Sign in to use this feature.

Years

Between: -

Subjects

remove_circle_outline
remove_circle_outline
remove_circle_outline
remove_circle_outline
remove_circle_outline
remove_circle_outline
remove_circle_outline
remove_circle_outline
remove_circle_outline

Journals

remove_circle_outline
remove_circle_outline
remove_circle_outline
remove_circle_outline
remove_circle_outline
remove_circle_outline
remove_circle_outline
remove_circle_outline
remove_circle_outline

Article Types

Countries / Regions

remove_circle_outline
remove_circle_outline
remove_circle_outline
remove_circle_outline
remove_circle_outline
remove_circle_outline

Search Results (2,590)

Search Parameters:
Keywords = inertial measurements units

Order results
Result details
Results per page
Select all
Export citation of selected articles as:
22 pages, 7601 KB  
Article
Validation of a Multimodal Wearable Device Integrating EMG and IMU Sensors for Monitoring Upper Limb Function During Tooth Brushing Activities of Daily Living
by Patrícia Santos, Filipa Marquês, Carla Quintão and Cláudia Quaresma
Sensors 2026, 26(2), 510; https://doi.org/10.3390/s26020510 (registering DOI) - 12 Jan 2026
Abstract
Analyzing the dynamics of muscle activation patterns and joint range of motion is essential to understanding human movement during complex tasks such as tooth brushing Activities of Daily Living (ADLs). In individuals with neuromotor impairments, accurate assessment of upper limb motor patterns plays [...] Read more.
Analyzing the dynamics of muscle activation patterns and joint range of motion is essential to understanding human movement during complex tasks such as tooth brushing Activities of Daily Living (ADLs). In individuals with neuromotor impairments, accurate assessment of upper limb motor patterns plays a critical role in rehabilitation, supporting the identification of compensatory strategies and informing clinical interventions. This study presents the validation of a previously developed novel, low-cost, wearable, and portable multimodal prototype that integrates inertial measurement units (IMU) and surface electromyography (sEMG) sensors into a single device. The system enables bilateral monitoring of arm segment kinematics and muscle activation amplitudes from six major agonist muscles during ADLs. Eleven healthy participants performed a functional task, tooth brushing, while wearing the prototype. The recorded data were compared with two established gold-standard systems, Qualisys® motion capture system and Biosignalsplux®, for validation of kinematic and electrophysiological measurements, respectively. This study provides technical insights into the device’s architecture. The developed system demonstrates potential for clinical and research applications, particularly for monitoring upper limb function and evaluating rehabilitation outcomes in populations with neurological disorders. Full article
20 pages, 5061 KB  
Article
Research on Orchard Navigation Technology Based on Improved LIO-SAM Algorithm
by Jinxing Niu, Jinpeng Guan, Tao Zhang, Le Zhang, Shuheng Shi and Qingyuan Yu
Agriculture 2026, 16(2), 192; https://doi.org/10.3390/agriculture16020192 - 12 Jan 2026
Abstract
To address the challenges in unstructured orchard environments, including high geometric similarity between fruit trees (with the measured average Euclidean distance difference between point cloud descriptors of adjacent trees being less than 0.5 m), significant dynamic interference (e.g., interference from pedestrians or moving [...] Read more.
To address the challenges in unstructured orchard environments, including high geometric similarity between fruit trees (with the measured average Euclidean distance difference between point cloud descriptors of adjacent trees being less than 0.5 m), significant dynamic interference (e.g., interference from pedestrians or moving equipment can occur every 5 min), and uneven terrain, this paper proposes an improved mapping algorithm named OSC-LIO (Orchard Scan Context Lidar Inertial Odometry via Smoothing and Mapping). The algorithm designs a dynamic point filtering strategy based on Euclidean clustering and spatiotemporal consistency within a 5-frame sliding window to reduce the interference of dynamic objects in point cloud registration. By integrating local semantic features such as fruit tree trunk diameter and canopy height difference, a two-tier verification mechanism combining “global and local information” is constructed to enhance the distinctiveness and robustness of loop closure detection. Motion compensation is achieved by fusing data from an Inertial Measurement Unit (IMU) and a wheel odometer to correct point cloud distortion. A three-level hierarchical indexing structure—”path partitioning, time window, KD-Tree (K-Dimension Tree)”—is built to reduce the time required for loop closure retrieval and improve the system’s real-time performance. Experimental results show that the improved OSC-LIO system reduces the Absolute Trajectory Error (ATE) by approximately 23.5% compared to the original LIO-SAM (Tightly coupled Lidar Inertial Odometry via Smoothing and Mapping) in a simulated orchard environment, while enabling stable and reliable path planning and autonomous navigation. This study provides a high-precision, lightweight technical solution for autonomous navigation in orchard scenarios. Full article
Show Figures

Figure 1

14 pages, 2135 KB  
Article
Integration of Shear-Wave Elastography and Inertial Motion Sensing for Quantitative Monitoring of Tendon Remodeling After Shockwave Therapy in Greater Trochanteric Pain Syndrome
by Gabriele Santilli, Antonello Ciccarelli, Francesco Agostini, Andrea Bernetti, Mario Vetrano, Sveva Maria Nusca, Eleonora Latini, Massimiliano Mangone, Samanta Taurone, Daniele Coraci, Giorgio Felzani, Marco Paoloni and Valter Santilli
Bioengineering 2026, 13(1), 83; https://doi.org/10.3390/bioengineering13010083 - 12 Jan 2026
Abstract
Background: Greater trochanteric pain syndrome (GTPS) is associated with structural tendon alterations and functional impairment. Extracorporeal shockwave therapy (ESWT) is a common treatment, but objective monitoring of tendon remodeling and motor recovery remains limited. Objective: This study aimed to integrate shear-wave elastography (SWE) [...] Read more.
Background: Greater trochanteric pain syndrome (GTPS) is associated with structural tendon alterations and functional impairment. Extracorporeal shockwave therapy (ESWT) is a common treatment, but objective monitoring of tendon remodeling and motor recovery remains limited. Objective: This study aimed to integrate shear-wave elastography (SWE) expressed in m/s and wearable inertial measurement unit (IMU) as biosensing tools for the quantitative assessment of tendon elasticity, morphology, and hip motion after ESWT in GTPS. Methods: In a prospective cohort of adults with chronic GTPS, shear wave elastography (SWE) quantified gluteus medius tendon (GMT) elasticity and thickness, while hip abduction range of motion (ROM) was measured using a triaxial inertial measurement unit. Clinical scores on the Visual Analogue Scale (VAS), Harris Hip Score (HHS), Low Extremity Functional Scale (LEFS), and Roles and Maudsley score (RM) were collected at baseline (T0) and at 6 months (T1). Results: Thirty-five patients completed follow-up. Pain and function improved significantly (VAS, HHS, LEFS, RM; all p < 0.05). SWE values of the affected GMT increased, while tendon thickness decreased yet remained greater than on the contralateral side. Hip abduction ROM increased significantly from T0 to T1 (p < 0.05). Correlation analysis showed a negative association between abduction and pain at T1 (r = −0.424; p = 0.011) and, at baseline, between abduction and VAS (r = −0.428; p = 0.010) and RM (r = −0.346; p = 0.042), and a positive association with LEFS (r = 0.366; p = 0.031). SWE correlated negatively with VAS at T1 (r = −0.600; p < 0.05) and positively with HHS at T1 (r = 0.400; p < 0.05). Conclusions: Integrating elastography with inertial sensor-based motion analysis provides complementary, quantitative insights into tendon remodeling and functional recovery after ESWT in GTPS. These findings support combined imaging and wearable motion measures to monitor treatment response over time. Full article
(This article belongs to the Section Biosignal Processing)
Show Figures

Figure 1

24 pages, 5589 KB  
Article
Low-Cost Optical–Inertial Point Cloud Acquisition and Sketch System
by Tung-Chen Chao, Hsi-Fu Shih, Chuen-Lin Tien and Han-Yen Tu
Sensors 2026, 26(2), 476; https://doi.org/10.3390/s26020476 - 11 Jan 2026
Abstract
This paper proposes an optical three-dimensional (3D) point cloud acquisition and sketching system, which is not limited by the measurement size, unlike traditional 3D object measurement techniques. The system employs an optical displacement sensor for surface displacement scanning and a six-axis [...] Read more.
This paper proposes an optical three-dimensional (3D) point cloud acquisition and sketching system, which is not limited by the measurement size, unlike traditional 3D object measurement techniques. The system employs an optical displacement sensor for surface displacement scanning and a six-axis inertial sensor (accelerometer and gyroscope) for spatial attitude perception. A microprocessor control unit (MCU) is responsible for acquiring, merging, and calculating data from the sensors, converting it into 3D point clouds. Butterworth filtering and Mahoney complementary filtering are used for sensor signal preprocessing and calculation, respectively. Furthermore, a human–machine interface is designed to visualize the point cloud and display the scanning path and measurement trajectory in real time. Compared to existing works in the literature, this system has a simpler hardware architecture, more efficient algorithms, and better operation, inspection, and observation features. The experimental results show that the maximum measurement error on 2D planes is 4.7% with a root mean square (RMS) error of 2.1%, corresponding to the reference length of 10.3 cm. For 3D objects, the maximum measurement error is 5.3% with the RMS error of 2.4%, corresponding to the reference length of 9.3 cm. Finally, it was verified that this system can also be applied to large-sized 3D objects for outlines. Full article
(This article belongs to the Special Issue Imaging and Sensing in Fiber Optics and Photonics: 2nd Edition)
18 pages, 3491 KB  
Article
Stationary State Recognition of a Mobile Platform Based on 6DoF MEMS Inertial Measurement Unit
by Marcin Bogucki, Waldemar Samociuk, Paweł Stączek, Mirosław Rucki, Arturas Kilikevicius and Radosław Cechowicz
Appl. Sci. 2026, 16(2), 729; https://doi.org/10.3390/app16020729 - 10 Jan 2026
Viewed by 38
Abstract
The article presents the analytic method for real-time detection of the stationary state of a vehicle based on information retrieved from 6 DoF IMU sensor. Reliable detection of stillness is essential for the application of resetting the inertial sensor’s output bias, called Zero [...] Read more.
The article presents the analytic method for real-time detection of the stationary state of a vehicle based on information retrieved from 6 DoF IMU sensor. Reliable detection of stillness is essential for the application of resetting the inertial sensor’s output bias, called Zero Velocity Update method. It is obvious that the signal from the strapped on inertial sensor differs while the vehicle is stationary or moving. Effort was then made to find a computational method that would automatically discriminate between both states with possibly small impact on the vehicle embedded controller. An algorithmic step-by-step method for building, optimizing, and implementing a diagnostic system that detects the vehicle’s stationary state was developed. The proposed method adopts the “Mahalanobis Distance” quantity widely used in industrial quality assurance systems. The method transforms (fuses) information from multiple diagnostic variables (including linear accelerations and angular velocities) into one scalar variable, expressing the degree of deviation in the robot’s current state from the stationary state. Then, the method was implemented and tested in the dead reckoning navigation system of an autonomous wheeled mobile robot. The method correctly classified nearly 93% of all stationary states of the robot and obtained only less than 0.3% wrong states. Full article
(This article belongs to the Special Issue Recent Advances and Future Challenges in Manufacturing Metrology)
Show Figures

Figure 1

30 pages, 5321 KB  
Article
DTVIRM-Swarm: A Distributed and Tightly Integrated Visual-Inertial-UWB-Magnetic System for Anchor Free Swarm Cooperative Localization
by Xincan Luo, Xueyu Du, Shuai Yue, Yunxiao Lv, Lilian Zhang, Xiaofeng He, Wenqi Wu and Jun Mao
Drones 2026, 10(1), 49; https://doi.org/10.3390/drones10010049 - 9 Jan 2026
Viewed by 81
Abstract
Accurate Unmanned Aerial Vehicle (UAV) positioning is vital for swarm cooperation. However, this remains challenging in situations where Global Navigation Satellite System (GNSS) and other external infrastructures are unavailable. To address this challenge, we propose to use only the onboard Microelectromechanical System Inertial [...] Read more.
Accurate Unmanned Aerial Vehicle (UAV) positioning is vital for swarm cooperation. However, this remains challenging in situations where Global Navigation Satellite System (GNSS) and other external infrastructures are unavailable. To address this challenge, we propose to use only the onboard Microelectromechanical System Inertial Measurement Unit (MIMU), Magnetic sensor, Monocular camera and Ultra-Wideband (UWB) device to construct a distributed and anchor-free cooperative localization system by tightly fusing the measurements. As the onboard UWB measurements under dynamic motion conditions are noisy and discontinuous, we propose an adaptive adjustment method based on chi-squared detection to effectively filter out inconsistent and false ranging information. Moreover, we introduce the pose-only theory to model the visual measurement, which improves the efficiency and accuracy for visual-inertial processing. A sliding window Extended Kalman Filter (EKF) is constructed to tightly fuse all the measurements, which is capable of working under UWB or visual deprived conditions. Additionally, a novel Multidimensional Scaling-MAP (MDS-MAP) initialization method fuses ranging, MIMU, and geomagnetic data to solve the non-convex optimization problem in ranging-aided Simultaneous Localization and Mapping (SLAM), ensuring fast and accurate swarm absolute pose initialization. To overcome the state consistency challenge inherent in the distributed cooperative structure, we model not only the UWB noisy uncertainty but also the neighbor agent’s position uncertainty in the measurement model. Furthermore, we incorporate the Covariance Intersection (CI) method into our UWB measurement fusion process to address the challenge of unknown correlations between state estimates from different UAVs, ensuring consistent and robust state estimation. To validate the effectiveness of the proposed methods, we have established both simulation and hardware test platforms. The proposed method is compared with state-of-the-art (SOTA) UAV localization approaches designed for GNSS-challenged environments. Extensive experiments demonstrate that our algorithm achieves superior positioning accuracy, higher computing efficiency and better robustness. Moreover, even when vision loss causes other methods to fail, our proposed method continues to operate effectively. Full article
(This article belongs to the Special Issue Autonomous Drone Navigation in GPS-Denied Environments)
56 pages, 3043 KB  
Review
Interdisciplinary Applications of LiDAR in Forest Studies: Advances in Sensors, Methods, and Cross-Domain Metrics
by Nadeem Fareed, Carlos Alberto Silva, Izaya Numata and Joao Paulo Flores
Remote Sens. 2026, 18(2), 219; https://doi.org/10.3390/rs18020219 - 9 Jan 2026
Viewed by 80
Abstract
Over the past two decades, Light Detection and Ranging (LiDAR) technology has evolved from early National Aeronautics and Space Administration (NASA)-led airborne laser altimetry into commercially mature systems that now underpin vegetation remote sensing across scales. Continuous advancements in laser engineering, signal processing, [...] Read more.
Over the past two decades, Light Detection and Ranging (LiDAR) technology has evolved from early National Aeronautics and Space Administration (NASA)-led airborne laser altimetry into commercially mature systems that now underpin vegetation remote sensing across scales. Continuous advancements in laser engineering, signal processing, and complementary technologies—such as Inertial Measurement Units (IMU) and Global Navigation Satellite Systems (GNSS)—have yielded compact, cost-effective, and highly sophisticated LiDAR sensors. Concurrently, innovations in carrier platforms, including uncrewed aerial systems (UAS), mobile laser scanning (MLS), Simultaneous Localization and Mapping (SLAM) frameworks, have expanded LiDAR’s observational capacity from plot- to global-scale applications in forestry, precision agriculture, ecological monitoring, Above Ground Biomass (AGB) modeling, and wildfire science. This review synthesizes LiDAR’s cross-domain capabilities for the following: (a) quantifying vegetation structure, function, and compositional dynamics; (b) recent sensor developments encompassing ALS discrete-return (ALSD) and ALS full-waveform (ALSFW), photon-counting LiDAR (PCL), emerging multispectral LiDAR (MSL), and hyperspectral LiDAR (HSL) systems; and (c) state-of-the-art data processing and fusion workflows integrating optical and radar datasets. The synthesis demonstrates that many LiDAR-derived vegetation metrics are inherently transferable across domains when interpreted within a unified structural framework. The review further highlights the growing role of artificial-intelligence (AI)-driven approaches for segmentation, classification, and multitemporal analysis, enabling scalable assessments of vegetation dynamics at unprecedented spatial and temporal extents. By consolidating historical developments, current methodological advances, and emerging research directions, this review establishes a comprehensive state-of-the-art perspective on LiDAR’s transformative role and future potential in monitoring and modeling Earth’s vegetated ecosystems. Full article
(This article belongs to the Special Issue Digital Modeling for Sustainable Forest Management)
34 pages, 6460 KB  
Article
Explainable Gait Multi-Anchor Space-Aware Temporal Convolutional Networks for Gait Recognition in Neurological, Orthopedic, and Healthy Cohorts
by Abdullah Alharthi
Mathematics 2026, 14(2), 230; https://doi.org/10.3390/math14020230 - 8 Jan 2026
Viewed by 120
Abstract
Gait recognition using wearable sensor data is crucial for healthcare, rehabilitation, and monitoring neurological and musculoskeletal disorders. This study proposes a deep learning framework for gait classification using inertial measurements from four body-mounted IMU sensors (head, lower back, and both feet). The data [...] Read more.
Gait recognition using wearable sensor data is crucial for healthcare, rehabilitation, and monitoring neurological and musculoskeletal disorders. This study proposes a deep learning framework for gait classification using inertial measurements from four body-mounted IMU sensors (head, lower back, and both feet). The data were collected from a publicly available, clinically annotated dataset comprising 1356 gait trials from 260 individuals with diverse pathologies. The framework, G-MASA-TCN (Gait Multi-Anchor, Space-Aware Temporal Convolutional Network), integrates multi-scale temporal fusion, graph-informed spatial modeling, and residual dilated convolutions to extract discriminative gait signatures. To ensure both high performance and interpretability, Integrated Gradients is incorporated as an explainable AI (XAI) method, providing sensor-level and temporal attributes that reveal the features driving model decisions. The framework is evaluated via repeated cross-validation experiments, reporting detailed metrics with cross-run statistical analysis (mean ± standard deviation) to assess robustness. Results show that G-MASA-TCN achieves 98% classification accuracy for neurological, orthopedic, and healthy cohorts, demonstrating superior stability and resilience compared to baseline architectures, including Gated Recurrent Unit (GRU), Transformer neural networks, and standard TCNs, and 98.4% accuracy in identifying individual subjects based on gait. Furthermore, the model offers clinically meaningful insights into which sensors and gait phases contribute most to its predictions. This work presents an accurate, interpretable, and reliable tool for gait pathology recognition, with potential for translation to real-world clinical settings. Full article
(This article belongs to the Special Issue Deep Neural Network: Theory, Algorithms and Applications)
Show Figures

Graphical abstract

35 pages, 2688 KB  
Review
Measurement Uncertainty and Traceability in Upper Limb Rehabilitation Robotics: A Metrology-Oriented Review
by Ihtisham Ul Haq, Francesco Felicetti and Francesco Lamonaca
J. Sens. Actuator Netw. 2026, 15(1), 8; https://doi.org/10.3390/jsan15010008 - 7 Jan 2026
Viewed by 96
Abstract
Upper-limb motor impairment is a major consequence of stroke and neuromuscular disorders, imposing a sustained clinical and socioeconomic burden worldwide. Quantitative assessment of limb positioning and motion accuracy is fundamental to rehabilitation, guiding therapy evaluation and robotic assistance. The evolution of upper-limb positioning [...] Read more.
Upper-limb motor impairment is a major consequence of stroke and neuromuscular disorders, imposing a sustained clinical and socioeconomic burden worldwide. Quantitative assessment of limb positioning and motion accuracy is fundamental to rehabilitation, guiding therapy evaluation and robotic assistance. The evolution of upper-limb positioning systems has progressed from optical motion capture to wearable inertial measurement units (IMUs) and, more recently, to data-driven estimators integrated with rehabilitation robots. Each generation has aimed to balance spatial accuracy, portability, latency, and metrological reliability under ecological conditions. This review presents a systematic synthesis of the state of measurement uncertainty, calibration, and traceability in upper-limb rehabilitation robotics. Studies are categorised across four layers, i.e., sensing, fusion, cognitive, and metrological, according to their role in data acquisition, estimation, adaptation, and verification. The Preferred Reporting Items for Systematic Reviews and Meta-Analyses (PRISMA) protocol was followed to ensure transparent identification, screening, and inclusion of relevant works. Comparative evaluation highlights how modern sensor-fusion and learning-based pipelines achieve near-optical angular accuracy while maintaining clinical usability. Persistent challenges include non-standard calibration procedures, magnetometer vulnerability, limited uncertainty propagation, and absence of unified traceability frameworks. The synthesis indicates a gradual transition toward cognitive and uncertainty-aware rehabilitation robotics in which metrology, artificial intelligence, and control co-evolve. Traceable measurement chains, explainable estimators, and energy-efficient embedded deployment emerge as essential prerequisites for regulatory and clinical translation. The review concludes that future upper-limb systems must integrate calibration transparency, quantified uncertainty, and interpretable learning to enable reproducible, patient-centred rehabilitation by 2030. Full article
Show Figures

Figure 1

10 pages, 2505 KB  
Proceeding Paper
Flight Test Performance Assessment of a Machine-Learning Software-Enhanced Inertial Navigation System
by Matthew Starkey, Carl Sequeira, Conrad Rider, Gabriel Furse and Dylan Palmer-Jorge
Eng. Proc. 2025, 88(1), 79; https://doi.org/10.3390/engproc2025088079 - 6 Jan 2026
Viewed by 109
Abstract
In this paper, Flare Bright presents flight test results gathered using a ~2m fixed wingspan drone to demonstrate the capability that has been achieved using an Inertial Navigation System (INS) augmented by Machine Learning tuned software. INSs, using Inertial Measurement Units (IMUs), are [...] Read more.
In this paper, Flare Bright presents flight test results gathered using a ~2m fixed wingspan drone to demonstrate the capability that has been achieved using an Inertial Navigation System (INS) augmented by Machine Learning tuned software. INSs, using Inertial Measurement Units (IMUs), are invaluable for position estimation in GNSS-compromised environments as no external information is required. However, with no absolute measurement of a vehicle’s position or attitude, INSs suffer from significant drift over time. The results from a robust flight test programme, over multiple vehicles, terrains and flight paths, show how Flare Bright combined a low cost and low SWaP (space, weight and power) IMU, with their patent-pending software-only techniques, to boost INS performance to the degree of besting a ‘tactical grade’ IMU in ~20 min. These results credibly demonstrate the value of Flare Bright’s solution as an effective, low-cost and low-weight INS for extended flight operations of small uncrewed aerial systems in GNSS-compromised environments, with performance comparable to heavier, more expensive high-end IMUs. Full article
(This article belongs to the Proceedings of European Navigation Conference 2024)
Show Figures

Figure 1

30 pages, 12301 KB  
Article
Deep Learning 1D-CNN-Based Ground Contact Detection in Sprint Acceleration Using Inertial Measurement Units
by Felix Friedl, Thorben Menrad and Jürgen Edelmann-Nusser
Sensors 2026, 26(1), 342; https://doi.org/10.3390/s26010342 - 5 Jan 2026
Viewed by 220
Abstract
Background: Ground contact (GC) detection is essential for sprint performance analysis. Inertial measurement units (IMUs) enable field-based assessment, but their reliability during sprint acceleration remains limited when using heuristic and recently used machine learning algorithms. This study introduces a deep learning one-dimensional convolutional [...] Read more.
Background: Ground contact (GC) detection is essential for sprint performance analysis. Inertial measurement units (IMUs) enable field-based assessment, but their reliability during sprint acceleration remains limited when using heuristic and recently used machine learning algorithms. This study introduces a deep learning one-dimensional convolutional neural network (1D-CNN) to improve GC event and GC times detection in sprint acceleration. Methods: Twelve sprint-trained athletes performed 60 m sprints while bilateral shank-mounted IMUs (1125 Hz) and synchronized high-speed video (250 Hz) captured the first 15 m. Video-derived GC events served as reference labels for model training, validation, and testing, using resultant acceleration and angular velocity as model inputs. Results: The optimized model (18 inception blocks, window = 100, stride = 15) achieved mean Hausdorff distances ≤ 6 ms and 100% precision and recall for both validation and test datasets (Rand Index ≥ 0.977). Agreement with video references was excellent (bias < 1 ms, limits of agreement ± 15 ms, r > 0.90, p < 0.001). Conclusions: The 1D-CNN surpassed heuristic and prior machine learning approaches in the sprint acceleration phase, offering robust, near-perfect GC detection. These findings highlight the promise of deep learning-based time-series models for reliable, real-world biomechanical monitoring in sprint acceleration tasks. Full article
(This article belongs to the Special Issue Inertial Sensing System for Motion Monitoring)
Show Figures

Figure 1

14 pages, 1828 KB  
Article
Associations Between Limited Dorsiflexion Under Load and Compensatory Hip/Pelvic Gait Patterns in Healthy Adults
by Kaden M. Kunz, David G. Kirk, John Wadner and Nickolai J. P. Martonick
Biomechanics 2026, 6(1), 6; https://doi.org/10.3390/biomechanics6010006 - 5 Jan 2026
Viewed by 195
Abstract
Background/Objectives: Limited ankle dorsiflexion has been associated with compensatory movement patterns throughout the lower extremity kinematic chain. This study investigated relationships between weight-bearing dorsiflexion capacity and lower limb kinematics and plantar pressure patterns during gait. Methods: Twenty-seven healthy adults (age: 22.8 [...] Read more.
Background/Objectives: Limited ankle dorsiflexion has been associated with compensatory movement patterns throughout the lower extremity kinematic chain. This study investigated relationships between weight-bearing dorsiflexion capacity and lower limb kinematics and plantar pressure patterns during gait. Methods: Twenty-seven healthy adults (age: 22.8 ± 3.4 years) performed a weight-bearing lunge test (WBLT) and walked at a standardized pace across a pressure-sensing walkway while wearing inertial measurement units. Statistical Parametric Mapping assessed correlations between WBLT dorsiflexion and kinematic variables throughout the stance phase. Partial correlations controlled for walking velocity and were used to examine relationships with discrete plantar pressure measurements. Results: Reduced dorsiflexion capacity during the WBLT showed bilateral moderate associations with less ankle dorsiflexion (LEFT: peak r = 0.53; RIGHT: peak r = 0.60) and knee flexion (LEFT: peak r = 0.56; RIGHT: peak r = 0.58) during terminal stance and push-off. Proximal compensations demonstrated limb-specific patterns. Hip abduction was strongly negatively correlated in the left leg only (peak r = −0.65), while pelvic tilt showed bilateral relationships with opposing temporal patterns (LEFT: peak r = −0.58 early stance; RIGHT: peak r = 0.62 terminal stance). Plantar pressure analysis revealed that reduced dorsiflexion was associated with decreased heel relative impulse bilaterally (r = 0.53–0.56) and altered temporal patterns of midfoot loading on the left leg (r = 0.56). Conclusions: Limited dorsiflexion under load is associated with compensatory movement patterns extending from the ankle to the pelvis bilaterally. The evaluation of loaded ankle mobility should be considered an essential component of lower extremity movement assessment. Full article
(This article belongs to the Section Gait and Posture Biomechanics)
Show Figures

Figure 1

26 pages, 3302 KB  
Article
An Autonomous Land Vehicle Navigation System Based on a Wheel-Mounted IMU
by Shuang Du, Wei Sun, Xin Wang, Yuyang Zhang, Yongxin Zhang and Qihang Li
Sensors 2026, 26(1), 328; https://doi.org/10.3390/s26010328 - 4 Jan 2026
Viewed by 313
Abstract
Navigation errors due to drifting in inertial systems using low-cost sensors are some of the main challenges for land vehicle navigation in Global Navigation Satellite System (GNSS)-denied environments. In this paper, we propose an autonomous navigation strategy with a wheel-mounted microelectromechanical system (MEMS) [...] Read more.
Navigation errors due to drifting in inertial systems using low-cost sensors are some of the main challenges for land vehicle navigation in Global Navigation Satellite System (GNSS)-denied environments. In this paper, we propose an autonomous navigation strategy with a wheel-mounted microelectromechanical system (MEMS) inertial measurement unit (IMU), referred to as the wheeled inertial navigation system (INS), to effectively suppress drifted navigation errors. The position, velocity, and attitude (PVA) of the vehicle are predicted through the inertial mechanization algorithm, while gyro outputs are utilized to derive the vehicle’s forward velocity, which is treated as an observation with non-holonomic constraints (NHCs) to estimate the inertial navigation error states. To establish a theoretical foundation for wheeled INS error characteristics, a comprehensive system observability analysis is conducted from an analytical point of view. The wheel rotation significantly improves the observability of gyro errors perpendicular to the rotation axis, which effectively suppresses azimuth errors, horizontal velocity, and position errors. This leads to the superior navigation performance of a wheeled INS over the traditional odometer (OD)/NHC/INS. Moreover, a hybrid extended particle filter (EPF), which fuses the extended Kalman filter (EKF) and PF, is proposed to update the vehicle’s navigation states. It has the advantages of (1) dealing with the system’s non-linearity and non-Gaussian noises, and (2) simultaneously achieving both a high level of accuracy in its estimation and tolerable computational complexity. Kinematic field test results indicate that the proposed wheeled INS is able to provide an accurate navigation solution in GNSS-denied environments. When a total distance of over 26 km is traveled, the maximum position drift rate is only 0.47% and the root mean square (RMS) of the heading error is 1.13°. Full article
(This article belongs to the Section Navigation and Positioning)
Show Figures

Figure 1

17 pages, 1524 KB  
Article
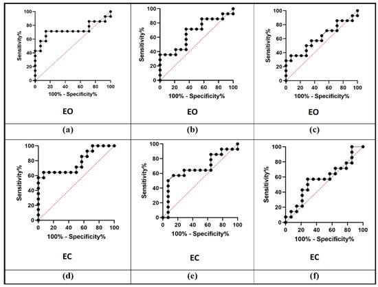
Wearable Sensor–Based Gait Analysis in Benign Paroxysmal Positional Vertigo: Quantitative Assessment of Residual Dizziness Using the φ-Bonacci Framework
by Beatrice Francavilla, Sara Maurantonio, Nicolò Colistra, Luca Pietrosanti, Davide Balletta, Goran Latif Omer, Arianna Di Stadio, Stefano Di Girolamo, Cristiano Maria Verrelli and Pier Giorgio Giacomini
Life 2026, 16(1), 75; https://doi.org/10.3390/life16010075 - 4 Jan 2026
Viewed by 195
Abstract
Background: Benign Paroxysmal Positional Vertigo (BPPV) is the most common vestibular disorder. Although canalith repositioning procedures (CRPs) typically resolve positional vertigo, several patients still report imbalance or residual dizziness, which remain difficult to quantify with standard tests. Wearable inertial sensors now allow [...] Read more.
Background: Benign Paroxysmal Positional Vertigo (BPPV) is the most common vestibular disorder. Although canalith repositioning procedures (CRPs) typically resolve positional vertigo, several patients still report imbalance or residual dizziness, which remain difficult to quantify with standard tests. Wearable inertial sensors now allow high-resolution, objective gait analysis and may detect subtle vestibular-related impairments. Objectives: This study evaluates the clinical usefulness of sensor-based gait metrics, enhanced by the newly developed φ-bonacci index framework to quantify gait changes and residual dizziness in BPPV before and after CRPs. Methods: Fifteen BPPV patients (BPPV-P) and fifteen age-matched controls completed walking tests under eyes-open (EO) and eyes-closed (EC) conditions using wearable inertial measurement units (IMU). φ-bonacci index components—self-similarity (A1), swing symmetry (A2), and double-support consistency (A4)—were calculated to assess gait harmonicity, symmetry and stability. Results: Before treatment, BPPV-P exhibited significantly higher A1 values than healthy controls (p = 0.038 EO; p = 0.011 EC), indicating impaired gait harmonicity. After CRPs, A1 values normalized to control levels, suggesting restored gait self-similarity. Under visual deprivation, both A1 and A4 showed pronounced increases across all groups, reflecting the contribution of vision to balance control. Among post-treatment patients, those reporting residual dizziness demonstrated persistently elevated A4 values—particularly under EC conditions—indicating incomplete sensory reweighting despite clinical recovery. Conclusions: Wearable sensor–derived φ-bonacci metrics offer sensitive, objective markers of gait abnormalities and residual dizziness in BPPV, supporting their use as digital biomarkers for diagnosis, rehabilitation, and follow-up. Full article
(This article belongs to the Section Medical Research)
Show Figures

Figure 1

12 pages, 669 KB  
Article
Reliability of the Output Sports Inertial Measurement Unit in Measuring a Reactive Strength Index from the Drop Jump and 10-5 Rebound Jump Test
by Conor P. Clancy, Kieran D. Collins and Thomas M. Comyns
Sports 2026, 14(1), 15; https://doi.org/10.3390/sports14010015 - 4 Jan 2026
Viewed by 200
Abstract
This study examined the trial-to-trial reliability and usefulness of the Output Sports inertial measurement unit (IMU) in measuring reactive strength index (RSI) derived from the Drop Jump (DJ) and 10-5 rebound jump test (10-5 RJT). Twenty-three male elite intercounty hurlers (mean ± SD; [...] Read more.
This study examined the trial-to-trial reliability and usefulness of the Output Sports inertial measurement unit (IMU) in measuring reactive strength index (RSI) derived from the Drop Jump (DJ) and 10-5 rebound jump test (10-5 RJT). Twenty-three male elite intercounty hurlers (mean ± SD; age: 24.3 ± 3.7 years, mass: 88.0 ± 6.3 kg, height: 183.8 ± 5.8 cm, experience at elite level: 5.8 ± 3.8 years) performed three trials each of the DJ and 10-5 RJT, on familiarisation and testing days. There was one week between familiarisation and testing. Reliability was determined by intraclass correlation (ICC) and coefficient of variation (CV) analyses. Usefulness was assessed by comparing typical error (TE) with the smallest worthwhile change (SWC). Both the DJ and 10-5 RJT were reliable in determining RSI, with CV ≤ 10% and ICC ≥ 0.8. The TE was 0.09 and 0.08 for the DJ and 10-5 RJT, respectively. Both tests were unable to detect the SWC, rating them as ‘marginal’; however, they were rated as ‘good’ in detecting moderate change in RSI. The Output Sports IMU is reliable in determining RSI for the DJ and 10-5 RJT; however, it is unable to detect the SWC. Future research must determine validity of the Output Sports IMU in measuring RSI. Full article
Show Figures

Figure 1

Back to TopTop