Sign in to use this feature.

Years

Between: -

Subjects

remove_circle_outline
remove_circle_outline
remove_circle_outline
remove_circle_outline
remove_circle_outline
remove_circle_outline
remove_circle_outline
remove_circle_outline
remove_circle_outline

Journals

remove_circle_outline
remove_circle_outline
remove_circle_outline
remove_circle_outline
remove_circle_outline
remove_circle_outline
remove_circle_outline
remove_circle_outline
remove_circle_outline
remove_circle_outline
remove_circle_outline
remove_circle_outline
remove_circle_outline

Article Types

Countries / Regions

remove_circle_outline
remove_circle_outline
remove_circle_outline
remove_circle_outline
remove_circle_outline

Search Results (2,726)

Search Parameters:
Keywords = hydrothermal activity

Order results
Result details
Results per page
Select all
Export citation of selected articles as:
25 pages, 6098 KB  
Article
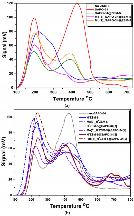
Structural Engineering of SAPO-34/ZSM-5 Core–Shell Zeolites for Regulating Shape Selectivity and Surface Acidity in Molybdenum-Catalyzed Methane Dehydroaromatization
by Charitomeni M. Veziri, Aggeliki Papavasiliou, George V. Theodorakopoulos, Fotios K. Katsaros and George E. Romanos
Catalysts 2026, 16(2), 161; https://doi.org/10.3390/catal16020161 - 3 Feb 2026
Abstract
In this study, novel Mo-decorated core–shell zeolite composites, namely ZSM-5@SAPO-34 and SAPO-34@ZSM-5, were synthesized and evaluated as catalysts for methane dehydroaromatization (MDA). Core–shell structures were effectively fabricated via sequential hydrothermal synthesis, utilizing SAPO-34 and ZSM-5 as cores, which were subsequently subjected to hydrothermal [...] Read more.
In this study, novel Mo-decorated core–shell zeolite composites, namely ZSM-5@SAPO-34 and SAPO-34@ZSM-5, were synthesized and evaluated as catalysts for methane dehydroaromatization (MDA). Core–shell structures were effectively fabricated via sequential hydrothermal synthesis, utilizing SAPO-34 and ZSM-5 as cores, which were subsequently subjected to hydrothermal growth in ZSM-5 and SAPO-34 reacting solution, respectively. Catalysts with varying SAPO-34/ZSM-5 mass ratios and Mo loadings were thoroughly characterized by the XRD, BET, SEM-EDS, and NH3-TPD techniques. The catalytic performance in the MDA reaction revealed a strong correlation between composite architecture, acidity, Mo dispersion, and product selectivity. Introducing H+SAPO-34 into both core–shell composites enhanced ethylene-to-benzene conversion due to the acidic confinement provided by SAPO-34. In contrast, non-protonated SAPO-34@ZSM-5 showed limited activity as a result of its weak acidity and inadequate Mo dispersion. Among all catalysts, H+ZSM-5@SAPO-34 with a 3:1 core–shell mass ratio delivered the highest benzene yield and stability, outperforming the benchmark, H+ZSM-5. This work highlights the potential of tailored core–shell zeolite composites in optimizing acid–metal interactions and improving catalytic performance in hydrocarbon transformations. Full article
(This article belongs to the Special Issue Advances in Transition Metal Catalysis, 2nd Edition)
Show Figures

Figure 1

14 pages, 3659 KB  
Article
Co-Deactivation of Cu-SSZ-13 Catalyst by K2SO4 Solid-State Diffusion and Hydrothermal Aging
by Zixin Jiang, Xiaodong Wu, Yue Ma, Rui Ran, Changlong Zheng and Lun Hua
Catalysts 2026, 16(2), 150; https://doi.org/10.3390/catal16020150 - 3 Feb 2026
Abstract
Cu-SSZ-13, the most widely used catalyst in diesel selective catalytic reduction (SCR) systems, often suffers severe deactivation, including hydrothermal aging and ash poisoning. In comparison with traditional impregnation in laboratory work, a more realistic solid-state diffusion method was employed to simulate K2 [...] Read more.
Cu-SSZ-13, the most widely used catalyst in diesel selective catalytic reduction (SCR) systems, often suffers severe deactivation, including hydrothermal aging and ash poisoning. In comparison with traditional impregnation in laboratory work, a more realistic solid-state diffusion method was employed to simulate K2SO4 poisoning on a commercial Cu-SSZ-13 catalyst with high aluminum and copper contents. Hydrothermal aging at 650 °C alone induces severe framework dealumination and transformation of isolated Cu2+ ions to copper aluminate (CuAlOx) species. K2SO4 poisoning alone is more prone to detached Cu2+ ions and aluminum terminal hydroxyl group to form CuSO4 and Al2(SO4)3. The presence of water vapor during K2SO4 poisoning dramatically reduces SCR activity by accelerating the ion-exchange between K+ and Cu2+ and zeolite dealumination. These synergistic effects promote extensive detachment of active Cu species, resulting in the formation of predominating inert sulfates, along with a small amount of CuOx clusters. These findings are expected to provide a theoretical basis for designing catalysts with enhanced resistance to both hydrothermal aging and ash poisoning in diesel aftertreatment applications. Full article
(This article belongs to the Special Issue Feature Papers in "Industrial Catalysis" Section, 2nd Edition)
Show Figures

Graphical abstract

15 pages, 2004 KB  
Article
Mechanism and Performance of Melamine-Based Metal-Free Organic Polymers with Modulated Nitrogen Structures for Catalyzing CO2 Cycloaddition
by Yifei Gao, Shuai Li, Min Jiang, Cheng Chen and Francis Verpoort
Catalysts 2026, 16(2), 143; https://doi.org/10.3390/catal16020143 - 2 Feb 2026
Abstract
The efficient conversion of CO2 into valuable chemicals using highly efficient, environmentally friendly, and renewable heterogeneous catalysts is paramount for the progression of a carbon circular economy. In pursuit of this goal, this study introduces a metal-free, scalable melamine-based organic polymer catalyst [...] Read more.
The efficient conversion of CO2 into valuable chemicals using highly efficient, environmentally friendly, and renewable heterogeneous catalysts is paramount for the progression of a carbon circular economy. In pursuit of this goal, this study introduces a metal-free, scalable melamine-based organic polymer catalyst designed to integrate CO2 adsorption with customizable functional properties. Employing both solid-state thermal synthesis (SST) and hydrothermal methods, we synthesized three amine-based hydrogen bond donor catalysts, thereby balancing environmentally conscious practices with scalable synthesis: MCA, a high-nitrogen-content polymer derived from trichlorocyanuric acid; MCA-SST; and MTAB, a triazine-trichlorocyanuric acid polymer. Under mild conditions (100 °C, 0.1 MPa, 24 h), MCA demonstrated superior catalytic performance in the CO2 cycloaddition of epichlorohydrin, achieving a 99% conversion rate, significantly surpassing MCA-SST (60%) and MTAB (78%). MCA’s high specific surface area and structural integrity facilitate efficient catalysis under mild conditions, and it retains 79% of its initial activity after five cycles, indicating exceptional stability. These results suggest that while the incorporation of secondary amines and increased nitrogen content generally promote the reaction, densely packed adjacent secondary amine linkages can induce repulsion between nitrogen atoms, thereby weakening active sites and reducing catalytic activity. Consequently, this study not only presents MCA as a novel metal-free catalyst exhibiting remarkable performance in catalyzing CO2 cycloaddition under ambient pressure and mild conditions, but also elucidates the structure–activity relationship between secondary amine density and catalytic activity. This work provides a deeper mechanistic understanding and offers a theoretical foundation for future rational catalyst design. Full article
Show Figures

Graphical abstract

34 pages, 5227 KB  
Article
Histological and Microstructural Evaluation of Strontium Apatite-Reinforced Mineral Trioxide Aggregate Composites in Experimental Rat Tibial Bone Defects
by Faruk Öztekin, Cevher Kürşat Macit, Turan Gürgenç, Zeynep Toprak, Serkan Dündar, Merve Ayık, Bünyamin Aksakal and İbrahim Hanifi Özercan
Crystals 2026, 16(2), 107; https://doi.org/10.3390/cryst16020107 - 31 Jan 2026
Viewed by 99
Abstract
Mineral trioxide aggregate (MTA) is a calcium silicate-based endodontic biomaterial widely used for its biocompatibility, sealing ability, and osteoconductive potential; however, further enhancement of its bone regenerative capacity without compromising structural stability remains of interest. Strontium apatite (SrAp), a bioactive calcium phosphate phase [...] Read more.
Mineral trioxide aggregate (MTA) is a calcium silicate-based endodontic biomaterial widely used for its biocompatibility, sealing ability, and osteoconductive potential; however, further enhancement of its bone regenerative capacity without compromising structural stability remains of interest. Strontium apatite (SrAp), a bioactive calcium phosphate phase structurally analogous to bone mineral, may promote osteogenic activity and bone regeneration. In this study, standardized cylindrical defects (2.5 mm diameter, 4 mm depth) were created in the right tibial metaphysis of systemically healthy rats and allocated to four groups: empty defect (control), pure MTA, 25SrAp–MTA, and 50SrAp–MTA. SrAp nanoparticles were synthesized hydrothermally and incorporated into the MTA matrix at predefined weight fractions. Materials were characterized using X-ray diffraction (XRD), Fourier transform infrared spectroscopy (FT-IR), scanning electron microscopy (SEM), and energy-dispersive X-ray spectroscopy (EDX). After 8 weeks, tibial specimens were harvested and processed for H&E histology; fibrous tissue formation, new bone formation, and osteoblastic cell presence were semi-quantitatively scored. XRD and FT-IR confirmed that SrAp incorporation preserved the fundamental Ca-silicate phase architecture and hydration chemistry of MTA, indicating chemical and crystallographic stability. SEM–EDX demonstrated progressive microstructural densification with increasing SrAp content, with reduced intergranular porosity and homogeneous SrAp distribution. Histologically, both SrAp–MTA groups exhibited significantly higher new bone formation and osteoblastic activity than untreated controls (p < 0.05), while fibrotic tissue formation did not differ significantly among groups. Although SrAp–MTA composites did not show statistically significant superiority over pure MTA after multiple-comparison adjustment, they demonstrated consistent osteogenic trends relative to empty defects. Overall, SrAp reinforcement yields a chemically compatible and structurally stable MTA-based composite that supports an enhanced osteogenic response in vivo without increasing fibrosis, suggesting potential utility in endodontic surgery and bone defect repair; longer-term and quantitative analyses are warranted to optimize SrAp content and confirm long-term performance. Full article
(This article belongs to the Section Crystalline Metals and Alloys)
16 pages, 2856 KB  
Article
Morphology-Driven Enhancement of Alkaline OER Performance in Spinel NiCo2O4 Nanosheet Electrodes
by Abu Talha Aqueel Ahmed, Abu Saad Ansari, Sangeun Cho and Atanu Jana
Int. J. Mol. Sci. 2026, 27(3), 1444; https://doi.org/10.3390/ijms27031444 - 31 Jan 2026
Viewed by 89
Abstract
The oxygen evolution reaction (OER) is a critical anodic process in alkaline water electrolysis, and its catalytic performance can be effectively regulated through rational morphology engineering that governs active-site exposure, mass transport, and charge-transfer kinetics. Herein, we report a precursor-controlled synthesis of spinel [...] Read more.
The oxygen evolution reaction (OER) is a critical anodic process in alkaline water electrolysis, and its catalytic performance can be effectively regulated through rational morphology engineering that governs active-site exposure, mass transport, and charge-transfer kinetics. Herein, we report a precursor-controlled synthesis of spinel NiCo2O4 (NCO) catalysts with tunable two-dimensional architectures for efficient alkaline OER. By employing hexamethylenetetramine (H) and urea (U) as precipitating agents, the NiCo2O4 catalysts with distinctly different nanosheet morphologies were directly grown on nickel foam. The NCO-H catalyst exhibits substantially enhanced OER activity by achieving lower overpotential of 259 mV, a smaller Tafel slope of 84 mV dec–1, and higher turnover frequency compared to NCO-U catalyst. The superior OER performance is attributed to an ultrathin, highly interconnected nanosheet network that provides abundant accessible active sites, shortened ion-diffusion pathways, and accelerated interfacial charge transfer. Moreover, the optimized electrode demonstrates excellent durability (50 h) with negligible potential degradation after the partial surface transformation into an oxyhydroxide-rich active phase, while post-stability polarization and impedance analyses confirm the preservation of catalytic integrity. These findings highlight precursor-regulated morphology engineering as an effective strategy for optimizing the electrocatalytic performance of spinel oxides and establish NiCo2O4 as a robust, earth-abundant OER catalyst for alkaline water-splitting applications. Full article
24 pages, 9523 KB  
Article
Hydrothermal–Microbial Controls on Carbonate Diagenesis and Organic Matter Enrichment in a Lacustrine System: Evidence from the Upper Bayingebi Formation, Yin’e Basin
by Feng Ma, Tianxin He, Bintao Chen, Rong Liu, Qianghao Liu and Haoran Zhang
Minerals 2026, 16(2), 165; https://doi.org/10.3390/min16020165 - 30 Jan 2026
Viewed by 103
Abstract
Microbe–mineral interactions in lacustrine environments play a critical role in controlling carbonate diagenesis and preserving organic matter, particularly under the influence of hydrothermal processes. To improve the understanding of such processes, this study focuses on the diagenesis of different types of carbonates from [...] Read more.
Microbe–mineral interactions in lacustrine environments play a critical role in controlling carbonate diagenesis and preserving organic matter, particularly under the influence of hydrothermal processes. To improve the understanding of such processes, this study focuses on the diagenesis of different types of carbonates from the upper section of the Bayingebi Formation in the Yin’e Basin, revealing the association between lacustrine sedimentation and hydrothermal activity. According to mineralogical and geochemical evidence, the carbonates in the studied interval can be broadly classified into hydrothermal, hydrothermal-biogenic, and sedimentary types on the basis of their dominant genetic signatures. Hydrothermal carbonates are dominated by crystalline dolomite, with associated hydrothermal minerals rich in Fe, Ba, and Mg, while 87Sr/86Sr values are close to mantle source values, indicating substantial mantle hydrothermal fluid contributions. Hydrothermal-biogenic carbonates are dominated by mud-crystalline and spherical dolomite enriched in Mg, Na, and P. The 87Sr/86Sr values fall between the typical mantle-derived and paleolake water ranges, indicating a mixed hydrothermal signal, with possible microbial involvement indicated by mineralogical and textural features. Sedimentary carbonates are predominantly crystalline calcite, with 87Sr/86Sr values close to crustal source values, indicating the influence of terrestrial inputs. Moreover, there are significant relationships between different types of diagenetic carbonates and organic matter. Intense hydrothermal activity is associated with low TOC values and relatively unfavorable conditions for organic matter preservation. In contrast, sections with mild hydrothermal activity have higher TOC contents, and the nutrient contents and water temperatures are more conducive to enrichment with organic matter. Although based on a single fully cored borehole from the upper section of the Bayingebi Formation, this study provides a framework for understanding the coupling between carbonate diagenesis and organic matter enrichment in hydrothermally influenced lacustrine systems, with implications for future studies involving multi-core investigations across the basin. Full article
(This article belongs to the Special Issue Exploring Novel Interactions Between Microbes and Minerals)
Show Figures

Figure 1

29 pages, 5129 KB  
Article
Origin of Black Shale-Hosted Dagangou Vanadium Deposit, East Kunlun Orogenic Belt, NW China: Evidence from Mineralogy and Geochemistry
by Tao Tian, Fengyue Sun, Guang Xu, Guowen Miao, Ye Qian, Jianfeng Qiao, Shukuan Wu and Zhian Wang
Minerals 2026, 16(2), 163; https://doi.org/10.3390/min16020163 - 30 Jan 2026
Viewed by 95
Abstract
Little is known of a large black shale belt within the Naij Tal Group in the East Kunlun region, which hosts polymetallic deposits, including manganese, vanadium, and cobalt. The recently discovered Dagangou vanadium mineralization is the first black rock series-type vanadium deposit in [...] Read more.
Little is known of a large black shale belt within the Naij Tal Group in the East Kunlun region, which hosts polymetallic deposits, including manganese, vanadium, and cobalt. The recently discovered Dagangou vanadium mineralization is the first black rock series-type vanadium deposit in the East Kunlun region and Qinghai Province and represents a significant find owing to its intermediate scale. This study investigated the mineralogy, major and trace elements, rare earth elements, and platinum group element geochemistry of the Dagangou vanadium deposit. Scanning electron microscopy and energy-dispersive X-ray spectroscopy revealed that the main vanadium-bearing minerals are micas, followed by limonite, clay minerals, feldspar, and jarosite. The SiO2/Al2O3, Co/Zn, Sr/Ba, and Pd/Ir ratios, as well as the Ir content of the ores, indicated strong involvement of hydrothermal activity in the mineralization process. The V/Cr, Ni/Co, and U/Th ratios, as well as the δU values and significant negative δCe anomalies, suggested that the vanadium-bearing black rock series formed in a strongly anoxic reducing environment. The Al2O3/(Al2O3 + Fe2O3) and MnO/TiO2 ratios, along with weak positive δEu anomalies and strong enrichment of heavy rare earth elements, indicated that mineralization occurred in an extensional tectonic setting. The black shale-hosted vanadium polymetallic deposit formed in a setting that transitioned from an open oceanic deep-sea environment to a progressively shallower continental margin. Full article
14 pages, 2500 KB  
Article
Mesoporous Structure and N-Doped Carbon Coating Skeleton Boosting High-Performance Nickel Phosphide Nanosheet-Based Electrocatalysts for Highly Efficient Electrocatalytic Hydrogen Evolution
by Yixuan Tang, Xiaowei Niu, Zhengjun Guan, Chengxin Wang, Xinyu Ma, Haonan Wang and Hongyuan Pan
Crystals 2026, 16(2), 100; https://doi.org/10.3390/cryst16020100 - 30 Jan 2026
Viewed by 80
Abstract
Earth-abundant nickel phosphide electrocatalysts show great potential for the hydrogen evolution reaction (HER), yet their efficiency requires further enhancement for practical applications. Herein, a novel in situ strategy is developed to synthesize a high-performance electrocatalyst on nickel foam (NF), composed of N-doped carbon-coated [...] Read more.
Earth-abundant nickel phosphide electrocatalysts show great potential for the hydrogen evolution reaction (HER), yet their efficiency requires further enhancement for practical applications. Herein, a novel in situ strategy is developed to synthesize a high-performance electrocatalyst on nickel foam (NF), composed of N-doped carbon-coated Ni5P4–Ni3P heterostructures. This is achieved through the phosphidation and subsequent carbon coating of hydrothermally grown Ni(OH)2 nanosheets. The resulting catalyst exhibits excellent HER activity in acidic media, requiring a low overpotential of only 63 mV to achieve a current density of 10 mA cm−2. The superior performance stems from the synergistic effects of multiple factors: the porous nanosheet architecture and multi-phase interfaces provide abundant active sites, while the conductive N-doped carbon network significantly enhances charge-transfer kinetics and catalyst stability. This work presents an effective approach for designing efficient non-precious metal HER electrocatalysts. Full article
(This article belongs to the Special Issue Polymeric Materials for Sustainable Catalysis and Energy Applications)
Show Figures

Figure 1

15 pages, 2212 KB  
Article
Effect of Hydrothermal Reaction Time on the Morphological and Photocatalytic Properties of ZnO Nanostructures
by Essam M. Abdel-Fattah and Salman M. Alshehri
Appl. Sci. 2026, 16(3), 1408; https://doi.org/10.3390/app16031408 - 30 Jan 2026
Viewed by 69
Abstract
Zinc oxide (ZnO) nanostructures were synthesized via a hydrothermal method by systematically varying the reaction time (6–24 h) while maintaining all other parameters constant. The morphological evolution progressed from nanoparticles to nanoneedles, nanoflakes, and nanoplates with increasing reaction duration. X-ray diffraction and Raman [...] Read more.
Zinc oxide (ZnO) nanostructures were synthesized via a hydrothermal method by systematically varying the reaction time (6–24 h) while maintaining all other parameters constant. The morphological evolution progressed from nanoparticles to nanoneedles, nanoflakes, and nanoplates with increasing reaction duration. X-ray diffraction and Raman spectroscopy confirmed the formation of hexagonal wurtzite ZnO for all samples, accompanied by a gradual shift in the preferred growth orientation from the c-axis to the a-axis. The optical characterization revealed a pronounced dependence of the band gap and the defect density on the synthesis time, with the nanoflakes obtained at 12 h exhibiting a narrowed band gap of 2.9 eV and an enhanced visible light absorption. The photocatalytic degradation of methylene blue followed zero-order kinetics, where the ZnO nanoflakes achieved the highest rate constant (k0 = 0.01893 min−1). The enhanced activity is attributed to the combined effects of a reduced band gap, an increased surface area, the coexistence of ZnO/Zn(OH)2 phases, and a defect-assisted charge separation. Full article
(This article belongs to the Section Materials Science and Engineering)
Show Figures

Figure 1

17 pages, 3788 KB  
Article
Morphology and Surface Reconstruction-Driven Catalytic Enhancement in CoMn2O4 for Efficient OER Application
by Abu Talha Aqueel Ahmed, Abu Saad Ansari, Sangeun Cho and Atanu Jana
Materials 2026, 19(3), 542; https://doi.org/10.3390/ma19030542 - 29 Jan 2026
Viewed by 152
Abstract
The development of efficient and durable oxygen evolution reaction (OER) catalysts from earth-abundant materials is essential for advancing alkaline water electrolysis. Herein, nanograss-like CoMn2O4 electrode films are directly grown on stainless-steel substrates via a temperature-controlled hydrothermal approach, and their OER [...] Read more.
The development of efficient and durable oxygen evolution reaction (OER) catalysts from earth-abundant materials is essential for advancing alkaline water electrolysis. Herein, nanograss-like CoMn2O4 electrode films are directly grown on stainless-steel substrates via a temperature-controlled hydrothermal approach, and their OER performance is systematically investigated. The CoMn2O4 obtained at 120 °C (CMO-120) delivers the best catalytic activity in 1.0 M KOH, requiring an overpotential of 292 mV at 10 mA cm−2, which is lower than those synthesized at 150 (CMO-150) and 90 °C (CMO-90). Notably, activity of CMO-120 becomes even more pronounced at elevated current densities, achieving the low overpotential of 434 mV even at 300 mA cm−2, substantially outperforming both CMO-90 and CMO-150 electrodes. The enhanced activity is attributed to an interconnected nanograss architecture with mixed Co2+/Co3+ and Mn2+/Mn3+ redox couples and abundant defect-related oxygen species, which result in increased electrochemically active surface area and improved charge transportation throughout the nanograss architecture that facilitate OH adsorption and OER intermediate transformation. Furthermore, CMO-120 demonstrates excellent durability (100 h) after electro-oxidation-induced surface activation. These findings highlight precise temperature regulation as an effective strategy for optimizing Mn-Co spinel for efficient alkaline OER applications. Full article
Show Figures

Graphical abstract

18 pages, 1641 KB  
Article
A Novel Polyaniline Gadolinium Oxide Coated Reduced Graphene Oxide Nanocomposite: A Sustainable, Cost-Effective and High-Performance Counter Electrode for Dye-Sensitized Solar Cells
by Kiran Fouzia, Humaira Seema, Asma Abdulaziz AbalKhail, Sajid Khan, Asfandyar Shahab, Muhammad Owais Malik and Fahad Almutlaq
Catalysts 2026, 16(2), 127; https://doi.org/10.3390/catal16020127 - 29 Jan 2026
Viewed by 285
Abstract
A novel ternary nanocomposite, comprising reduced graphene oxide/polyaniline/gadolinium oxide (RGO-PANI-Gd2O3), was successfully synthesized using the Hummers method, followed by in situ emulsion polymerization of polyaniline. The final composite was produced by hydrothermally adding gadolinium nitrate. The composite was subjected [...] Read more.
A novel ternary nanocomposite, comprising reduced graphene oxide/polyaniline/gadolinium oxide (RGO-PANI-Gd2O3), was successfully synthesized using the Hummers method, followed by in situ emulsion polymerization of polyaniline. The final composite was produced by hydrothermally adding gadolinium nitrate. The composite was subjected to a systematic analysis that included optical, microstructural, physical, and Raman spectroscopic analysis, as well as current-voltage (J-V) measurements. The morphology of this composite material was investigated using scanning electron microscopy (SEM). The addition of Gd2O3 nanoparticles decreases the band gap energy from 3.5 eV (PANI) to 2.7 eV (RGO-PANI-Gd2O3). The UV–Vis spectra revealed a redshift in the π-π* transition peak from 318 nm (PANI) to 346 nm, indicating increased conjugation length and synergistic effects. This eco-friendly material has excellent catalytic activity for triiodide reduction. The manufactured counter-electrode (CE) demonstrated remarkable transparency and conversion efficiency comparable to platinum, with a current density of 11.7 mA·cm−2 versus 8.2 mA·cm−2 for platinum. Under simulated solar light (AM 1.5 G, 100 mW·cm−2), the RGO-PANI-Gd2O3 based nanocomposite CE achieved an excellent 4.3% photo conversion efficiency. These findings indicate that RGO-PANI-Gd2O3 nanocomposites have potential as efficient, platinum-free counter electrodes in dye-sensitized solar cells (DSSCs). Full article
(This article belongs to the Special Issue Electrochemical and Electrocatalysis with Porous Materials)
Show Figures

Figure 1

17 pages, 1118 KB  
Article
Enzymatic Tenderization of Garden Snail Meat (Cornu aspersum aspersum) Using Plant Cysteine Proteases
by Iwona Tesarowicz, Maciej Ligaszewski, Przemysław Pol, Krzysztof Surówka, Małgorzata Szczepanik, Katarzyna Widor and Karolina Budz
Molecules 2026, 31(3), 466; https://doi.org/10.3390/molecules31030466 - 29 Jan 2026
Viewed by 97
Abstract
This study examined the impact of enzymatic tenderization on Cornu aspersum aspersum snail meat using mechanical texture analysis, SDS-PAGE (sodium dodecyl sulfate–polyacrylamide gel electrophoresis) protein profiling, and sensory evaluation. Samples were treated with papain (0.05–0.1%), bromelain (0.05–0.1%), or 10–25% ginger extract containing zingibain [...] Read more.
This study examined the impact of enzymatic tenderization on Cornu aspersum aspersum snail meat using mechanical texture analysis, SDS-PAGE (sodium dodecyl sulfate–polyacrylamide gel electrophoresis) protein profiling, and sensory evaluation. Samples were treated with papain (0.05–0.1%), bromelain (0.05–0.1%), or 10–25% ginger extract containing zingibain and subsequently hydrothermally processed. All enzymatic treatments significantly reduced shear force compared with the control (p < 0.05). The lowest connective tissue resistance (S1) was observed for 0.1% bromelain (14.1 N) and 10% ginger extract (19.0 N), versus >21 N in untreated samples. SDS-PAGE revealed that bromelain caused extensive degradation of high-molecular-weight proteins (>90 kDa), whereas papain induced moderate myofibrillar proteolysis. Higher concentrations of bromelain (0.1%) and ginger extract (25%) resulted in excessive softening and structural disintegration, leading to sensory disqualification. Sensory evaluation showed that moderate enzyme concentrations significantly improved overall acceptability (p < 0.05). Samples treated with 10% ginger extract achieved the highest overall sensory score (4.6/5), exceeding the control (3.9) and papain- or bromelain-treated samples (4.1–4.2). In conclusion, although bromelain exhibited the strongest proteolytic activity, a 10% ginger extract was identified as the optimal treatment, providing effective tenderization while preserving structural integrity and sensory quality. Full article
Show Figures

Graphical abstract

33 pages, 4072 KB  
Article
Mineral Prospectivity Mapping Based on Remote Sensing and Machine Learning in the Hatu Area, China
by Chunya Zhang, Shuanglong Huang, Bowen Zhang, Yueqi Shen, Yaxiaer Yalikun, Junnian Wang and Yanzi Shang
Minerals 2026, 16(2), 144; https://doi.org/10.3390/min16020144 - 28 Jan 2026
Viewed by 132
Abstract
The Hatu region in the Western Junggar, Xinjiang, is one of the most significant gold metallogenic concentration areas in China. Gold mineralization is primarily controlled by several parallel NE-trending strike-slip faults and Late Paleozoic granitic plutons, accompanied by multiple stages of hydrothermal activity. [...] Read more.
The Hatu region in the Western Junggar, Xinjiang, is one of the most significant gold metallogenic concentration areas in China. Gold mineralization is primarily controlled by several parallel NE-trending strike-slip faults and Late Paleozoic granitic plutons, accompanied by multiple stages of hydrothermal activity. To enhance the objectivity and accuracy of mineral prospecting prediction, this study develops an integrated forecasting framework that combines multi-source remote sensing datasets with machine learning techniques. Alteration anomalies related to iron staining and hydroxyl-bearing minerals are extracted from ASTER data, alteration mineral mapping is performed using GF-5 hyperspectral imagery, and Landsat-9 data is used for structural interpretation to refine the regional metallogenic framework. On this basis, these multi-source remote sensing products are then integrated to delineate five prospective metallogenic areas (T1–T5). Subsequently, a Random Forest (RF) model optimized by the Grey Wolf Optimizer (GWO) algorithm is employed to quantitatively integrate key evidence layers, including alteration, structure, and geochemistry, for estimating mineralization probability. The results show that the GWO-RF model effectively concentrates anomalous areas and identifies two high-confidence targets, Y1 and Y2, both with mineralization probabilities exceeding 0.8. Among them, the Y1 target is associated with the Bieluagaxi pluton and exhibits strong montmorillonitization, chloritization, and iron-staining alteration, typical for magmatic–hydrothermal controlled mineralization. In contrast, the Y2 target is strictly controlled by the Anqi Fault and its subsidiary faults, primarily characterized by linear chloritization and iron-staining anomalies indicative of structure–hydrothermal mineralization. Field verification confirms the significant metallogenic potential of both Y1 and Y2, demonstrating the effectiveness of integrating multi-source remote sensing and machine learning for predicting orogenic gold systems. This approach not only deepens the understanding of the diverse gold mineralization processes in the Western Junggar but also provides a transferable methodology and case study for improving regional mineral exploration accuracy. Full article
22 pages, 6506 KB  
Article
Time-Engineered Hydrothermal Nb2O5 Nanostructures for High-Performance Asymmetric Supercapacitors
by Rutuja U. Amate, Mrunal K. Bhosale, Aviraj M. Teli, Sonali A. Beknalkar, Hajin Seo, Yeonsu Lee and Chan-Wook Jeon
Nanomaterials 2026, 16(3), 173; https://doi.org/10.3390/nano16030173 - 27 Jan 2026
Viewed by 145
Abstract
Precise control over nanostructure evolution is critical for optimizing the electrochemical performance of pseudocapacitive materials. In this work, Nb2O5 nanostructures were synthesized via a time-engineered hydrothermal route by systematically varying the reaction duration (6, 12, and 18 h) to elucidate [...] Read more.
Precise control over nanostructure evolution is critical for optimizing the electrochemical performance of pseudocapacitive materials. In this work, Nb2O5 nanostructures were synthesized via a time-engineered hydrothermal route by systematically varying the reaction duration (6, 12, and 18 h) to elucidate its influence on structural development, charge storage kinetics, and supercapacitor performance. Structural and surface analyses confirm the formation of phase-pure monoclinic Nb2O5 with a stable Nb5+ oxidation state. Morphological investigations reveal that a 12 h reaction time produces hierarchically organized Nb2O5 architectures composed of nanograin-assembled spherical aggregates with interconnected porosity, providing optimized ion diffusion pathways and enhanced electroactive surface exposure. Electrochemical evaluation demonstrates that the NbO-12 electrode delivers superior pseudocapacitive behavior dominated by diffusion-controlled Nb5+/Nb4+ redox reactions, exhibiting high areal capacitance (5.504 F cm−2 at 8 mA cm−2), fast ion diffusion kinetics, low internal resistance, and excellent cycling stability with 85.73% capacitance retention over 12,000 cycles. Furthermore, an asymmetric pouch-type supercapacitor assembled using NbO-12 as the positive electrode and activated carbon as the negative electrode operates stably over a wide voltage window of 1.5 V, delivering an energy density of 0.101 mWh cm−2 with outstanding durability. This study establishes hydrothermal reaction-time engineering as an effective strategy for tailoring Nb2O5 nanostructures and provides valuable insights for the rational design of high-performance pseudocapacitive electrodes for advanced energy storage systems. Full article
(This article belongs to the Section Physical Chemistry at Nanoscale)
Show Figures

Figure 1

17 pages, 4297 KB  
Article
Synthesis of Lignin-Derived Hierarchical Porous Carbon via Hydrothermal–Phosphoric Acid Synergistic Activation for Enhanced Adsorption of Tetracycline
by Xin Li, Yipeng Li, Yuhan Li, Mengyu Zhang and Jundong Zhu
Molecules 2026, 31(3), 447; https://doi.org/10.3390/molecules31030447 - 27 Jan 2026
Viewed by 184
Abstract
Tetracycline is a low-cost broad-spectrum antibiotic and widely used in medicine and aquaculture. Its residues are usually released into the environment through wastewater, which may lead to the spread of antibiotic resistance genes and pose ecological risks. To address this environmental issue, a [...] Read more.
Tetracycline is a low-cost broad-spectrum antibiotic and widely used in medicine and aquaculture. Its residues are usually released into the environment through wastewater, which may lead to the spread of antibiotic resistance genes and pose ecological risks. To address this environmental issue, a hierarchical lignin-derived porous carbon (LPHC) was synthesized using renewable biomass lignin as the precursor through a combined phosphoric acid-activated hydrothermal pretreatment. The resulting LPHC was used to effectively remove tetracycline from aqueous solutions. Characterization results indicated that LPHC had a high specific surface area (1157.25 m2·g−1), a well-developed micro-mesoporous structure, and abundant surface oxygen-containing functional groups, which enhanced its interaction with target pollutants. Adsorption experiments showed that LPHC exhibited excellent adsorption performance for tetracycline, with a maximum adsorption capacity of 219.81 mg·g−1. The adsorption process conformed to the Langmuir isotherm model, indicating that monolayer chemical adsorption was dominant. Mechanism analysis further confirmed that the adsorption process was controlled by multiple synergistic interactions, including pore filling, π-π electron donor–acceptor interactions, hydrogen bonding, and electrostatic attraction. This work proposes a feasible strategy to convert waste biomass into high-performance and environmentally friendly adsorbents, which provides technical feasibility for sustainable water purification technologies. Full article
(This article belongs to the Section Applied Chemistry)
Show Figures

Graphical abstract

Back to TopTop