Next Article in Journal
Construction Technology for Ultra-Long Composite Girders of Shenzhen Museum Using Bonded Post-Tensioning Prestressing Approach
Next Article in Special Issue
Weak-Axis Double Reduced Beam Section Connection: Seismic Performance Analysis and Design Method
Previous Article in Journal
Research on the Configuration and Composition Characteristics of Courtyards in Japanese Independent Residential Works: A Case Study of Projects from 2015 to 2024
Previous Article in Special Issue
Finite Element Analysis of Vertical Bearing Performance in RC Slab–Column Joints: Effects of Bottom Reinforcement and Concealed Beams
 
 
Font Type:
Arial Georgia Verdana
Font Size:
Aa Aa Aa
Line Spacing:
Column Width:
Background:
Article

Study of Failure Mode and Ultimate Bearing Capacity for Self-Centering SMA Connection

1
College of Intelligent Construction Engineering, Minnan University of Science and Technology, Quanzhou 362700, China
2
School of Infrastructure Engineering, Nanchang University, Nanchang 330031, China
*
Author to whom correspondence should be addressed.
Buildings 2025, 15(18), 3254; https://doi.org/10.3390/buildings15183254
Submission received: 27 July 2025 / Revised: 24 August 2025 / Accepted: 8 September 2025 / Published: 9 September 2025
(This article belongs to the Special Issue Seismic and Durability Performance of Steel Connections)

Abstract

An innovative self-centering shape memory alloy (SMA) connection that is used in a steel frame beam-column joint was developed to improve the energy dissipative capacity and self-centering capacity, and reduce the residual deformation. Five self-centering SMA connections with the effect of SMA fracture, bolt bending, and bolt pretension, were designed and analyzed, so the deformation modes, failure modes, hysteresis curves, and skeleton curves of the specimens can be obtained. Then, the validated finite element analysis method was used to simulate the analysis models, considering the influences of SMA areas, angle thicknesses, and slip bolt strength. The test results show that the hysteretic curves of the SMA connection can be idealized as a flag-shape, and the bearing capacity, energy dissipative capacity, and self-centering capacity will be effectively improved by enlarging the SMA areas. The SMA wires in the connection may be fractured while the strain of the SMA wires reaches 15%, so the displacement of the SMA connection should be restricted with a strain value of 8% for safety. The effect of asymmetry for the SMA connection may cause the bolt to bend and reduce the bending capacity. In addition, the yield force of each plate is suggested to be higher than the ultimate bearing capacity of the SMA connection. Finally, based on the test and finite element analysis results, the design method of the self-centering SMA connection is proposed to avoid the unexpected failure modes and achieve the expected mechanical properties.

1. Introduction

Under seismic action, when the residual inter-story drift angle of a building structure exceeds 0.5%, the repair cost may exceed the cost of demolition and reconstruction [1]. Therefore, how to effectively reduce structural residual deformation further and improve seismic performance is one of the key research areas in earthquake engineering [2,3,4]. Steel frame structures exhibit excellent deformation and energy dissipation capabilities, as they dissipate seismic energy through the formation of plastic hinges at beam ends during earthquakes [5,6,7]. However, after experiencing large seismic deformations, significant residual deformation will occur in beam-column joints of steel frames, leading to noticeable residual deformation in the entire structure, which affects its post-earthquake functional recovery capability [8,9,10,11,12].
When the slotted bolt connections (SBC) based on high-strength bolts sliding in long circular holes are used in beam-column joints of steel frames [13], their deformation and energy dissipation capabilities can be effectively improved [14,15,16]. Khoo et al. [14] introduced slotted bolt connections in steel beam flanges, significantly enhancing ductility and energy dissipation, but the joints exhibited noticeable residual deformation. Lan Tao et al. [15] proposed a beam-column joint with built-in cover plates and slotted channels, which concentrated damage on the cover plates, achieving excellent load-bearing, rotation, and replaceability capabilities. However, the large residual deformation still affected the efficiency of post-earthquake repair. Tartaglia et al. [16] proposed a beam-column joint based on symmetric friction sliding, which featured high energy dissipation and deformation capabilities with minimal damage, but the issue of significant residual deformation remained unresolved.
Shape memory alloy (SMA) is a superelastic material with a recoverable strain of up to 8% and an ultimate strain of up to 15%. Its hysteretic curve exhibits a flag shape, demonstrating excellent energy dissipation and self-centering capabilities [17,18]. Zhang Yanxia et al. [19] studied self-centering steel frames with friction dampers in beam webs, noting that self-centering beam-column joints exhibit a double flag-shaped hysteretic model, with significant advantages in seismic performance and post-earthquake self-centering. Zhou Zhen et al. [20] proposed a self-centering beam-column joint based on slotted bolt connections and SMA, effectively addressing the issue of excessive residual deformation. Nia et al. [21] used SMA bolt connections in steel frame beam-column joints, achieving minimal residual deformation. Sun [22] proposed a self-centering steel component based on SMA wires, featuring pinched hysteretic behavior, small residual displacement, and strong energy dissipation capabilities.
This paper proposes a self-centering beam-column joint for steel frames based on self-centering SMA connections, as shown in Figure 1a. It mainly consists of steel beam flanges, angle steel connectors, and SMA components. The rational arrangement of long circular holes in the steel beam flanges and angle steel connectors ensures that the SMA remains under tension under cyclic loading. Under seismic action, the self-centering beam-column joint provides energy dissipation and self-centering capabilities through the self-centering SMA connection, resulting in strong energy dissipation and deformation capabilities with minimal residual deformation. To clarify the failure modes and ultimate load-bearing capacity of the self-centering SMA connection, this paper conducts experimental and finite element analyses on models considering factors such as SMA area, SMA wire rupture, slip bolt strength, and angle steel thickness. The failure modes, hysteretic performance, and skeleton curves are obtained, and corresponding design methods are proposed, providing a theoretical foundation for the analysis and application of such connections.

2. Basic Performance

2.1. Basic Construction

In the self-centering beam-column joint of a steel frame, the self-centering SMA connection formed by angle steel and steel beam flanges mainly consists of angle steel, flanges, connecting plates, two slip bolts, SMA wires, slip washers, and fixed washers, as shown in Figure 1b. Fixed washers are placed between the connecting plates and flanges, while slip washers are positioned between the angle steel and flanges. Additionally, 1 mm thick butyl rubber washers (with a friction coefficient of only 0.075 [1]) are installed on both sides of the slip washers to reduce friction between the components. Four identical long circular holes are drilled at the same positions on the angle steel and flanges. Initially, the slip bolts are placed near the end of the opposite long circular hole. Finally, SMA wires are installed on both sides of the slip bolts to form the self-centering SMA support. To fully utilize the self-centering capability of the wires, it is essential to prevent the wires from being pulled out during stretching and binding. Therefore, thimbles, U-shaped clamps, and double-headed clamps are used for fixation, as shown in Figure 2. Since manual binding of SMA wires may result in loose or insecure connections, the wires are stretched into bundles using a SANS electronic universal testing machine and are fixed to sleeves. Two support rods are placed in the middle for easy handling, as shown in Figure 3.

2.2. Working Principle

Under tensile force, the slip bolt near the connecting plate and the flange remain stationary, while the angle steel drives the slip bolt on the opposite side to move, causing the SMA to be tensioned. Under compressive force, the slip bolt far from the connecting plate remains stationary, while the angle steel drives the slip bolt near the connecting plate to move, causing the SMA to be tensioned. This ensures that the SMA remains under tension under cyclic loading, providing the self-centering SMA connection with resetting and energy dissipation capabilities. As shown in Figure 1.
Under ultimate conditions, the self-centering SMA connection may exhibit three failure modes: SMA wire rupture, slip bolt bending failure, and plate failure, as shown in Figure 1c–e. The details are as follows:
SMA wire fracture: As illustrated in Figure 1c, the SMA wires fracture in tension upon reaching their ultimate strain, approximately 15%.
Slip bolt bending: As illustrated in Figure 1d, the installation of SMA wires at both ends of the slip bolts induces additional bending moments in the bolts. Insufficient bolt strength or load-bearing capacity can lead to bolt bending, which compromises the deformation capability of the SMA wires and the self-centering performance of the connection.
Plate failure: As illustrated in Figure 1e, insufficient thickness or strength of the flange or angle steel plate can be problematic., During cyclic loading, the load transferred to the plate increases as the SMA wires reach their higher load-bearing capacity, potentially causing unexpected deformation or failure of the plate.

2.3. Design Methodology

As identified in Section 2.2, the self-centering SMA connection is susceptible to three primary failure modes: SMA wire rupture, slip bolt bending failure, and plate failure. In practical applications, it is essential to prevent these failure modes and ensure that the mechanical performance of the connection aligns with expectations. Consequently, this paper proposes a systematic design methodology for the self-centering SMA connection to optimize its mechanical performance. The proposed design methodology consists of the following:
(1) Normal working state
The load-bearing capacity FSCB of the self-centering SMA connection is contributed by both the SMA wires and the slotted bolt connection, which can be expressed as follows [1]:
F SCB = F SMA + F f
where FSMA is the output force of the SMA at various stages, and Ff is the anti-slip load-bearing capacity of the slotted bolt connection.
F SMA = σ SMA A s
where As is the cross-sectional area of the SMA, and σSMA is the SMA stress, derived from the Graesser constitutive model. The stress calculation is performed using MATLAB (R2018a) [7].
The anti-slip load-bearing capacity of the slotted bolt connection can be expressed as:
F f = n s n b T b μ
where ns is the number of friction surfaces, nb is the number of bolts, Tb is the preload of the slip bolts, and μ is the friction coefficient.
(2) SMA wire rupture
Since the SMA exhibits excellent superelasticity within a strain of 8% under cyclic loading, the maximum deformation Δl and length L of the SMA in the self-centering SMA connection design must satisfy the following requirement:
Δ l 8 % × L
(3) Slip bolt bending failure
As shown in Figure 1b, the distance between the SMA wires and the center of the loading angle steel is e. When the connection is subjected to increased force, it generates an additional bending moment M on the slip bolts. The load on the slip bolts includes the shear force FSMA transmitted by the SMA and the additional bending moment M. The load-bearing capacity must satisfy:
F SMA N v b 2 + M N t b 2 1
M = F S M A e
N v b = n v π d 2 4 f v b
N t b = π d e 2 4 f t b
where the additional bending moment M equals FSMA·e, and N v b and N t b are the shear and tensile load-bearing capacity design values of the slip bolts, respectively; nv and d are the number of sheared surfaces and screw diameter, respectively; fvb is design value of shear strength [23].
(4) Plate failure
To prevent plate failure in the self-centering SMA connection, the yield load-bearing capacity of each plate at the most unfavorable section must be greater than the maximum load-bearing capacity FSCB,max of the connection. In the connection, the most unfavorable section is located at the end of the long circular hole, and its maximum load-bearing capacity Fplate,max can be expressed as:
F p l a t e , m a x = f y t b b s F S C B , m a x
where fy is the yield strength of the steel plate, b and t are the width and thickness of the plate, respectively, and bs is the diameter of the long circular hole, b-bs represents the net-section of the plate.

3. Experimental Study

3.1. Model Design

Five specimens were designed to study failure modes and ultimate capacity, considering bolt preload, SMA rupture, and bolt bending. Specimen length is 624 mm; SMA length is 195 mm. Flange dimensions: 424 × 80 × 10 mm; connecting plate: 130 × 80 × 10 mm; angle: 449 × 80 × 10 mm. Fixed washers: radius 15 mm, thickness 5 mm; slip washers: radius 40 mm, thickness 3 mm. Component dimensions are shown in Figure 4. Key parameters are listed in Table 1. Specimens 1–4 use grade 10.9 bolts; specimen 5 uses grade 5.6 bolts.
The maximum strain of SMA wires can be calculated by the following equation:
ε max = Δ l l = 2 l s 2 l S M A + 2 π R s = l s l S M A + π R s
where εmax is the maximum strain of SMA wires, ls and lSMA are the length of the slot and SMA in the transverse direction, respectively, Rs is the radius of the slot, lSMA + ΔlSMA represent the maximum length of SMA in the transverse direction, as shown in Figure 5.
According to Equation (10), the length of the long circular hole is 42 mm, the length of the SMA in the transverse direction is 195 mm, and the radius of the slot is 10 mm, meeting the length requirement for SMA at 15% strain.

3.2. Material Properties

Based on uniaxial cyclic tensile tests conducted on the 1.0 mm diameter SMA wires, the following material properties were determined: the stress at the start of austenite-to-martensite transformation σsAM is 550 MPa, the stress at the end of austenite-to-martensite transformation σfAM is 675 MPa, the stress at the start of martensite-to-austenite reverse transformation σsAM is 265 MPa, the stress at the end of martensite-to-austenite reverse transformation σfAM is 175 MPa, the maximum transformation strain is 0.08, and the initial elastic modulus EA is 59,531 MPa [1]. In separate tensile tests for rupturing, the SMA wires exhibited a maximum achievable strain of 0.15 [1].
The structural components, including the web, angle steel, and connecting plates, are fabricated from 10-mm-thick Q235 steel. Material property tests for this steel yielded the following values: the yield strength fy was 273.5 MPa, the ultimate strength fu was 444.3 MPa, the elastic modulus E was 207 GPa, and the elongation δ was 24.2%.

3.3. Loading Setup and Loading Protocol

(1) Loading setup. Tests were conducted using an MTS hydraulic servo universal testing machine (max capacity 100 kN) at Nanchang University. The lower end of the connecting plate was fixed; the upper end of the angle was clamped and cyclically loaded. Load and displacement were recorded automatically, as shown in Figure 6.
Loading protocol. Displacement-controlled loading with incremental amplitudes was applied. For ASC-28-10-10, ASC-28-30-10, ASC-28-50-10, and ASC-28-10-5, displacements were 1.20, 2.40, 4.80, 7.20, 9.60, 12.00, and 14.40 mm. For ASC-14-10-10, displacements extended to 28.80 mm. Each level was cycled once, with a 3-minute hold after each step.

4. Test Results

4.1. Deformation or Failure Modes

(1) Deformation mode
As illustrated in Figure 7a–c, under cyclic loading, the SMA wires in specimens ASC-28-10-10, ASC-28-30-10, and ASC-28-50-10 remained in a state of tension. Upon reaching a loading displacement of 14.40 mm (corresponding to an SMA strain of approximately 8%), the SMA still exhibited superelastic behavior, demonstrating no tensile failure and a strong recovery force, and the slip bolts did not bend. Additionally, changes in the preload of high-strength bolts had no significant effect on the deformation mode of the connections. This observation is attributed to the fact that the self-centering and energy dissipation capabilities of the SMA connections are primarily determined by the superelastic properties of the SMA wires.
(2) SMA wire fracture
Specimen ASC-14-10-10 was subjected to loading from a static state up to an ultimate displacement of 28.80 mm (corresponding to an SMA strain approaching 15%), which resulted in the fracture of the SMA wires, as shown in Figure 7d. Specifically, the SMA wires fractured near the upper end close to the side of the slip bolt, at which point the bearing capacity and deformation of the SMA approached their limits. Furthermore, the asymmetrical nature of the connection induced tilting of the bolt. Following the fracture, a substantial reduction in bearing capacity occurred, necessitating the cessation of the loading process. Therefore, SMA wires have an ultimate tensile strain, and the maximum allowable strain of SMA wires should be determined during design.
(3) Slip bolt bending
As the loading displacement increased, the forces acting on both the SMA and the bolts also progressively increased. Due to the lower strength of the 5.6-grade slip bolt used in specimen ASC-28-10-5, the bolt exhibited bending as the SMA force increased, as shown in Figure 7e. Upon the SMA strain approaching 8%, the bolt bending became highly pronounced. Concurrently, an increase in connection displacement failed to yield a proportional increase in SMA deformation, consequently impacting the connection’s bearing capacity and self-centering ability. Therefore, bolt strength influences the performance of SMA connections, and it is recommended to use 10.9-grade high-strength bolts.

4.2. Hysteresis Curves

(1) Deformation mode
As shown in Figure 8a, all specimens exhibited flag-shaped hysteresis. Increasing preload from 10 kN to 30 kN improved bearing capacity; further increase to 50 kN slightly reduced capacity and increased residual deformation. ASC-28-30-10 showed the fullest curve. A preload of 30 kN is recommended.
(2) SMA wires fracture
As shown in Figure 8a, the hysteresis curve of specimen ASC-14-10-10 exhibited a flag shape overall, and its ultimate bearing capacity was lower compared to other specimens. This is because the reduction in the number of SMA wires decreased the ultimate bearing capacity of the SMA connection. As the displacement increased and the slip bolt moved, the SMA wires were tensioned, and the bearing capacity gradually increased. When the displacement reached 28.80 mm (SMA strain value approximately 15%), the bearing capacity of the connection gradually decreased during compression in the hysteresis curve, and the SMA wires eventually fractured, stopping the loading.
(3) Slip bolt bending
Specimen ASC-28-10-5 also exhibited a distinct flag-shaped hysteresis curve. In the initial loading stage, there was a slip segment of approximately 2.3 mm, after which the SMA wires gradually entered the working state as the specimen displacement increased, and the bearing capacity showed a rapid increasing trend. When the loading displacement exceeded 12.00 mm, the load transferred from the SMA wires to the slip bolt caused the bolt to bend gradually, and the bearing capacity was significantly lower than that of specimen ASC-28-10-10 under the same conditions. After the displacement reached 14.40 mm, the bearing capacity further decreased, mainly due to the increased bending of the slip bolt. The hysteresis curve of specimen ASC-28-10-10 indicates that reducing the strength of the bolt significantly decreases the bearing capacity of the connection, so the use of 10.9-grade high-strength slip bolts is recommended during design.

4.3. Skeleton Curves

Figure 8b presents the skeleton curves of the self-centering SMA connection specimens under various influencing factors. Since specimens ASC-28-10-10, ASC-28-30-10, ASC-28-50-10, and ASC-28-10-5 share identical SMA areas and loading displacements, their skeleton curves exhibit nearly identical trends: the load increases proportionally with displacement. In contrast, specimen ASC-14-10-10, with only half the SMA area of the others, shows significantly lower load values at identical displacements. Beyond 14.40 mm displacement, the load does not increase markedly until SMA fracture occurs. These results confirm that the bearing capacity of the self-centering SMA connection is mainly provided by the SMA wires, and increasing the SMA area effectively enhances the connection’s load-bearing capacity.
In order to verify the guiding significance of the equation for specimen design, the bearing capacity of specimen ASC 28 30 10 was verified (Table 1). As = 43.96 mm2, and the measured plateau stresses (Section 3.2) suggest FSMA ≈ 24–30 kN with two bolts, nb = 2, ns = 4, Tb = 30 kN and μ = 0.075. Equation (3) gives Ff ≈ 18 kN, predicting FSCB ≈ 42–48 kN, which is consistent with the 45 kN plateaus seen in Figure 8a. Therefore, this equation can be used to guide on-site construction design.

5. Finite Element Analysis

5.1. Model Establishment

(1) Material properties
Taking specimen ASC-28-30-10 as an example, a finite element model was established and analyzed using ABAQUS software. In the self-centering SMA connection model, all components were modeled using C3D8R elements. The SMA constitutive model was embedded into the software by programming the Umat subroutine. The material properties of each element are detailed in Section 2.2. Additionally, the 10.9-grade slip bolt has an elastic modulus E of 2.06 × 105 MPa, a Poisson’s ratio v of 0.3, a yield strength fy of 940 MPa, and a tensile strength fu of 1040 MPa [23].
(2) Boundary conditions
The bolt and the slotted holes were set as frictional contact with a friction coefficient of 0.3. The friction coefficient between the sliding pad and the angle steel and flange was set to 0.075, while the friction coefficient between the fixed pad and the connecting plate and flange was set to 0.3 [1]. The friction coefficient between the SMA wire and the steel nut on the sliding screw was also set to 0.3. The lower surface of the connecting plate in the model was completely fixed, and then a vertical reciprocating displacement load was applied to the upper end of the angle steel. The loading step displacement was the same as in the experimental process, as described in Section 2.3. The bottom surface at the lower end was coupled to a point RP1, and the top surface at the upper end was coupled to a point RP2. RP1 was completely fixed, while RP2 was only allowed axial displacement.
(3) Mesh division
To accurately simulate the mechanical performance of the small-sized self-centering SMA connection, fine meshes were assigned to each solid element in the finite element model: the side and middle plates had a mesh size of 3 mm, the fixed bolt and its nut had a mesh size of 3 mm, the slip bolt and its nut had a mesh size of 2.5 mm, the sliding block had a mesh size of 2 mm, and the SMA wires had a mesh size of 3 mm. The specific mesh division is shown in Figure 9.
(4) Analysis step
Two analysis steps are set in this model. In the first analysis step, a pretension force is applied to the bolts. In the second analysis step, a reciprocating displacement is applied to the RP2 at the SMA connection, which is consistent with Section 3.3.

5.2. Model Validation

(1) SMA wire
To validate the accuracy of the SMA numerical model, an SMA wire with a diameter of 1.0 mm, which was tested by Zhang [7], was employed, as depicted in Figure 10. Initially, there was a certain disparity in displacement and stiffness between the test results and the finite element (FE) results. This was primarily caused by the initial strain of the SMA wire. As the displacement amplitude increased, a comparison of the hysteresis curves showed a good agreement between the test and FE results. This indicates that the SMA numerical model can be effectively used for analyzing the hysteresis performance of the self-centering shear link.
(2) Hysteresis curve
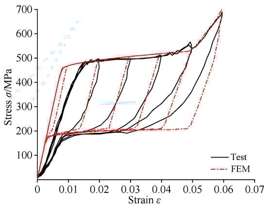
The hysteresis curves obtained from the experiment and finite element analysis of specimen ASC-28-30-10 are shown in Figure 11a. In the initial loading stage, there is a certain discrepancy between the experimental and finite element results in terms of bearing capacity and hysteresis curves. This is mainly due to the need to overcome the adhesive force of the butyl rubber between the sliding shim and the plate, as well as potential relaxation of the preload in some SMA wires. When the loading displacement exceeds 4.80 mm, the SMA wire’s performance is fully utilized, and the friction coefficient between the plates matches the expected value, resulting in nearly identical bearing capacities in both the experiment and finite element analysis. This indicates that the finite element method can accurately simulate the bearing capacity of the connection.
(3) Deformation mode
Figure 11b shows a comparison of the experimental and finite element deformation of specimen ASC-28-30-10 at a displacement of 14.40 mm. In the experimental analysis, the SMA wires are in tension, and both slip bolts exhibit tilting, primarily due to the inherent asymmetry of the specimen. In the finite element analysis, the stress at the connections between the slip bolts and the flange and angle steel is significant, and the SMA is subjected to tensile force, with both slip bolts also tilting. This indicates that the deformation modes of the two methods are consistent.
Based on the comparison of the experimental and finite element results for specimen ASC-28-30-10, it is evident that the two sets of results are in good agreement and both exhibit the expected mechanical performance. Therefore, this validates the accuracy of the self-centering SMA connection design method described in Section 2.3 and demonstrates that the finite element analysis method can be used for parametric analysis of self-centering SMA connections.
(4) Skeleton curves and Self-centering ratios
Figure 11c shows a comparison of the experimental and finite element skeleton curves of specimen ASC-28-30-10. There is a deviation in the initial stage, but the limit state of the SMA connection test and finite element analysis are consistent. This finite element analysis method can be used to predict the ultimate bearing capacity of the SMA connection. Figure 11d shows a comparison of the experimental and finite element self-centering ratios of specimen ASC-28-30-10. Self-centering ratios r can be calculated as:
r = D r e s D max
where Dres and Dmax are the residual displacement and maximum displacement, respectively.
The self-centering ratios of experiment and finite element analysis are basically consistent, both showing good self-centering ability, indicating that the self-centering SMA connection can significantly reduce residual deformation.

5.3. Analysis Models

This study designs a total of three groups comprising seven finite element parametric analysis models to investigate further the influence of SMA area, angle steel thickness, and slip bolt strength on the mechanical performance of asymmetric oversized bolt connections [24,25,26]. The material properties, boundary conditions, and other parameters remain consistent with Section 5.1. The specific dimensions of the analysis models are detailed in Table 2:
(1) SMA area
Three models—FASC-14-15-10.9, FASC-28-15-10.9, and FASC-42-15-10.9—are designed. The bolt type, preload, angle steel thickness, and loading displacement are identical for all models, while the SMA areas are 21.98 mm2, 43.96 mm2, and 65.94 mm2, respectively.
(2) Angle steel thickness
Models FASC-42-5-10.9 and FASC-42-10-10.9 are designed and compared with model FASC-42-15-10.9. All models share the same bolt type, preload, and SMA area, but the angle steel thicknesses are 5 mm, 10 mm, and 15 mm, respectively. The plate material for all models is Q235 steel, with a yield strength of 273.5 MPa, ultimate strength of 444.3 MPa, elastic modulus of 203 GPa, and elongation of 21.3%.
(3) Slip bolt strength
Models FASC-42-15-4.8 and FASC-42-15-6.8 are designed and compared with model FASC-42-15-10.9. All models share the same preload, SMA area, and angle steel thickness, but the slip bolt strengths are 4.8 grade, 6.8 grade, and 10.9 grade, respectively. The yield strengths of the 4.8-grade and 6.8-grade bolts are 336 MPa and 504 MPa, respectively, and their ultimate strengths are 420 MPa and 630 MPa [23].

5.4. Analysis Results

5.4.1. SMA Area

Figure 12 displays the hysteretic and skeleton curves for models FASC-14-15-10.9, FASC-28-15-10.9, and FASC-42-15-10.9. Both sets of curves across all tested models demonstrate a consistent behavior: an initial rapid increase in the connection’s load-bearing capacity during the initial loading phase, followed by a stable stage characterized by significant energy dissipation. As the SMA area in the self-centering SMA connection increases from 21.98 mm2 to 65.94 mm2, there is a notable improvement in load-bearing capacity, hysteresis area, and energy dissipation capacity. Concurrently, residual deformation is observed to decrease. Furthermore, due to the inherent asymmetry within the connection, the bending of the slip bolt results in discernible differences in the positive and negative load values at each loading step.

5.4.2. Angle Steel Thickness

When the SMA area in all models is fixed at 65.94 mm2, the hysteresis curves and stress distributions of models FASC-42-5-10.9, FASC-42-10-10.9, and FASC-42-15-10.9 with different angle steel thicknesses are shown in Figure 13. The hysteresis curves of all models exhibit an ideal flag-shaped trend. However, when the displacement exceeds 12.00 mm, the load value of model FASC-42-5-10.9 begins to decrease. Furthermore, an incremental increase in angle steel thickness from 10 mm to 15 mm results in a slight improvement in the load-bearing capacity of the models.
Further stress analysis of the angle steel thickness in each model is shown in Figure 13. In model FASC-42-5-10.9, the stress at the end of the elongated hole reaches 444.30 MPa, exceeding the ultimate strength of the steel plate (400 MPa). This indicates failure at the termination of the elongated hole, consequently leading to a decline in the connection’s load-bearing capacity during later loading stages. In contrast, models FASC-42-10-10.9 and FASC-42-15-10.9 demonstrate stress levels in the angle steel that exceed the yield strength but remain below the ultimate strength, signifying an elastoplastic state.

5.4.3. Slip Bolt Strength

When parameters such as the SMA area and slip bolt pretension are kept constant, Figure 14 presents the hysteretic curves and stress distributions for models FASC-42-15-4.8, FASC-42-15-6.8, and FASC-42-15-10.9, which differ in slip bolt strength grades. During the initial loading stage, the hysteresis curves of all models are nearly identical, indicating no significant change in load values at each loading step. As the loading displacement and applied load increase, the load-bearing capacity of model FASC-42-15-4.8 (with a slip bolt strength grade of 4.8) starts to decrease. In contrast, the load values of the other two models (with slip bolt strength grades of 6.8 and 10.9) remain unaffected. A detailed study of the slip bolt stress is conducted, as shown in Figure 14b. When the loading displacement reaches 14.40 mm, the stress in the slip bolt of model FASC-42-15-4.8 reaches the ultimate strength of 420.00 MPa, and significant bending occurs. This bending of the slip bolt leads to a reduction in the connection’s load-bearing capacity. In contrast, the slip bolt stresses in models FASC-42-15-6.8 and FASC-42-15-10.9 do not exceed the ultimate strength, and their bending is significantly less pronounced compared to model FASC-42-15-4.8. Consequently, their load-bearing capacities do not decline. The design of model FASC-42-15-4.8 does not meet the requirements of Equation (5), and the eventual bending failure of the slip bolt demonstrates the reliability of the connection design method described in Section 2.3.

6. Conclusions

This paper conducts experimental and finite element parametric studies on self-centering SMA connections, considering factors such as SMA fracture, bolt bending, and bolt pretension. The main conclusions are as follows:
(1) The hysteresis curves of self-centering SMA connections exhibit a relatively full flag-shaped behavior. Increasing the SMA area will enhance its load-bearing capacity, energy dissipation, self-centering ability, and reduce its residual deformation.
(2) When the loading displacement of the self-centering SMA connection approaches 15% of the SMA strain, a significant decline in load-bearing capacity occurs, ultimately leading to the fracture of the SMA wires. Therefore, the loading displacement of the SMA strain should be strictly kept below 8% during design.
(3) Ordinary bolts are prone to bolt bending failure, which hinders the connection from attaining the anticipated performance, while high-strength bolts can ensure that the SMA wires remain in a tensile state, enabling the connection to exhibit the expected mechanical properties. Therefore, it is advisable to employ high-strength bolts for asymmetric self-centering SMA connections.
(4) The asymmetry of self-centering SMA connections can cause the slip bolts to tilt, reducing the connection’s load-bearing capacity and leading to premature bolt failure. Additionally, the yield load-bearing capacity of each plate in the connection must exceed the ultimate load of the self-centering SMA connection to ensure the connection’s load-bearing capacity is not compromised.
(5) A design method for self-centering SMA connections is proposed. Based on the comparison of experimental and finite element hysteresis curves and failure modes, the design method is proven to enable self-centering SMA connections to achieve the expected energy dissipation and self-centering capabilities, preventing unexpected failures such as SMA fracture, bolt bending, and plate fracture.

Author Contributions

Conceptualization, X.F. and S.L.; methodology, X.F. and C.J.; software, S.L. and S.H.; validation, X.F. and S.H.; formal analysis, S.L. and C.J.; investigation, S.L.; resources, C.J.; data curation, S.H.; writing—original draft preparation, S.L.; writing—review and editing, X.F. and S.H.; visualization, C.J.; supervision, S.H.; project administration, X.F.; funding acquisition, S.H. All authors have read and agreed to the published version of the manuscript.

Funding

This research was funded by the National Natural Science Foundation of China (No. 52468025) and the Young Leader of Science and Technology Research Project for Jiangxi Province (No. 20232BCJ23065).

Data Availability Statement

The data used to support the findings of this study are available from the authors upon request. The data are not publicly available due to privacy.

Conflicts of Interest

All authors declare that the research was conducted in the absence of any commercial or financial relationships that could be construed as potential conflicts of interest.

References

  1. Hu, S.J.; Gu, Q.; Jiang, G.Q.; Xiong, J.G. Experimentral study on seimeic performance for an innovative self-centering SMA brace. Eng. Mech. 2021, 38, 109–118, 142. [Google Scholar] [CrossRef]
  2. Liu, S.; Chen, S.; Zeng, S.; Zhang, B.; Hu, S. Seismic performance analysis of K-shaped EBF with an innovative crack-resistant composition beam. J. Build. Eng. 2025, 101, 111818. [Google Scholar] [CrossRef]
  3. Zhang, Z.H.; Wang, Y.; An, Q.; Wu, W.S.; Liu, Z.L. Seismic performance test on inner sleeve splicing joints between modules of modular steel frame. Prog. Steel Build. Struct. 2024, 26, 1–11. [Google Scholar] [CrossRef]
  4. Fang, C.; Yam, M.C.; Lam, A.C.; Xie, L. Cyclic performance of extended end-plate connections equipped with shape memory alloy bolts. J. Constr. Steel Res. 2014, 94, 122–136. [Google Scholar] [CrossRef]
  5. Wang, T.; Pan, Y.T.; Meng, L.Y. Hysteretic performance parameter analysis of double-level yielding self-centering buckling restrained braces. Prog. Steel Build. Struct. 2024, 26, 35–50. [Google Scholar] [CrossRef]
  6. Zhong, J.; Xu, P.J.; Lai, X.B.; Jin, C.B.; Hu, S.J. Seismic performance analysis of self-centering steel frame beam-to-column joint with asymmetric SMA connection. Build. Sci. 2024, 40, 82–90. [Google Scholar] [CrossRef]
  7. Zhang, B.; Zeng, S.; Tang, F.; Hu, S.; Zhou, Q.; Jia, Y. Experimental and Numerical Analysis of the Mechanical Properties of a Pretreated Shape Memory Alloy Wire in a Self-Centering Steel Brace. Processes 2021, 9, 80. [Google Scholar] [CrossRef]
  8. Qi, Y.; Teng, J.; Shan, Q.; Ding, J.; Li, Z.; Huang, C.; Xing, H.; Yi, W. Seismic performance of a novel prefabricated beam-to-column steel joint considering buckling behaviour of dampers. Eng. Struct. 2021, 229, 111591. [Google Scholar] [CrossRef]
  9. Tian, Q.; Liu, K.; Kang, C.X. Effects of different factors on the length of damage domain of H-section steel plate shell segment under biaxial loading. J. Nanchang Univ. (Eng. Technol.) 2024, 46, 37–44. [Google Scholar] [CrossRef]
  10. Tao, Z.; Ye, C.F.; Huangfu, S.E.; Yan, Z. Mechanical properties testing of cold-formed thin-walled flanged C-shaped stainless steel beams. J. Nanchang Univ. (Eng. Technol.) 2024, 46, 21–28. [Google Scholar] [CrossRef]
  11. Fang, Y.Z.; Gao, Y.; Yang, Y.; Sun, M.; Sun, G.H. Experiment on seismic performance of pec column-steel beam composite frame with partial self-centering friction damped connection. Prog. Steel Build. Struct. 2024, 26, 20–28. [Google Scholar] [CrossRef]
  12. Cavalagli, N.; Gusella, V.; Liberotti, R. The Role of Shape Irregularities on the Lateral Loads Bearing Capacity of Circular Masonry Arches; Lecture Notes in Mechanical Engineering; Springer: Cham, Switzerland, 2020. [Google Scholar] [CrossRef]
  13. Hu, S.; Liu, S.; Zeng, S.; Zhang, B.; Xu, Z. Investigating seismic performance of a novel self-centering shear link in EBF utilizing experimental and numerical simulation. J. Constr. Steel Res. 2024, 224, 109129. [Google Scholar] [CrossRef]
  14. Khoo, H.; Clifton, C.; MacRae, G.; Zhou, H.; Ramhormozian, S. Proposed design models for the asymmetric friction connection. Earthq. Eng. Struct. Dyn. 2014, 44, 1309–1324. [Google Scholar] [CrossRef]
  15. Lan, T.; Li, R.; Yan, T.; Jiang, Z.Q.; Cheng, K.K. Research on mechanical properties and stress mechanism of earthquake-resilient ductility-reinforced prefabricated opening-web steel channel beam-column joint. Ind. Constr. 2020, 50, 36–42. [Google Scholar] [CrossRef]
  16. Tartaglia, R.; D’ANiello, M.; Campiche, A.; Latour, M. Symmetric friction dampers in beam-to-column joints for low-damage steel MRFs. J. Constr. Steel Res. 2021, 184, 106791. [Google Scholar] [CrossRef]
  17. Jia, Y.; Zhang, B.; Zeng, S.; Tang, F.; Hu, S.; Chen, W. Effect of Loading Rate and Initial Strain on Seismic Performance of an Innovative Self-Centering SMA Brace. Materials 2022, 15, 1234. [Google Scholar] [CrossRef]
  18. Liu, J.; Huang, T.; Qiu, C.; Cheng, L.; Du, X.; Liu, H. An enhanced-deformability SMA damper: Experimental tests and seismic control analysis. Eng. Struct. 2024, 325, 119471. [Google Scholar] [CrossRef]
  19. Zhang, Y.X.; Ye, J.J.; Yang, F.; Chen, Y.Y. Seismic behavior time-history analysis of integral steel self-centering moment resisting frame. China Civ. Eng. J. 2015, 48, 30–40. [Google Scholar] [CrossRef]
  20. Li, C.J.; Zhou, Z.; Xie, Q. Hysteretic performance analysis of self-centering beam-column connections with sma bars and friction energy dissipator. Eng. Mech. 2018, 35, 123–131. [Google Scholar] [CrossRef]
  21. Nia, M.M.; Moradi, S. Surrogate models for endplate beam-column connections with shape memory alloy bolts. J. Constr. Steel Res. 2021, 187, 106929. [Google Scholar] [CrossRef]
  22. Sun, G.; Liu, H.; Liu, W.; Yang, W. Development, simulation, and validation of sliding self-centering steel brace with NiTi SMA wires. Eng. Struct. 2022, 256, 114069. [Google Scholar] [CrossRef]
  23. GB50017-2017; Standard for Design of Steel Structures. China Architecture & Building Press: Beijing, China, 2017.
  24. Mostafaei, H.; Mousavi, H.; Ashoori Barmchi, M.A. Finite Element Analysis of Structures by ABAQUS: For Civil Engineers; Simay-e-Danesh Publication: Tehran, Iran, 2023. [Google Scholar]
  25. Cluni, F.; Faralli, F.; Gusella, V.; Liberotti, R. X-Rays CT and Mesoscale FEM of the Shot-Earth Material; Springer Tracts in Civil Engineering; Springer: Cham, Switzerland, 2023. [Google Scholar] [CrossRef]
  26. John, S.K.; Cascardi, A.; Verre, S.; Nadir, Y. RC-columns subjected to lateral cyclic force with different FRCM-strengthening schemes: Experimental and numerical investigation. Bull. Earthq. Eng. 2025, 23, 1561–1590. [Google Scholar] [CrossRef]
Figure 1. A new type of self-centering beam-column joint for steel frames: (a) Self-centering beam-column joint in steel frame; (b) Static state; (c) SMA fracture; (d) Bolt bending; (e) Steel plate deformation.
Figure 1. A new type of self-centering beam-column joint for steel frames: (a) Self-centering beam-column joint in steel frame; (b) Static state; (c) SMA fracture; (d) Bolt bending; (e) Steel plate deformation.
Buildings 15 03254 g001
Figure 2. Diagram of SMA wires’ tensioning and connection.
Figure 2. Diagram of SMA wires’ tensioning and connection.
Buildings 15 03254 g002
Figure 3. Anchorage of heart-shaped thimble and U-shaped buckle.
Figure 3. Anchorage of heart-shaped thimble and U-shaped buckle.
Buildings 15 03254 g003
Figure 4. Dimensions of self-centering SMA connection(mm): (a) Flange; (b) Gusset plate; (c) Angle steel; (d) Slip plate; (e) Fixed washer.
Figure 4. Dimensions of self-centering SMA connection(mm): (a) Flange; (b) Gusset plate; (c) Angle steel; (d) Slip plate; (e) Fixed washer.
Buildings 15 03254 g004
Figure 5. Sketch of the relationship between the maximum strain of SMA wire and the length of the enlarged hole.
Figure 5. Sketch of the relationship between the maximum strain of SMA wire and the length of the enlarged hole.
Buildings 15 03254 g005
Figure 6. Experimental setup.
Figure 6. Experimental setup.
Buildings 15 03254 g006
Figure 7. Deformation or failure modes: (a) ASC-28-10-10; (b) ASC-28-30-10; (c) ASC-28-50-10; (d) ASC-14-10-10; (e) ASC-28-10-5.
Figure 7. Deformation or failure modes: (a) ASC-28-10-10; (b) ASC-28-30-10; (c) ASC-28-50-10; (d) ASC-14-10-10; (e) ASC-28-10-5.
Buildings 15 03254 g007
Figure 8. Hysteresis curves and skeleton curves of each specimen: (a) Hysteresis curves; (b) Skeleton curves.
Figure 8. Hysteresis curves and skeleton curves of each specimen: (a) Hysteresis curves; (b) Skeleton curves.
Buildings 15 03254 g008
Figure 9. Mesh quality of the self-centering SMA connection model.
Figure 9. Mesh quality of the self-centering SMA connection model.
Buildings 15 03254 g009
Figure 10. Comparison of the hysteresis curve for SMA wire.
Figure 10. Comparison of the hysteresis curve for SMA wire.
Buildings 15 03254 g010
Figure 11. Validation of finite element model: (a) Hysteresis curves; (b) Deformation diagram; (c) Skeleton curves; (d) Self-centering ratio.
Figure 11. Validation of finite element model: (a) Hysteresis curves; (b) Deformation diagram; (c) Skeleton curves; (d) Self-centering ratio.
Buildings 15 03254 g011
Figure 12. Hysteretic curves and skeleton curves of each model under different SMA areas: (a) Hysteresis curves; (b) Skeleton curves.
Figure 12. Hysteretic curves and skeleton curves of each model under different SMA areas: (a) Hysteresis curves; (b) Skeleton curves.
Buildings 15 03254 g012
Figure 13. Hysteretic curves and stress diagrams of each model under different thicknesses of angle steel: (a) Hysteresis curves; (b) Stress diagrams.
Figure 13. Hysteretic curves and stress diagrams of each model under different thicknesses of angle steel: (a) Hysteresis curves; (b) Stress diagrams.
Buildings 15 03254 g013
Figure 14. Hysteretic curves and stress diagrams of each model under different sliding bolt strengths: (a) Hysteresis curves; (b) Stress diagrams.
Figure 14. Hysteretic curves and stress diagrams of each model under different sliding bolt strengths: (a) Hysteresis curves; (b) Stress diagrams.
Buildings 15 03254 g014
Table 1. Dimensions of self-centering SMA connection.
Table 1. Dimensions of self-centering SMA connection.
SpecimenSMA Area
(mm2)
Bolt Type
(Grade)
Bolt Preload
(kN)
Loading Displacement
(mm)
Influencing Factor
ASC-28-10-1043.96 (28 turns)10.91014.40Basic model
ASC-28-30-1043.96 (28 turns)10.93014.40Bolt preload
ASC-28-50-1043.96 (28 turns)10.95014.40Bolt preload
ASC-14-10-1021.98 (14 turns)10.91028.80SMA fracture
ASC-28-10-543.96 (14 turns)5.61014.40Bolt bending
Table 2. Comparison of hysteresis curves for specimen VSSL-1.
Table 2. Comparison of hysteresis curves for specimen VSSL-1.
SpecimenSMA Area
(mm2)
Bolt Type
(grade)
Bolt Preload (kN)Angle Steel Thickness (mm)Loading Displacement (mm)Influencing Factor
FASC-14-15-10.921.98 (14 turns)10.9301514.40SMA area
FASC-28-15-10.943.96 (28 turns)10.9301514.40
FASC-42-15-10.965.94 (42 turns)10.9301514.40
FASC-42-5-10.965.94 (42 turns)10.930514.40Angle steel thickness
FASC-42-10-10.965.94 (42 turns)10.9301014.40
FASC-42-15-4.865.94 (42 turns)4.8301514.40Slip bolt strength
FASC-42-15-6.865.94 (42 turns)6.8301514.40
Disclaimer/Publisher’s Note: The statements, opinions and data contained in all publications are solely those of the individual author(s) and contributor(s) and not of MDPI and/or the editor(s). MDPI and/or the editor(s) disclaim responsibility for any injury to people or property resulting from any ideas, methods, instructions or products referred to in the content.

Share and Cite

MDPI and ACS Style

Fu, X.; Liu, S.; Jin, C.; Hu, S. Study of Failure Mode and Ultimate Bearing Capacity for Self-Centering SMA Connection. Buildings 2025, 15, 3254. https://doi.org/10.3390/buildings15183254

AMA Style

Fu X, Liu S, Jin C, Hu S. Study of Failure Mode and Ultimate Bearing Capacity for Self-Centering SMA Connection. Buildings. 2025; 15(18):3254. https://doi.org/10.3390/buildings15183254

Chicago/Turabian Style

Fu, Xiaozhu, Shangwen Liu, Chaobin Jin, and Shujun Hu. 2025. "Study of Failure Mode and Ultimate Bearing Capacity for Self-Centering SMA Connection" Buildings 15, no. 18: 3254. https://doi.org/10.3390/buildings15183254

APA Style

Fu, X., Liu, S., Jin, C., & Hu, S. (2025). Study of Failure Mode and Ultimate Bearing Capacity for Self-Centering SMA Connection. Buildings, 15(18), 3254. https://doi.org/10.3390/buildings15183254

Note that from the first issue of 2016, this journal uses article numbers instead of page numbers. See further details here.

Article Metrics

Back to TopTop