Sign in to use this feature.

Years

Between: -

Subjects

remove_circle_outline
remove_circle_outline
remove_circle_outline
remove_circle_outline
remove_circle_outline
remove_circle_outline
remove_circle_outline

Journals

Article Types

Countries / Regions

Search Results (30)

Search Parameters:
Keywords = intra-oral scan bodies

Order results
Result details
Results per page
Select all
Export citation of selected articles as:
19 pages, 690 KB  
Review
Methodologies for Assessing the Dimensional Accuracy of Computer-Guided Static Implant Surgery in Clinical Settings: A Scoping Review
by Sorana Nicoleta Rosu, Monica Silvia Tatarciuc, Anca Mihaela Vitalariu, Roxana-Ionela Vasluianu, Irina Gradinaru, Nicoleta Ioanid, Catalina Cioloca Holban, Livia Bobu, Adina Oana Armencia, Alice Murariu, Elena-Odette Luca and Ana Maria Dima
Dent. J. 2026, 14(1), 43; https://doi.org/10.3390/dj14010043 - 8 Jan 2026
Viewed by 246
Abstract
Background: Computer-guided static implant surgery (CGSIS) is widely adopted to enhance the precision of dental implant placement. However, significant heterogeneity in reported accuracy values complicates evidence-based clinical decision-making. This variance is likely attributable to a fundamental lack of standardization in the methodologies [...] Read more.
Background: Computer-guided static implant surgery (CGSIS) is widely adopted to enhance the precision of dental implant placement. However, significant heterogeneity in reported accuracy values complicates evidence-based clinical decision-making. This variance is likely attributable to a fundamental lack of standardization in the methodologies used to assess dimensional accuracy. Objective: This scoping review aimed to systematically map, synthesize, and analyze the clinical methodologies used to quantify the dimensional accuracy of CGSIS. Methods: The review was conducted in accordance with the PRISMA-ScR guidelines. A systematic search of PubMed/MEDLINE, Scopus, and Embase was performed from inception to October 2025. Clinical studies quantitatively comparing planned versus achieved implant positions in human patients were included. Data were charted on study design, guide support type, data acquisition methods, reference systems for superimposition, measurement software, and accuracy metrics. Results: The analysis of 21 included studies revealed extensive methodological heterogeneity. Key findings included the predominant use of two distinct reference systems: post-operative CBCT (n = 12) and intraoral scanning with scan bodies (n = 6). A variety of proprietary and third-party software packages (e.g., coDiagnostiX, Geomagic, Mimics) were employed for superimposition, utilizing different alignment algorithms. Critically, this heterogeneity in measurement approach directly manifests in widely varying reported values for core accuracy metrics. In addition, the definitions and reporting of core accuracy metrics—specifically global coronal deviation (range of reported means: 0.55–1.70 mm), global apical deviation (0.76–2.50 mm), and angular deviation (2.11–7.14°)—were inconsistent. For example, these metrics were also reported using different statistical summaries (e.g., means with standard deviations or medians with interquartile ranges). Conclusions: The comparability and synthesis of evidence on CGSIS accuracy are significantly limited by non-standardized measurement approaches. The reported ranges of deviation values are a direct consequence of this methodological heterogeneity, not a comparison of implant system performance. Our findings highlight an urgent need for a consensus-based minimum reporting standard for future clinical research in this field to ensure reliable and translatable evidence. Full article
(This article belongs to the Special Issue New Trends in Digital Dentistry)
Show Figures

Graphical abstract

13 pages, 2559 KB  
Article
Comparative Evaluation of Digital Accuracy Among Three Intraoral Scanners for Posterior Implant and Tooth Scans
by Isil Kecik Buyukhatipoglu, Melek Ozdemir and Fatih Sari
Appl. Sci. 2026, 16(1), 495; https://doi.org/10.3390/app16010495 - 4 Jan 2026
Viewed by 257
Abstract
Aim: This study evaluates the digital accuracy of posterior implant scans and contralateral molar tooth scans obtained with three different intraoral scanners. Materials and Methods: Using a transfer analog, a Frasaco maxillary model was prepared with a Megagen scan body positioned in the [...] Read more.
Aim: This study evaluates the digital accuracy of posterior implant scans and contralateral molar tooth scans obtained with three different intraoral scanners. Materials and Methods: Using a transfer analog, a Frasaco maxillary model was prepared with a Megagen scan body positioned in the left maxillary molar region. An experienced operator (n = 10) performed all scans with an industrial optical reference scanner and intraoral scanners (Medit i700, TRIOS 3, and TRIOS 5). Scan accuracy was assessed using Geomagic Control X software based on 3D trueness and precision accuracy analysis. One-way ANOVA and Tukey’s HSD tests were applied to identify statistically significant differences in trueness and precision (α = 0.05). Results: In the implant region, TRIOS 5 demonstrated significantly different 3D trueness results and was more successful than TRIOS 3. Medit i700 yielded results comparable to those of TRIOS 3 and TRIOS 5 (p = 0.011). TRIOS 5 exhibited less successful 3D trueness results than the other scanners in the molar region (p = 0.001). No 3D precision differences were observed among intraoral scanners in the implant region (p = 0.561). Medit i700 presented the most favorable precision results in the molar region (p = 0.01). Conclusions: TRIOS 5 supports high impression accuracy and passive fit, while Medit i700 offers more reliable accuracy for contralateral molar scans, which can affect the digital occlusal record. Full article
(This article belongs to the Special Issue Advanced Dental Imaging Technology)
Show Figures

Figure 1

11 pages, 1897 KB  
Article
Clinical Evaluation of Intraoral, In-Lab Scanners and PVS Impression Materials Using STL Superimposition
by Nader Abdulhameed, Inessa Slipak, Alexandra Manibo, Hind Hussein, Raj Gohel, Emmanouil-George Tzanakakis and Panagiotis Zoidis
Dent. J. 2025, 13(12), 575; https://doi.org/10.3390/dj13120575 - 3 Dec 2025
Viewed by 494
Abstract
Background/Objective. The objective of this study is to test the hypothesis that there is no significant difference between intraoral scanners and in-lab scanners. An additional objective is to test the hypothesis that there is no significant difference between the accuracy of two types [...] Read more.
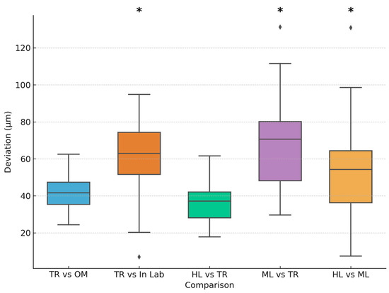
Background/Objective. The objective of this study is to test the hypothesis that there is no significant difference between intraoral scanners and in-lab scanners. An additional objective is to test the hypothesis that there is no significant difference between the accuracy of two types of polyvinyl siloxane PVS impression materials and between PVS impression materials and intraoral scanners. Material and Methods. Fourteen subjects received a set of maxillary and mandibular removable complete dentures [RCD]. Impressions of each RCD were obtained using two PVS impression materials (heavy [H] or medium [M] body with light [L] body). Each RCD was then scanned utilizing two intraoral scanners, Trios [TR] and Omnicam [OM]. The PVS impressions were sent to the lab to be further scanned by an in-lab scanner. STL files of the intraoral and in-lab scans were obtained and trimmed using the GeoMagic X Software. The files were merged [TR vs. OM] and [TR vs. in Lab], [HL vs. ML], [HL vs. TR] and [ML vs. TR] and the gap was measured in sixty points for each merged file. Results. There was no significant difference between [TR vs. OM] with a mean of 44 ± 10 μm. There was a statistically significant difference between [TR vs. In lab] with a mean of 62 ± 21 μm and [ML vs. TR] and [HL vs. ML] with means of 66 ± 24 μm and 50 ± 21 μm, respectively. There was no significant difference between [HL vs. TR] with a mean of 37 ± 10 μm. Conclusions. Intraoral scanners provide a similar quality of scans. The lab scanner depends on the impression materials used. The first null hypothesis was rejected. Using a heavy and light body PVS impression material provides more accurate and dimensionally stable impressions, particularly in full-arch applications, and is comparable to intraoral scanners. The second null hypothesis was rejected, there were significant differences between the PVS groups. These findings guide clinicians in selecting impression methods for complete dentures. Full article
Show Figures

Figure 1

15 pages, 7808 KB  
Article
In Vitro Comparison of Trueness and Precision of an AI-Driven Real-Time Library Matching Protocol with Irregular Geometry Scan Bodies for Full-Arch Implant Scanning
by Adam Brian Nulty, Cameron Kelly, Oliver Ambridge, Mark Ambridge, Rick Ferguson and Ashtyn Hoffer
Dent. J. 2025, 13(11), 533; https://doi.org/10.3390/dj13110533 - 13 Nov 2025
Viewed by 1842
Abstract
Background: Accurate digital transfer of implant positions is critical for the long-term success of full-arch prosthetic rehabilitation. Photogrammetry remains the benchmark for accuracy, but its high cost and complexity limit clinical adoption. Artificial intelligence (AI)-driven intraoral scanning protocols incorporating real-time library matching [...] Read more.
Background: Accurate digital transfer of implant positions is critical for the long-term success of full-arch prosthetic rehabilitation. Photogrammetry remains the benchmark for accuracy, but its high cost and complexity limit clinical adoption. Artificial intelligence (AI)-driven intraoral scanning protocols incorporating real-time library matching and irregular, individually coded scan bodies have been proposed as accessible alternatives to improve accuracy and reproducibility. Methods: This in vitro study evaluated the trueness and precision of a full-arch implant scanning workflow using an AI-assisted real-time library matching system in combination with irregular multi-geometry titanium scan bodies. A high-accuracy structured-light scanner served as the reference standard. Six implant positions (35, 33, 31, 41, 43, 45) were scanned across 20 datasets (n = 120). Mean surface deviations were calculated against the reference STL using CloudCompare v.2.14. and a two-way ANOVA (α = 0.05) in SPSS tested the effects of implant position and scan iteration. Results: The workflow achieved a mean deviation of 13.55 ± 9.70 μm (range 0.77–43.46 μm) across all positions. Anterior sites showed the lowest deviations (e.g., position 31: 3.95 μm; 45: 5.96 μm), while posterior sites exhibited higher deviations (e.g., position 43: 26.15 μm). No mean deviation exceeded 30 μm, and no individual measurement surpassed 45 μm. Implant position significantly affected accuracy (p < 0.001), whereas scan iteration did not (p > 0.05). Conclusions: Within the limitations of this in vitro model, an AI-assisted real-time library matching workflow used in conjunction with irregular multi-geometry scan bodies achieved accuracy levels well within clinically acceptable ranges for full-arch implant impressions. Although comparable to values reported for photogrammetry under laboratory conditions, clinical equivalence should not be assumed. Further in vivo validation is required to confirm performance under routine clinical conditions. Full article
(This article belongs to the Special Issue Digital Implantology in Dentistry)
Show Figures

Figure 1

12 pages, 1728 KB  
Article
Effectiveness of an AI-Assisted Digital Workflow for Complete-Arch Implant Impressions: An In Vitro Comparative Study
by Marco Tallarico, Mohammad Qaddomi, Elena De Rosa, Carlotta Cacciò, Silvio Mario Meloni, Ieva Gendviliene, Wael Att, Rim Bourgi, Aurea Maria Lumbau and Gabriele Cervino
Dent. J. 2025, 13(10), 462; https://doi.org/10.3390/dj13100462 - 9 Oct 2025
Viewed by 1368
Abstract
Background: The accuracy and consistency of complete-arch digital impressions are fundamental for long-term success of implant-supported rehabilitations. Recently, artificial intelligence (AI)-assisted tools, such as SmartX (Medit Link v3.4.2, MEDIT Corp., Seoul, South of Korea), have been introduced to enhance scan body recognition [...] Read more.
Background: The accuracy and consistency of complete-arch digital impressions are fundamental for long-term success of implant-supported rehabilitations. Recently, artificial intelligence (AI)-assisted tools, such as SmartX (Medit Link v3.4.2, MEDIT Corp., Seoul, South of Korea), have been introduced to enhance scan body recognition and data alignment during intraoral scanning. Objective: This in vitro study aimed to evaluate the impact of SmartX on impression accuracy, consistency, operator confidence, and technique sensitivity in complete-arch implant workflows. Methods: Seventy-two digital impressions were recorded on edentulous mandibular models with four dummy implants, using six experimental subgroups based on scan body design (double- or single-wing), scanning technique (occlusal or combined straight/zigzag), and presence/absence of SmartX tool. Each group was scanned by both an expert and a novice operator (n = 6 scans per subgroup). Root mean square (RMS) deviation and scanning time were assessed. Data were tested for normality (Shapiro–Wilk). Parametric tests (t-test, repeated measures ANOVA with Greenhouse–Geisser correction) or non-parametric equivalents (Mann–Whitney U, Friedman) were applied as appropriate. Post hoc comparisons used Tukey HSD or Dunn–Bonferroni tests (α = 0.05). Results: SmartX significantly improved consistency and operator confidence, especially among novices, although it did not yield statistically significant differences in scan accuracy (p > 0.05). The tool mitigated early scanning errors and reduced dependence on operator technique. SmartX also enabled successful library alignment with minimal data; however, scanning time was generally longer with its use, particularly for beginners. Conclusions: While SmartX did not directly enhance trueness, it substantially improved scan reliability and user experience in complete-arch workflows. Its ability to minimize technique sensitivity and improve reproducibility makes it a valuable aid in both training and clinical settings. Further clinical validation is warranted to support its integration into routine practice. Full article
Show Figures

Figure 1

18 pages, 8141 KB  
Review
AI-Driven Aesthetic Rehabilitation in Edentulous Arches: Advancing Symmetry and Smile Design Through Medit SmartX and Scan Ladder
by Adam Brian Nulty
J. Aesthetic Med. 2025, 1(1), 4; https://doi.org/10.3390/jaestheticmed1010004 - 1 Aug 2025
Cited by 1 | Viewed by 3266
Abstract
The integration of artificial intelligence (AI) and advanced digital workflows is revolutionising full-arch implant dentistry, particularly for geriatric patients with edentulous and atrophic arches, for whom achieving both prosthetic passivity and optimal aesthetic outcomes is critical. This narrative review evaluates current challenges in [...] Read more.
The integration of artificial intelligence (AI) and advanced digital workflows is revolutionising full-arch implant dentistry, particularly for geriatric patients with edentulous and atrophic arches, for whom achieving both prosthetic passivity and optimal aesthetic outcomes is critical. This narrative review evaluates current challenges in intraoral scanning accuracy—such as scan distortion, angular deviation, and cross-arch misalignment—and presents how innovations like the Medit SmartX AI-guided workflow and the Scan Ladder system can significantly enhance precision in implant position registration. These technologies mitigate stitching errors by using real-time scan body recognition and auxiliary geometric references, yielding mean RMS trueness values as low as 11–13 µm, comparable to dedicated photogrammetry systems. AI-driven prosthetic design further aligns implant-supported restorations with facial symmetry and smile aesthetics, prioritising predictable midline and occlusal plane control. Early clinical data indicate that such tools can reduce prosthetic misfits to under 20 µm and lower complication rates related to passive fit, while shortening scan times by up to 30% compared to conventional workflows. This is especially valuable for elderly individuals who may not tolerate multiple lengthy adjustments. Additionally, emerging AI applications in design automation, scan validation, and patient-specific workflow adaptation continue to evolve, supporting more efficient and personalised digital prosthodontics. In summary, AI-enhanced scanning and prosthetic workflows do not merely meet functional demands but also elevate aesthetic standards in complex full-arch rehabilitations. The synergy of AI and digital dentistry presents a transformative opportunity to consistently deliver superior precision, passivity, and facial harmony for edentulous implant patients. Full article
Show Figures

Graphical abstract

18 pages, 552 KB  
Systematic Review
The Effects of Scan Body Geometry on the Precision and the Trueness of Implant Impressions Using Intraoral Scanners: A Systematic Review
by Roksana Mohajerani, Shirin Djalalinia and Marzieh Alikhasi
Dent. J. 2025, 13(6), 252; https://doi.org/10.3390/dj13060252 - 5 Jun 2025
Cited by 2 | Viewed by 3740
Abstract
Background/Objectives: Accurate implant impressions are critical for capturing the three-dimensional (3D) spatial positioning of implants. Digital workflows using intraoral scanners (IOSs) and scan bodies offer distinct advantages over conventional elastomeric techniques. However, the geometry of scan bodies may influence the precision and trueness [...] Read more.
Background/Objectives: Accurate implant impressions are critical for capturing the three-dimensional (3D) spatial positioning of implants. Digital workflows using intraoral scanners (IOSs) and scan bodies offer distinct advantages over conventional elastomeric techniques. However, the geometry of scan bodies may influence the precision and trueness of IOS-acquired data, and optimal design parameters remain undefined. This systematic review aims to evaluate the effects of scan body geometry on the trueness of digital implant impressions captured using IOSs. Methods: A systematic search was conducted across PubMed, Scopus, EMBASE, Web of Science, the Cochrane Library, and Google Scholar up to 25 February 2025. Eligible studies assessed the impact of scan body geometry on the accuracy of implant-level impressions acquired with IOSs. Study quality was assessed using the Quality Assessment Tool for In Vitro Studies of Dental Materials (QUIN). Results: Twenty-eight studies were included, of which twenty-six were in vitro. The included studies, published between 2020 and 2025, demonstrated that variations in macro- and micro-geometries influenced both linear and angular trueness. Cylindrical designs with optimal dimensions generally outperformed cuboidal or spherical forms. Structural modifications, such as rigid bar extensions and surface facets, often improved scan accuracy. Some hybrid or modified designs performed comparably to conventional scan bodies. According to QUIN, 27 studies were moderate quality and one had high quality. Conclusions: Scan body geometry affected the accuracy of intraoral implant digital impressions. Designs featuring rigid extensions or simplified geometries improve trueness and precision. Further standardized clinical studies are needed to define optimal design features and validate current in vitro findings. Full article
Show Figures

Figure 1

35 pages, 1008 KB  
Systematic Review
Enhancing Intraoral Scanning Accuracy: From the Influencing Factors to a Procedural Guideline
by Anca Maria Fratila, Adriana Saceleanu, Vasile Calin Arcas, Nicu Fratila and Kamel Earar
J. Clin. Med. 2025, 14(10), 3562; https://doi.org/10.3390/jcm14103562 - 20 May 2025
Cited by 9 | Viewed by 8655
Abstract
Background/Objectives: Intraoral scanning, a fast-evolving technology, is increasingly integrated into actual dental workflows due to its numerous advantages. Despite its growing adoption, challenges related to the accuracy of digital impressions remain. The existing literature identifies most of the factors influencing intraoral scanning [...] Read more.
Background/Objectives: Intraoral scanning, a fast-evolving technology, is increasingly integrated into actual dental workflows due to its numerous advantages. Despite its growing adoption, challenges related to the accuracy of digital impressions remain. The existing literature identifies most of the factors influencing intraoral scanning accuracy (defined by precision and trueness), but it is fragmented and lacks a unified synthesis. In response to this gap, the present study aims to consolidate and structure the current evidence on the determinant factors and, based on these findings, to develop a clinically applicable procedural guideline for dental practitioners. Methods: A comprehensive literature review identified 43 distinct factors influencing intraoral scanning. Results: These factors encompass variables such as software versions and updates, implant characteristics (e.g., position, angulation, scan body design), materials, environmental conditions (e.g., lighting), and procedural elements including scanning strategy, pattern, aids, and operator experience. Subsequently, these identified factors were systematically classified into five distinct groups based on inherent similarities and relevance within the scanning workflow: IOS—characteristics and maintenance, intraoral morphology, materials, ambient conditions, and scanning strategy. To translate these findings into a practical framework, a four-step protocol was developed, designed for straightforward application by researchers and clinicians. Conclusions: This protocol—comprising: (1) Maintenance, (2) Evaluation, (3) Establishment and Execution of Scanning Strategy, and (4) Verification—aims to guide users effectively through the intraoral scanning process, mitigate common clinical challenges, and ensure broad applicability across diverse scanner systems, irrespective of the manufacturer or model. Full article
(This article belongs to the Special Issue Current Challenges in Clinical Dentistry: 2nd Edition)
Show Figures

Figure 1

10 pages, 1343 KB  
Article
Accuracy and Precision of Digital Impression with Reverse Scan Body Prototypes and All-on-4 Protocol: An In Vitro Research
by Marco Tallarico, Mohammad Qaddomi, Elena De Rosa, Carlotta Cacciò, Yeo Jin Jung, Silvio Mario Meloni, Francesco Mattia Ceruso, Aurea Immacolata Lumbau and Milena Pisano
Prosthesis 2025, 7(2), 36; https://doi.org/10.3390/prosthesis7020036 - 31 Mar 2025
Cited by 1 | Viewed by 3344
Abstract
Background/Objectives: Digital workflows for implant-supported full-arch restorations remain challenging. This study evaluated the accuracy and precision of digital impressions using reverse scan body (RSB) prototypes and intraoral scanners (IOSs) for rehabilitating fully edentulous patients following the All-on-4 protocol. Secondary objectives included comparing accuracy [...] Read more.
Background/Objectives: Digital workflows for implant-supported full-arch restorations remain challenging. This study evaluated the accuracy and precision of digital impressions using reverse scan body (RSB) prototypes and intraoral scanners (IOSs) for rehabilitating fully edentulous patients following the All-on-4 protocol. Secondary objectives included comparing accuracy between expert clinicians and beginners, as well as desktop scanners and various RSB designs. Methods: An in vitro study was conducted using a fully edentulous mandible model with four Osstem TSIII implants. A final-year dental student and an expert clinician captured digital impressions using IOSs and desktop scanners. Four groups were analyzed: (A) original scan bodies with the IOS, (B) short RSBs with the IOS, (C) RSBs with desktop scanners (short sandblasted, long sandblasted, long coated), and (D) a control group using original scan bodies with a desktop scanner. Root mean square (RMS) values measured dimensional differences, with statistical analysis performed using the Wilcoxon signed-rank test and one-way ANOVA (α = 0.05). Results: A total of 42 scans were analyzed. No significant difference was found between expert and student for original scan bodies using the IOS (p = 0.220), while RSB prototypes showed significant differences (p = 0.008). No significant accuracy differences were noted between original scan bodies and RSBs with the IOS, but IOSs outperformed desktop scanners. Among RSBs scanned with desktop scanners, no significant differences were observed between designs. Conclusions: RSB prototypes are a viable alternative to original scan bodies for fully digital workflows in All-on-4 rehabilitations, with IOSs offering superior accuracy. However, proper training is crucial for optimizing RSB accuracy. Variations in height and coating did not impact overall accuracy. Full article
Show Figures

Figure 1

13 pages, 4316 KB  
Article
Comparison of Full-Arch Intraoral Scans Immediately After Implant Insertion Versus Healed Tissue: A Multicentric Clinical Study
by Francesco Bagnasco, Maria Menini, Paolo Pesce, Armando Crupi, Umberto Gibello, Francesca Delucchi, Massimo Carossa and Francesco Pera
Prosthesis 2024, 6(6), 1359-1371; https://doi.org/10.3390/prosthesis6060098 - 20 Nov 2024
Cited by 6 | Viewed by 2843
Abstract
Objectives: The purpose of this clinical study is to compare implant full-arch intraoral scans taken immediately after implant placement with those obtained after tissue healing in patients rehabilitated with implant-supported fixed prostheses. Methods: Between September 2023 and March 2024, a total [...] Read more.
Objectives: The purpose of this clinical study is to compare implant full-arch intraoral scans taken immediately after implant placement with those obtained after tissue healing in patients rehabilitated with implant-supported fixed prostheses. Methods: Between September 2023 and March 2024, a total of 19 patients with compromised residual dentition (6 women; 13 men) were rehabilitated using 4-to-6 immediately loaded post-extraction implants. These implants supported fixed full-arch screw-retained prostheses either in the lower jaw (9 patients) or upper jaw (10 patients). Intraoral scans were taken immediately after implant placement (termed “immediate scan”). After a healing period of four months, the provisional prosthesis was removed, and a second intraoral scan was performed using the same scan bodies and scan pattern as the initial scan (termed “delayed scan”). The two scans were overlaid, and the discrepancies between them were measured. Results: The average discrepancy between the immediate and delayed scans was 0.1905 mm. Our statistical analysis revealed larger discrepancies for implants placed in the posterior areas, with the implant in site 1.6 (Implant 1) showing a discrepancy of 0.2326 mm, and the implant in site 2.6 (Implant 4) showing a discrepancy of 0.2124 mm (p = 0.05). No statistically significant difference was observed when comparing patients treated in the upper and lower jaws. Conclusions: Within the limitations of the study and based on this result, clinicians should be aware that an immediate post-surgical intraoral digital scan for implant-supported full-arch rehabilitations may result in a higher risk of imprecision. Furthermore, according to the results of the study, the accuracy of the digital impression on implant full-arch rehabilitations seems to be influenced by the clinician’s skills. Further studies with larger sample sizes are required to confirm our results. Full article
(This article belongs to the Collection Oral Implantology: Current Aspects and Future Perspectives)
Show Figures

Figure 1

16 pages, 8537 KB  
Case Report
Complex Full-Arch Treatment with Zygomatic Implants, Fully Digital Protocol with Scan Flag Intraoral Scanning, and 3D-Printed Temporary Reconstructions in a Periodontal Patient—A Case Report
by Adam Nowicki and Karolina Osypko
Biomedicines 2024, 12(11), 2617; https://doi.org/10.3390/biomedicines12112617 - 15 Nov 2024
Cited by 5 | Viewed by 2880
Abstract
Background: The following case report presents the treatment of a patient with severe maxillary atrophy and failing residual dentition. The patient has been diagnosed with stage IV grade C periodontitis, making this case challenging from the very beginning. Methods: The treatment plan was [...] Read more.
Background: The following case report presents the treatment of a patient with severe maxillary atrophy and failing residual dentition. The patient has been diagnosed with stage IV grade C periodontitis, making this case challenging from the very beginning. Methods: The treatment plan was based on collecting and merging digital data: CBCT, a face scan, and an intraoral scan. Due to the advancement of the periodontal disease, the treatment was divided into three stages. The entire process was conducted in a digital manner, based on the concept of prosthetically driven implantology. Additionally, all prosthetic temporaries were planned via digital smile design. Stage I included extracting the residual dentition, placing four implants in the mandible, and the delivery of a 3D-printed upper removable denture. Stage II included placing two zygomatic implants, two anchored piriform rims, and one midline implant. Both arches were immediately loaded with the intraoral welding of abutments screwed to multiunit abutments and 3D-printed shells. Subsequently, in stage III, two milled ceramic superstructures combined with a titanium milled bar were delivered as a final screw-retained restoration with the application of scan flags (horizontal scan bodies) for intraoral scanning. Results: The aforementioned technologies can all be implemented and merged into one complex treatment plan combining high predictability, successful esthetics, and a reliable and accurate end result. Even though the concept of scan flags is relatively new, this case shows its potential and merit. Conclusions: This case represents the power of the digital approach as a helpful tool in the recreation of functional and esthetic smiles in compromised conditions in periodontal patients. Full article
Show Figures

Figure 1

12 pages, 867 KB  
Article
Comparative Analysis of Intraoral Scanner Accuracy in a Six-Implant Complete-Arch Model: An In Vitro Study
by Francesco Ferrini, Federica Mazzoleni, Matteo Barbini, Carlotta Coppo, Giovanna Laura Di Domenico and Enrico Felice Gherlone
Prosthesis 2024, 6(2), 401-412; https://doi.org/10.3390/prosthesis6020030 - 22 Apr 2024
Cited by 5 | Viewed by 6326
Abstract
(1) Background: Since new intraoral scanner (IOS) versions are introduced to the market and software continues to advance, there is an ongoing need to assess the accuracy of newer IOS models. (2) Methods: Four types of IOSs and one laboratory scanner (used as [...] Read more.
(1) Background: Since new intraoral scanner (IOS) versions are introduced to the market and software continues to advance, there is an ongoing need to assess the accuracy of newer IOS models. (2) Methods: Four types of IOSs and one laboratory scanner (used as a reference) were used to scan an edentulous model with six parallel implants and their respective scan bodies, which were connected to each other. Using dedicated software, the distances between all scan bodies were calculated, generating a total of 540 measurements. Trueness (comparisons to the reference model) and precision (intragroup comparisons) were statistically compared with ANOVA and Tukey tests. (3) Results: When considering trueness values, statistically significant differences were observed between the tested scanner for all subgroups considered (p < 0.05). By contrast, no statistically significant differences were reported for precision values. (4) Conclusions: Within the limitations of the present in vitro study, it can be concluded that all tested IOSs were similar in terms of precision, while Trios and i700W yielded the worst trueness values. Nevertheless, increasing the measuring distance leads to a decrease in both trueness and precision. Full article
Show Figures

Figure 1

16 pages, 4549 KB  
Article
Comparison between Conventional and Digital Impressions for Determining Axes and Distances of Three Implants in Straight and Curved Lines: An In Vitro Study
by Gil Ben-Izhack, Ophir Rosner, Eran Zenziper, Joseph Nissan, Reema Hosary, Diva Lugassy and Asaf Shely
J. Clin. Med. 2024, 13(8), 2352; https://doi.org/10.3390/jcm13082352 - 18 Apr 2024
Cited by 4 | Viewed by 2622
Abstract
Background: In this study, we aimed to compare the effects of conventional and digital impressions on several parameters (inter-implant distance, intra-implant distance, inter-implant axis, and intra-implant axis) of three implants in curved lines and straight lines by using a laboratory scanner (LBS) [...] Read more.
Background: In this study, we aimed to compare the effects of conventional and digital impressions on several parameters (inter-implant distance, intra-implant distance, inter-implant axis, and intra-implant axis) of three implants in curved lines and straight lines by using a laboratory scanner (LBS) versus an intra-oral scanner (IOS). Methods: Two 3D models were fabricated using a printer, each model with three internal hex implants analogues at the positions of 15#,16#,17# (straight line) and 12#,13#,14# (curved line). Standard intra-oral scan bodies (ISBs) were used, and the two models were scanned using 7 Series dental wings (LBS, reference model), followed by ten scans with Primescan (digital method). Standard Tessellation Language (STL) files were created. Five polyether impressions were taken from each model (straight and curved), and gypsum type 4 models were poured; each model was scanned five times to create a total of 25 STL files for each group (conventional method). The comparison between all the STL files (conventional and digital) was made by superimposition of the STL files on the STL reference model laboratory file using a 3D analyzing software. A Kolmogorov–Smirnov test was performed, followed by Mann–Whitney tests and Wilcoxon signed-rank tests. (p < 0.05). Results: For the conventional method, the mean errors were significantly higher for the curved line model (12–14) compared to the straight line model (15–17) for most parameters (p < 0.05). For the digital method, the mean errors were significantly higher for the curved-line model (12–14) compared to the straight line model (15–17) in half of the parameters (p < 0.05). Within the curved line model (12–14) and the straight line model (15–17), the mean errors between the conventional method and the digital method were not significant for most variables. Conclusions: The difference between curved lines and straight lines has an impact on the mean error of the conventional method. Both methods are reliable for straight and curved lines in partially dentate situations. Full article
Show Figures

Figure 1

16 pages, 4177 KB  
Article
Accuracy of Dental Implant Placement with Dynamic Navigation—Investigation of the Influence of Two Different Optical Reference Systems: A Randomized Clinical Trial
by Anne Knipper, Katharina Kuhn, Ralph G. Luthardt and Sigmar Schnutenhaus
Bioengineering 2024, 11(2), 155; https://doi.org/10.3390/bioengineering11020155 - 4 Feb 2024
Cited by 5 | Viewed by 5904
Abstract
This randomized prospective clinical study aims to analyze the differences between the computer-assisted planned implant position and the clinically realized implant position using dynamic navigation. In the randomized prospective clinical study, 30 patients were recruited, of whom 27 could receive an implant (BLT, [...] Read more.
This randomized prospective clinical study aims to analyze the differences between the computer-assisted planned implant position and the clinically realized implant position using dynamic navigation. In the randomized prospective clinical study, 30 patients were recruited, of whom 27 could receive an implant (BLT, Straumann Institut AG, Basel, Switzerland) using a dynamic computer-assisted approach. Patients with at least six teeth in their jaws to be implanted were included in the study. Digital planning was performed using cone beam tomography imaging, and the visualization of the actual situation was carried out using an intraoral scan. Two different workflows with differently prepared reference markers were performed with 15 patients per group. The actual clinically achieved implant position was recorded with scan bodies fixed to the implants and an intraoral scan. The deviations between the planned and realized implant positions were recorded using evaluation software. The clinical examinations revealed no significant differences between procedures A and B in the mesiodistal, buccolingual and apicocoronal directions. For the mean angular deviation, group B showed a significantly more accurate value of 2.7° (95% CI 1.6–3.9°) than group A, with a value of 6.3° (95% CI 4.0–8.7°). The mean 3D deviation at the implant shoulder was 2.35 mm for workflow A (95% CI 1.92–2.78 mm) and 1.62 mm for workflow B (95% CI 1.2–2.05 mm). Workflow B also showed significantly higher accuracy in this respect. Similar values were determined at the implant apex. The clinical examination shows that sufficiently accurate implant placement is possible with the dynamic navigation system used here. The use of different workflows sometimes resulted in significantly different accuracy results. The data of the present study are comparable with the published findings of other static and dynamic navigation procedures. Full article
(This article belongs to the Special Issue Computer-Assisted Maxillofacial Surgery)
Show Figures

Figure 1

13 pages, 5888 KB  
Article
Three-Dimensional Scanning Accuracy of Intraoral Scanners for Dental Implant Scan Bodies—An Original Study
by Cristian Rotaru, Elena Adina Bica, Cristian Butnărașu and Mihai Săndulescu
Medicina 2023, 59(11), 2037; https://doi.org/10.3390/medicina59112037 - 19 Nov 2023
Cited by 3 | Viewed by 5494
Abstract
Background and Objectives: With the increased trend towards digitalization in dentistry, intraoral scanning has, to a certain extent, replaced conventional impressions in particular clinical settings. Trueness and precision are essential traits for optical impressions but have so far been incompletely explored. Materials [...] Read more.
Background and Objectives: With the increased trend towards digitalization in dentistry, intraoral scanning has, to a certain extent, replaced conventional impressions in particular clinical settings. Trueness and precision are essential traits for optical impressions but have so far been incompletely explored. Materials and Methods: We performed a study to evaluate the differences in the three-dimensional spatial orientations of implant analogs on a stone cast when using an intraoral scanner compared to a dental laboratory scanner. We assessed the deviation of the intraoral scans compared to the laboratory scan for three standardized implant measurement plans and compared these results with control scans of the neighboring natural teeth. Results: We found no statistically significant correlation between the measurements at the scan body level and the landmarks chosen as controls on the neighboring natural teeth (p = 0.198). The values for the implant scans presented wider variation compared to the control scans. The difference between the implant and the control planes ranged from −0.018 mm to +0.267 mm, with a median of −0.011 mm (IQR: −0.001–0.031 mm). While most values fell within a clinically acceptable margin of error of 0.05 mm, 12.5% of the measurements fell outside of this acceptable range and could potentially affect the quality of the resulting prosthetic work. Conclusions: For single-unit implant-supported restorations, intraoral scanning might have enough accuracy. However, the differences that result when scanning with an intraoral scanner may affect the quality of prosthetic work on multiple implants, especially if they are screw-retained. Based on our results, we propose different adaptations of the prosthetic protocol to minimize the potential effect of errors that may occur during the digital workflow. Full article
(This article belongs to the Special Issue Clinical Advances in Dentoalveolar Surgery)
Show Figures

Figure 1

Back to TopTop