Sign in to use this feature.

Years

Between: -

Subjects

remove_circle_outline
remove_circle_outline
remove_circle_outline
remove_circle_outline
remove_circle_outline
remove_circle_outline
remove_circle_outline
remove_circle_outline
remove_circle_outline

Journals

Article Types

Countries / Regions

Search Results (94)

Search Parameters:
Keywords = high-voltage and partial discharge tests

Order results
Result details
Results per page
Select all
Export citation of selected articles as:
29 pages, 16069 KB  
Article
Dynamic Severity Assessment of Partial Discharge in HV Bushings Based on the Evolution Characteristics of Dense Clusters in PRPD Patterns
by Xiang Gao, Zhiyu Li, Zuoming Xu, Pengbo Yin, Xiongjie Xie, Xiaochen Yang and Baoquan Wan
Sensors 2025, 25(24), 7537; https://doi.org/10.3390/s25247537 - 11 Dec 2025
Viewed by 227
Abstract
High-voltage bushings are critical insulation components, yet conventional PRPD-based severity assessment methods that rely on global pattern morphologies such as “rabbit ears” and “tortoise shell” remain coarse, lack local sensitivity, and fail to track continuous degradation. This paper proposes a dynamic severity assessment [...] Read more.
High-voltage bushings are critical insulation components, yet conventional PRPD-based severity assessment methods that rely on global pattern morphologies such as “rabbit ears” and “tortoise shell” remain coarse, lack local sensitivity, and fail to track continuous degradation. This paper proposes a dynamic severity assessment method that shifts the focus from global contours to dense partial discharge (PD) clusters, defined as high-density aggregations of PD pulses in specific phase–magnitude regions of PRPD patterns. Each dense cluster is treated as the statistical projection of a physical discharge channel, and the evolution of its number, intensity, location, and shape provides a fine-scale description of defect development. A multi-level relative density and morphological image processing algorithm is used to extract dense clusters directly from PRPD histograms, followed by a 20-dimensional feature set and a five-index system describing discharge activity, development speed, complexity, instability, and evolution trend. A fuzzy comprehensive evaluation model further converts these indices into three severity levels with confidence measures. Long-term degradation tests on defective bushings demonstrate that the proposed method captures key turning points from dispersed multi-cluster patterns to a single dominant cluster and yields a stable, stage-consistent severity evaluation, offering a more sensitive and physically interpretable tool for condition monitoring and early warning of HV bushings. The method achieved a high evaluation confidence (average 60.1%), which rose to 100% at the critical failure stage. It successfully identified three distinct degradation stages (stable, accelerated, and critical) across the 49 test intervals. A quantitative comparison demonstrated significant advantages: 8.3% improvement in early warning (4 windows earlier than IEC 60270), 50.6% higher monotonicity, 125.2% better stability, and 45.9% wider dynamic range, while maintaining physical interpretability and requiring no training data. Full article
Show Figures

Figure 1

45 pages, 4110 KB  
Review
Overview of Monitoring, Diagnostics, Aging Analysis, and Maintenance Strategies in High-Voltage AC/DC XLPE Cable Systems
by Kazem Emdadi, Majid Gandomkar, Ali Aranizadeh, Behrooz Vahidi and Mirpouya Mirmozaffari
Sensors 2025, 25(22), 7096; https://doi.org/10.3390/s25227096 - 20 Nov 2025
Viewed by 902
Abstract
High-voltage (HV) cable systems—particularly those insulated with cross-linked polyethylene (XLPE)—are increasingly deployed in both AC and DC applications due to their excellent electrical and mechanical performance. However, their long-term reliability is challenged by partial discharges (PD), insulation aging, space charge accumulation, and thermal [...] Read more.
High-voltage (HV) cable systems—particularly those insulated with cross-linked polyethylene (XLPE)—are increasingly deployed in both AC and DC applications due to their excellent electrical and mechanical performance. However, their long-term reliability is challenged by partial discharges (PD), insulation aging, space charge accumulation, and thermal and electrical stresses. This review provides a comprehensive survey of the state-of-the-art technologies and methodologies across several domains critical to the assessment and enhancement of cable reliability. It covers advanced condition monitoring (CM) techniques, including sensor-based PD detection, signal acquisition, and denoising methods. Aging mechanisms under various stressors and lifetime estimation approaches are analyzed, along with fault detection and localization strategies using time-domain, frequency-domain, and hybrid methods. Physics-based and data-driven models for PD behavior and space charge dynamics are discussed, particularly under DC conditions. The article also reviews the application of numerical tools such as FEM for thermal and field stress analysis. A dedicated focus is given to machine learning (ML) and deep learning (DL) models for fault classification and predictive maintenance. Furthermore, standards, testing protocols, and practical issues in sensor deployment and calibration are summarized. The review concludes by evaluating intelligent maintenance approaches—including condition-based and predictive strategies—framed within real-world asset management contexts. The paper aims to bridge theoretical developments with field-level implementation challenges, offering a roadmap for future research and practical deployment in resilient and smart power grids. This review highlights a clear gap in fully integrated AC/DC diagnostic and aging analyses for XLPE cables. We emphasize the need for unified physics-based and ML-driven frameworks to address HVDC space-charge effects and multi-stress degradation. These insights provide concise guidance for advancing reliable and scalable cable assessment. Full article
(This article belongs to the Special Issue Feature Review Papers in Fault Diagnosis & Sensors)
Show Figures

Figure 1

25 pages, 7378 KB  
Article
Additive Manufacturing of Biobased Material Used in Electrical Insulation: Comparative Studies on Various Printing Technologies
by Robert Sekula, Alexander Leis, Anne Wassong, Annsophie Preuss, Hermann Hanning, Jan Kemnitzer, Marco Wimmer, Maciej Kuniewski and Pawel Mikrut
Polymers 2025, 17(16), 2248; https://doi.org/10.3390/polym17162248 - 20 Aug 2025
Viewed by 884
Abstract
In the power industry, various electrically insulating materials are used to ensure proper mechanical, thermal, and dielectric performance over decades of equipment operation. In power transformers, cellulose is the predominant material in manufacturing various insulation components. Most of these products are manufactured by [...] Read more.
In the power industry, various electrically insulating materials are used to ensure proper mechanical, thermal, and dielectric performance over decades of equipment operation. In power transformers, cellulose is the predominant material in manufacturing various insulation components. Most of these products are manufactured by wet-molding technology. However, this process is long, labor-intensive, and highly energy-demanding. Under the frame of an EU-funded grant, a new kind of insulation material and manufacturing process were developed. Fully bio-based material (produced in the form of pellets) can be processed using additive manufacturing, allowing for much shorter manufacturing times for insulation products, with considerably less scrap and energy consumption (due to the elimination of the drying stage). The focus of the project was extrusion additive manufacturing technology, but at a later stage, a biomaterial powder was developed, making it possible to print with other technologies. In the paper, comparative studies on various additive manufacturing techniques of newly developed biopolymers have been presented, including extrusion, High Speed Sintering (HSS), and Selective Laser Sintering (SLS). The applicability of such material in power transformers required extensive testing of various properties. These results are discussed in the paper and include: oil compatibility, volume resistivity measurements, permittivity and dissipation factor measurements, determination of partial discharge inception voltage, partial discharges measurement, and breakdown voltage measurements. Although mechanical properties remain below industrial targets, the pioneering results provide a promising route for unique directions toward more sustainable manufacturing of high-voltage cellulose insulation and ideas for improving the material properties during the printing process. Full article
(This article belongs to the Special Issue Polymer Materials for Application in Additive Manufacturing)
Show Figures

Figure 1

11 pages, 935 KB  
Article
Rescue Blankets in Direct Exposure to Lightning Strikes—An Experimental Study
by Markus Isser, Wolfgang Lederer, Daniel Schwaiger, Mathias Maurer, Sandra Bauchinger and Stephan Pack
Coatings 2025, 15(8), 868; https://doi.org/10.3390/coatings15080868 - 23 Jul 2025
Viewed by 1858
Abstract
Lightning strikes pose a significant risk during outdoor activities. The connection between conventionally used rescue blankets in alpine emergencies and the risk of lightning injury is unclear. This experimental study investigated whether rescue blankets made of aluminum-coated polyethylene terephthalate increase the likelihood of [...] Read more.
Lightning strikes pose a significant risk during outdoor activities. The connection between conventionally used rescue blankets in alpine emergencies and the risk of lightning injury is unclear. This experimental study investigated whether rescue blankets made of aluminum-coated polyethylene terephthalate increase the likelihood of lightning injuries. High-voltage experiments of up to 2.5 MV were conducted in a controlled laboratory setting, exposing manikins to realistic lightning discharges. In a balanced test environment, two conventionally used brands were investigated. Upward leaders frequently formed on the edges along the fold lines of the foils and were significantly longer in crumpled rescue blankets (p = 0.004). When a lightning strike occurred, the thin metallic layer evaporated at the contact point without igniting the blanket or damaging the underlying plastic film. The blankets diverted surface currents and prevented current flow to the manikins, indicating potentially protective effects. The findings of this experimental study suggest that upward leaders rise from the edge areas of rescue blankets, although there is no increased risk for a direct strike. Rescue blankets may even provide partial protection against exposure to electrical charges. Full article
Show Figures

Figure 1

18 pages, 6117 KB  
Article
Numerical Analysis of Conditions for Partial Discharge Inception in Spherical Gaseous Voids in XLPE Insulation of AC Cables at Rated Voltage and During AC, VLF and DAC Tests
by Paweł Mikrut and Paweł Zydroń
Energies 2025, 18(11), 2949; https://doi.org/10.3390/en18112949 - 4 Jun 2025
Cited by 1 | Viewed by 1435
Abstract
AC power cables play an important role in power systems, in the transmission and distribution of electrical energy. For this reason, to ensure high operational reliability, voltage withstand tests and diagnostic tests are performed at every stage of their technical life to determine [...] Read more.
AC power cables play an important role in power systems, in the transmission and distribution of electrical energy. For this reason, to ensure high operational reliability, voltage withstand tests and diagnostic tests are performed at every stage of their technical life to determine the condition of cable insulation. Due to the large electrical capacitances of cable systems, modern testing methods use very low frequency (VLF) and damped oscillating (DAC) voltages. The research presented in the article analyzed the effect of the test voltage waveform parameters on the partial discharge (PD) inception conditions in spherical gaseous voids present in the XLPE insulation of AC cable model. Using COMSOL 6.1 and MATLAB R2021b, a coupled electro-thermal model of a 110 kV AC cable was implemented, for which the critical gaseous void dimensions were estimated and phase-resolved PD patterns were generated for the rated voltage and the VLF and DAC test voltages specified in the relevant standards. In the analyses for the rated voltage, the influence of internal temperature distribution, which causes modification of XLPE permittivity, was taken into account in the numerical cable model. Full article
Show Figures

Figure 1

18 pages, 9150 KB  
Article
Compatibility Testing of New Insulating Fluids and Materials in Distribution Transformer
by Pavel Trnka, Jaroslav Hornak, Magdalena Trnkova, Ondrej Michal, Zdislava Mokra, Pavel Slama, Jiri Kopriva, Pavel Prosr, Jan Leffler and Zdenek Frana
Energies 2025, 18(7), 1831; https://doi.org/10.3390/en18071831 - 4 Apr 2025
Viewed by 1472
Abstract
The introduction of a new insulating oil or, for instance, a new type of insulation or sealing into a transformer necessitates tests for material compatibility. Compatibility tests of liquids with the structural internal materials of transformers are conducted to prevent undesired interactions between [...] Read more.
The introduction of a new insulating oil or, for instance, a new type of insulation or sealing into a transformer necessitates tests for material compatibility. Compatibility tests of liquids with the structural internal materials of transformers are conducted to prevent undesired interactions between insulating fluids and the formation of products that could lead to the generation of undesirable ions, sediments, or chemical compounds that result in a reduction in the dielectric property performance of the fluid. This includes chemical reactions (hydrolysis, hydrogenation, oxidation, formation of sulfates or sulfides, etc.) and degradation, the formation of conductive suspensions, the generation of undesirable condensation, and alterations in other fluid properties, such as interfacial tension between oil and water, viscosity, flashpoint, etc. Changes must also not occur in the strength and hardness of gasket material, which could result in undesirable fluid leakage. This paper describes the novel methodology and results of several proposed tests, including the impact on oil viscosity, material hardness, FT-IR analysis of oils, partial discharges in different oils, dielectric properties, and more, conducted during compatibility and aging tests at 120 °C and 140 °C performed on materials used in particular distribution transformers being prepared for natural ester use. The results show notable differences in the behavior of insulating fluids and aged submerged materials. While mineral oils exhibit lower dissipation factors compared to natural esters, the latter demonstrate slower and less severe hardening effects on gaskets during high-temperature aging (e.g., Shore 35.25 in mineral oil vs. 21–22.5 in natural esters). The tensile strength of the tested cable ties decreased significantly (from 260 to approx. 60 N) in mineral oil but increased in natural ester (320 N/120 °C exposition). This study also highlights a novel insight into partial discharge mechanisms, where differences in viscosity, conductivity phenomena, and dielectric constants result in presented differences in inception voltages and prebreakdown activity. Full article
(This article belongs to the Section F: Electrical Engineering)
Show Figures

Figure 1

32 pages, 14443 KB  
Article
Maintenance of Arc Occurrence at the End of the Stator Slot in a High-Voltage Motor
by Hoyeol Yoon and Youngchul Bae
Machines 2025, 13(4), 279; https://doi.org/10.3390/machines13040279 - 28 Mar 2025
Viewed by 1250
Abstract
This study investigates the critical issue of arc-induced partial discharge in high-voltage motor stator windings and proposes a cost-effective, targeted maintenance approach to mitigate these effects. Diagnostic techniques, including insulation resistance tests, tan δ measurements, partial discharge analyses, and UV camera inspections, were [...] Read more.
This study investigates the critical issue of arc-induced partial discharge in high-voltage motor stator windings and proposes a cost-effective, targeted maintenance approach to mitigate these effects. Diagnostic techniques, including insulation resistance tests, tan δ measurements, partial discharge analyses, and UV camera inspections, were employed to identify and assess fault points. A novel partial maintenance method involving felt-pad insulation reinforcement was implemented to address the arc discharge issues. Post-maintenance diagnostics confirmed a significant reduction in partial discharge levels, with an average decrease of over 80%, demonstrating the effectiveness of the proposed approach. Compared to traditional rewinding methods, this technique offers substantial savings in time and cost while enhancing motor reliability. The findings underscore the importance of precise diagnostics and tailored interventions in extending the lifespan and operational stability of high-voltage motors, providing practical insights for industrial maintenance strategies. Full article
Show Figures

Figure 1

16 pages, 5879 KB  
Article
Partial Discharge Pattern Recognition Based on Swin Transformer for Power Cable Fault Diagnosis in Modern Distribution Systems
by Yifei Li, Cheng Gong, Tun Deng, Zihao Jia, Fang Wang, Qiao Zhao and Jingrui Zhang
Processes 2025, 13(3), 852; https://doi.org/10.3390/pr13030852 - 14 Mar 2025
Cited by 2 | Viewed by 1482
Abstract
As critical infrastructure in modern distribution systems, power cables face progressive insulation degradation from partial discharge (PD), while conventional recognition methods struggle with feature extraction and model generalizability. This study develops an integrated experimental platform for PD pattern recognition in power cable systems, [...] Read more.
As critical infrastructure in modern distribution systems, power cables face progressive insulation degradation from partial discharge (PD), while conventional recognition methods struggle with feature extraction and model generalizability. This study develops an integrated experimental platform for PD pattern recognition in power cable systems, comprising a control console, high-voltage transformer, high-frequency current transformer, and ultra-high-frequency (UHF) signal acquisition equipment. Four distinct types of discharge-defective models are constructed and tested through this dedicated high-voltage platform, generating a dataset of phase-resolved partial discharge (PRPD) spectra. Based on this experimental foundation, an improved Swin Transformer-based framework with adaptive learning rate optimization is developed to address the limitations of conventional methods. The proposed architecture demonstrates superior performance, achieving 94.68% classification accuracy with 20 training epochs while reaching 97.52% at the final 200th epoch. Comparisons with the original tiny version of the Swin Transformer model show that the proposed Swin Transformer with an adaptive learning rate attains a maximum improvement of 6.89% over the baseline model in recognition accuracy for different types of PD defect detection. Comparisons with other deeper Convolutional Neural Networks illustrate that the proposed lightweight Swin Transformer can achieve comparable accuracy with significantly lower computational demands, making it more promising for application in real-time PD defect diagnostics. Full article
Show Figures

Figure 1

18 pages, 7712 KB  
Article
Development of a Multi-Channel Ultra-Wideband Electromagnetic Transient Measurement System
by Shaoyin He, Xiangyu Chen, Bohao Zhang and Liang Song
Sensors 2025, 25(4), 1159; https://doi.org/10.3390/s25041159 - 14 Feb 2025
Viewed by 1476
Abstract
In complex electromagnetic environments, such as substations, converter stations in power systems, and the compartments of aircraft, trains, and automobiles, electromagnetic immunity testing is crucial. It requires that the electric field sensor has features such as a large dynamic measurement range (amplitude from [...] Read more.
In complex electromagnetic environments, such as substations, converter stations in power systems, and the compartments of aircraft, trains, and automobiles, electromagnetic immunity testing is crucial. It requires that the electric field sensor has features such as a large dynamic measurement range (amplitude from hundreds of V/m to tens of kV/m), a fast response speed (response time in the order of nanoseconds or sub-nanoseconds), a wide test bandwidth (DC to 1 GHz even above), miniaturization, and robustness to strong electromagnetic interference. This paper introduces a multi-channel, ultra-wideband transient electric field measurement system. The system’s analog bandwidth covers the spectrum from DC and a power frequency of 50 Hz to partial discharge signals, from DC to 1.65 GHz, with a storage depth of 2 GB (expandable). It overcomes issues related to the instability, insufficient bandwidth, and lack of accuracy of optical fibers in analog signal transmission by using front-end digital sampling based on field-programmable gate array (FPGA) technology and transmitting digital signals via optical fibers. This approach is effectively applicable to measurements in strong electromagnetic environments. Additionally, the system can simultaneously access four channels of signals, with synchronization timing reaching 300 picoseconds, can be connected to voltage and current sensors simultaneously, and the front-end sensor can be flexibly replaced. The performance of the system is verified by means of a disconnect switch operation and steady state test in an HVDC converter station. It is effectively applicable in scenarios such as the online monitoring of transient electromagnetic environments in high-voltage power equipment, fault diagnosis, and the precise localization of radiation sources such as partial discharge or intentional electromagnetic interference (IEMI). Full article
(This article belongs to the Special Issue Magnetoelectric Sensors and Their Applications)
Show Figures

Figure 1

25 pages, 6816 KB  
Article
Online High Frequency Impedance Identification Method of Inverter-Fed Electrical Machines for Stator Health Monitoring
by Jérémy Creux, Najla Haje Obeid, Thierry Boileau and Farid Meibody-Tabar
Appl. Sci. 2024, 14(23), 10911; https://doi.org/10.3390/app142310911 - 25 Nov 2024
Cited by 4 | Viewed by 1641
Abstract
In electric powertrain traction applications, the adopted trend to improve the performance and efficiency of electromechanical power conversion systems is to increase supply voltages and inverter switching frequencies. As a result, electrical machine conductors are subjected to ever-increasing electrical stresses, leading to premature [...] Read more.
In electric powertrain traction applications, the adopted trend to improve the performance and efficiency of electromechanical power conversion systems is to increase supply voltages and inverter switching frequencies. As a result, electrical machine conductors are subjected to ever-increasing electrical stresses, leading to premature insulation degradation and eventual short-circuits. Winding condition monitoring is crucial to prevent such critical failures. Based on the scientific literature, several methods can be used for early identification of aging. A first solution is to monitor partial discharges. This method requires the use of a specific measurement device and an undisturbed test environment. A second solution is to monitor the inter-turn winding capacitance, which is directly related to the condition of the insulation and can cause a change in the stator impedance behavior. Several approaches can be used to estimate or characterize this impedance behavior. They must be performed on a machine at standstill, which limits their application. In this paper, a new characterization method is proposed to monitor the high-frequency stator impedance evolution of voltage source inverter-fed machines. This method can be applied at any time without removing the machine from its operating environment. The range and accuracy of the proposed frequency characterization depend in particular on the supply voltage level and the bandwidth of the measurement probes. The effects of parameters such as temperature, switching frequency, and DC voltage amplitude on the impedance characteristic were also studied and will be presented. Tests carried out on an automotive traction machine have shown that the first two series and parallel resonances of the high-frequency impedance can be accurately identified using the proposed technique. Therefore, by monitoring these resonances, it is possible to predict the aging rate of the conductor. Full article
Show Figures

Figure 1

13 pages, 5913 KB  
Article
Electrical Tree and Partial Discharge Characteristics of Silicone Rubber Under Mechanical Pressure
by Jingang Su, Peng Zhang, Zhen Liu, Xingwang Huang, Xianhai Pang, Zeping Zheng and Tao Han
Energies 2024, 17(22), 5645; https://doi.org/10.3390/en17225645 - 12 Nov 2024
Cited by 1 | Viewed by 1600
Abstract
Silicone rubber (SIR) is a crucial insulating material in cable accessories, but it is also susceptible to faults. In practical applications, mechanical pressure from bending or shrinking can impact the degradation of SIR, necessitating the study of its electrical tree and partial discharge [...] Read more.
Silicone rubber (SIR) is a crucial insulating material in cable accessories, but it is also susceptible to faults. In practical applications, mechanical pressure from bending or shrinking can impact the degradation of SIR, necessitating the study of its electrical tree and partial discharge (PD) characteristics under such pressure. This work presents the construction of a test platform for electrical trees under varying pressures to observe their growth process. A high-frequency current transformer is used to measure PD patterns during tree growth, enabling analysis of the effect of PD on tree initiation and propagation under pressure. The experimental results demonstrate a significant decrease in tree inception probability and increase in PD inception voltage under pressure. The pressure also influences the tree structure and PD during the treeing process, where the longest tree with a branch-like structure appears under 800 kPa. The effect of pressure on electrical tree and PD characteristics can be attributed to changes in free volume, alterations in air pressure within the tree channels, and the affected charge accumulation. Full article
(This article belongs to the Special Issue Power Cables in Energy Systems)
Show Figures

Figure 1

20 pages, 3318 KB  
Article
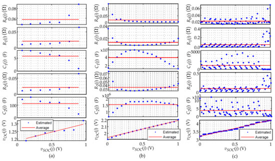
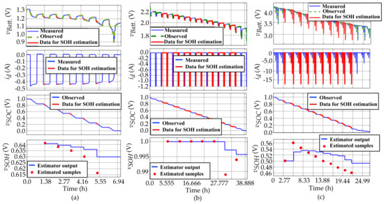
Partial Discharge Method for State-of-Health Estimation Validated by Real-Time Simulation
by Eugenio Camargo-Trigueros, Nancy Visairo-Cruz, Ciro-Alberto Núñez-Gutiérrez and Juan Segundo-Ramírez
Processes 2024, 12(11), 2389; https://doi.org/10.3390/pr12112389 - 30 Oct 2024
Viewed by 1706
Abstract
Accurate estimation of the state of health (SOH) of batteries for automotive applications, particularly in electric vehicle battery management systems (EV-BMS), remains a critical study area to ensure battery system availability. This paper proposes a comprehensive SOH estimation method that transcends traditional approaches [...] Read more.
Accurate estimation of the state of health (SOH) of batteries for automotive applications, particularly in electric vehicle battery management systems (EV-BMS), remains a critical study area to ensure battery system availability. This paper proposes a comprehensive SOH estimation method that transcends traditional approaches based on estimating the available capacity using the integral of the battery current or estimating the increase in internal resistance. The SOH estimator employs a partial discharge method (PDM) and a linear state-of-charge (SOC) observer based on an equivalent electrical circuit model (ECM), utilizing readily available manufacturer data and designed for real-time applications. The proposed method was tested and validated using three different automotive battery technologies and a real-time simulation on the OPAL-RT platform. The simulations involved voltage and current measurements of pulsed-discharge current profiles under temperature-controlled conditions and an electric vehicle driving profile. The results showed a high accuracy in SOH estimation, with a maximum standard deviation of approximately 0.03497 V for lithium-ion batteries, representing about 7.124% of the mean value of the SOH estimator output. For other technologies, the standard deviations were even lower, all below 0.61% of their respective mean values. These outcomes demonstrate the reliability and accuracy of our method, making it suitable for real-time SOH estimation in EV-BMSs. Full article
(This article belongs to the Section Energy Systems)
Show Figures

Figure 1

22 pages, 10725 KB  
Review
Hardware Testing Methodologies for Wide Bandgap High-Power Converters
by Zibo Chen, Zhicheng Guo, Chen Chen and Alex Q. Huang
Electronics 2024, 13(19), 3918; https://doi.org/10.3390/electronics13193918 - 3 Oct 2024
Cited by 4 | Viewed by 2778
Abstract
Wide bandgap (WBG) power semiconductor devices are increasingly replacing silicon IGBTs in high-power and high-voltage power electronics applications. However, there is a significant gap in the literature regarding efficient testing methodologies for high-power and high-voltage converters under constrained laboratory resources. This paper addresses [...] Read more.
Wide bandgap (WBG) power semiconductor devices are increasingly replacing silicon IGBTs in high-power and high-voltage power electronics applications. However, there is a significant gap in the literature regarding efficient testing methodologies for high-power and high-voltage converters under constrained laboratory resources. This paper addresses this gap by presenting comprehensive, hardware-focused testing methodologies for high-power and high-voltage WBG power semiconductor-based converter bring-up before the control validation phase steps in. The proposed methods enable thorough evaluation and validation of converter hardware, including device switching characteristics, driving circuit functionality, thermal management performance, insulation integrity, and sustained operation at full power. We utilized the double pulse test (DPT) to characterize switching performance in a two-level phase leg configuration, extract circuit parasitics, and validate magnetic components. The DPT was further applied to optimize gate driving circuits, validate overcurrent protection mechanisms, and measure device on-resistance. Additionally, a multicycle test was introduced to rapidly assess steady-state converter performance and estimate efficiency. Recognizing the critical role of thermal management in high-power converters, our methodologies extend to the experimental extraction of key thermal parameters—such as junction-to-ambient thermal resistance and thermal capacitance—via a heat loss injection method. A correlation method between temperature sensor measurements and junction temperature is presented to enhance the accuracy of device temperature monitoring during tests. To ensure reliability and safety, dielectric withstand tests and partial discharge measurements were conducted at both component and converter levels under conventional 60 Hz sinusoidal and high-frequency PWM waveforms. Finally, we highlight the importance of testing converters under full voltage, current, and thermal conditions through power circulating tests with minimal power consumption, applicable to both non-isolated and isolated high-power converters. Practical examples are provided to demonstrate the effectiveness and applicability of these hardware testing methodologies. Full article
(This article belongs to the Special Issue Advances in Power Converter Design, Control and Applications)
Show Figures

Figure 1

20 pages, 2003 KB  
Article
A Novel Method for Online Diagnostic Analysis of Partial Discharge in Instrument Transformers and Surge Arresters from the Correlation of HFCT and IEC Methods
by Marcel Antonionni de Andrade Romano, André Melo de Morais, Marcus Vinicius Alves Nunes, Kaynan Maresch, Luiz Fernando Freitas-Gutierres, Ghendy Cardoso, Aécio de Lima Oliveira, Erick Finzi Martins, Cristian Hans Correa and Herber Cuadro Fontoura
Energies 2024, 17(19), 4921; https://doi.org/10.3390/en17194921 - 1 Oct 2024
Cited by 3 | Viewed by 2371
Abstract
In this work, a new methodology is proposed for the online and non-invasive extraction of partial discharge (PD) pulses from raw measurement data obtained using a simplified setup. This method enables the creation of sub-windows with optimized size, each containing a single candidate [...] Read more.
In this work, a new methodology is proposed for the online and non-invasive extraction of partial discharge (PD) pulses from raw measurement data obtained using a simplified setup. This method enables the creation of sub-windows with optimized size, each containing a single candidate PD pulse. The proposed approach integrates mathematical morphological filtering (MMF) with kurtosis, a first-order Savitzky-Golay smoothing filter, the Otsu method for thresholding, and a specific technique to associate each sub-window with the phase angle of the applied voltage waveform, enabling the construction of phase-resolved PD (PRPD) patterns. The methodology was validated against a commercial PD detection device adhering to the IEC (International Electrotechnical Commission) standard. Experimental results demonstrated that the proposed method, utilizing an off-the-shelf 8-bit resolution data acquisition system and a low-cost high-frequency current transformer (HFCT) sensor, effectively diagnoses and characterizes PD activity in high-voltage equipment, such as surge arresters and instrument transformers, even in noisy environments. It was able to characterize PD activity using only a few cycles of the applied voltage waveform and identify low amplitude PD pulses with low signal-to-noise ratio signals. Other contribution of this work is the diagnosis and fault signature obtained from a real surge arrester (SA) with a nominal voltage of 192 kV, corroborated by destructive disassembly and internal inspection of the tested equipment. This work provides a cost-effective and accurate tool for real-time PD monitoring, which can be embedded in hardware for continuous evaluation of electrical equipment integrity. Full article
Show Figures

Figure 1

13 pages, 3384 KB  
Article
Partial Discharge Inception Voltage Monitoring of Enameled Wires under Thermal Stress over Time
by Ishtiaq Khan, Francesco Guastavino, Laura Della Giovanna and Eugenia Torello
Energies 2024, 17(18), 4578; https://doi.org/10.3390/en17184578 - 12 Sep 2024
Cited by 2 | Viewed by 2011
Abstract
Electrical insulation is a critical component in electrical machines. The performance of the insulation system can be adversely affected by operating conditions that induce aging. Assessing the impact of environmental stresses is essential for predicting the failure of electrical insulation. Predicting maintenance to [...] Read more.
Electrical insulation is a critical component in electrical machines. The performance of the insulation system can be adversely affected by operating conditions that induce aging. Assessing the impact of environmental stresses is essential for predicting the failure of electrical insulation. Predicting maintenance to prevent service interruptions caused by insulation breakdown is a key objective. For type I insulating systems used in low-voltage and low-power rotating electrical machines, it has been demonstrated that partial discharges (PDs) are a contributing factor to electrical insulation breakdown. In fact, these insulating systems are not able to withstand the action of PD activity. The inception and evolution of PD activity is an indication of the poor conditions of the electrical insulating system, and this activity can be produced by the electronic power supply. The progressive reduction in partial discharge inception voltage (PDIV) is attributed to the deterioration of insulation properties induced by operational stresses. This study aims to evaluate and compare the effects of thermal stress on various types of enameled wires by collecting the PDIV values over time. In this paper, the authors analyze some particular effects of thermal stress as an aging factor. During the tests, an electrical stress was applied, which acted as a conditioning stress rather than one capable of producing degradation phenomena, as it was not high enough to initiate PD activity. In this research study, twisted pairs prepared from copper wires were evaluated. These wires were coated with various types of enamel and belonged to the thermal class of 200 °C. The samples were subjected to thermal aging tests at different temperatures. An electrical conditioning stress was also applied during all the tests and pertained to the same voltage, amplitude and frequency. The PDIV value pertaining to each sample was regularly measured to monitor its evolution over time. Full article
(This article belongs to the Special Issue Advances in High-Voltage Insulation)
Show Figures

Figure 1

Back to TopTop