Sign in to use this feature.

Years

Between: -

Subjects

remove_circle_outline
remove_circle_outline
remove_circle_outline
remove_circle_outline
remove_circle_outline
remove_circle_outline
remove_circle_outline
remove_circle_outline
remove_circle_outline

Journals

remove_circle_outline
remove_circle_outline
remove_circle_outline
remove_circle_outline
remove_circle_outline
remove_circle_outline
remove_circle_outline
remove_circle_outline
remove_circle_outline
remove_circle_outline
remove_circle_outline
remove_circle_outline
remove_circle_outline
remove_circle_outline
remove_circle_outline
remove_circle_outline
remove_circle_outline
remove_circle_outline
remove_circle_outline
remove_circle_outline

Article Types

Countries / Regions

remove_circle_outline
remove_circle_outline
remove_circle_outline
remove_circle_outline
remove_circle_outline
remove_circle_outline
remove_circle_outline
remove_circle_outline

Search Results (4,423)

Search Parameters:
Keywords = in vitro screening

Order results
Result details
Results per page
Select all
Export citation of selected articles as:
22 pages, 3741 KB  
Article
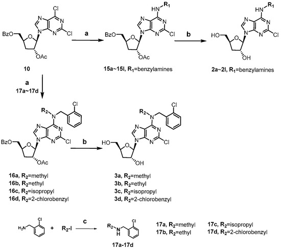
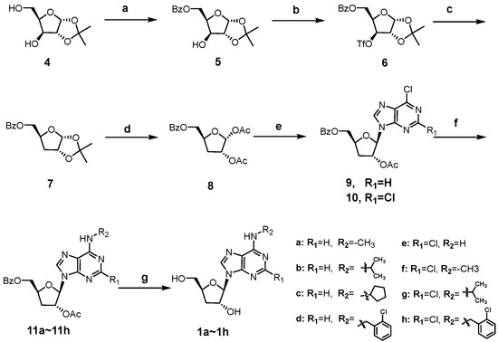
Design, Synthesis, and Anti-Hepatic Fibrosis Evaluation of Cordycepin Derivatives
by Wenfang Pan, Siqi Liu, Yuanchen Zhong, Bixi Tang, Yi Zang and Yuanchao Xie
Molecules 2026, 31(2), 264; https://doi.org/10.3390/molecules31020264 (registering DOI) - 12 Jan 2026
Abstract
Activation of hepatic stellate cells (HSCs) featuring upregulated expression of α-smooth muscle actin (α-SMA) is recognized as a key driver for hepatic fibrosis, which provides a promising strategy for seeking anti-liver fibrogenic agents via suppressing the activation event. In this study, we designed [...] Read more.
Activation of hepatic stellate cells (HSCs) featuring upregulated expression of α-smooth muscle actin (α-SMA) is recognized as a key driver for hepatic fibrosis, which provides a promising strategy for seeking anti-liver fibrogenic agents via suppressing the activation event. In this study, we designed and synthesized twenty-eight cordycepin derivatives through structural modifications at the C2 position and the C6-NH2 group of the purine moiety. These compounds were screened for their inhibitory effects on HSC activation by detecting the mRNA expression of α-SMA using quantitative real-time polymerase chain reaction (qPCR) in the LX-2 cell model. Most compounds displayed inhibitory activity comparable to cordycepin, with compound 3a bearing a C2-chloro and a N6-methyl-N6-(2-chlorobenzyl) substituent, demonstrating enhanced in vitro anti-fibrotic effect. This compound was able to dose-dependently downregulate α-SMA and collagen-I at both mRNA and protein levels, inhibited LX-2 cell migration, and exhibited improved metabolic stability in liver microsomes. The Western blotting result also indicated that 3a could activate the AMPK signaling pathway. Overall, these results suggest 3a may serve as a lead compound for further investigation. Full article
Show Figures

Figure 1

25 pages, 6043 KB  
Article
Identifying Key Metabolites in South African Medicinal Plants Using Dual Electrospray Ionization Metabolomics
by Mmamudi Anna Makhafola, Clarissa Marcelle Naidoo, Chikwelu Lawrence Obi, Benson Chuks Iweriedor, Oyinlola Oluwunmi Olaokun, Earl Prinsloo, Muhammad Sulaiman Zubair and Nqobile Monate Mkolo
Plants 2026, 15(2), 232; https://doi.org/10.3390/plants15020232 - 12 Jan 2026
Abstract
Despite growing interest in South African medicinal plants, advanced metabolomic workflows that integrate positive (ESI+) and negative (ESI−) ionization modes in UPLC-MS/MS remain sparsely applied to South African flora, and especially to Acorus calamus and Lippia javanica species. Herein, application of a dual-polarity [...] Read more.
Despite growing interest in South African medicinal plants, advanced metabolomic workflows that integrate positive (ESI+) and negative (ESI−) ionization modes in UPLC-MS/MS remain sparsely applied to South African flora, and especially to Acorus calamus and Lippia javanica species. Herein, application of a dual-polarity (positive (ESI+) and negative (ESI−) ionization modes) using an untargeted UPLC–MS/MS workflow, integrated with HEK293T cytotoxicity screening, to map their metabolomes, and rank potential signature metabolites for targeted antiviral follow-up. SwissADME supported in silico drug-likeness. Neither plant extract was cytotoxic across the concentration range, with absorbance-based cell viability of 73.82% for L. javanica and 77.23% for A. calamus at 250 µg/mL, and fluorescence-based cell viability ≥59.87% and ≥55.89%, respectively. Dual-polarity expanded coverage with ESI− yielded 312 features, compared with 225 with ESI+, consistent with the predominance of acidic phenolics in plant species. Unsupervised and supervised models segregated the plant species (PCA PC1/PC2 variance: ESI+ 89.4%/3.0%; ESI− 93.5%/1.8%; R2X(cum) = 0.799). Differential analysis identified 118 significant features in ESI+ with 80 up-regulated, 38 down-regulated, and 139 in ESI− with 96 up-regulated, 43 down-regulated. The ESI− showed the wider dynamic range. Chemotypes enriched among significant metabolites include flavonols of 3-O-methylkaempferol, apigenin, and conjugates of Pollenin A, iridoid glycosides of oleoside, forsythoside B, and jasmonate-pathway oxylipins of 7-epi-12-hydroxyjasmonic acid and its glucoside. These also include caryoptosidic acid and catechin-7-glucoside, which are ionized in both modes, pinning the increase in biomarker robustness. In conclusion, a dual-mode UPLC–MS/MS approach, integrated with cytotoxicity exploration, delivers a complementary metabolome coverage and a safety awareness for shortlisting of potential signature metabolites from L. javanica and A. calamus. Moreover, in vitro inhibition of SARS-CoV-2 papain-like protease (PLpro) by these plants links chemical signatures to antiviral relevance. Shortlisted significant metabolites that demonstrated favorable drug-likeness include flavonol scaffolds of 3-O-methylkaempferol, Pollenin A, and jasmonate-pathway derivatives of 7-epi-12-hydroxyjasmonic acid. Moreover, the dual ionization mode may eliminate ionization bias, broaden metabolome coverage, and yield a mechanism-ready shortlist of metabolites from South African medicinal plants for downstream antiviral investigation. Full article
Show Figures

Figure 1

28 pages, 3174 KB  
Review
Advanced Biomaterial-Based In Vitro Osteoarthritis Models: Integrating Sex as a Biological Variable in Hormonal, Subchondral Bone, and Mechanobiological Pathways
by Elisa Capuana, Angela De Luca, Viviana Costa, Lavinia Raimondi, Daniele Bellavia, Valerio Brucato, Gianluca Giavaresi and Vincenzo La Carrubba
J. Funct. Biomater. 2026, 17(1), 35; https://doi.org/10.3390/jfb17010035 - 10 Jan 2026
Viewed by 75
Abstract
Osteoarthritis (OA) is the most common form of arthritis and represents a major clinical and socioeconomic burden. Epidemiological data consistently show that OA affects women more frequently and, in several joints, more severely than men. Nevertheless, current in vitro models rarely consider sex-specific [...] Read more.
Osteoarthritis (OA) is the most common form of arthritis and represents a major clinical and socioeconomic burden. Epidemiological data consistently show that OA affects women more frequently and, in several joints, more severely than men. Nevertheless, current in vitro models rarely consider sex-specific variables, limiting their ability to capture the biological mechanisms that shape the pathogenesis and progression of OA. Increasing evidence indicates that age-related hormonal fluctuations and subchondral bone remodeling strongly influence OA evolution, and that these processes differ between the sexes. For instance, the decline in estrogen levels during menopause has been associated with accelerated cartilage degeneration, increased osteoclastic activity, and a higher susceptibility to subchondral bone alterations, which may contribute to more aggressive clinical manifestations in women. These mechanisms are only partially reproduced in widely used experimental systems, including traditional biomaterial scaffolds and simplified osteochondral constructs, leaving important sex-dependent pathways unresolved. While advanced biomaterials enable precise control of stiffness, porosity, and biochemical cues, most current in vitro OA models still rely on sex-neutral design assumptions, limiting their ability to reproduce the divergent disease trajectories observed in men and women. By integrating material properties with dynamic loading and tunable hormonal conditions, next-generation in vitro systems could improve mechanistic understanding, increase the reliability of drug screening, and better support the development of sex-specific therapies through the combined efforts of bioengineering, materials science, cell biology, and translational medicine. Full article
(This article belongs to the Special Issue Advanced Biomaterials for Bone Tissue Engineering)
Show Figures

Figure 1

26 pages, 4308 KB  
Article
Development of Antimicrobial Wound Healing Hydrogels Based on the Microbial Polysaccharide Pullulan
by Natalya Vedyashkina, Lyudmila Ignatova, Yelena Brazhnikova, Ilya Digel and Tatiana Stupnikova
Polysaccharides 2026, 7(1), 7; https://doi.org/10.3390/polysaccharides7010007 - 9 Jan 2026
Viewed by 188
Abstract
Microbial polysaccharides are promising components for wound-care products. This study reports the development of wound-healing antimicrobial hydrogels, based on pullulan from Aureobasidium pullulans, combined with mesenchymal cell-derived conditioned medium. Structural characterization of pullulan was confirmed by FTIR and NMR. Twenty-three formulations containing [...] Read more.
Microbial polysaccharides are promising components for wound-care products. This study reports the development of wound-healing antimicrobial hydrogels, based on pullulan from Aureobasidium pullulans, combined with mesenchymal cell-derived conditioned medium. Structural characterization of pullulan was confirmed by FTIR and NMR. Twenty-three formulations containing pullulan, chitosan, gelatin, citric acid, and antimicrobial agents were prepared. Physicochemical screening identified optimal hydrogels: No. 22 (1.2% pullulan, 1.2% chitosan, 0.2% citric acid, 2.4% gelatin, 0.1% conditioned medium, 0.4% glutaraldehyde) and No. 23 (2.4% pullulan, no chitosan, the remaining components identical to those in No. 22). Both exhibited pH values of 5.34 and 5.49, moisture content of 92%, swelling capacities of 175% and 213%, and dynamic viscosity between 58–120 mPa·s. Cytotoxicity testing with human mesenchymal stem cells showed no significant toxicity, with both hydrogels supporting cell adhesion and proliferation. Antimicrobial assays demonstrated inhibitory activity against Staphylococcus aureus and Escherichia coli for both formulations; only hydrogel No. 23 inhibited Pseudomonas aeruginosa. In vitro scratch assays revealed that hydrogel No. 23 significantly promoted fibroblast migration, achieving 30.25% scratch closure after 24 h. The developed formulations combine favorable physicochemical properties with antimicrobial efficacy and regenerative potential, supporting further evaluation as advanced wound-healing and anti-burn dressings. Full article
Show Figures

Graphical abstract

22 pages, 2746 KB  
Article
Characterization of Novel Sigma Receptor Ligands Derived from Multicomponent Reactions as Efficacious Treatments for Neuropathic Pain
by Ryosuke Shinouchi, Bengisu Turgutalp, Rohini S. Ople, Shainnel O. Eans, Ashai K. Williams, Haylee R. Hammond, Andras Varadi, Rebecca Notis Dardashti, Susruta Majumdar and Jay P. McLaughlin
Pharmaceuticals 2026, 19(1), 117; https://doi.org/10.3390/ph19010117 - 8 Jan 2026
Viewed by 108
Abstract
Background/Objectives: Neuropathic pain remains a significant clinical challenge, with current treatments often providing inadequate relief and adverse effects. Sigma receptors (SRs) modulate nociception and have emerged as potential therapeutic targets for neuropathic pain. Although putative sigma-1 receptor (S1R) ligands have demonstrated analgesic [...] Read more.
Background/Objectives: Neuropathic pain remains a significant clinical challenge, with current treatments often providing inadequate relief and adverse effects. Sigma receptors (SRs) modulate nociception and have emerged as potential therapeutic targets for neuropathic pain. Although putative sigma-1 receptor (S1R) ligands have demonstrated analgesic efficacy in preclinical models, their in vivo efficacy and safety profiles require further clarification. Methods: Analogs of well-known selective S1R ligand UVM147 were synthesized using 3-component Ugi reactions and examined in vitro for receptor affinity in radioligand competition binding assays and in vivo with mouse models of neuropathic and inflammatory pain and adverse effects. Results: Three novel heterocyclic compounds (RO-4-3, RO-5-3, and RO-7-3) displayed in vitro nanomolar affinity with varying selectivity for both SR subtypes (S1R and S2R). When screened in vivo at a dose of 30 mg/kg s.c. in mice first subjected to chronic constriction injury (CCI), RO-5-3 and RO-7-3 possessed anti-allodynic potential, while UVM147 was inactive. Upon full characterization, RO-5-3 significantly attenuated mechanical allodynia in a dose-dependent manner, while RO-7-3 was ineffective at higher doses. Both compounds dose-dependently attenuated nociceptive behaviors in the mouse formalin assay. RO-5-3 induced mild respiratory depression without impairing locomotor activity, whereas RO-7-3 caused transient respiratory depression and locomotor impairment. Additionally, RO-5-3, but not RO-7-3, induced conditioned place aversion consistent with potential S2R involvement. Conclusions: RO-5-3 exerts antinociceptive and anti-allodynic effects with minimal adverse behavioral effects, supporting the role of SRs in pain modulation. These results add to growing evidence supporting the development of SR ligands as efficacious therapeutics for neuropathic pain with fewer clinical liabilities. Full article
(This article belongs to the Special Issue Current Advances in Therapeutic Potential of Sigma Receptor Ligands)
Show Figures

Graphical abstract

18 pages, 1615 KB  
Article
Integrating Computational and Experimental Approaches for the Discovery of Multifunctional Peptides from the Marine Gastropod Pisania pusio with Antimicrobial and Anticancer Properties
by Ernesto M. Martell-Huguet, Thalia Moran-Avila, José E. Villuendas, Armando Rodriguez, Ann-Kathrin Kissmann, Ludger Ständker, Sebastian Wiese, Anselmo J. Otero-Gonzalez and Frank Rosenau
Mar. Drugs 2026, 24(1), 32; https://doi.org/10.3390/md24010032 - 8 Jan 2026
Viewed by 186
Abstract
Marine invertebrates are a prime source of biologically active peptides due to their role in humoral immunity. These peptides typically exhibit broad-spectrum functions, including antibacterial, antifungal, anticancer, and immunomodulatory activities. In this report, we describe the identification and biological characterization of five novel [...] Read more.
Marine invertebrates are a prime source of biologically active peptides due to their role in humoral immunity. These peptides typically exhibit broad-spectrum functions, including antibacterial, antifungal, anticancer, and immunomodulatory activities. In this report, we describe the identification and biological characterization of five novel bioactive peptides from the marine mollusk Pisania pusio. An extract of P. pusio was analyzed using nanoLC-ESI-MS-MS, and five peptides (PP1–5) were selected via bioinformatic screening as potential antimicrobial and anticancer peptides and subsequently validated experimentally. Among these, PP1, PP2, and PP4 were identified as cryptides derived from the proteolytic cleavage of actin, while PP3 and PP5 are novel peptides with no known protein precursors. All peptides exhibited moderate activity against Pseudomonas aeruginosa, Escherichia coli, Staphylococcus aureus, and Klebsiella pneumoniae with minimum inhibitory concentrations (MICs) predominantly at 100 µM. In contrast, only PP1 and PP5 were active against cancer cells, with PP1 being the most effective against A375 melanoma cells (IC50 = 17.08 µM). This experimental validation confirmed the utility of the integrated in silico/peptidomic pipeline for lead identification. None of these peptides showed significant hemolytic activity or toxicity on fetal lung fibroblasts over 800 μM, demonstrating promising in vitro selectivity. These results highlight the multifunctional nature of P. pusio-derived peptides and their potential as lead compounds for further optimization and development into therapeutic agents against microbial infections and cancer, subject to more comprehensive safety evaluations in relevant models Full article
(This article belongs to the Special Issue Toxins as Marine-Based Drug Discovery, 2nd Edition)
Show Figures

Figure 1

20 pages, 5955 KB  
Article
Screening and Probiotic Property Analysis of High Exopolysaccharide-Producing Lactic Acid Bacteria from Sayram Yogurt
by Xudong Zhao, Kaiyue Wang, Zhaojun Ban, Jia Li, Xingqian Ye, Wei Liu, Xiaoyu Wang, Heng Xu, Heng Zhang, Hui Zhang, Zisheng Yang and Longying Pei
Microorganisms 2026, 14(1), 140; https://doi.org/10.3390/microorganisms14010140 - 8 Jan 2026
Viewed by 103
Abstract
Exopolysaccharides (EPSs) produced by lactic acid bacteria (LAB) are bioactive polymers with significant potential for human health. This study aimed to isolate and systematically evaluate the in vitro probiotic properties of high exopolysaccharide-producing LAB strains from traditional Sayram yogurt. From fifteen strains, six [...] Read more.
Exopolysaccharides (EPSs) produced by lactic acid bacteria (LAB) are bioactive polymers with significant potential for human health. This study aimed to isolate and systematically evaluate the in vitro probiotic properties of high exopolysaccharide-producing LAB strains from traditional Sayram yogurt. From fifteen strains, six strains with high exopolysaccharide production were identified using 16Sr DNA sequencing. We assessed their probiotic potential by testing acid resistance, bile salt tolerance, tolerance to artificial gastrointestinal fluid, self-aggregation, hydrophobicity, safety, antibacterial activity, and antioxidant capacity. Results showed these six strains exhibited a strong tolerance to acid, bile salts, and artificial gastrointestinal fluids, and had high self-aggregation abilities and surface hydrophobicity. The isolated strains exhibited varying degrees of sensitivity to the tested antibiotics, with no hemolysis, suggesting good safety. In addition, their cell-free supernatants significantly inhibited the growth of Staphylococcus aureus and showed stronger antioxidant activity than cell lysates. In conclusion, the six LAB strains screened in this study possess excellent in vitro probiotic properties and have potential value for further development, providing a preliminary strain reserve and theoretical reference for subsequent research and related product development. Full article
(This article belongs to the Section Food Microbiology)
Show Figures

Figure 1

22 pages, 5268 KB  
Article
Herba Patriniae Component Linarin Induces Cell Cycle Arrest and Senescence in Non-Small-Cell Lung Cancer Associated with Cyclin A2 Downregulation
by Wen Xie, Xia Li, Dongmei Huang, Jiana Xu, Minghan Yu, Yanping Li and Qing K. Wang
Pharmaceuticals 2026, 19(1), 111; https://doi.org/10.3390/ph19010111 - 8 Jan 2026
Viewed by 110
Abstract
Background: Non-small-cell lung cancer (NSCLC) remains a major therapeutic challenge due to its high incidence and mortality. Herba Patriniae (HP), a traditional Chinese medicine, has long been used for respiratory disorders and exhibits anti-cancer potential. However, the therapeutic effects of HP on [...] Read more.
Background: Non-small-cell lung cancer (NSCLC) remains a major therapeutic challenge due to its high incidence and mortality. Herba Patriniae (HP), a traditional Chinese medicine, has long been used for respiratory disorders and exhibits anti-cancer potential. However, the therapeutic effects of HP on NSCLC and the underlying mechanisms have not been fully elucidated. Methods: Network pharmacology was applied to identify the core active components of HP and their potential targets in NSCLC. The anti-cancer effects of the core HP component Linarin on the malignant phenotypes of NSCLC cells were characterized using Tumor Protein P53 (p53) wild-type A549 and p53-null H1299 cell lines with Cell Counting Kit-8 (CCK-8), EdU fluorescence staining, colony formation, apoptosis analysis, cell cycle analysis, and senescence-associated β-galactosidase (SA-β-gal) staining, together with molecular docking and Western blotting analyses. Results: Network pharmacology analysis identified Linarin as the core active component of HP and screened out six hub targets, including Cyclin Dependent Kinase 1/4 (CDK1/4), Cyclin A2/B1 (CCNA2/B1), and Checkpoint Kinase 1/2 (CHEK1/2), which were found to be mainly enriched in cell cycle and senescence pathways. In vitro assays showed that Linarin dose-dependently (0–200 μM) inhibited NSCLC cell proliferation, induced G0/G1 phase arrest, and promoted cellular senescence and apoptosis in both cell lines, irrespective of p53 status. Molecular docking confirmed strong binding affinities between Linarin and the hub targets, and Western blotting confirmed that Linarin downregulated CCNA2/B1 and CHEK1. Conclusions: This study demonstrates that Linarin, the core active component of HP, exerts potent anti-NSCLC effects by inducing G0/G1 arrest, senescence, and apoptosis. These effects are associated with the downregulation of key cell cycle regulators, including CCNA2/B1 and CHEK1. Together, these findings highlight the potential of Linarin as a promising therapeutic option for NSCLC. Full article
(This article belongs to the Special Issue Adjuvant Therapies for Cancer Treatment: 2nd Edition)
Show Figures

Graphical abstract

20 pages, 1840 KB  
Article
Evaluation of the Antibacterial, Antioxidant, Anticancer, and Antidiabetic Activities of the Leaves and Inflorescences of Crassula capitella
by Sahar Abdulaziz AlSedairy, Manal Abdulaziz Binobead, Fuad Alanazi and Ibrahim M. Aziz
Biomedicines 2026, 14(1), 121; https://doi.org/10.3390/biomedicines14010121 - 7 Jan 2026
Viewed by 228
Abstract
Background/Objectives: Plants of the Crassulaceae family have been utilized in traditional medicine because of their medicinal properties. Crassula capitella, an ornamental succulent plant, has not yet received significant attention from physiochemists or pharmacologists. The objective of this study was to investigate [...] Read more.
Background/Objectives: Plants of the Crassulaceae family have been utilized in traditional medicine because of their medicinal properties. Crassula capitella, an ornamental succulent plant, has not yet received significant attention from physiochemists or pharmacologists. The objective of this study was to investigate the in vitro phytochemical properties and biological activity of methanolic extracts obtained from the leaves (CCLE) and inflorescences (CCIE) of C. capitella. Methods: Phytochemical screening included GC/MS analysis. The in vitro investigation of biological properties includes the assessment of antibacterial activity, utilizing disk diffusion assays and measuring MIC and MBC values for Gram-positive and Gram-negative bacteria. Antioxidant properties were determined through IC50 values in DPPH and ABTS assays. Cytotoxicity properties were evaluated using the MTT assay in MCF-7 and HepG2 cells, along with an analysis of apoptosis gene expression. Additionally, the antidiabetic effects were examined through α-amylase or α-glucosidase inhibition assays. Results: GC/MS analysis revealed distinct differences. CCLE contained more terpenoids such as betulinaldehyde (30.53%) followed by lupeol (19%) and betulin (4.07%), whereas CCIE was rich in fatty acids. The TPC and TFC of CCIE (88.17 mg GAE/g and 57 mg QE/g) were significantly greater than those of CCLE. Compared with CCLE, CCIE exhibited greater antibacterial properties (MIC values of 6.25 µg/mL toward S. aureus), greater antioxidant properties (IC50 values in the DPPH/ABTS assay), antitumor properties (IC50 values of approximately 90–96 µg/mL), and antidiabetic properties (IC50 values of 87–83 µg/mL in the α-amylase/α-glucosidase assay). Both bioactive extracts induced apoptosis in cancer cells by downregulating the expression of the tumorigenesis genes bcl-2 and bcl-xL. Conclusions: The findings provided the first evidence about the evaluated the potential antibacterial, antioxidant, anticancer, and antidiabetic activities of C. capitella, which is attributed to its robust chemical composition and position it as a compelling candidate for further in vivo and sub-clinical applications. Full article
Show Figures

Figure 1

28 pages, 746 KB  
Review
From Dormancy to Viability: The Resuscitation Processes of Viable but Non-Culturable Bacteria—A Systematic Review
by Prisca Tchato, Karine Marion-Sanchez, Talyssa Lebielle and Claude Olive
Microorganisms 2026, 14(1), 136; https://doi.org/10.3390/microorganisms14010136 - 7 Jan 2026
Viewed by 136
Abstract
Viable but non-culturable (VBNC) cells represent a reversible, metabolically active state that promotes the survival of bacteria under stressful conditions and their persistence in healthcare facilities and food industry. We conducted a systematic review following PRISMA 2020 guidelines to identify in vitro methodologies [...] Read more.
Viable but non-culturable (VBNC) cells represent a reversible, metabolically active state that promotes the survival of bacteria under stressful conditions and their persistence in healthcare facilities and food industry. We conducted a systematic review following PRISMA 2020 guidelines to identify in vitro methodologies for inducing and resuscitating VBNC Enterobacteriaceae and Pseudomonas aeruginosa, and to determine key influencing factors. Eligible studies reported in vitro resuscitation of these species. Searches were performed in MEDLINE (PubMed), Scopus, and Google Scholar up to July 2025. Two independent reviewers screened and extracted data. Exclusion criteria included absence of original experimental data, focus on other species, or lack of clear VBNC definition. Risk of bias was qualitatively assessed. Analyses were descriptive without meta-analysis. Of the 1041 records, 24 articles (27 studies) were included. Resuscitation protocols typically employed standard culture media with additives and moderate incubation temperatures, with most successful recoveries occurring after 24–48 h. P. aeruginosa generally required less supplementation than Enterobacteriaceae. Reported mechanisms involved metabolic reactivation, oxidative stress modulation, nutrient sensing, and ribosome reactivation. The limitations of our study include protocol heterogeneity, lack of standardization, and selective reporting. While simple resuscitation methods were often effective, tailoring conditions to species-specific ecological preferences appears critical. Standardized approaches of VBNC cells will improve detection, risk assessment, and infection control. Full article
(This article belongs to the Section Microbial Biotechnology)
Show Figures

Figure 1

17 pages, 2614 KB  
Article
Bacillus velezensis RF2 Rescued from Citrus Phyllosphere: Dual Mechanisms and Broad-Spectrum Activity for Controlling Citrus Bacterial Canker
by Rui-Fang Luo, Si-Yu Zhang, Ya-Xiao Wu, Zi-Yi Jiao, Min-Li Bao, Yu-Ting Lan, Ting-Ting Zhang, Ru-Yu Zeng, Abdulhamid Yusuf, Yun-Zeng Zhang, Min Li and Shuo Duan
Microorganisms 2026, 14(1), 121; https://doi.org/10.3390/microorganisms14010121 - 6 Jan 2026
Viewed by 145
Abstract
Citrus bacterial canker (CBC), caused by Xanthomonas citri subsp. citri (Xcc), threatens citrus production worldwide. Long-term dependence on copper-based bactericides not only poses environmental risks but also accelerates the emergence of copper-resistant Xcc strains. To develop safe and efficient alternative control [...] Read more.
Citrus bacterial canker (CBC), caused by Xanthomonas citri subsp. citri (Xcc), threatens citrus production worldwide. Long-term dependence on copper-based bactericides not only poses environmental risks but also accelerates the emergence of copper-resistant Xcc strains. To develop safe and efficient alternative control strategies, 72 bacterial strains were isolated from the phyllosphere of citrus plants naturally infected by CBC and identified by 16S rRNA sequencing. Using an Xcc-GFP-based screening method, we systematically screened a highly effective strain, which was identified as Bacillus velezensis RF2 (Bv-RF2). Both inhibition zone assays and bioactivity tests of the crude methanolic extract of Bv-RF2 demonstrated stable antibacterial activity under UV irradiation, protease treatment, high temperature, and across a wide pH range. Whole-genome sequencing and antiSMASH analysis revealed multiple predicted NRPS/PKS-type biosynthetic gene clusters (BGCs). Together with metabolomic profiling, these data provide hypotheses for candidate metabolites that may contribute to antagonism. Bv-RF2 was associated with the induction of PR gene expression in immune-related pathways implicated in CBC responses. In sweet orange leaves, Bv-RF2 infiltration was associated with transient induction of defense-related (PR) genes, consistent with an ISR-like, priming-related response. In addition, Bv-RF2 inhibited the growth of fungal pathogens associated with citrus anthracnose and brown spot in vitro, indicating broad inhibitory potential under the tested conditions. Collectively, Bv-RF2 represents a promising candidate for developing environmentally friendly strategies against CBC and other citrus diseases. Full article
(This article belongs to the Topic Applications of Biotechnology in Food and Agriculture)
Show Figures

Figure 1

20 pages, 4695 KB  
Article
Visualization, Data Extraction, and Multiparametric Analysis of 3D Pancreatic and Colorectal Cancer Cell Lines for High-Throughput Screening
by Mikhail A. Trofimov, Ilya P. Bulatov, Velemir S. Lavrinenko, Vladimir E. Popov, Varvara S. Petrova, Anton S. Bukatin and Stanislav F. Tyazhelnikov
Biomedicines 2026, 14(1), 108; https://doi.org/10.3390/biomedicines14010108 - 6 Jan 2026
Viewed by 287
Abstract
Background: Three-dimensional (3D) cancer models are currently essential tools in high-throughput screening (HTS), serving as a bridge between in vitro and in vivo approaches during drug development. Even though spheroids offer many advantages over 2D cultures, analyzing 3D cultures with heterogeneous morphology remains [...] Read more.
Background: Three-dimensional (3D) cancer models are currently essential tools in high-throughput screening (HTS), serving as a bridge between in vitro and in vivo approaches during drug development. Even though spheroids offer many advantages over 2D cultures, analyzing 3D cultures with heterogeneous morphology remains challenging due to the lack of standardized visualization techniques and multiparameter analysis. Methods: In this work, an optimized CellProfiler pipeline and a Python algorithm for weighting morphological features are used to visualize, extract, and analyze morphological data from spheroids derived from colorectal and pancreatic cancer cell lines with diverse morphologies (HCT116, LoVo, PANC-1, and CFPAC-1). Results: We developed a feature weighting process that combines multiple morphological parameters into a single metric using principal component analysis (PCA). There is a strong correlation between this process and a standard Alamar Blue proliferation assay (r = 0.89, ρ = 0.91, p < 0.001). Using this method, we were able to ascertain the IC50 values of substances that did not produce results in cell lines with heterogeneous morphology (LoVo and CFPAC-1) using a standard proliferation assay. Conclusions: By removing the need for tracer dyes, the resulting methodology may lower costs while accelerating preclinical drug development through informative multiparameter analysis of compound efficacy. Full article
Show Figures

Figure 1

16 pages, 805 KB  
Review
Highly Porous Cellulose-Based Scaffolds for Hemostatic Devices and Smart Platform Applications: A Systematic Review
by Nikita A. Shutskiy, Aleksandr R. Shevchenko, Ksenia A. Mayorova, Leonid L. Shagrov and Andrey S. Aksenov
Fibers 2026, 14(1), 9; https://doi.org/10.3390/fib14010009 - 5 Jan 2026
Viewed by 242
Abstract
A promising application of smart materials based on natural polymers is the potential to solve problems related to hemostasis in cases of severe bleeding caused by injury or surgery. This can be a life-threatening situation. Cellulose and its modified derivatives represent one of [...] Read more.
A promising application of smart materials based on natural polymers is the potential to solve problems related to hemostasis in cases of severe bleeding caused by injury or surgery. This can be a life-threatening situation. Cellulose and its modified derivatives represent one of the most promising sources for creating effective hemostatic systems, as well as for various sensing applications related to disease detection, infection diagnosis, chronic condition monitoring, and blood analysis. The aim of this review was to identify key criteria for the efficiency of cellulose-based gels with hemostatic activity. Experimental studies aimed at evaluating new hemostatic devices were analyzed based on international sources using the PRISMA methodology. A total of 111 publications were identified. Following the identification and screening stages, 20 articles were selected for the final qualitative synthesis. The analyzed publications include experimental studies focused on the development and analysis of highly porous cellulose-based scaffolds in the form of aerogels and cryogels. The type and origin of cellulose, as well as the influence of additional components and synthesis conditions on gel formation, were investigated. Three major groups of key criteria that should be considered when developing new cellulose-based highly porous scaffolds with hemostatic functionality were identified: (I) physicochemical and mechanical properties (pore size distribution, compressive strength, and presence of functional groups); (II) in vitro tests (blood clotting index, red blood cell adhesion rate, hemolysis, cytocompatibility, and antibacterial activity); (III) in vivo hemostatic efficiency (hemostasis time and blood loss) in compliance with the 3Rs policy (replacement, reduction, refinement). The prospects for the development of highly porous cellulose-based scaffolds are not only focused on their hemostatic properties, but also on the development of smart platforms. Full article
(This article belongs to the Special Issue Nanocellulose Hydrogels and Aerogels as Smart Sensing Platforms)
Show Figures

Graphical abstract

17 pages, 7056 KB  
Article
An Efficient and Streamlined System for In Vitro Regeneration and Genetic Transformation of Paper Mulberry (Broussonetia papyrifera)
by Fangyu Ye, Tong Ke, Shuiqing Deng, Lan Pan, Ming Tang and Wentao Hu
Life 2026, 16(1), 78; https://doi.org/10.3390/life16010078 - 4 Jan 2026
Viewed by 239
Abstract
In the present study, we developed an efficient and reproducible protocol for in vitro regeneration and Agrobacterium tumefaciens-mediated genetic transformation of Broussonetia papyrifera (L.) L’Hér. ex Vent. (paper mulberry) using leaf explants from a hybrid genotype. First, we optimized surface sterilization of [...] Read more.
In the present study, we developed an efficient and reproducible protocol for in vitro regeneration and Agrobacterium tumefaciens-mediated genetic transformation of Broussonetia papyrifera (L.) L’Hér. ex Vent. (paper mulberry) using leaf explants from a hybrid genotype. First, we optimized surface sterilization of leaf explants. Treatment with 0.6% (w/v) sodium hypochlorite for 8 min, followed by three rinses with sterile water and blotting on sterile filter paper, yielded a 33.60% explant survival rate and reduced contamination to 35.84%. Second, we refined the co-cultivation step for transformation using A. tumefaciens strain EHA105 carrying pCAMBIA1300-35S-eGFP. Leaf discs were infected for 20 min and co-cultured for 2 days on co-cultivation medium overlaid with sterile filter paper, which limited the overgrowth of A. tumefaciens. After co-cultivation, explants were transferred sequentially to callus induction, shoot induction, shoot multiplication, and rooting media supplemented with 250 mg·L−1 cefotaxime and 200 mg·L−1 Timentin, as well as 5.0 mg·L−1 hygromycin at a concentration that completely suppressed regeneration of non-transformed explants. Meanwhile, after transfer to the callus induction medium, eGFP fluorescence was detected in resistant calli as an initial screening for transformants. The integration and expression of the transgene were further confirmed by PCR and quantitative reverse transcription PCR (qRT-PCR) after the resistant calli developed into plantlets. Collectively, this streamlined protocol provides a practical platform for functional genomics and genetic improvement of B. papyrifera. Full article
(This article belongs to the Section Plant Science)
Show Figures

Figure 1

23 pages, 1525 KB  
Review
A Review of the Literature on the Endocrine Disruptor Activity Testing of Bisphenols in Caenorhabditis elegans
by Patrícia Hockicková, Alžbeta Kaiglová, Marie Korabečná and Soňa Kucharíková
J. Xenobiot. 2026, 16(1), 7; https://doi.org/10.3390/jox16010007 - 4 Jan 2026
Viewed by 374
Abstract
Endocrine disruptors, including bisphenol A, S, AF, and F, have been demonstrated to exhibit endocrine-disrupting activity. This phenomenon has been associated with a variety of health problems, including (but not limited to) neurological and reproductive disorders. Given the potential hazards, it is essential [...] Read more.
Endocrine disruptors, including bisphenol A, S, AF, and F, have been demonstrated to exhibit endocrine-disrupting activity. This phenomenon has been associated with a variety of health problems, including (but not limited to) neurological and reproductive disorders. Given the potential hazards, it is essential to have effective tools to assess their toxicity. The nematode Caenorhabditis elegans has become a widely used model organism for studying bisphenols because of its genetic simplicity and the conservation of its fundamental biological processes. This review article summarizes current knowledge of bisphenol toxicity and the use of the model organism C. elegans as a high-throughput system for investigating the toxicological profiles of BPA and its emerging alternatives. Furthermore, we highlight the specific methodologies for assessing the toxic effects of bisphenols in C. elegans. While highlighting its advantages, we critically discuss its limitations, including the absence of specific metabolic organs, which constrain direct extrapolation to mammalian systems. Based on available evidence, we conclude that C. elegans serves as an essential bridge between in vitro assays and mammalian models, offering a powerful platform for the early hazard identification and mechanistic screening of bisphenol analogues. Full article
(This article belongs to the Section Emerging Chemicals)
Show Figures

Graphical abstract

Back to TopTop