Sign in to use this feature.

Years

Between: -

Subjects

remove_circle_outline
remove_circle_outline
remove_circle_outline
remove_circle_outline
remove_circle_outline
remove_circle_outline
remove_circle_outline
remove_circle_outline
remove_circle_outline

Journals

Article Types

Countries / Regions

Search Results (195)

Search Parameters:
Keywords = hysteretic curve

Order results
Result details
Results per page
Select all
Export citation of selected articles as:
23 pages, 5268 KB  
Article
Large-Scale Testing of a Novel Self-Centering Brace with U-Shaped Plates for Seismic Energy Dissipation
by Onur Gurler, Ozgur Ozcelik, Sadik Can Girgin, Atakan Aksoy and Cagri Cetik
CivilEng 2025, 6(4), 69; https://doi.org/10.3390/civileng6040069 - 15 Dec 2025
Viewed by 54
Abstract
Energy-dissipating braces are novel structural components as they not only accommodate the seismic energy demand but also enhance both the flexibility and overall earthquake resistance of the structure, preventing brittle or non-ductile behavior. The novel brace proposed in this study was developed to [...] Read more.
Energy-dissipating braces are novel structural components as they not only accommodate the seismic energy demand but also enhance both the flexibility and overall earthquake resistance of the structure, preventing brittle or non-ductile behavior. The novel brace proposed in this study was developed to achieve two primary objectives: first, to restrict relative displacements at its ends by dissipating energy through U-shaped flexural plates (UFPs), and second, to provide a self-centering mechanism through the use of post-tension (PT) to ensure structural re-centering after cyclic loading. The novelty of this research lies in the experimental findings showing that post-tensioned (PT) braces exhibit a flag-shaped self-centering hysteretic response, improved initial stiffness, and reduced residual displacements by 72%, while non-PT braces behave as conventional metallic dissipators with larger residual displacements. Increasing UFP thickness from 6 to 8 mm enhances strength by 22%. Stainless steel UFPs offer superior plastic recovery, whereas regular steel UFPs dissipate ~%10 more energy through greater plasticity. Energy dissipation of the brace increases with increasing PT forces and displacement due to the PT force pulling the force–displacement curve towards high force levels. This study highlights the importance of PT force and UFP parameters in a brace configuration with self-centering and metallic dissipators such as U-shaped flexural plates. Full article
(This article belongs to the Topic Advances on Structural Engineering, 3rd Edition)
Show Figures

Figure 1

37 pages, 4792 KB  
Article
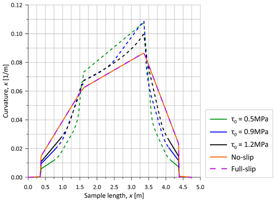
Theoretical and Experimental Analysis of the Global Response of a Flexible Pipe Under Combined Axisymmetric and Bending Loads
by Bernardo de P. M. da Costa, José Renato M. de Sousa, Ney Roitman and Erik Radke
J. Mar. Sci. Eng. 2025, 13(11), 2180; https://doi.org/10.3390/jmse13112180 - 18 Nov 2025
Viewed by 423
Abstract
The bending stiffness of flexible pipes is highly dependent on curvature, driven by the interaction between their structural layers—a behavior often misrepresented by traditional numerical models. To overcome this limitation, a finite-difference-based model was developed, integrating previously proposed formulations for monotonic bending and [...] Read more.
The bending stiffness of flexible pipes is highly dependent on curvature, driven by the interaction between their structural layers—a behavior often misrepresented by traditional numerical models. To overcome this limitation, a finite-difference-based model was developed, integrating previously proposed formulations for monotonic bending and axisymmetric responses into a return-mapping algorithm to capture hysteretic behavior under cyclic loading. The model was calibrated against pure bending and pressurized tests, accounting for interlayer adhesion and friction, which govern stiffness variation, force levels, and energy dissipation. Results showed excellent agreement with experimental data across different load combinations, confirming the model’s predictive capability. Parametric analyses revealed that higher adhesion and friction coefficients increase imposed forces until a no-slip condition is achieved, while energy dissipation follows a nonlinear dependence on interlayer friction, peaking at intermediate values and vanishing under no-slip conditions. Cyclic bending tests performed on degraded samples demonstrated that, despite wire deterioration, the global bending response remains essentially unchanged, reinforcing the stability of riser behavior over time. However, fatigue resistance must still be reassessed through updated S–N curves to account for material degradation. These findings underscore the crucial role of interlayer mechanics in determining the overall performance of flexible pipes and offer a validated framework for assessing fatigue and integrity. Full article
(This article belongs to the Special Issue Advanced Research in Flexible Riser and Pipelines)
Show Figures

Figure 1

19 pages, 4490 KB  
Article
Classification of Tight Sandstone Gas Reservoirs and Evaluation of Aqueous-Phase Trapping Damage Using Mercury Intrusion Porosimetry
by Yuanyuan Tian, Yu Lu, Xin Zhou, Ying Liu, Qin Bie and Nan Zhang
Processes 2025, 13(11), 3682; https://doi.org/10.3390/pr13113682 - 14 Nov 2025
Viewed by 423
Abstract
Diagnosing water-phase damage remains challenging because routine petrophysical parameters do not capture capillary hysteresis and pressure-transmission effects. In this study, a standardized, auditable workflow was established to link laboratory descriptors to field-relevant cleanup. Full-curve mercury injection capillary pressure data were acquired and converted [...] Read more.
Diagnosing water-phase damage remains challenging because routine petrophysical parameters do not capture capillary hysteresis and pressure-transmission effects. In this study, a standardized, auditable workflow was established to link laboratory descriptors to field-relevant cleanup. Full-curve mercury injection capillary pressure data were acquired and converted using consistent Washburn parameters, from which withdrawal efficiency was computed on the withdrawal branch. A pressure-transmission coefficient was evaluated under unified boundary conditions to complement permeability and porosity. After preprocessing and partial least-squares regression (PLSR) screening, MICP descriptors were clustered by k-means (k = 5) to obtain reservoir Types I–V. Regressions relating WE to permeability and flowback behavior were then used to assess engineering relevance. The results indicate that WE capture hysteretic trapping/back-pressure not contained in permeability or porosity and, when interpreted jointly with PTC, differentiates reservoir types by cleanup propensity. This framework provides a reproducible bridge from laboratory MICP hysteresis to field-scale flowback interpretation. Practical implications include prioritization of gas–wet wettability modification, low-surface-tension systems, and minimized early liquid loading for clusters exhibiting higher WE and lower PTC. Full article
(This article belongs to the Section Energy Systems)
Show Figures

Figure 1

14 pages, 3975 KB  
Article
Seismic Performance and Buckling Length Calculation Method of Concrete-Filled Steel Tube Columns
by Yulong Zhou, Haifang He, Shu Cao, Tong Zhu, Zhixuan Fei, Min Wu and Xiang Tian
Buildings 2025, 15(21), 4007; https://doi.org/10.3390/buildings15214007 - 6 Nov 2025
Viewed by 307
Abstract
This study establishes a refined numerical model of circular concrete-filled steel tube (CFST) columns using finite element software, and its effectiveness was verified through simulation of low-cycle reciprocating load tests. Based on this, a systematic analysis was conducted to investigate the effects of [...] Read more.
This study establishes a refined numerical model of circular concrete-filled steel tube (CFST) columns using finite element software, and its effectiveness was verified through simulation of low-cycle reciprocating load tests. Based on this, a systematic analysis was conducted to investigate the effects of three key parameters—axial compression ratio (0.1–0.3), slenderness ratio (22.2–46.8), and confinement coefficient (0.65–1.56)—on the seismic performance of CFST columns, including failure modes, hysteretic behavior, skeleton curves, ductility, and energy dissipation capacity. The local buckling behavior was also studied. The results indicate that increasing the axial compression ratio slightly enhances the bearing capacity but reduces ductility, increasing the slenderness ratio significantly reduces the bearing capacity but improves ductility, and increasing the confinement coefficient substantially improves the bearing capacity, ductility, and energy dissipation capacity simultaneously. Based on the parametric analysis, the existing calculation formula for the local buckling length of circular CFST columns was modified. The average error between the predicted and simulated values is only 10%, demonstrating high engineering applicability. This research provides a theoretical basis and a practical calculation method for the seismic design and performance evaluation of CFST building and bridge columns. Full article
Show Figures

Figure 1

21 pages, 5467 KB  
Article
Study on Seismic Behavior of Earthquake-Damaged Joints Retrofitted with CFRP in Hybrid Reinforced Concrete–Steel Frames
by Xiaotong Ma, Tianxiang Guo, Yuxiao Xing, Ruize Qin, Huan Long, Chao Bao, Fusheng Cao and Ruixiao Hong
Materials 2025, 18(21), 4857; https://doi.org/10.3390/ma18214857 - 23 Oct 2025
Viewed by 557
Abstract
Mixed structures with lightweight steel added stories are particularly vulnerable to damage and failure at the joints during seismic events. To evaluate the secondary seismic behavior of the joints in lightweight steel added stories after seismic damage repair, a low-cycle load test was [...] Read more.
Mixed structures with lightweight steel added stories are particularly vulnerable to damage and failure at the joints during seismic events. To evaluate the secondary seismic behavior of the joints in lightweight steel added stories after seismic damage repair, a low-cycle load test was conducted in this study. Following the initial damage, carbon fiber-reinforced polymer (CFRP) was applied for reinforcement, along with epoxy resin for the repair of concrete cracks. The experimental analysis focused on the structural deformation, failure characteristics, and energy dissipation capacity in both the original and repaired joint states. On the basis of the experimental findings, finite element analysis was carried out to examine the influence of varying CFRP layer configurations on the seismic performance of the repaired joints. The results revealed a significant change in the damage pattern of the repaired specimen, shifting from secondary surface damage to significant concrete deterioration localized at the bottom of the column. The failure mechanism was characterized by the CFRP-induced tensile forces acting on the concrete at the column base, following considerable deformation at the beam’s end. When compared to the original joint, the repaired joints exhibited markedly improved performance, with a 33% increase in horizontal ultimate strength and an 85% increase in energy dissipation capacity at failure. Additionally, the rotation angle between the beams and columns was effectively controlled. Joints repaired with two layers of CFRP demonstrated superior performance in contrast to those with a single layer. However, once the repaired joints met the required strength, further increasing the number of CFRP layers had a minimal influence on the mechanical properties of the joints. The proposed CFRP-based seismic retrofit method, which accounts for the strength degradation of concrete in damaged joints due to earthquake-induced damage, has proven to be both feasible and straightforward, offering an easily implementable solution to improve the seismic behavior of structures. Full article
Show Figures

Figure 1

23 pages, 6103 KB  
Article
Investigation into the Dynamic Performance of a Reverse-Rotation Locking Sleeve Connection Method
by Xue-Mei Tang, Ren-Guo Gu, Chuan-Hai Hong, Rui-Qing Liang, Kang Gao and Xiao-Feng Zhang
Buildings 2025, 15(20), 3790; https://doi.org/10.3390/buildings15203790 - 21 Oct 2025
Viewed by 386
Abstract
Joint connections are critical to the overall performance of prefabricated structures. This paper proposes a novel reverse-rotation locking sleeve connection method, designed to ensure the safety of joint engineering while optimizing construction processes, improving operational efficiency, and endowing the joints with excellent seismic [...] Read more.
Joint connections are critical to the overall performance of prefabricated structures. This paper proposes a novel reverse-rotation locking sleeve connection method, designed to ensure the safety of joint engineering while optimizing construction processes, improving operational efficiency, and endowing the joints with excellent seismic energy dissipation performance. To evaluate the performance of this connection method, quasi-static tests under displacement-controlled lateral loading were designed and conducted on three reinforced concrete column specimens (Specimen A: conventional reinforcement–cast-in-place monolithic; Specimen B: conventional reinforcement–reverse-rotation locking sleeve connected; Specimen C: enhanced reinforcement–reverse-rotation locking sleeve connected). The failure modes, hysteretic characteristics, skeleton curves, ductility, energy dissipation capacity, load-bearing capacity, and stiffness degradation patterns of the specimens were systematically examined. The results indicate that Specimen B exhibited the most severe damage extent, while Specimen A demonstrated the best integrity; in contrast, Specimen B showed significant and rapid degradation in energy dissipation capacity during the intermediate-to-late stages of testing; the hysteretic curves of Specimens B and C were full in shape, without obvious yield plateaus; the skeleton curves of all specimens exhibited S-shaped characteristics, and the peak loads of Specimens A and C corresponded to a lateral displacement of 21 mm, while that of Specimen B corresponded to a lateral displacement of 28 mm; compared to the cast-in-place monolithic Specimen A, the reverse-rotation locking sleeve–connected Specimens B and C showed increases in ultimate load under positive cyclic loading by 18.7% and 5.5%, respectively, and under negative cyclic loading by 40.8% and 2.0%, respectively; the ductility coefficients of all three specimens met the code requirement, being greater than 3.0 (Specimen A: 5.13; Specimen B: 3.56; Specimen C: 5.66), with Specimen C exhibiting a 10.3% improvement over Specimen A, indicating that the reverse-rotation locking sleeve–connected specimens possess favorable ductile performance; analysis revealed that the equivalent viscous damping coefficient of Specimen C was approximately 0.06 higher than that of Specimen A, meaning Specimen C had superior energy dissipation capacity compared to Specimen A, confirming that the reverse-rotation locking sleeve connection can effectively absorb seismic energy and enhance the seismic and energy dissipation characteristics of the specimens. The load-bearing capacity degradation coefficients of all specimens fluctuated between 0.83 and 1.01, showing an initial stable phase followed by a gradual declining trend; the stiffness degradation coefficients exhibited rapid initial decline, followed by a deceleration in the attenuation rate, and eventual stabilization. This indicates that the reverse-rotation locking sleeve-connected specimens can maintain relatively stable strength levels and favorable seismic performance during the plastic deformation stage. Full article
(This article belongs to the Special Issue Soil–Structure Interactions for Civil Infrastructure)
Show Figures

Figure 1

18 pages, 3441 KB  
Article
Investigation on Influence of Friction Plate Material Properties on Hysteretic Performance and Stability of Friction Dampers
by Fengzhe Jiang, Guangyu Xu, Jianping Liu, Shaohui Dang, Zahid Irshad, Yanchao Yue and Chen Guo
Buildings 2025, 15(18), 3418; https://doi.org/10.3390/buildings15183418 - 22 Sep 2025
Viewed by 703
Abstract
Friction dampers are widely used in building seismic protection due to their excellent shock-absorbing performance and reliable operation. To clarify the influence of friction plate material properties on the hysteretic behavior and stability of friction dampers, this study selected three materials with distinct [...] Read more.
Friction dampers are widely used in building seismic protection due to their excellent shock-absorbing performance and reliable operation. To clarify the influence of friction plate material properties on the hysteretic behavior and stability of friction dampers, this study selected three materials with distinct physical properties (density, hardness, and stiffness)—titanium alloy, brass, and zirconia ceramic—as friction plate candidates. Three sets of low-cycle reciprocating load tests were designed to obtain the hysteretic curves of dampers with different friction plates and analyze their energy dissipation capacity and operational stability. Results show that the hysteretic curves of the copper-steel and titanium-steel plate specimens are close to the ideal rectangular shape, with symmetric force–displacement relationships and stable energy dissipation. The copper-steel plate exhibits strong energy dissipation capacity and high cost-effectiveness, while the titanium-steel plate has moderate energy dissipation capacity but stability comparable to that of the copper-steel plate. In contrast, the friction force of ceramic-steel plate specimens shows obvious divergence as displacement increases, leading to poor overall stability. The friction coefficient between the friction plate material and the main plate material exerts a significant influence on the damper’s energy dissipation, and a stable friction mode serves as a guarantee for its normal operation. Full article
(This article belongs to the Section Building Structures)
Show Figures

Figure 1

22 pages, 12309 KB  
Article
Parametric Analysis of Reinforced Concrete Hollow Piers Based on an Axial–Flexure–Shear Model Under Cyclic Loading and Earthquake Conditions
by Ziang Pan, Qiming Qi, Linxi Duan, Huaping Yang, Changjiang Shao, Jingru Li and Haomeng Cui
Symmetry 2025, 17(9), 1553; https://doi.org/10.3390/sym17091553 - 17 Sep 2025
Viewed by 617
Abstract
To enhance the understanding of the seismic behavior of reinforced concrete (RC) hollow piers, a sensitivity analysis of design parameters is conducted. A novel analytical model named the Axial–Flexure–Shear-Interaction-Membrane-Beam-Truss-Element-Model (AFSI-MBTEM) is proposed to account for the flexure–shear coupling. To avoid size effects, three [...] Read more.
To enhance the understanding of the seismic behavior of reinforced concrete (RC) hollow piers, a sensitivity analysis of design parameters is conducted. A novel analytical model named the Axial–Flexure–Shear-Interaction-Membrane-Beam-Truss-Element-Model (AFSI-MBTEM) is proposed to account for the flexure–shear coupling. To avoid size effects, three full-scale rectangular RC hollow piers are simulated and validated using the AFSI-MBTEM. Based on a benchmark model, the influence of parameters on seismic responses is explored under cyclic loading, earthquakes, and different PGAs. The AFSI-MBTEM can efficiently and accurately capture the symmetric and asymmetric hysteretic curves of RC hollow piers. The influence of parameters under cyclic loading is generally consistent with that under strong earthquakes. The aspect ratio, width-to-depth ratio, wall thickness ratio, axial load ratio, and longitudinal rebar ratio have a significant influence under cyclic loading, earthquakes, and different PGAs. The influence of stirrup ratio, concrete strength, and longitudinal rebar strength becomes clear under earthquakes, especially for residual deformation. The suggested parameter values for hollow piers are as follows: aspect ratio of 4–6, width-to-depth ratio of 1.0–2.0, wall thickness ratio of 20–40%, axial load ratio of 0.05–0.10, longitudinal rebar ratio of 1.2–2.2%, stirrup ratio of 0.8–1.2%, concrete strength of C40, and longitudinal rebar strength of 400 MPa and 500 MPa. Full article
(This article belongs to the Section Engineering and Materials)
Show Figures

Figure 1

16 pages, 14130 KB  
Article
Study of Failure Mode and Ultimate Bearing Capacity for Self-Centering SMA Connection
by Xiaozhu Fu, Shangwen Liu, Chaobin Jin and Shujun Hu
Buildings 2025, 15(18), 3254; https://doi.org/10.3390/buildings15183254 - 9 Sep 2025
Viewed by 497
Abstract
An innovative self-centering shape memory alloy (SMA) connection that is used in a steel frame beam-column joint was developed to improve the energy dissipative capacity and self-centering capacity, and reduce the residual deformation. Five self-centering SMA connections with the effect of SMA fracture, [...] Read more.
An innovative self-centering shape memory alloy (SMA) connection that is used in a steel frame beam-column joint was developed to improve the energy dissipative capacity and self-centering capacity, and reduce the residual deformation. Five self-centering SMA connections with the effect of SMA fracture, bolt bending, and bolt pretension, were designed and analyzed, so the deformation modes, failure modes, hysteresis curves, and skeleton curves of the specimens can be obtained. Then, the validated finite element analysis method was used to simulate the analysis models, considering the influences of SMA areas, angle thicknesses, and slip bolt strength. The test results show that the hysteretic curves of the SMA connection can be idealized as a flag-shape, and the bearing capacity, energy dissipative capacity, and self-centering capacity will be effectively improved by enlarging the SMA areas. The SMA wires in the connection may be fractured while the strain of the SMA wires reaches 15%, so the displacement of the SMA connection should be restricted with a strain value of 8% for safety. The effect of asymmetry for the SMA connection may cause the bolt to bend and reduce the bending capacity. In addition, the yield force of each plate is suggested to be higher than the ultimate bearing capacity of the SMA connection. Finally, based on the test and finite element analysis results, the design method of the self-centering SMA connection is proposed to avoid the unexpected failure modes and achieve the expected mechanical properties. Full article
(This article belongs to the Special Issue Seismic and Durability Performance of Steel Connections)
Show Figures

Figure 1

15 pages, 3034 KB  
Article
Experimental Study on Seismic Performance of Fire-Damaged Concrete-Filled Steel Tubular Column-Steel Beam Joints Under Low-Cycle Reversed Loading
by Fang Liu, Longxin Yuan, Tongyao Xu, Wenchao Miao, Ran Zheng and Yusong Mu
Buildings 2025, 15(17), 3169; https://doi.org/10.3390/buildings15173169 - 3 Sep 2025
Viewed by 675
Abstract
As a typical steel-concrete composite structure, Concrete-Filled Steel Tubular (CFST) structures utilize the synergistic mechanical advantages of steel and concrete, showing good performance in bearing capacity, ductility and fire resistance, and becoming important in modern buildings. However, CFST structures may suffer hazards like [...] Read more.
As a typical steel-concrete composite structure, Concrete-Filled Steel Tubular (CFST) structures utilize the synergistic mechanical advantages of steel and concrete, showing good performance in bearing capacity, ductility and fire resistance, and becoming important in modern buildings. However, CFST structures may suffer hazards like fire, which causes performance degradation affecting subsequent seismic behavior. To study seismic performance of fire-damaged CFST column-steel beam joints, low-cycle repeated loading experiments were carried out on 3 specimens: 2 exposed to different fire temperatures and 1 ambient temperature control. Tests examined hysteretic behavior, ductility, energy dissipation, bearing capacity and stiffness degradation under post-fire axial compression ratios. Results show fire-damaged specimens had similar ductile failure modes to the control. Despite high temperatures, they maintained relatively full hysteretic curves and strong energy dissipation, but with reduced bearing capacity, increased deformation, nonlinear ductility growth, and more significant degradation at higher temperatures. Full article
Show Figures

Figure 1

22 pages, 2350 KB  
Article
Calculation of Ultimate Ductility Index Based on Hysteretic Energy Analysis of the Restoring Force Curve
by Huang-Bin Lin
Buildings 2025, 15(17), 3152; https://doi.org/10.3390/buildings15173152 - 2 Sep 2025
Viewed by 825
Abstract
This study proposes an energy-based framework for evaluating the seismic ductility of reinforced concrete (RC) structures using restoring force hysteresis curves. A custom-developed tool, the Damage Energy Calculation Program (DECP), is introduced to compute cumulative hysteretic energy and corresponding damage indices from experimental [...] Read more.
This study proposes an energy-based framework for evaluating the seismic ductility of reinforced concrete (RC) structures using restoring force hysteresis curves. A custom-developed tool, the Damage Energy Calculation Program (DECP), is introduced to compute cumulative hysteretic energy and corresponding damage indices from experimental data. Seven methods for identifying yield displacement and yield load are examined, encompassing stiffness-based and energy-based techniques, including the conditional yield method, secant stiffness method, and double energy equivalence method. These methods are applied to a series of experimental restoring force curves (SP01 to SP10). Among them, the double energy equivalence method demonstrates the highest accuracy in capturing the yield state. Additionally, a novel ductility index based on the maximum energy envelope is proposed. Comparative analysis shows that this new index exhibits trends consistent with the double energy equivalence approach, highlighting its potential as a reliable alternative. The DECP tool significantly improves the consistency and efficiency of ductility assessment and offers practical support for energy-based damage evaluation in structural performance analysis. Full article
(This article belongs to the Section Building Structures)
Show Figures

Figure 1

19 pages, 3164 KB  
Article
Deteriorated Cyclic Behaviour of Corroded RC Framed Elements: A Practical Proposal for Their Modelling
by José Barradas-Hernández, Dariniel Barrera-Jiménez, Irving Ramírez-González, Franco Carpio-Santamaría, Alejandro Vargas-Colorado, Sergio Márquez-Domínguez, Rolando Salgado-Estrada, José Piña-Flores and Abigail Zamora-Hernández
Buildings 2025, 15(17), 3110; https://doi.org/10.3390/buildings15173110 - 29 Aug 2025
Viewed by 542
Abstract
Corrosion is a phenomenon that significantly impacts the durability of reinforced concrete (RC) structures, particularly in highly corrosive environments like coastal regions. The existing numerical modelling often relies on complex approaches that are impractical for structural assessment. For this reason, this study proposes [...] Read more.
Corrosion is a phenomenon that significantly impacts the durability of reinforced concrete (RC) structures, particularly in highly corrosive environments like coastal regions. The existing numerical modelling often relies on complex approaches that are impractical for structural assessment. For this reason, this study proposes a simplified numerical modelling approach to simulate the cyclic behaviour of existing RC framed structures with corrosion levels (η) below 25%. The proposed modelling employs concentrated plasticity hinges for beams and fiber sections for columns, incorporating corrosion-induced degradation through modified backbone curves and material properties based on the corrosion level of the structural element. The modelling approach was validated against experimental results from the literature; the proposed model adequately captures hysteretic energy, lateral load, and deformation capacities, with maximum errors of 11% for maximum lateral load, 12% for ultimate load, and 33% for dissipated energy in RC frames. For isolated columns, the errors were 11, 12, and 22%, respectively. In addition, a maximum difference of 7% was found in the lateral load capacity of the corroded frames associated with the Life Safety limit state. Finally, it was concluded that the proposed methodology is suitable for representing the cyclic behaviour of corroded RC columns and frames and provides engineers with a tool to evaluate the behaviour of corroded structures without resorting to complex models. Full article
(This article belongs to the Special Issue Seismic Performance and Durability of Engineering Structures)
Show Figures

Figure 1

20 pages, 2042 KB  
Article
Theoretical Analysis Model of a New Post-Tensioned, Unbonded, Prestressed Beam–Column Connection
by Hu Qi, Jie Qin, Wenxuan Zhang and Mengke Zhang
Buildings 2025, 15(16), 2823; https://doi.org/10.3390/buildings15162823 - 8 Aug 2025
Cited by 1 | Viewed by 608
Abstract
To investigate the mechanical properties of a new post-tensioned, unbonded, prestressed beam–column connection—including its hysteresis behavior and energy dissipation capacity—a theoretical analysis was conducted. Calculation formulas for key points on the moment–curvature (M-θ) hysteresis curve, including the yield point, failure point, and unloading [...] Read more.
To investigate the mechanical properties of a new post-tensioned, unbonded, prestressed beam–column connection—including its hysteresis behavior and energy dissipation capacity—a theoretical analysis was conducted. Calculation formulas for key points on the moment–curvature (M-θ) hysteresis curve, including the yield point, failure point, and unloading point, were derived. A theoretical model describing the M-θ relationship of the connection was established. The energy dissipation capacity, which is a critical mechanical property of such connections, was quantified through a derived formula for the energy dissipation coefficient, accompanied by a parametric analysis. The results show that increasing the area of energy dissipation reinforcement enhances the energy dissipation capacity of the connection. When the yield strength of the energy dissipation reinforcement equals the initial prestress of the tendons, the energy dissipation coefficient approaches 0.5. Considering the asymmetric reinforcement layout, a self-centering performance evaluation method—accounting for bending moments on both sides of the connection—is proposed. The conditions required to achieve self-centering behavior are derived. Finally, the proposed model is validated through a comparison with experimental results. Full article
(This article belongs to the Section Building Structures)
Show Figures

Figure 1

23 pages, 5097 KB  
Article
Experimental and Restoring Force Model of Precast Shear Walls with Steel Sleeve and Corrugated Metallic Duct Hybrid Connections
by Yuqing Han, Yongjun Qin, Wentong Cheng and Qi Chen
Buildings 2025, 15(13), 2178; https://doi.org/10.3390/buildings15132178 - 22 Jun 2025
Viewed by 889
Abstract
This study proposes a novel hybrid connection method for precast concrete shear walls, where the edge walls are connected using grouting splice sleeves and the middle walls are connected using grouted corrugated metallic ducts. To investigate the effects of connection type and axial [...] Read more.
This study proposes a novel hybrid connection method for precast concrete shear walls, where the edge walls are connected using grouting splice sleeves and the middle walls are connected using grouted corrugated metallic ducts. To investigate the effects of connection type and axial compression ratio on structural performance, five shear wall specimens were tested under low-cycle reversed loading, with detailed analysis of their failure modes and hysteretic behavior. Based on experimental results and theoretical derivation, a restoring force model incorporating connection type was developed. The results demonstrate that hybrid-connected specimens exhibit significantly improved load-bearing capacity, ductility, and seismic performance compared to those with only grouted corrugated metallic duct connections. A higher axial compression ratio enhances structural strength but also accelerates damage progression, particularly after peak loading. A three-line skeleton curve model was established to describe the load, displacement, and stiffness relationships at key characteristic points, and unloading stiffness expressions for different loading stages were proposed. The calculated skeleton and hysteresis curves align well with the experimental results, accurately capturing the cyclic behavior of the hybrid-connected precast shear walls. Full article
(This article belongs to the Topic Resilient Civil Infrastructure, 2nd Edition)
Show Figures

Figure 1

11 pages, 465 KB  
Article
Energy Dissipation in Engineering Materials and Structures by Using the Laws of Thermodynamics
by Vassilis P. Panoskaltsis
Thermo 2025, 5(2), 20; https://doi.org/10.3390/thermo5020020 - 12 Jun 2025
Viewed by 1950
Abstract
Based on the First and the Second laws of Thermodynamics the energy dissipated in engineering materials and structures is calculated in a multidimensional mechanics framework. The existing practice of computing the dissipated energy by the area of the stress-strain (or force-displacement) curve is [...] Read more.
Based on the First and the Second laws of Thermodynamics the energy dissipated in engineering materials and structures is calculated in a multidimensional mechanics framework. The existing practice of computing the dissipated energy by the area of the stress-strain (or force-displacement) curve is objected to. The conditions under which the area of a stress-strain diagram correctly measures the dissipated energy are derived and clearly presented. A general mathematical form for the dissipated energy when those conditions are not satisfied is provided. An internal variables formulation is employed in this work. Erroneous results from the literature calculating the dissipated energy are given. Erroneous calculations are abundant in publications, Theses and Dissertations, books, and even engineering codes. The terms hysteresis and hysteretic loss are technically explained and their wrong use in cases other than in viscoelasticity is explicated. Full article
Show Figures

Figure 1

Back to TopTop