Sign in to use this feature.

Years

Between: -

Subjects

remove_circle_outline
remove_circle_outline
remove_circle_outline
remove_circle_outline
remove_circle_outline
remove_circle_outline
remove_circle_outline
remove_circle_outline
remove_circle_outline

Journals

remove_circle_outline
remove_circle_outline
remove_circle_outline
remove_circle_outline
remove_circle_outline
remove_circle_outline
remove_circle_outline
remove_circle_outline
remove_circle_outline
remove_circle_outline
remove_circle_outline
remove_circle_outline
remove_circle_outline
remove_circle_outline
remove_circle_outline

Article Types

Countries / Regions

remove_circle_outline
remove_circle_outline
remove_circle_outline
remove_circle_outline
remove_circle_outline
remove_circle_outline

Search Results (1,686)

Search Parameters:
Keywords = hydrogen peroxide production

Order results
Result details
Results per page
Select all
Export citation of selected articles as:
17 pages, 1712 KB  
Article
Effects of Exogenous Phosphorus and Hydrogen Peroxide on Wheat Root Architecture
by Lei Chen, Lei Zhou, Yuwei Zhang and Hong Wang
Plants 2026, 15(2), 253; https://doi.org/10.3390/plants15020253 - 13 Jan 2026
Abstract
Plant root growth and architectural modifications are well-documented responses to phosphorous (P) starvation. The spatiotemporal dynamics of hydrogen peroxide (H2O2) in mediating root development under P deficiency, especially in cereal crops like wheat, remain insufficiently understood. A nutrient solution [...] Read more.
Plant root growth and architectural modifications are well-documented responses to phosphorous (P) starvation. The spatiotemporal dynamics of hydrogen peroxide (H2O2) in mediating root development under P deficiency, especially in cereal crops like wheat, remain insufficiently understood. A nutrient solution experiment was conducted to grow two varieties of wheat, including SM15 and HG35, with the treatments of 0.005 and 0.25 mmol/L P supply. Exogenous H2O2 and its scavenger ascorbic acid (AsA), and a NADPH oxidase inhibitor diphenylene iodonium (DPI) were added. The distribution of reactive oxygen species (ROS) in roots were detected by chemical staining and fluorescent probe technology. Low P supply did not change the root dry weight and total root length, while it decreased the lateral root density. The increase in the primary root and lateral root growth in P-starved wheat coincided with more ROS in the cell wall of the elongation zone. ROS production and oxidative enzyme activity of P-starved roots increased significantly. Low H2O2 induced the formation of lateral roots and significantly increased lateral root density under low P conditions. High H2O2 significantly reduced lateral root density but stimulated the nodal root formation. Exogenous AsA or DPI addition reversed the promotion of root growth imposed under the low P treatment or H2O2 addition. Furthermore, exogenous H2O2 treatment reduced the inhibitory effect of the DPI treatment on nodal root formation. It is suggested that the involvement of ROS in the regulation of wheat root system architecture under low P supply. Full article
Show Figures

Figure 1

17 pages, 2725 KB  
Article
Unveiling the Potential of Plant-Derived Exosome-like Extracellular Vesicles from Phalaenopsis aphrodite as Skin-Conditioning Ingredients in Cosmetic Applications
by Kai-An Chuang, Kuei-Chang Li, Hsin-Jan Yao, Pei-Yin Tsai, I Huang Lu, Chu Hung Lin, Hira Umbreen, Chi-Chien Lin and I-Hong Pan
Cosmetics 2026, 13(1), 15; https://doi.org/10.3390/cosmetics13010015 - 12 Jan 2026
Viewed by 24
Abstract
Plant-derived exosome-like extracellular vesicles (PELVs) have recently emerged as novel bioactive materials. Although members of the Orchidaceae family have been reported to possess various biological activities and are widely used as cosmetic ingredients, no studies to date have investigated exosome-like extracellular vesicles derived [...] Read more.
Plant-derived exosome-like extracellular vesicles (PELVs) have recently emerged as novel bioactive materials. Although members of the Orchidaceae family have been reported to possess various biological activities and are widely used as cosmetic ingredients, no studies to date have investigated exosome-like extracellular vesicles derived from Phalaenopsis species. In the present study, we report for the first time a novel exosome-like extracellular vesicles preparation isolated from Phalaenopsis aphrodite (called Exorigin® OR) and characterize its physical and biological properties. The purified vesicles exhibited a spherical shape surrounded by a bilayered membrane with an average particle size of approximately 98 nm and expressed a CD9 marker. Fluorescent labeling with BODIPY TR indicated that Exorigin® OR can be internalized by cells. In in vitro assays, Exorigin® OR alleviated hydrogen peroxide-induced damage in keratinocytes and inhibited melanin production in melanocytes, possibly associated with the downregulation of Tyrp1 expression as shown by qPCR analysis. Moreover, reconstructed human epidermis and cornea-like epithelium models demonstrated that Exorigin® OR is non-irritant. Collectively, these findings suggest that Exorigin® OR represent a promising and safe bioactive ingredient for promoting skin health in cosmeceutical applications. Full article
(This article belongs to the Section Cosmetic Formulations)
Show Figures

Graphical abstract

27 pages, 1790 KB  
Review
Medicinal Honeys from Oceania: An Updated Review on Their Bioactive Constituents and Health Applications
by Maryna Lutsenko, Michela Ravelli and Gregorio Peron
BioTech 2026, 15(1), 5; https://doi.org/10.3390/biotech15010005 - 12 Jan 2026
Viewed by 44
Abstract
Medicinal honeys from Oceania have gained considerable attention due to their peculiar bioactive constituents and potential health applications. Apart from small molecules such as methylglyoxal and hydrogen peroxide, these honeys are rich in phenolic compounds, volatile terpenes, and other bioactive molecules, which collectively [...] Read more.
Medicinal honeys from Oceania have gained considerable attention due to their peculiar bioactive constituents and potential health applications. Apart from small molecules such as methylglyoxal and hydrogen peroxide, these honeys are rich in phenolic compounds, volatile terpenes, and other bioactive molecules, which collectively contribute to their antioxidant, antimicrobial, anti-inflammatory, and wound-healing properties. Recent studies have highlighted the distinctive composition of Oceania honeys such as Manuka (Leptospermum scoparium), Jarrah (Eucalyptus marginata), and Agastache (Agastache rugosa) from New Zealand and Australia, demonstrating variability in bioactivity depending on floral source, geographical origin, and processing methods. This review synthesizes the current knowledge on the chemical profiles of these honeys with a particular focus on bioactive compounds and distinctive markers, and evaluates their therapeutic potential. Emphasis is placed on the mechanisms underlying their bioactivities, as well as emerging clinical and preclinical evidence supporting their medicinal use. By consolidating recent findings, this work provides an updated perspective on the functional properties of Oceania honeys, underscoring their relevance as natural products with significant health-promoting potential. Full article
Show Figures

Figure 1

22 pages, 1963 KB  
Article
Juniperus communis L. Needle Extract Modulates Oxidative and Inflammatory Pathways in an Experimental Model of Acute Inflammation
by Dinu Bolunduț, Alina Elena Pârvu, Andra Diana Cecan, Anca Elena But, Florica Ranga, Marcel Pârvu, Iulia Ioana Morar and Ciprian Ovidiu Dalai
Molecules 2026, 31(2), 247; https://doi.org/10.3390/molecules31020247 - 11 Jan 2026
Viewed by 126
Abstract
Juniperus communis L. is a conifer widely used in traditional European medicine for the management of inflammatory disorders. However, its effects on oxidative stress and inflammation remain incompletely characterized. The present study investigated the antioxidant and anti-inflammatory potential of an ethanolic needle extract [...] Read more.
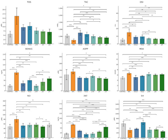
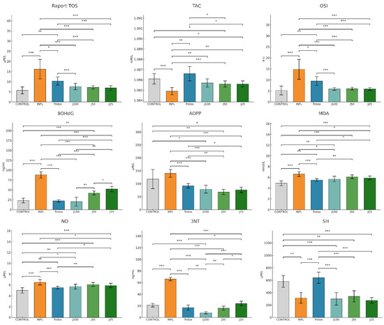
Juniperus communis L. is a conifer widely used in traditional European medicine for the management of inflammatory disorders. However, its effects on oxidative stress and inflammation remain incompletely characterized. The present study investigated the antioxidant and anti-inflammatory potential of an ethanolic needle extract of J. communis using in vitro assays and an in vivo model of acute inflammation induced by turpentine oil in rats. Phytochemical profiling by HPLC–DAD–ESI–MS revealed a polyphenol-rich extract dominated by flavonols, flavanols, and hydroxybenzoic acids, with quercetin derivatives and taxifolin as major constituents. In vitro analyses demonstrated radical-scavenging and reducing capacities, exceeding or comparable to reference antioxidants in DPPH, hydrogen peroxide, ferric-reducing, and nitric oxide scavenging assays. In vivo, both therapeutic and prophylactic administration of the extract significantly attenuated oxidative and nitrosative stress, as evidenced by reductions in total oxidant status, oxidative stress index, malondialdehyde, advanced oxidation protein products, nitric oxide, 3-nitrotyrosine, and 8-hydroxy-2′-deoxyguanosine, alongside restoration of total antioxidant capacity and thiol levels. These effects were concentration-dependent. Concomitantly, inflammatory signaling was suppressed, with decreased NF-κB activity and reduced levels of interleukin-1β and interleukin-18. These results support the use of these extracts, whose benefits have been observed in traditional medicine, providing scientific support for the anti-inflammatory and antioxidant capacity of J. communis extract. Full article
Show Figures

Figure 1

23 pages, 1668 KB  
Article
Evaluation of In Vitro Cytoprotective Activity, Antioxidant Activity and Proteomic Profiles of Novel Sorghum-Based Fermented Beverages
by David R. Katerere, Abel Navarré Dopazo, Raffaele Sessa, Silvia Trombetti, Michela Grosso and Luana Izzo
Beverages 2026, 12(1), 9; https://doi.org/10.3390/beverages12010009 - 8 Jan 2026
Viewed by 320
Abstract
Fermentation, one of the oldest food processing techniques, is known to play a pivotal role in improving the nutritional and functional characteristics of cereals, with positive implications for gut health and overall well-being. The present study aims to examine the phenolic acids, peptides, [...] Read more.
Fermentation, one of the oldest food processing techniques, is known to play a pivotal role in improving the nutritional and functional characteristics of cereals, with positive implications for gut health and overall well-being. The present study aims to examine the phenolic acids, peptides, and potential bioactive properties of 2 novel sorghum-based fermented beverages, Niselo and Delishe. A total of 48 phenolic compounds were identified through targeted and untargeted Ultra-High Performance Liquid Chromatography coupled with a Quadrupole Orbitrap High-Resolution Mass Spectrometer (UHPLC–Q-Orbitrap HRMS) analyses, revealing a higher content of phenolic acids in Niselo and a prevalence of flavonoids in Delishe. Niselo exhibited enhanced in vitro cytoprotective and reactive oxygen species (ROS)-scavenging activity and displayed a clear cytoprotective effect against hydrogen peroxide-induced oxidative stress in Caco-2 cells. Proteomic profiling using tryptic digestion revealed that Niselo has a substantial abundance of fragments of peptides matching several stress-related and antioxidant proteins, indicating a superior stress-response and/or defense capability. Overall, these findings highlight the functional potential of sorghum-based fermented beverages, supporting their role as health-promoting products. Full article
Show Figures

Figure 1

17 pages, 2988 KB  
Article
Citrus limon Peel Extract Modulates Redox Enzymes and Induces Cytotoxicity in Human Gastric Cancer Cells
by Rosarita Nasso, Rosario Rullo, Antonio D’Errico, Pierluigi Reveglia, Lucia Lecce, Annarita Poli, Paola Di Donato, Gaetano Corso, Emmanuele De Vendittis, Rosaria Arcone and Mariorosario Masullo
Int. J. Mol. Sci. 2026, 27(2), 598; https://doi.org/10.3390/ijms27020598 - 7 Jan 2026
Viewed by 119
Abstract
Gastric cancer remains a leading cause of cancer-related mortality worldwide. Citrus fruits are rich in polyphenols, exerting antioxidant and chemo-preventive activities, and lemon peel represents a valuable source of such bioactive compounds. Previous studies showed that Citrus limon peel extracts (LPE) inhibited the [...] Read more.
Gastric cancer remains a leading cause of cancer-related mortality worldwide. Citrus fruits are rich in polyphenols, exerting antioxidant and chemo-preventive activities, and lemon peel represents a valuable source of such bioactive compounds. Previous studies showed that Citrus limon peel extracts (LPE) inhibited the activity of some enzymes of the antioxidant system and reduced the interleukin-6-dependent invasiveness of gastric and colon cancer cells. In the present study, we have investigated the effects of LPE on the human gastric adenocarcinoma AGS and MKN-28 cells and on the activity of a crucial redox enzyme, catalase (CAT). Indeed, LPE significantly reduced the cell viability and clonogenic potential of the gastric cancer cells and induced morphological changes indicative of cytotoxicity. Moreover, LPE modulated the intracellular redox homeostasis by decreasing levels of the hydrogen peroxide-related reactive oxygen species (ROS) while increasing those of superoxide anions and decreasing levels of superoxide dismutases (SODs). Western blotting analysis revealed that LPE downregulated CAT, SOD-1, SOD-2, and monoamine oxidase A (MAO-A) protein expression level in both cell lines. Finally, the extract inhibited CAT activity in a dose-dependent manner (IC50 = 0.008 ± 0.003 mg/mL; Ki = 0.012 ± 0.002 mg/mL). These findings indicate that LPE exerts cytotoxic and redox-modulating effects through the inhibition of antioxidant enzymes and the alteration of ROS balance. Therefore, the agro-industrial by-product LPE could be considered as a promising natural source of polyphenolic compounds with potential applications in the prevention and therapy of gastric cancer. Full article
Show Figures

Figure 1

14 pages, 2480 KB  
Article
Biological Activities of the Extract and Hitorins A and B from Chloranthus quadrifolius in Human Adipose-Derived Mesenchymal Stem Cells
by Kento Kunihiro, Sang-Yong Kim, Katsura Sano and Mareshige Kojoma
Cosmetics 2026, 13(1), 9; https://doi.org/10.3390/cosmetics13010009 - 6 Jan 2026
Viewed by 206
Abstract
Adipose-derived mesenchymal stem cells (AD-MSCs) secrete various growth factors that activate skin cells. This study investigated the effects of crude extracts and isolated compounds, hitorin A and hitorin B, from Chloranthus quadrifolius on AD-MSCs. The crude extract and hitorins A and B obtained [...] Read more.
Adipose-derived mesenchymal stem cells (AD-MSCs) secrete various growth factors that activate skin cells. This study investigated the effects of crude extracts and isolated compounds, hitorin A and hitorin B, from Chloranthus quadrifolius on AD-MSCs. The crude extract and hitorins A and B obtained from C. quadrifolius promoted cell proliferation. Furthermore, they suppressed the accumulation of excessive lipid droplets and reduced the expression of peroxisome proliferator-activated receptor γ, CCAAT/enhancer-binding protein alpha, and adiponectin. The extract and hitorins A and B increased the expression of stemness marker genes, including SRY-box transcription factor 2, homeobox protein NANOG, and octamer-binding transcription factor 4. For anti-aging effects, the crude extract and hitorins A and B significantly inhibited senescence-associated-β-galactosidase activity and the gene expression of p16, p21, and p53 under hydrogen peroxide-induced oxidative stress. Additionally, they suppressed the production of intracellular reactive oxygen species and the gene expression of interleukin-6 and interleukin-8. These findings indicate that crude extracts and hitorins A and B derived from C. quadrifolius suppress excessive adipogenic differentiation, promote cell proliferation while enhancing stem cell characteristics, and reduce oxidative stress-induced cellular aging through antioxidant and anti-inflammatory activities. These results suggest that they are effective cosmetic ingredients for skin rejuvenation and anti-aging. Full article
(This article belongs to the Section Cosmetic Formulations)
Show Figures

Graphical abstract

46 pages, 1508 KB  
Review
Mapping Global Research Trends on Aflatoxin M1 in Dairy Products: An Integrative Review of Prevalence, Toxicology, and Control Approaches
by Marybel Abi Rizk, Lea Nehme, Selma P. Snini, Hussein F. Hassan, Florence Mathieu and Youssef El Rayess
Foods 2026, 15(1), 166; https://doi.org/10.3390/foods15010166 - 3 Jan 2026
Viewed by 296
Abstract
Aflatoxin M1 (AFM1), a hydroxylated metabolite of aflatoxin B1 (AFB1), is a potent hepatotoxic and carcinogenic compound frequently detected in milk and dairy products. Its thermal stability and resistance to processing make it a persistent public health [...] Read more.
Aflatoxin M1 (AFM1), a hydroxylated metabolite of aflatoxin B1 (AFB1), is a potent hepatotoxic and carcinogenic compound frequently detected in milk and dairy products. Its thermal stability and resistance to processing make it a persistent public health concern, especially in regions prone to fungal contamination of animal feed. This review integrates bibliometric mapping (2015–2025) with toxicological and mitigation perspectives to provide a comprehensive understanding of AFM1. The bibliometric analysis reveals a sharp global rise in research output over the last decade, with Iran, China, and Brazil emerging as leading contributors and Food Control identified as the most prolific journal. Five research clusters were distinguished: feed contamination pathways, analytical detection, toxicological risk, regulatory frameworks, and mitigation strategies. Toxicological evidence highlights AFM1’s mutagenic and hepatocarcinogenic effects, intensified by co-exposure to other mycotoxins or hepatitis B infection. Although regulatory limits range from 0.025 µg/kg in infant formula (EU) to 0.5 µg/kg in milk (FDA), non-compliance remains prevalent in developing regions. Current mitigation approaches—adsorbents (bentonite, zeolite), oxidation (ozone, hydrogen peroxide), and biological detoxification via lactic acid bacteria and yeasts—show promise but require optimization for industrial application. Persistent challenges include climatic variability, inadequate feed monitoring, and heterogeneous regulations. This review emphasizes the need for harmonized surveillance, improved analytical capacity, and sustainable intervention strategies to ensure dairy safety and protect consumer health. Full article
(This article belongs to the Section Food Toxicology)
Show Figures

Figure 1

33 pages, 1059 KB  
Article
Physiological and Agronomic Responses of Adult Citrus Trees to Oxyfertigation Under Semi-Arid Drip-Irrigated Conditions
by Juan M. Robles, Francisco Miguel Hernández-Ballester, Josefa M. Navarro, Elisa I. Morote, Pablo Botía and Juan G. Pérez-Pérez
Agriculture 2026, 16(1), 75; https://doi.org/10.3390/agriculture16010075 - 29 Dec 2025
Viewed by 254
Abstract
Oxyfertigation with hydrogen peroxide (H2O2) has been successfully applied in several crops and production systems, but its use in mature citrus orchards under no-tillage conditions and semi-arid Mediterranean environments remains scarcely studied. This study aimed to evaluate the physiological [...] Read more.
Oxyfertigation with hydrogen peroxide (H2O2) has been successfully applied in several crops and production systems, but its use in mature citrus orchards under no-tillage conditions and semi-arid Mediterranean environments remains scarcely studied. This study aimed to evaluate the physiological responses of adult citrus trees and the agronomic performance of a mature citrus orchard subjected to chemical oxyfertigation based on the application of H2O2 in irrigation water as an oxygen source for the root zone. The experiment was conducted over four consecutive seasons (2018–2021) on adult ‘Ortanique’ hybrid mandarin trees grown in an orchard located in Torre Pacheco (Murcia, Spain). Two treatments were established: a ‘Control’ (0 mg L−1 of H2O2) and an ‘OXY’ treatment (50–100 mg L−1 of H2O2 applied throughout the growing season). Oxyfertigation significantly increased the dissolved oxygen in irrigation water and soil oxygen diffusion rate, with treatment and treatment × time effects showing greater oxygenation under conditions favoring transient root-zone hypoxia. Soil CO2 and H2O vapor fluxes exhibited marked seasonal dynamics but no consistent treatment effect, and soil salinity and macro- and micronutrient contents were not significantly altered. At the plant level, oxyfertigation episodically enhanced leaf gas exchange and transiently improved the water status, but did not produce a sustained increase in leaf-level water use efficiency. In contrast, OXY trees showed greater pruning biomass, more fruits (+18%), higher cumulative yield (+13%), and significantly higher crop water use efficiency (YWUE) while the mean fruit weight and most quality attributes were governed by interannual climatic variability. In summary, oxyfertigation acted as a complementary and safe agronomic practice that improved rhizosphere oxygenation and supported modest gains in fruit load and YWUE in mature citrus orchards. Full article
(This article belongs to the Section Agricultural Systems and Management)
Show Figures

Figure 1

14 pages, 2279 KB  
Article
Engineering a CRISPR-Mediated Dual Signal Amplification-Based Biosensor for miRNA Determination
by Zhixian Liang, Jie Zhang and Shaohui Zhang
Biosensors 2026, 16(1), 17; https://doi.org/10.3390/bios16010017 - 24 Dec 2025
Viewed by 353
Abstract
MicroRNAs, pivotal regulators of gene expression and physiology, serve as reliable biomarkers for early cancer diagnosis and therapy. As one of the earliest discovered miRNAs in the human genome, miRNA-21 provides critical information for early cancer diagnosis, drug therapy, and prognosis. In this [...] Read more.
MicroRNAs, pivotal regulators of gene expression and physiology, serve as reliable biomarkers for early cancer diagnosis and therapy. As one of the earliest discovered miRNAs in the human genome, miRNA-21 provides critical information for early cancer diagnosis, drug therapy, and prognosis. In this work, we harness CRISPR as a bridge to integrate target-induced self-priming hairpin isothermal amplification (SIAM) with terminal transferase (TdT) polymerization labeling, constructing a facile, straightforward electrochemical biosensor for sensitive miRNA-21 detection. Unlike conventional single-strand template-based exponential amplification (EXPAR), the SIAM hairpin undergoes target triggered intramolecular conformational change, initiating extension and strand displacement reactions that suppress nonspecific dimer formation and lower background current. Notably, the assay requires only a single probe, enabling unidirectional signal amplification while nonspecific reactions caused by system complexity. The generated SIAM products activate the Cas12a/crRNA complex to trans-cleave PO43− modified single-stranded DNAs (ssDNAs); the resulting 3′ hydroxyl ssDNAs are subsequently labeled by TdT, with the assistance of SA-HRP catalyzing hydrogen peroxide, achieving robust signal amplification. Under optimized conditions, the cathodic current exhibits a logarithmic relationship with miRNA concentrations from 20 fM to 5.0 × 108 fM, with a detection limit of 9.2 fM. The biosensor successfully quantified miRNA-21 in commercial serum samples and biological lysates, demonstrating its potential for cancer diagnostics and therapy. Full article
(This article belongs to the Special Issue CRISPR/Cas System-Based Biosensors)
Show Figures

Graphical abstract

20 pages, 5133 KB  
Article
Bioactive Peptide C248 of PRDX4 Ameliorates the Function of Testicular Leydig Cells via Mitochondrial Protection
by Nini Wei, Shuning Yuan, Li Gao, Bei Zhang, Zhengjie Yan, Chao Gao, Yan Meng and Yugui Cui
Antioxidants 2026, 15(1), 21; https://doi.org/10.3390/antiox15010021 - 22 Dec 2025
Viewed by 484
Abstract
Background: The senescence of testicular Leydig cells (LCs) is a key cause of age-related testosterone deficiency, in which oxidative stress (OS) and mitochondrial dysfunction are critical driving mechanisms. We explore whether the bioactive peptide C248 of PRDX4, an intracellular antioxidant, exerts mitochondrial protection [...] Read more.
Background: The senescence of testicular Leydig cells (LCs) is a key cause of age-related testosterone deficiency, in which oxidative stress (OS) and mitochondrial dysfunction are critical driving mechanisms. We explore whether the bioactive peptide C248 of PRDX4, an intracellular antioxidant, exerts mitochondrial protection to ameliorate LCs’ function. Methods: Based on the antioxidant domains of the PRDX4 protein, small molecular peptides were designed, and bioactive peptide C248 stood out from the crowd. An OS-induced senescence model of LCs was constructed by treating the MLTC-1 cell line with hydrogen peroxide (H2O2). C248 peptide or nicotinamide mononucleotide (NMN), as the positive control, was administered in the culture medium. The cellular function-related indicators, including DPPH free radical scavenging rate, cell viability, testosterone level, hydrogen peroxide (H2O2) content, senescence-associated β-galactosidase (SA-β-gal) activity, 8-hydroxy-2′-deoxyguanosine (8-OHDG) level, and 4-hydroxynonenal (4-HNE) level, were evaluated. The mitochondrial function and structural indicators, such as mitochondrial membrane potential, ATP production, mitochondrial morphology, and mitochondrial DNA (mtDNA) copy number, were subsequently tested. Results: In vitro experiments confirmed that C248 could scavenge DPPH free radicals in a dose-dependent manner, reduce the levels of reactive oxygen species, and increase antioxidant enzyme activity in LCs (p < 0.01). Both C248 and NMN increased testosterone secretion and improved cell viability (p < 0.01). Both C248 and NMN increased mitochondrial morphology and quantity, mitochondrial membrane potential (p < 0.01), ATP production (p < 0.01), and mitochondrial DNA (mtDNA) copy number (p < 0.01). Conclusion: This study reveals that the small molecular C248, a bioactive peptide of PRDX4, is a new candidate molecule for intervening in LC senescence and confirms that mitochondrial protection is a key strategy for improving age-related testicular dysfunction. Full article
(This article belongs to the Section Health Outcomes of Antioxidants and Oxidative Stress)
Show Figures

Figure 1

20 pages, 827 KB  
Article
Exploring the Antibacterial, Anti-Inflammatory, and Antioxidant Properties of the Natural Food Supplement “Protegol” as a Supportive Strategy in Respiratory Tract Infections
by Alexia Barbarossa, Maria Pia Argentieri, Maria Valeria Diella, Eleonora Spinozzi, Filippo Maggi, Antonio Carrieri, Filomena Corbo, Antonio Rosato and Alessia Carocci
Antibiotics 2025, 14(12), 1260; https://doi.org/10.3390/antibiotics14121260 - 13 Dec 2025
Viewed by 882
Abstract
Background/Objectives: Respiratory tract infections (RTIs) remain a leading cause of morbidity worldwide and are frequently associated with the emergence of multidrug-resistant pathogens. In this context, natural compounds represent a valuable source of novel antimicrobial and immunomodulatory agents. The present study aimed to [...] Read more.
Background/Objectives: Respiratory tract infections (RTIs) remain a leading cause of morbidity worldwide and are frequently associated with the emergence of multidrug-resistant pathogens. In this context, natural compounds represent a valuable source of novel antimicrobial and immunomodulatory agents. The present study aimed to evaluate the antibacterial, anti-inflammatory, and antioxidant activities of Protegol, a natural food supplement enriched in bioactive phytochemicals including hydroalcoholic extracts of propolis and hedge mustard (Sisymbrium officinale (L.) Scop.) aerial parts, together with honey, against clinically relevant bacterial strains and in cellular models of inflammation and oxidative stress. Furthermore, the ability of the multi-herbal formulation to alter the permeability of the bacterial cell wall was assessed. Methods: The antibacterial properties of Protegol were evaluated by determining its minimum inhibitory (MIC) and minimum bactericidal concentrations (MBC) against a panel of Gram-positive and Gram-negative bacteria, using the broth microdilution method. Cell wall permeability was investigated through the propidium iodide (PI) uptake assay. The anti-inflammatory potential was investigated in LPS-stimulated RAW 264.7 macrophages by measuring nitric oxide (NO) production with the Griess assay. The antioxidant activity was evaluated in BALB/3T3 fibroblasts exposed to hydrogen peroxide, using the DCFH-DA assay. Results: Protegol exhibited a broad-spectrum antibacterial effect, with MIC values ranging from 1.5 to 6.2 mg/mL and MBC values between 3.1 and 12.4 mg/mL. The strongest activity was observed against Staphylococcus aureus and Streptococcus pyogenes, including clinical isolates, while moderate efficacy was detected against resistant Klebsiella pneumoniae strains. PI uptake assays confirmed a dose-dependent disruption of bacterial membrane integrity, supporting a direct effect of Protegol on cell wall permeability. In macrophages, Protegol significantly and dose-dependently reduced NO release, lowering production to 44% at the highest concentration tested. In BALB/3T3 cells, Protegol markedly decreased ROS accumulation to 24% at the same concentration. Conclusions: Overall, the findings support the potential of Protegol as a natural adjuvant to the conventional therapies for respiratory tract health by counteracting bacterial pathogens, reducing inflammation, and mitigating oxidative stress, thereby supporting host defense mechanisms in the context of respiratory tract infections. Full article
Show Figures

Figure 1

16 pages, 2908 KB  
Article
Mitigation of Oxidative Damage Caused by Salinity in the Halophyte Crithmum maritimum L. via Biostimulant-Enhanced Antioxidant Activity
by Anastasia Evripidis Giannakoula, Michalis K. Stefanakis, Charikleia Papaioannou, Stavroula Tsimpliaraki, Sofia Kaftantzi, Alexandra Niniraki and Athanasios Gertsis
Plants 2025, 14(24), 3788; https://doi.org/10.3390/plants14243788 - 12 Dec 2025
Viewed by 386
Abstract
The xerophyte medicinal species Crithmum maritimum was investigated for its physiological and antioxidant responses under increasing salinity stress and foliar biostimulant application. At moderate salinity (10 dS/m sodium chloride NaCl), plant growth and photosynthetic activity were enhanced, whereas high salinity (20 dS/m) led [...] Read more.
The xerophyte medicinal species Crithmum maritimum was investigated for its physiological and antioxidant responses under increasing salinity stress and foliar biostimulant application. At moderate salinity (10 dS/m sodium chloride NaCl), plant growth and photosynthetic activity were enhanced, whereas high salinity (20 dS/m) led to significant reductions in biomass, photosynthetic efficiency, and water use efficiency. Salinity-induced oxidative stress was confirmed by elevated levels of malondialdehyde (MDA) and hydrogen peroxide (H2O2), in upper plant tissues. Foliar application of two bioactive compounds—Aquamin and Cultisano—partially mitigated the detrimental effects of high salinity. Treated plants maintained higher photosynthetic parameters and exhibited improved antioxidant profile compared to untreated controls. Furthermore, GC–MS analysis of essential oils revealed that salinity altered the composition of key volatile components, notably increasing γ-terpinene and reducing p-cymene content. Biostimulant treatments counteracted these changes, enhancing terpene components such as p-cymene, and thymol-methyl-ether. Overall, the findings highlight the potential of biostimulants to enhance both salt tolerance as well as the phytochemical value of C. maritimum, suggesting promising applications in sustainable agriculture and high-value plant product development under saline conditions. It was concluded that the type of biostimulant significantly influenced the physiological and quality characteristics of sea fennel plants. Further study on this topic is proposed, aiming at the improvement of antioxidant activity, which is beneficial to human health. Full article
Show Figures

Figure 1

15 pages, 3027 KB  
Article
Synergistic Interaction Between VyMYB24 from Chinese Wild Grape Vitis yeshanensis and Cytokinin Enhances Cold Tolerance in Transgenic Tobacco
by Kaiwei Li, Yihai Lu, Jiaxin Li, Yongmu Li, Ling Wang, Ziguo Zhu, Xiucai Fan and Guirong Li
Plants 2025, 14(24), 3777; https://doi.org/10.3390/plants14243777 - 11 Dec 2025
Viewed by 330
Abstract
Low temperatures severely restrict plant growth and agricultural productivity, and exploring cold tolerance mechanisms is critical. This study investigated the combined effects of grape-derived transcription factor gene VyMYB24 and the synthetic cytokinin CPPU on cold tolerance in transgenic tobacco. Under low-temperature stress, tobacco [...] Read more.
Low temperatures severely restrict plant growth and agricultural productivity, and exploring cold tolerance mechanisms is critical. This study investigated the combined effects of grape-derived transcription factor gene VyMYB24 and the synthetic cytokinin CPPU on cold tolerance in transgenic tobacco. Under low-temperature stress, tobacco plants overexpressing VyMYB24 and treated with CPPU exhibited significantly alleviated wilting, higher chlorophyll contents, and an improved net photosynthetic rate compared to controls. These plants also showed a lower relative conductivity and malondialdehyde (MDA) content, higher proline accumulation, and elevated activities of superoxide dismutase (SOD), peroxidase (POD), and catalase (CAT), accompanied by reduced reactive oxygen species (ROS), hydrogen peroxide (H2O2), and superoxide anions (O2·-). The results confirm that VyMYB24 and CPPU synergistically improve cold tolerance via membrane stabilization, enhanced antioxidant defense, and maintained photosynthetic capacity, providing a theoretical foundation for the rational application of CPPU in the cultivation and management of grapes under low-temperature conditions. Full article
(This article belongs to the Section Plant Response to Abiotic Stress and Climate Change)
Show Figures

Figure 1

15 pages, 1145 KB  
Article
ABCA1 Transporter Is Involved in the Secretion of CuZn Superoxide Dismutase (SOD)-1 by Activated Human T Lymphocytes
by Flavia Carriero, Giuliana La Rosa, Luca Pipicelli, Mariarosaria Cammarota, Anna Palmiero, Giovanna Vitolo, Simona Damiano, Mariarosaria Santillo, Francesca Boscia, Giuseppe Terrazzano, Giuseppina Ruggiero, Paolo Mondola and Valentina Rubino
Antioxidants 2025, 14(12), 1487; https://doi.org/10.3390/antiox14121487 - 11 Dec 2025
Viewed by 400
Abstract
The pivotal role of reactive oxygen species (ROS), especially peroxides, in multiple cell signalling pathways has been well-established. Superoxide dismutase 1 (SOD-1) represents a major intracellular source of hydrogen peroxide. Antigen-dependent activation of human T lymphocytes has been previously described by us to [...] Read more.
The pivotal role of reactive oxygen species (ROS), especially peroxides, in multiple cell signalling pathways has been well-established. Superoxide dismutase 1 (SOD-1) represents a major intracellular source of hydrogen peroxide. Antigen-dependent activation of human T lymphocytes has been previously described by us to induce both SOD-1 production and secretion by T cells. SOD-1 mediated pathways have also been described to deliver proinflammatory signals and to affect the differentiation of immune-suppressor subsets (Treg). The mechanisms underlying extracellular SOD-1 export by activated T cells remain largely undefined. Indeed, SOD-1, like the leaderless proteins, is unable to exploit the conventional trans-Golgi vesicular secretion pathway. Here, we propose that ABCA1 transporters play a role in the mechanisms underlying SOD-1 secretion by activated T cells. Indeed, ABC transporter inhibition by using glyburide significantly decreases SOD-1 secretion by antigen-triggered human T cells in vitro. The effect has been confirmed by using four different detection techniques, as represented by Western blotting, ELISA, flow cytometry and confocal microscopy. Collectively, our findings indicate that ABCA1 transporter-dependent secretion supports the vesicular secretory machinery and might contribute to the extracellular release of SOD-1 by activated T cells. This mechanism highlights ABCA1 as a promising molecular target for therapeutic modulation of deranged immune activation. Full article
Show Figures

Figure 1

Back to TopTop