08-
0.004430.410.8
0.008433.831.6
0.016437.972.57
0.02447.924.9
Disclaimer/Publisher’s Note: The statements, opinions and data contained in all publications are solely those of the individual author(s) and contributor(s) and not of MDPI and/or the editor(s). MDPI and/or the editor(s) disclaim responsibility for any injury to people or property resulting from any ideas, methods, instructions or products referred to in the content.

Share and Cite

MDPI and ACS Style

Yang, D.; Chen, L. Calculation of Influence of Maneuverability Conditions on Submerged Water-Jet on Actuator Disk Model. J. Mar. Sci. Eng. 2026, 14, 189. https://doi.org/10.3390/jmse14020189

AMA Style

Yang D, Chen L. Calculation of Influence of Maneuverability Conditions on Submerged Water-Jet on Actuator Disk Model. Journal of Marine Science and Engineering. 2026; 14(2):189. https://doi.org/10.3390/jmse14020189

Chicago/Turabian Style

Yang, Dongsheng, and Liu Chen. 2026. "Calculation of Influence of Maneuverability Conditions on Submerged Water-Jet on Actuator Disk Model" Journal of Marine Science and Engineering 14, no. 2: 189. https://doi.org/10.3390/jmse14020189

APA Style

Yang, D., & Chen, L. (2026). Calculation of Influence of Maneuverability Conditions on Submerged Water-Jet on Actuator Disk Model. Journal of Marine Science and Engineering, 14(2), 189. https://doi.org/10.3390/jmse14020189

Note that from the first issue of 2016, this journal uses article numbers instead of page numbers. See further details here.

Article Metrics

Back to TopTop