Sign in to use this feature.

Years

Between: -

Subjects

remove_circle_outline
remove_circle_outline
remove_circle_outline
remove_circle_outline
remove_circle_outline
remove_circle_outline
remove_circle_outline
remove_circle_outline
remove_circle_outline

Journals

remove_circle_outline
remove_circle_outline
remove_circle_outline
remove_circle_outline
remove_circle_outline
remove_circle_outline
remove_circle_outline
remove_circle_outline
remove_circle_outline
remove_circle_outline

Article Types

Countries / Regions

remove_circle_outline
remove_circle_outline
remove_circle_outline
remove_circle_outline
remove_circle_outline
remove_circle_outline
remove_circle_outline
remove_circle_outline

Search Results (946)

Search Parameters:
Keywords = hydro generator

Order results
Result details
Results per page
Select all
Export citation of selected articles as:
34 pages, 24391 KB  
Article
Multi-Objective Sizing of a Run-of-River Hydro–PV–Battery–Diesel Microgrid Under Seasonal River-Flow Variability Using MOPSO
by Yining Chen, Rovick P. Tarife, Jared Jan A. Abayan, Sophia Mae M. Gascon and Yosuke Nakanishi
Electricity 2026, 7(2), 36; https://doi.org/10.3390/electricity7020036 - 9 Apr 2026
Abstract
Hybrid hydro–solar microgrids offer a practical electrification option for remote and weak-grid communities by combining run-of-river hydropower with photovoltaic generation. However, their performance depends strongly on coordinated decisions across three layers: (i) system sizing and architecture, (ii) turbine selection and rating under variable [...] Read more.
Hybrid hydro–solar microgrids offer a practical electrification option for remote and weak-grid communities by combining run-of-river hydropower with photovoltaic generation. However, their performance depends strongly on coordinated decisions across three layers: (i) system sizing and architecture, (ii) turbine selection and rating under variable river flow, and (iii) operational energy dispatch under time-varying solar resource and demand. This paper develops an optimization-driven planning framework for a run-of-river hydro–PV microgrid that co-optimizes component capacities and turbine-related design choices while enforcing time-series operational feasibility. Physics-based component models translate river discharge into hydroelectric output via turbine efficiency characteristics and operating limits, and compute PV generation and storage trajectories under dispatch and state-of-charge constraints. The planning problem is formulated as a multi-objective optimization that quantifies trade-offs among life-cycle cost, supply reliability (e.g., unmet-load metrics), and sustainability indicators (e.g., diesel-free operation or emissions when backup generation is present). A Pareto-optimal set of designs is obtained using a population-based multi-objective algorithm, and representative knee-point (balanced) solutions are selected to illustrate how turbine choice and dispatch strategy interact with seasonal hydrology and solar variability. The proposed approach supports transparent and robust design decisions for hybrid hydro–solar microgrids. Full article
26 pages, 4687 KB  
Article
Scenario-Based Stochastic Optimization for Long-Term Scheduling of Hydro–Wind–Solar Complementary Energy Systems
by Bin Ji, Yu Gao, Haiyang Huang, Samson Yu and Binqiao Zhang
Sustainability 2026, 18(8), 3678; https://doi.org/10.3390/su18083678 - 8 Apr 2026
Abstract
As the global energy transition accelerates, clean energy development has surged. However, accurately modeling correlations and uncertainties of hydro, wind, and photovoltaic energy remains challenging in long-term scheduling for energy complementarity. This study employs Latin hypercube sampling and Cholesky decomposition to capture the [...] Read more.
As the global energy transition accelerates, clean energy development has surged. However, accurately modeling correlations and uncertainties of hydro, wind, and photovoltaic energy remains challenging in long-term scheduling for energy complementarity. This study employs Latin hypercube sampling and Cholesky decomposition to capture the temporal correlations of water runoff, wind, and photovoltaic resources. It generates numerous scenarios for uncertainty simulation. The scenario set is reduced based on probability distance while maintaining a high-fidelity approximation. A stochastic dual-objective model is proposed for long-term multi-energy complementary system scheduling (LMCS), aiming to maximize expected revenue considering carbon emission costs while ensuring minimum power output guarantees. An evolutionary algorithm—namely, an orthogonal multi-population evolutionary (OMPE) algorithm based on orthogonal design and a multi-population search framework—is introduced, along with constraint-handling strategies. Three annual-regulation hydropower stations in the Hongshui River Basin serve as a case study. The experimental results indicate that generated scenarios capture temporal characteristics with high accuracy. The proposed algorithm efficiently solves the LMCS problem, achieving average increases of 5.46% and 3.89% in revenue and minimal output compared to benchmarks. The validation results demonstrate that orthogonalization-based initialization, recombination operators, and dominance rules significantly enhance OMPE performance. Sensitivity analysis indicates that economic efficiency and risk trade-offs can be adjusted by varying scenario numbers. Full article
Show Figures

Figure 1

21 pages, 4435 KB  
Article
Hydro-Mechanical Coupling Behavior of Cemented Silty Sand in Zones with Fluctuating Water Levels: An Empirical Damage Model
by Junbo Bi, Jingjing Wang, Weichao Sun and Shuaiwei Wang
Appl. Sci. 2026, 16(8), 3614; https://doi.org/10.3390/app16083614 - 8 Apr 2026
Abstract
Land subsidence in the Yellow River Floodplain, approaching 60 mm/year, is severely exacerbated by annual groundwater oscillations of 3 to 8 m. Conventional hydro-mechanical models, which primarily rely on effective stress principles, often struggle to fully capture the moisture-induced structural degradation of calcareous [...] Read more.
Land subsidence in the Yellow River Floodplain, approaching 60 mm/year, is severely exacerbated by annual groundwater oscillations of 3 to 8 m. Conventional hydro-mechanical models, which primarily rely on effective stress principles, often struggle to fully capture the moisture-induced structural degradation of calcareous cemented soils under such hydraulic disturbances. To address this theoretical gap, we conducted a multifactor orthogonal triaxial experiment to quantitatively decouple the macroscopic factors governing the hydro-mechanical degradation. The results reveal that moisture content acts as the absolute dominant driver, accounting for 81.65% of the variance in macroscopic shear strength variance and completely overwhelming the mechanical advantages provided by initial compaction. A generalized dual-path water-sensitive damage model was explicitly derived, mathematically uncovering a fundamental asynchronous degradation mechanism. Cohesion exhibits an inward-concave, brittle fracture trajectory, which is macroscopically inferred to be associated with the water-induced softening of calcareous bonds (phase-transition parameter 0.81, maximum allocation 75.1%). Conversely, the internal friction angle demonstrates an outward-convex, hysteretic decline (parameter 1.59), maintaining structural interlocking until severe water-film lubrication occurs. By decoupling highly state-dependent initial strength parameters from invariant degradation operators, the modified Mohr–Coulomb model achieved exceptional forward blind-prediction accuracy. Validations across distinct initial skeletal structures constrained relative prediction errors strictly between −19.3% and +13.7% without any subjective parameter recalibration. The quantified extreme vulnerability theoretically proves that minor water infiltration can instantly eradicate over 75% of cohesive strength, necessitating a paradigm shift from shallow mechanical compaction to stringent waterproofing in regional engineering practices. Full article
Show Figures

Figure 1

38 pages, 4882 KB  
Article
Market Operation Strategy for Wind–Hydro-Storage in Spot and Ramping Service Markets Under the Ramping Cost Responsibility Allocation Mechanism
by Yuanhang Zhang, Xianshan Li and Guodong Song
Energies 2026, 19(7), 1799; https://doi.org/10.3390/en19071799 - 7 Apr 2026
Abstract
The ramping requirement in new power systems primarily stems from net load variations and forecast errors of renewable energy and load. Designing an equitable cost allocation mechanism for ramping services based on these factors facilitates incentives for generation and load to actively reduce [...] Read more.
The ramping requirement in new power systems primarily stems from net load variations and forecast errors of renewable energy and load. Designing an equitable cost allocation mechanism for ramping services based on these factors facilitates incentives for generation and load to actively reduce ramping demands, thereby alleviating system ramping pressure. Accordingly, this paper proposes a fair ramping cost allocation mechanism based on the ramping responsibility coefficients of market participants. Under this mechanism, a market-oriented operation model for wind–hydro-storage joint operation is established to verify its effectiveness in market applications. First, a ramping cost allocation mechanism is constructed based on ramping responsibility coefficients. According to the responsibility coefficients of market participants for deterministic and uncertain ramping requirements, ramping costs are allocated to the corresponding contributors in proportion to the ramping demands caused by net load variations, load forecast deviations, and renewable energy forecast deviations. Specifically, for costs arising from renewable energy forecast errors, an allocation mechanism is designed based on the difference between the declared error range and the actual error. Second, within this allocation framework, hydropower and storage (including cascade hydropower and hybrid pumped storage) are utilized as flexible resources to mitigate wind power uncertainty and reduce its ramping costs. A two-stage day-ahead and real-time bi-level game model for wind–hydro-storage cooperative decision-making is developed. The upper level optimizes bilateral trading and market bidding strategies for wind–hydro-storage, while the lower level simulates the market clearing process. Through Stackelberg game modeling, joint optimal operation of wind–hydro-storage is achieved, ensuring mutual benefits. Finally, simulation results validate that the proposed ramping cost allocation mechanism can guide renewable energy to improve output controllability through economic signals. Furthermore, the bilateral trading and coordinated market participation of wind–hydro-storage realize win–win outcomes, reduce the ramping cost allocation for wind power by 23.10%, effectively narrow peak-valley price differences, and enhance market operational efficiency. Full article
Show Figures

Figure 1

36 pages, 5138 KB  
Review
Coatings for Hydro Turbine Applications: A Materials Perspective
by Rodolpho Fernando Vaz, Marco León, Alessio Silvello and Irene Garcia Cano
Metals 2026, 16(4), 406; https://doi.org/10.3390/met16040406 - 7 Apr 2026
Abstract
Corrosion- and wear-resistant coatings are widely applied to hydro-turbine runners through thermal spray and cladding processes to enhance component efficiency and structural integrity by mitigating material loss during operation. This work provides a critical review of both mature and emerging coating materials, with [...] Read more.
Corrosion- and wear-resistant coatings are widely applied to hydro-turbine runners through thermal spray and cladding processes to enhance component efficiency and structural integrity by mitigating material loss during operation. This work provides a critical review of both mature and emerging coating materials, with particular emphasis on cermets, Fe-based amorphous alloys, high-entropy alloys, and functionally graded coatings. Their performance is analyzed in terms of wear, corrosion resistance, and applicability under hydro-turbine service conditions, highlighting the advantages and current limitations that hinder broader industrial adoption. The review identifies key challenges associated with materials chemistry, deposition processes, coating architecture, and cost-effectiveness, emphasizing the need for further advancements to improve coating reliability and competitiveness. In addition, a shift in coating design philosophy is proposed, moving toward a performance-driven and application-oriented approach in which coating properties are tailored to meet specific service demands through optimized material selection and process control. By integrating current knowledge and identifying critical gaps in the literature, this work provides a framework to guide future research efforts aimed at developing next-generation coatings for hydro-turbine applications. Full article
(This article belongs to the Special Issue Surface Treatments and Coating of Metallic Materials (2nd Edition))
Show Figures

Figure 1

30 pages, 4959 KB  
Article
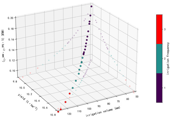
Optimized Decision Model for Soil-Moisture Control Lower Limits and Evapotranspiration-Based Irrigation Replenishment Ratios Based on AquaCrop-OSPy, PyFAO56, and NSGA-II and Its Application
by Xu Liu, Zhaolong Liu, Wenhui Tang, Zhichao An, Jun Liang, Yanling Chen, Yuxin Miao, Hainie Zha and Krzysztof Kusnierek
Agriculture 2026, 16(7), 806; https://doi.org/10.3390/agriculture16070806 - 4 Apr 2026
Viewed by 162
Abstract
As water resources are becoming increasingly scarce in the North China Plain, irrigation strategies that simultaneously improve grain yield and reduce irrigation water input are needed for winter wheat (Triticum aestivum L.) production. Current irrigation decision rules are based either on fixed [...] Read more.
As water resources are becoming increasingly scarce in the North China Plain, irrigation strategies that simultaneously improve grain yield and reduce irrigation water input are needed for winter wheat (Triticum aestivum L.) production. Current irrigation decision rules are based either on fixed soil moisture thresholds or on evapotranspiration (ET)-based ratios applied uniformly across the growing season, limiting their flexibility for growth stage-specific irrigation management. In this study, a multi-objective simulation optimization framework was developed to jointly optimize soil moisture lower control limits (irrigation trigger thresholds) and evapotranspiration-based irrigation replenishment ratios across key winter wheat growth stages. The framework integrated the AquaCrop-OSPy crop model with the PyFAO56 soil moisture balance, irrigation scheduling model and the NSGA-II evolutionary optimization algorithm. A field experiment was conducted during the 2024–2025 growing season in Laoling City, Shandong Province, China, employing a four-dense–one-sparse strip cropping pattern with two irrigation treatments: T1 (subsurface sprinkler irrigation) and T2 (shallow subsurface drip irrigation). The AquaCrop-OSPy model was calibrated and validated using measured canopy cover, aboveground biomass, grain yield, and soil moisture content in the 0–60 cm soil layer. Simulated canopy cover and grain yield showed good agreement with observations, with the coefficient of determination (R2) ranging from 0.87 to 0.94. For grain yield, the normalized root mean square error (NRMSE) ranged from 2.24% to 3.75%, and the root mean square error (RMSE) ranged from 0.29 to 0.54 t·ha−1. For aboveground biomass, R2 was 0.99, while RMSE ranged from 1.02 to 1.11 t·ha−1, and NRMSE ranged from 14.25% to 15.49%. The PyFAO56 irrigation strategy model simulated average root-zone soil-moisture dynamics with satisfactory accuracy, with an R2 of 0.86 and an RMSE of 5%. Multi-objective optimization (maximizing yield while minimizing irrigation volume) generated 23 Pareto-optimal irrigation strategies, with irrigation volumes ranging from 51 to 128 mm, corresponding yields ranging from 9.8 to 10.8 t·ha−1, and irrigation water use efficiency (IWUE) ranging from 0.08 to 0.19 t·ha−1·mm−1. Correlation analysis within the Pareto set indicated that soil-moisture control lower limits during the regreening–jointing stage and higher soil-moisture control lower limits during the flowering–maturity stage were key controlling factors for achieving high yields and irrigation water use efficiency. The Entropy-Weighted Ranked Minimum Distance method identified an optimal irrigation scheme involving two irrigations (one at the end of the jointing stage and another at the beginning of the grain filling stage) involving an irrigation depth of 75 mm, achieving a simulated yield of 10.4 t·ha−1 and an IWUE of 0.16 t·ha−1·mm−1. The proposed AquaCrop-PyFAO56-NSGA-II framework provides a flexible, process-based workflow for jointly optimizing irrigation control thresholds and evapotranspiration-based irrigation replenishment ratios across different winter wheat growth stages. Under the monitored conditions of the 2024–2025 wet season, the framework identified a two-irrigation strategy that balanced grain yield and irrigation input. This study should, therefore, be regarded as a proof-of-concept evaluation conducted in a well-instrumented single-site field setting rather than as a universally transferable recommendation. Because model calibration, within-season validation, and optimization were all based on one wet growing season at one site, the derived stage-specific thresholds, Pareto front, and S5 recommendation are most applicable to hydro-climatic conditions similar to the study year and should be further tested across contrasting year-types and locations before broader extrapolation. Full article
(This article belongs to the Topic Water Management in the Age of Climate Change)
Show Figures

Figure 1

19 pages, 5721 KB  
Article
Enhanced Reaction Engineering Approach (REA) for Modeling Continuous and Intermittent Conductive Hydro-Drying of Chili Paste (Capsicum annuum)
by Gisselle Juri-Morales, Claudia Isabel Ochoa-Martínez and José Luis Plaza-Dorado
AgriEngineering 2026, 8(4), 139; https://doi.org/10.3390/agriengineering8040139 - 3 Apr 2026
Viewed by 199
Abstract
The chili pepper (Capsicum annuum) is among the most widely consumed vegetables worldwide, valued for its sensory and nutritional properties. Nevertheless, it is highly vulnerable to deterioration due to its elevated moisture content. Effective preservation strategies, such as the addition of [...] Read more.
The chili pepper (Capsicum annuum) is among the most widely consumed vegetables worldwide, valued for its sensory and nutritional properties. Nevertheless, it is highly vulnerable to deterioration due to its elevated moisture content. Effective preservation strategies, such as the addition of salt combined with drying, are therefore crucial to maintaining quality and extending shelf life. This study employed a modified Reaction Engineering Approach (REA) to model the drying kinetics and temperature behavior of chili paste under continuous and intermittent conductive hydro-drying conditions. Thirty experiments were conducted considering various salt concentrations (0, 7.5 and 15 g salt/100 g paste), water temperatures in the hydro-dryer, and heating intermittency through on/off cycles. The modified REA model accurately predicted both moisture and temperature profiles, with determination coefficients of 0.9463 and 0.8820, respectively. In addition to direct validation with the complete dataset, cross-validation between cayenne and jalapeño varieties demonstrated the ability of the model to generalize across different formulations and structural characteristics. These results confirm the robustness of the proposed framework and its suitability as a predictive tool for heterogeneous food matrices. Direct and cross-validation confirmed strong predictive performance across all operating conditions and both chili varieties, supporting the use of the modified REA model as a robust tool for representing coupled moisture–temperature dynamics in conductive hydro-drying of semi-solid matrices. Overall, the model provides a reliable platform for analyzing, designing, optimizing, and controlling hydro-drying processes in semi-solid foods, supporting the development of more efficient and sustainable preservation strategies. Full article
(This article belongs to the Special Issue Latest Research on Post-Harvest Technology to Reduce Food Loss)
Show Figures

Figure 1

20 pages, 8279 KB  
Article
Geochemical Fingerprints of Magnetite in Yechangping Super-Large Mo-W Deposit, Western Henan, China: Constraints on Ore-Forming Evolution and Prospecting Implications
by Guang Miao, Guochen Dong, Guolong Yan, Xiaojun Qi, Chun Xiao, Haoyuan Jiang and Zhiwei Shi
Minerals 2026, 16(4), 374; https://doi.org/10.3390/min16040374 - 31 Mar 2026
Viewed by 267
Abstract
The Yechangping super-large porphyry–skarn deposit is a key component of the East Qinling molybdenum metallogenic belt, central China. Magnetite is widely developed across all mineralization stages of this deposit, yet its systematic geochemical evolution and prospecting significance remain poorly constrained. This study presents [...] Read more.
The Yechangping super-large porphyry–skarn deposit is a key component of the East Qinling molybdenum metallogenic belt, central China. Magnetite is widely developed across all mineralization stages of this deposit, yet its systematic geochemical evolution and prospecting significance remain poorly constrained. This study presents in situ major- and trace-element analyses of magnetite via electron probe microanalysis (EPMA), laser ablation inductively coupled plasma mass spectrometry (LA-ICP-MS), and elemental mapping, to unravel the ore-forming hydrothermal evolution and establish reliable prospecting indicators. Four magnetite generations are identified based on petrography and paragenetic relationships: late skarn stage (Mt1), oxide stage (Mt2 and Mt3), and polymetallic sulfide stage (Mt4). Magnetite has total iron contents (TFeO, total Fe calculated as FeO) of 82.72–95.46 wt.% (values above the 93 wt.% stoichiometric limit of pure magnetite stem from minor oxidation), with dominant isovalent Fe3+ and Al3+ lattice substitution supported by a significant negative Fe–Al correlation. Systematic stage-dependent geochemical variations are observed: Mt1 has the highest Ti (mostly >1500 ppm), V and Cr, while Mt2–Mt4 show progressive Ti depletion (mostly <100 ppm), recording continuous cooling of the hydro-thermal system. V and Cr contents decrease markedly from Mt1 to Mt3, with secondary enrichment in Mt4; Mo concentrations peak in Mt2 (average 5.06 ppm), coupled with elevated chalcophile metalloid Te, As, Pb and Bi. Elemental mapping results show that K occurs as discrete hotspots, which may be mainly derived from feldspar microinclusions, rather than lattice substitution in magnetite. These geochemical fingerprints record a transition from high-temperature magmatic–hydrothermal fluids to late contact-metasomatic fluids, with evolving fluid–rock interaction and oxygen fugacity. Our results demonstrate that magnetite chemistry is a reliable tool for discriminating mineralization stages and vectoring prospecting targets in porphyry–skarn Mo–W systems. Full article
(This article belongs to the Section Mineral Deposits)
Show Figures

Figure 1

23 pages, 3622 KB  
Article
Offline Diagnosis Method for Rotor Winding Internal Short Circuit Fault of Adjustable Speed Hydro-Generating Unit
by Jian Qiao, Kai Wang, Yikai Wang, Qinghui Lu, Xin Yin, Wenchao Jia and Xianggen Yin
Appl. Sci. 2026, 16(7), 3357; https://doi.org/10.3390/app16073357 - 30 Mar 2026
Viewed by 224
Abstract
The adjustable speed hydro-generating unit has a complex three-phase alternating current excitation structure. The existing rotor winding short circuit (RWSC) fault diagnosis methods are generally difficult to use to locate the fault location and identify the severity of the fault. Therefore, an offline [...] Read more.
The adjustable speed hydro-generating unit has a complex three-phase alternating current excitation structure. The existing rotor winding short circuit (RWSC) fault diagnosis methods are generally difficult to use to locate the fault location and identify the severity of the fault. Therefore, an offline diagnosis method for the internal RWSC of an adjustable speed hydro-generating unit is proposed in this paper. Firstly, after the unit is shut down, the low-voltage pulse signal is repeatedly injected into the rotor winding by the pulse generator. By comparing and analyzing the voltage response characteristics under different types of short circuit faults, an identification method of rotor winding short circuit fault type and fault phase based on detecting the reverse polarity sub-spike is proposed. Furthermore, the short circuit fault point can be accurately located by combining ensemble empirical mode decomposition (EEMD) with the Teager energy operator (TEO). Finally, the fault factor is constructed based on the area between the characteristic waveform and the zero line, and the quantitative evaluation of the severity of the short circuit fault is realized based on this. The effectiveness of the proposed fault diagnosis and location method is verified by the simulation results. Full article
Show Figures

Figure 1

21 pages, 1482 KB  
Article
Multi-Degree-of-Freedom Tuned Mass Damper for Vibration Suppression of Floating Offshore Wind Turbine
by Zhendong Yang, Haoran He, Faxiang Zhang and Jing Na
J. Mar. Sci. Eng. 2026, 14(7), 634; https://doi.org/10.3390/jmse14070634 - 30 Mar 2026
Viewed by 252
Abstract
Stable wind resources in far-reaching sea areas are important direction for the development of renewable energy, making floating offshore wind turbine (FOWT) a focus of current research. However, the working environment of FOWT is severe. Under the condition of changeable wind and waves, [...] Read more.
Stable wind resources in far-reaching sea areas are important direction for the development of renewable energy, making floating offshore wind turbine (FOWT) a focus of current research. However, the working environment of FOWT is severe. Under the condition of changeable wind and waves, the floating platform exhibits various motion responses, which may reduce power generation efficiency and even lead to structural damage with unpredictable consequences. In this paper, the National Renewable Energy Laboratory (NREL) 5 MW OC4-DeepCwind semi-submersible wind turbine is considered, and a multi-degree-of-freedom (M-DOF) tuned mass damper (TMD) system is designed to simultaneously suppress its roll and pitch motion responses. A multi-objective optimization problem is formulated to unify the frequency tuning accuracy, damping ratio constraints, and mass ratio limits through penalty functions. Then an improved Particle Swarm Optimization algorithm with time-varying acceleration coefficients (TVAC-PSO) is employed to determine the optimal TMD parameters, which dynamically adjusts exploration and exploitation capabilities to overcome the limitations of standard PSO in handling the strongly coupled parameter space. A high-fidelity aero-hydro-servo-elastic simulation model is established using OpenFAST to verify the vibration suppression performance under various sea state conditions. Simulation results demonstrate that the proposed M-DOF TMD system can effectively reduce the roll and pitch motion responses and significantly suppress the resonant peak energy, substantially improving the dynamic performance of FOWT. Full article
(This article belongs to the Special Issue Control and Optimization of Marine Renewable Energy Systems)
Show Figures

Figure 1

28 pages, 7001 KB  
Article
Thermal Intelligence for Hydro-Generators: Data-Driven Prediction of Stator Winding Temperature Under Real Operating Conditions
by Zangpo, Munira Batool and Imtiaz Madni
Energies 2026, 19(7), 1671; https://doi.org/10.3390/en19071671 - 28 Mar 2026
Viewed by 373
Abstract
Hydropower remains one of the primary sources of power generation. It can be operated as either a base-load or peak-load plant due to its rapid, easy start-up and stop-down capability. However, power plants, old or new, need to be operated and maintained optimally [...] Read more.
Hydropower remains one of the primary sources of power generation. It can be operated as either a base-load or peak-load plant due to its rapid, easy start-up and stop-down capability. However, power plants, old or new, need to be operated and maintained optimally to meet energy demand and maximise economic returns. While the older plants without digital controls such as the Supervisory Control and Data Acquisition (SCADA) system are unable to leverage the evolving technology including big data and Artificial Intelligence (AI), the newer plants or plants that already have some form of data acquisition system have the advantage of leveraging the newer platforms for efficient operation, monitoring and fault diagnosis. Thus, an Artificial Neural Network (ANN), a machine learning (ML) algorithm, was chosen for this case study to predict the generator’s operational stator temperature by selecting six parameters that could potentially affect it. Real data from the 336 MW Chhukha Hydropower Plant (CHP) in Bhutan were used to train the ANN. The prediction of temperature using an ANN in MATLAB® yielded an R2 (correlation coefficient) of 96.8%, which is impressive but can be further improved through various optimisation and tuning methods with increased data volume and complexity. The performance of ANN prediction was validated against other regression models, and the ANN was found to outperform them. This demonstrated its capability to predict and detect generator temperature faults before failures, thereby enhancing hydropower operation and maintenance (O&M) efficiency. The model’s interpretation was also done through Shapley Additive ExPlanations (SHAP). Full article
(This article belongs to the Section F: Electrical Engineering)
Show Figures

Figure 1

31 pages, 1676 KB  
Review
Navigating the Bio-Composite Landscape: A Strategic Reconstruction of Electrospun Starch–Zein Nanofibers
by Zehra Ufuk, Fatih Balcı and Filiz Altay
Polymers 2026, 18(7), 823; https://doi.org/10.3390/polym18070823 - 27 Mar 2026
Viewed by 429
Abstract
The transition from petrochemical plastics to sustainable biopolymers has created a critical demand for functional materials that do not compromise on performance. Starch and zein, due to their abundance and complementary nature, represent not just a chemical pair, but a techno-economic symbiosis: zein [...] Read more.
The transition from petrochemical plastics to sustainable biopolymers has created a critical demand for functional materials that do not compromise on performance. Starch and zein, due to their abundance and complementary nature, represent not just a chemical pair, but a techno-economic symbiosis: zein provides the hydrophobic shield, while starch offers the cost-effective structural volume. This review adopts a “Puzzle Theory” framework to synthesize over 80 peer-reviewed studies published between 2014 and 2025, categorizing the literature into established structural knowledge and unresolved functional limitations. Our analysis reveals that while fabrication protocols and molecular synergy are well-defined in approximately 65% of the surveyed literature, critical functional data remain largely absent. Specifically, fewer than 15% of studies investigate hydro-stability in high-humidity environments or bio-interface behavior, creating a disconnect between laboratory success and industrial application. We identify that current research disproportionately prioritizes dry-state morphology over wet-state mechanical integrity. To bridge the gap between academic prototypes and industrial reality, this article moves beyond general recommendations to propose concrete experimental benchmarks, including specific targets for wet mechanical integrity (>1 MPa), regulatory solvent compliance (<50 ppm), and scalable throughput. This article concludes by providing a strategic roadmap to bridge these gaps, arguing that future research must pivot from simple morphological characterization to developing “smart response” mechanisms and “green manufacturing” protocols to ensure commercial viability. Full article
(This article belongs to the Section Polymer Fibers)
Show Figures

Figure 1

24 pages, 4461 KB  
Article
Approximated Adaptive Dynamic Programming Control of Axial-Piston Pump
by Jordan Kralev, Alexander Mitov and Tsonyo Slavov
Mathematics 2026, 14(7), 1127; https://doi.org/10.3390/math14071127 - 27 Mar 2026
Viewed by 257
Abstract
This article presents the synthesis, real-time implementation, and experimental validation of an approximated adaptive dynamic programming (AADP) actor–critic controller for precise flow rate regulation of a variable-displacement axial-piston pump designed for open-circuit hydraulic systems. Replacing the conventional hydro-mechanical regulator with an electrohydraulic proportional [...] Read more.
This article presents the synthesis, real-time implementation, and experimental validation of an approximated adaptive dynamic programming (AADP) actor–critic controller for precise flow rate regulation of a variable-displacement axial-piston pump designed for open-circuit hydraulic systems. Replacing the conventional hydro-mechanical regulator with an electrohydraulic proportional spool valve, the model-free controller employs two compact two-layer neural networks: the actor generates valve PWM signals from the flow tracking error, its integral, and measured discharge pressure, while the critic approximates the infinite-horizon quadratic cost-to-go via the online solution of the Bellman equation through gradient descent on Bellman residuals. Lyapunov analysis establishes closed-loop stability under bounded learning rates, with initial weights tuned via nominal plant simulation to ensure convergence from feasible starting policies. After extensive laboratory testing across four fixed loading conditions and dynamic load variations, the adaptive controller demonstrated superior performance compared with a proportional-integral (PI) controller, a Lyapunov model-reference adaptive controller (LMRAC), and an H controller (Hinf). Real-time metrics confirm bounded critic signals and near-zero Bellman errors, validating optimal policy convergence amid unmodeled hydraulic nonlinearities. Full article
(This article belongs to the Special Issue Advances in Robust Control Theory and Its Applications)
Show Figures

Figure 1

30 pages, 5479 KB  
Article
Hydro-Sedimentological Controls on Natural and Anthropogenic Radionuclide Distribution in the Western Black Sea Shelf
by Maria-Emanuela Mihailov, Alina-Daiana Spinu, Alexandru-Cristian Cindescu and Luminita Buga
Environments 2026, 13(4), 184; https://doi.org/10.3390/environments13040184 - 26 Mar 2026
Viewed by 661
Abstract
This study examines the hydro-sedimentological–radioecological controls governing the distribution of natural (K-40, Ra-226, Th-232) and anthropogenic (Cs-137) radionuclides in surface sediments of the western Black Sea shelf. Activity concentrations were determined by high-resolution gamma spectrometry, and radiological indices—including radium equivalent activity (Ra_eq), external [...] Read more.
This study examines the hydro-sedimentological–radioecological controls governing the distribution of natural (K-40, Ra-226, Th-232) and anthropogenic (Cs-137) radionuclides in surface sediments of the western Black Sea shelf. Activity concentrations were determined by high-resolution gamma spectrometry, and radiological indices—including radium equivalent activity (Ra_eq), external hazard index (Hex), and annual effective dose (AED)—were calculated to evaluate environmental safety. All indices remained well below internationally accepted thresholds, confirming the absence of radiological hazard in both coastal and offshore settings. Strong correlations between Ra-226 and Th-232 indicate dominant lithogenic control of natural radionuclides, whereas Cs-137 exhibits geochemical decoupling consistent with its behavior. A significant relationship between the fine-grained sediment fraction (<63 µm) and Cs-137 activity highlights the grain size effect, with offshore depositional zones acting as sediment-focusing areas where Cs-137 and excess Pb-210 co-accumulate under low-energy hydrodynamic conditions. Despite localized offshore enrichment, dose contribution analysis shows that natural radionuclides dominate the absorbed-dose budget, while Cs-137 contributes only marginally. Spatial predictive modeling using Artificial Neural Networks, validated under a Spatial Leave-One-Group-Out framework, yielded moderate generalization capacity (R2 = 0.61 for Ra-226; R2 = 0.41 for Cs-137), reflecting smoother spatial gradients of lithogenic radionuclides than heterogeneous radiocesium deposition. Furthermore, Machine Learning algorithms provided significant analytical value: a Random Forest (RF) model successfully classified environments (nearshore/shelf/depositional basin) based on distinct radionuclide signatures. At the same time, an optimized Artificial Neural Network (ANN-GA) enabled the nonlinear reconstruction of radiometric–granulometric patterns to identify local anomalies. The results show that radionuclide distributions are primarily structured by sediment provenance, grain size sorting, and hydrodynamic energy gradients rather than ongoing anthropogenic inputs. Full article
(This article belongs to the Special Issue Advanced Research in Environmental Radioactivity)
Show Figures

Figure 1

47 pages, 1879 KB  
Review
Advancing Offshore Wind Capacity Through Turbine Size Scaling
by Paweł Martynowicz, Piotr Ślimak and Desta Kalbessa Kumsa
Energies 2026, 19(7), 1625; https://doi.org/10.3390/en19071625 - 25 Mar 2026
Viewed by 572
Abstract
The upscaling of turbines in the offshore wind industry has been unprecedented, as compared to 5–6 MW rated turbines 10 years ago. A typical 20–26 MW rated turbine in modern commercial applications (MingYang MySE 18.X-20 MW installed in 2025 and 26 MW prototype [...] Read more.
The upscaling of turbines in the offshore wind industry has been unprecedented, as compared to 5–6 MW rated turbines 10 years ago. A typical 20–26 MW rated turbine in modern commercial applications (MingYang MySE 18.X-20 MW installed in 2025 and 26 MW prototype by Dongfang Electric tested in 2025) has been demonstrated. This scaling has been made possible by increasing rotor diameters (>250 m) and hub heights (>150–180 m) to achieve capacity factors of up to 55–65%, annual energy generation of more than 80 GWh/turbine, and significant decreases in levelised cost of energy (LCOE) to current values of up to 63–65 USD 2023/MWh globally averaged in 2023 (with minor variability in 2024 due to market changes and new regional areas). The paper analyses turbine upscaling over three levels of hierarchy, including turbine scale—rated capacity and physical aspect, project scale—multi-gigawatts of farms, and market scale—the global pipeline > 1500 GW level, and combines techno-economic evaluation, structural evaluation of loads, and infrastructure needs assessment. The upscaling has the advantage of reducing the number of turbines dramatically (e.g., 500 to 67 turbines in a 1 GW farm, as turbine size is increased to 15 MW) and balancing-of-plant (BoP) CAPEX (turbine-to-turbine foundations and cables) by some 20 to 30 percent per unit of capacity, and serial production learning rates of between 15 and 18% per doubling of capacity. But the problems that come with the increase in ultra-large designs are nonlinear increments in mass and load (i.e., blade-root and tower-bending moments), logistical constraints (blades > 120 m, nacelle up to 800–1000 tonnes demanding special vessels and ports), supply-chain issues (rare-earth materials, vessel shortages increase day rates by 30–50%), and technology limitations (aeroelastic compounded by numerical differences between reference 5 MW, 10 MW, and 15 MW models), it becomes evident that there is a significant increase in deflections of the tower and blades and platform surge/pitch responses with continued increases in power levels, but without a correspondingly mature infrastructure. The regional differences (mature ports of Europe vs. U.S. Jones Act restrictions vs. scale-up of vessels/manufacturing in China) lead to the necessity of optimisation depending on the context. The analysis concludes that, to the extent of mature markets with adapted logistics, continuous upscaling is an effective business strategy and can result in 5 to 12 percent further reductions in LCOE, but beyond that point, gains become marginal or even negative, as risks and costs increase. The competitiveness of the future depends on multi-scale/multi-market-based approaches—modular-based families of turbines, programmatic standardisation, vibration control innovations, and industry coordination towards supply-chain alignment and standards. Its major strength is that it transcends mere size–cost relationships and shows how nonlinear structural processes, aero-hydro-servo-elastic interactions, and bottlenecks in logistical systems are becoming more determinant of the efficiency of ultra-large turbines. The study demonstrates that upscaling turbines has LCOE benefits through the support of associated improvements in installation facility, supply-chain preparedness, and structural vibration control potential, based on the comparisons of quantitative loads, techno-economic scaling trends, and regional market differentiation. Full article
Show Figures

Figure 1

Back to TopTop