Mitigation of Oxidative Damage Caused by Salinity in the Halophyte Crithmum maritimum L. via Biostimulant-Enhanced Antioxidant Activity
Abstract
1. Introduction
2. Results
2.1. CO2 Assimilation Rate
2.2. CO2 Transpiration Rate
2.3. GC–MS Volatile Composition
2.4. Oxidative Stress-Related VOC Analysis
2.5. PCA of Volatile Profiles
2.6. Malondialdehyde (MDA)
2.7. Total Phenolic Content (TPC)
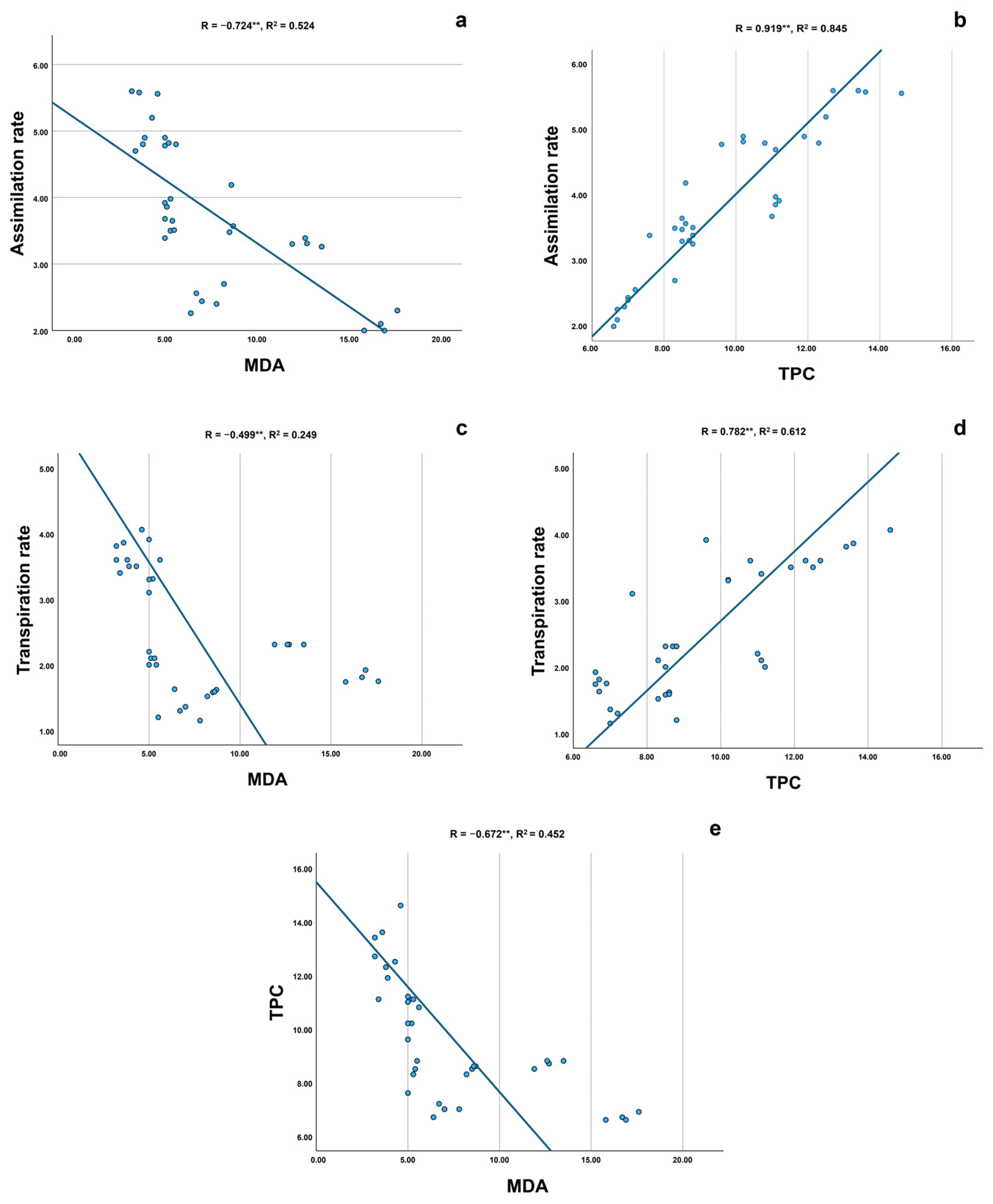
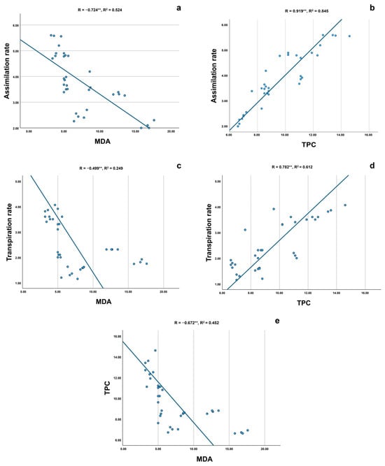
2.8. Correlation Analysis
3. Discussion
4. Materials and Methods
4.1. Plant Material and Experimental Design
- 1 dS/m (control salinity);
- 10 dS/m (moderate salinity);
- 20 dS/m (high salinity).
- Control (no biostimulant);
- Foliar application of Aquamin;
- Foliar application of Cultisano.
4.2. Leaf Gas Exchange Measurements
4.3. Total Polyphenol Content (TPC)
4.4. GC–MS Analysis of Volatile Oils
Identification and Quantification of Volatile Components
4.5. Determination of H2O2 Concentration
4.6. Malondialdehyde (MDA) Concentration
4.7. Statistical Analysis
5. Conclusions
Supplementary Materials
Author Contributions
Funding
Data Availability Statement
Conflicts of Interest
References
- Castillo, J.; Mancilla-Leyton, J.M.; Martins-Noguerol, R.; Moreira, X.; Moreno-Perez, A.J.; Munoz-Valles, S.; Pedroche, J.J.; Figueroa, M.E.; García-González, A.; Salas, J.J.; et al. Interactive effects between salinity and nutrient deficiency on biomass production and bio-active compounds accumulation in the halophyte Crithmum maritimum. Sci. Hortic. 2022, 301, 111136. [Google Scholar] [CrossRef]
- Davazdahemami, S.; Allahdadi, M. Essential oil yield and composition of four annual plants (ajowan, dill, moldavian balm and black cumin) under saline irrigation. Food Ther. Health Care 2022, 4, 5. [Google Scholar] [CrossRef]
- Nazari, J.; Tabatabaie, S.J. Influence of Nutrient Concentrations and NaCl Salinity on the Growth, Photosynthesis, and Essential Oil Content of Peppermint and Lemon Verbena. Turk. J. Agric. For. 2007, 31, 245–253. Available online: https://journals.tubitak.gov.tr/agriculture/vol31/iss4/4/ (accessed on 20 January 2022).
- Atia, A.; Barhoumi, Z.; Mokded, R.; Abdelly, C.; Smaoui, A. Environmental eco-physiology and economical potential of the halophyte Crithmum maritimum L. (Apiaceae). J. Med. Plants Res. 2011, 16, 3564–3571. [Google Scholar]
- Pereira, C.; Barreira, L.; Neng, N.; Nogueira, J.; Marques, C.; Santos, T.; Varela, J.; Custodio, L. Searching for new sources of innovative products for the food industry within halophyte aromatic plants: In vitro antioxidant activity and phenolic and mineral contents of infusions and decoctions of Crithmum maritimum L. Food Chem. Toxicol. 2017, 107, 581–589. [Google Scholar] [CrossRef]
- Chatzimitakos, T.; Athanasiadis, V.; Makrygiannis, I.; Kalompatsios, D.; Bozinou, E.; Lalas, S.I. An Investigation into Crithmum maritimum L. Leaves as a Source of Antioxidant Polyphenols. Compounds 2023, 3, 532–551. [Google Scholar] [CrossRef]
- Kraouia, M.; Nartea, A.; Maoloni, A.; Osimani, A.; Garofalo, C.; Fanesi, B.; Ismaiel, L.; Aquilanti, L.; Pacetti, D. Sea Fennel (Crithmum maritimum L.) as an Emerging Crop for the Manufacturing of Innovative Foods and Nutraceuticals. Molecules 2023, 28, 4741. [Google Scholar] [CrossRef]
- Sahoo, S.; Singha, C.; Govind, A.; Moghimi, A. Review of climate-resilient agriculture for ensuring food security: Sustainability opportunities and challenges of India. Environ. Sustain. Indic. 2025, 25, 100544. [Google Scholar] [CrossRef]
- Jallali, I.; Zaouali, Y.; Missaoui, I.; Smeoui, A.; Abdelly, C.; Ksouri, R. Variability of antioxidant and antibacterial effects of essential oils and acetonic extracts of two edible halophytes: Crithmum maritimum L. and Inula crithmoїdes L. Food Chem. 2014, 145, 1031–1038. [Google Scholar] [CrossRef]
- Mekinic, I.G.; Šimat, V.; Ljubenkov, I.; Burčul, F.; Grga, M.; Mihajlovski, M.; Lončar, R.; Katalinic, V.; Skroza, D. Influence of the vegetation period on sea fennel, Crithmum maritimum L. (Apiaceae), phenolic composition, antioxidant and anticholinesterase activities. Ind. Crops Prod. 2018, 124, 947–953. [Google Scholar] [CrossRef]
- Meot-Duros, L.; Magné, C. Antioxidant activity and phenol content of Crithmum maritimum L. leaves. Plant Physiol. Biochem. 2009, 47, 37–41. [Google Scholar] [CrossRef] [PubMed]
- Correia, I.; Antunes, M.; Tecelão, C.; Neves, M.; Pires, C.L.; Cruz, P.F.; Rodrigues, M.; Peralta, C.C.; Pereira, C.D.; Reboredo, F.; et al. Nutritive Value and Bioactivities of a Halophyte Edible Plant: Crithmum maritimum L. (Sea Fennel). Plants 2024, 13, 427. [Google Scholar] [CrossRef] [PubMed]
- Ben Hamed, K.; Castagna, A.; Salem, E.; Ranieri, A.; Abdelly, C. Sea fennel (Crithmum maritimum L.) under salinity conditions: A comparison of leaf and root antioxidant responses. Plant Growth Regul. 2007, 53, 185–194. [Google Scholar] [CrossRef]
- Hamdani, F.; Derridj, A.; Roger, H.J. Diverse salinity responses in Crithmum maritimum tissues at different salinities over time. J. Soil Sci. Plant Nutr. 2017, 17, 716–734. [Google Scholar] [CrossRef]
- Popović, M.; Radman, S.; Generalić Mekinić, I.; Ninčević RunjIć, T.; Urlić, B.; Veršić Bratinčević, M. A Year in the Life of Sea Fennel: Annual Phytochemical Variations of Major Bioactive Secondary Metabolites. Appl. Sci. 2024, 14, 3440. [Google Scholar] [CrossRef]
- Ntanasi, T.; Karavidas, I.; Spyrou, G.P.; Giannothanasis, E.; Aliferis, K.A.; Saitanis, C.; Fotopoulos, V.; Sabatino, L.; Savvas, D.; Ntatsi, G. Plant Biostimulants Enhance Tomato Resilience to Salinity Stress: Insights from Two Greek Landraces. Plants 2024, 13, 1404. [Google Scholar] [CrossRef]
- Kadoglidou, K.I.; Anthimidou, E.; Krommydas, K.; Papa, E.; Karapatzak, E.; Tsivelika, N.; Irakli, M.; Mellidou, I.; Xanthopoulou, A.; Kalivas, A. Effect of Biostimulants on Drought Tolerance of Greenhouse-Grown Tomato. Horticulturae 2025, 11, 601. [Google Scholar] [CrossRef]
- Di Sario, L.; Boeri, P.; Matus, J.T.; Pizzio, G.A. Plant Biostimulants to Enhance Abiotic Stress Resilience in Crops. Int. J. Mol. Sci. 2025, 26, 1129. [Google Scholar] [CrossRef]
- Chatzistathis, T.; Sarropoulou, V.; Papaioannou, E.; Giannakoula, A. Inorganic and Organic Fertilization Effects on the Growth, Nutrient Uptake, Chlorophyll Fluorescence and Fruit Quality in Solanum melongena L. Plants. Agronomy 2025, 15, 872. [Google Scholar] [CrossRef]
- Win, P.P.; Park, H.-H.; Kuk, Y.-I. Integrated Approach of Using Biostimulants for Improving Growth, Physiological Traits, and Tolerance to Abiotic Stressors in Rice and Soybean. Agronomy 2025, 15, 2265. [Google Scholar] [CrossRef]
- Hamed, K.; Debez, A.; Chibani, F.; Abdelly, C. Salt response of Crithmum maritimum, an oleagineous halophyte. Trop. Ecol. 2004, 45, 151–159. [Google Scholar]
- Di Mola, I.; Ottaiano, L.; Cozzolino, E.; El-Nakhel, C.; Fiorentino, N.; Pelosi, M.E.; Rouphael, Y.; Mori, M. Impact of Salinity and Biostimulants on Cherry Tomato Yield and Quality. Horticulturae 2024, 10, 1239. [Google Scholar] [CrossRef]
- Gedeon, S.; Ioannou, A.; Balestrini, R.; Fotopoulos, V.; Antoniou, C. Application of Biostimulants in Tomato Plants (Solanum lycopersicum) to Enhance Plant Growth and Salt Stress Tolerance. Plants 2022, 11, 3082. [Google Scholar] [CrossRef] [PubMed]
- Pedreiro, S.; Figueirinha, A.; Cavaleiro, C.; Cardoso, O.; Donato, M.M.; Salgueiro, L.; Ramos, F. Exploiting the Crithmum maritimum L. Aqueous Extracts and Essential Oil as Potential Preservatives in Food, Feed, Pharmaceutical and Cosmetic Industries. Antioxidants 2023, 12, 252. [Google Scholar] [CrossRef]
- Siracusa, L.; Kulisic-Bilusic, T.; Politeo, O.; Krause, I.; Dejanovic, B.; Ruberto, G. Phenolic composition and antioxidant activity of aqueous infusions from Capparis spinosa L. and Crithmum maritimum L. before and after submission to a two-step in vitro digestion model. J. Agric. Food Chem. 2011, 59, 12453–12459. [Google Scholar] [CrossRef]
- Zafeiropoulou, V.; Tomou, E.-M.; Ioannidou, O.; Karioti, A.; Skaltsa, H. Sea fennel: Phytochemical analysis of Greek wild and cultivated Crithmum maritimum L. populations, based on HPLC-PDA-MS and NMR methods. J. Pharmacogn. Phytochem. 2020, 9, 998–1004. [Google Scholar]
- Dzhoglova, V.; Ivanova, S.; Shishmanova-Doseva, M.; Saracheva, K. Crithmum maritimum L.: Phytochemical Profile, Bio logical Activities, and Therapeutic Potential. Molecules 2025, 30, 2832. [Google Scholar] [CrossRef]
- Hancioglu, N.E.; Kurunc, A.; Tontul, I.; Topuz, A. Irrigation water salinity effects on oregano (Origanum onites L.) water use, yield and quality parameters. Sci. Hortic. 2019, 247, 327–334. [Google Scholar] [CrossRef]
- Porrello, A.; Vaglica, A.; Savoca, D.; Bruno, M.; Sottile, F. Variability in Crithmum maritimum L. Essential Oils’ Chemical Composition: PCA Analysis, Food Safety, and Sustainability. Sustainability 2024, 16, 2541. [Google Scholar] [CrossRef]
- Alves-Silva, J.M.; Guerra, I.; Gonçalves, M.J.; Cavaleiro, C.; Cruz, M.T.; Figueirinha, A.; Salgueiro, L. Chemical composition of Crithmum maritimum L. essential oil and hydrodistillation residual water by GC-MS and HPLC-DAD-MS/MS, and their biological activities. Ind. Crop. Prod. 2020, 149, 112329. [Google Scholar] [CrossRef]
- Baser, K.H.C.; Özek, T.; Demirci, B.; Saritas, Y. Essential Oil of Crithmum maritimum L. from Turkey. J. Essent. Oil Res. 2000, 12, 424–426. [Google Scholar] [CrossRef]
- Marongiu, B.; Maxia, A.; Piras, A.; Porcedda, S.; Tuveri, E.; Gonçalves, M.J.; Cavaleiro, C.; Salgueiro, L. Isolation of Crithmum maritimum L. Volatile Oil by Supercritical Carbon Dioxide Extraction and Biological Assays. Nat. Prod. Res. 2007, 21, 1145–1150. [Google Scholar] [CrossRef] [PubMed]
- Mustapha, M.B.; Zardi-Bergaoui, A.; Chaieb, I.; Flamini, G.; Ascrizzi, R.; Jannet, H.B. Chemical Composition and Insecticidal Activity of Crithmum maritimum L. Essential Oil against Stored-Product Beetle Tribolium castaneum. Chem. Biodivers. 2020, 17, e1900552. [Google Scholar] [CrossRef] [PubMed]
- Cunsolo, F.; Ruberto, G.; Amico, V.; Piattelli, M. Bioactive metabolites from Sicilian marine fennel, Crithmum maritimum. J. Nat. Prod. 1993, 56, 1598–1600. [Google Scholar] [CrossRef] [PubMed]
- Lakhdar, A.; Trigui, M.; Montemurro, F. An Overview of Biostimulants’ Effects in Saline Soils. Agronomy 2023, 13, 2092. [Google Scholar] [CrossRef]
- Franzoni, G.; Cocetta, G.; Prinsi, B.; Ferrante, A.; Espen, L. Biostimulants on Crops: Their Impact under Abiotic Stress Conditions. Horticulturae 2022, 8, 189. [Google Scholar] [CrossRef]
- Khan, W.; Rayirath, U.P.; Subramanian, S.; Jithesh, M.N.; Rayorath, P.; Hodges, D.M.; Critchley, A.T.; Craigie, J.S.; Norrie, J.; Prithiviraj, B. Seaweed Extracts as Biostimulants of Plant Growth and Development. J. Plant Growth Regul. 2009, 28, 386–399. [Google Scholar] [CrossRef]
- Van Oosten, M.J.; Pepe, O.; De Pascale, S.; Silletti, S.; Maggio, A. The Role of Biostimulants and Bioeffectors as Alleviators of Abiotic Stress in Crop Plants. Chem. Biol. Technol. Agric. 2017, 4, 5. [Google Scholar] [CrossRef]
- Giannakoula, A.; Ouzounidou, G.; Stefanou, S.; Daskas, G.; Dichala, O. Effects of Biostimulants on the Eco-Physiological, traits and Fruit Quality of Black Chokeberry (Aronia melanocarpa L.). Plants 2024, 13, 3014. [Google Scholar] [CrossRef]
- Von Caemmerer, S.; Farquhar, G.D. Some relationships between the biochemistry of photosynthesis and the gas exchange of leaves. Planta 1981, 153, 376–387. [Google Scholar] [CrossRef]
- Karastergiou, A.; Gancel, A.-L.; Jourdes, M.; Teissedre, P.-L. Transforming winemaking waste: Grape pomace as a sustainable source of bioactive compounds. OENO One 2025, 59. [Google Scholar] [CrossRef]
- National Institute of Standards and Technology (NIST). 2017. Available online: http://webbook.nist.gov/chemistry/name-ser.html (accessed on 21 December 2021).
- Adams, R.P. Identification of Essential Oil Components by Gas Chromatography/Mass Spectrometry, 4th ed.; Allured Publishing Corp.: Carol Stream, IL, USA, 2007. [Google Scholar]
- Van den Dool, H.; Kratz, P.D. A generalization of the retention index system including linear temperature programmed as-liquid partition chromatography. J. Chromatogr. A 1963, 11, 463–471. [Google Scholar] [CrossRef]
- Giannakoula, A.; Therios, I.; Chatzissavvidis, C. Effect of Lead and Copper on Photosynthetic Apparatus in Citrus (Citrus aurantium L.) Plants. The Role of Antioxidants in Oxidative Damage as a Response to Heavy Metal Stress. Plants 2021, 10, 155. [Google Scholar] [CrossRef]
- Heath, R.L.; Packer, L. Photoperoxidation in isolated chloroplasts. I. Kinetics and stoichiometry of fatty acid peroxidation. Arch. Biochem. Biophys. 1968, 125, 189–198. [Google Scholar] [CrossRef]
- Metsalu, T.; Vilo, J. ClustVis: A web tool for visualizing clustering of multivariate data using Principal Component Analysis and heatmap. Nucleic Acids Res. 2015, 43, W566–W570. [Google Scholar] [CrossRef]









Disclaimer/Publisher’s Note: The statements, opinions and data contained in all publications are solely those of the individual author(s) and contributor(s) and not of MDPI and/or the editor(s). MDPI and/or the editor(s) disclaim responsibility for any injury to people or property resulting from any ideas, methods, instructions or products referred to in the content. |
© 2025 by the authors. Licensee MDPI, Basel, Switzerland. This article is an open access article distributed under the terms and conditions of the Creative Commons Attribution (CC BY) license (https://creativecommons.org/licenses/by/4.0/).
Share and Cite
Giannakoula, A.E.; Stefanakis, M.K.; Papaioannou, C.; Tsimpliaraki, S.; Kaftantzi, S.; Niniraki, A.; Gertsis, A. Mitigation of Oxidative Damage Caused by Salinity in the Halophyte Crithmum maritimum L. via Biostimulant-Enhanced Antioxidant Activity. Plants 2025, 14, 3788. https://doi.org/10.3390/plants14243788
Giannakoula AE, Stefanakis MK, Papaioannou C, Tsimpliaraki S, Kaftantzi S, Niniraki A, Gertsis A. Mitigation of Oxidative Damage Caused by Salinity in the Halophyte Crithmum maritimum L. via Biostimulant-Enhanced Antioxidant Activity. Plants. 2025; 14(24):3788. https://doi.org/10.3390/plants14243788
Chicago/Turabian StyleGiannakoula, Anastasia Evripidis, Michalis K. Stefanakis, Charikleia Papaioannou, Stavroula Tsimpliaraki, Sofia Kaftantzi, Alexandra Niniraki, and Athanasios Gertsis. 2025. "Mitigation of Oxidative Damage Caused by Salinity in the Halophyte Crithmum maritimum L. via Biostimulant-Enhanced Antioxidant Activity" Plants 14, no. 24: 3788. https://doi.org/10.3390/plants14243788
APA StyleGiannakoula, A. E., Stefanakis, M. K., Papaioannou, C., Tsimpliaraki, S., Kaftantzi, S., Niniraki, A., & Gertsis, A. (2025). Mitigation of Oxidative Damage Caused by Salinity in the Halophyte Crithmum maritimum L. via Biostimulant-Enhanced Antioxidant Activity. Plants, 14(24), 3788. https://doi.org/10.3390/plants14243788

